Next Article in Journal
Intelligent Fault Diagnosis of Gas Pressure Regulator Based on AE-GWO-SVM Algorithm
Previous Article in Journal
Robust Object Detection Under Adversarial Patch Attacks in Vision-Based Navigation
 
 
Font Type:
Arial Georgia Verdana
Font Size:
Aa Aa Aa
Line Spacing:
Column Width:
Background:
Article

Learning-Driven Intelligent Passivity Control Using Nonlinear State Observers for Induction Motors

1
Institute of Aeronautics and Space Studies (IASS), Aeronautical Sciences Laboratory, Blida 09000, Algeria
2
Institute of Electrical and Electronic Engineering, Boumerdes 35000, Algeria
3
Department of Mechanical Engineering, Saad Dahlab, Blida 09000, Algeria
4
Robotics and Intelligent Control Systems Laboratory, Sevastopol State University, Sevastopol 299053, Russia
*
Author to whom correspondence should be addressed.
Automation 2025, 6(3), 45; https://doi.org/10.3390/automation6030045
Submission received: 11 June 2025 / Revised: 10 August 2025 / Accepted: 28 August 2025 / Published: 10 September 2025
(This article belongs to the Section Control Theory and Methods)

Abstract

This paper proposes a learning-driven passivity-based control (PBC) strategy for sensorless induction motors, combining a nonlinear adaptive observer with recurrent neural networks (RNNs) to improve robustness and estimation accuracy under dynamic conditions. The main novelty is the integration of neural learning into the passivity framework, enabling real-time compensation for un-modeled dynamics and parameter uncertainties with only one gain adjustment across a broad speed range. Lyapunov-based analysis guarantees the global stability of the closed-loop system. Experiments on a 1.1 kW induction motor confirm the approach’s effectiveness over conventional observer-based and fuzzy-enhanced methods. Under torque reversal and flux variation, the proposed controller achieves a torque mean absolute error (MAE) of 0.18 Nm and flux MAE of 0.21 Wb, compared to 1.58 Nm and 0.85 Wb with classical PBC. When peak torque deviation drops from 42.52% to 30.85% of the nominal, torque symmetric mean absolute percentage error (SMAPE) improves by 7.6%, and settling time is reduced to 985 ms versus 1120 ms. These results validate the controller’s precision, adaptability, and robustness in real-world sensorless motor control.

1. Introduction

The control of induction motors (IMs) continues to attract strong research interest due to their nonlinear structure, sensitivity to parameter variations, and widespread use in industrial applications. Traditional control methods often rely on accurate measurements of rotor speed and flux, which may not always be available or reliable in sensorless configurations. In this context, passivity-based control has emerged as a promising framework due to its solid theoretical foundation and robustness to system uncertainties. Early works demonstrated the use of passivity theory to ensure stable torque and flux regulation in IMs. For example, Cecati [1] proposed a passivity-based position controller, while Duarte-Mermoud [2] introduced an adaptive passivity approach for robust speed control. Travieso-Torres [3] extended this framework with adaptive structures for enhanced robustness under parameter variations. Moreover, Mansouri [4] applied passivity theory to sensorless IM control by integrating it with nonlinear observers for improved state reconstruction. In parallel, adaptive control strategies have played a pivotal role in addressing variations in machine parameters, such as rotor resistance and load torque, which frequently degrade control performance. Marino [5] introduced an adaptive input–output linearizing controller for IMs, achieving asymptotic tracking despite parametric uncertainties. Similarly, Chenafa [6] and Espinosa-Pérez [7] developed globally stable adaptive schemes using nonlinear feedback structures. In the sensorless domain, Belkacem Bekhiti [8,9] proposed an adaptive Luenberger and extended Kalman filter observers to enhance rotor speed estimation without mechanical sensors. More recently, Bekhiti [10] extended the adaptation ideas by validating a hyper-stability-based multivariable nonlinear adaptive control framework on induction motors, demonstrating strong experimental performance under non-ideal conditions. The integration of nonlinear state observers has further strengthened sensorless control by enabling full-state estimation based solely on measurable stator currents and voltages. Gauthier [11] and Busawon [12] contributed to the theoretical foundations of nonlinear observers, while Mansouri [13] tailored these concepts to IMs operating under field-oriented control. These observer designs significantly improve robustness and observability, especially at low speeds and under load disturbances.
More recently, artificial intelligence (AI) and neural networks have emerged as powerful tools in intelligent motor control. Neural models can approximate complex nonlinear mappings and adapt online, making them particularly suitable for estimation and control in dynamic environments. Beltran-Carbajal [14] and Moghadasian [15] proposed neural network-based controllers for IMs that adapt to system variations in real time. Sujatha and Vaisakh [16], along with Brandstetter and Kuchar [17], demonstrated the effectiveness of adaptive neuro-fuzzy inference systems (ANFIS) and radial basis function (RBF) networks in sensorless IM control. Acikgoz [18] implemented a real-time speed controller using a type-2 fuzzy neural network, while Hussain [19] introduced a type-II adaptive neuro-fuzzy controller with strong transient response capabilities.
Several studies have specifically integrated AI-based observers into MRAS or passivity-based frameworks. For instance, Medjadji [20] and Govindharaj [21] enhanced speed estimation using fuzzy and neuro-fuzzy observers. Parimalasundar [22] combined artificial neural networks with sliding mode control for power steering applications, and Mekrini [23] applied fuzzy logic in the control of asynchronous machines. Recent contributions by Sun [24] and Mienye [25] explored adaptive learning and recurrent neural network architectures to further strengthen robustness. Wu [26] addressed neural optimization by improving the convergence of online learning through gradient normalization—relevant to real-time motor drive applications.
Sensorless control of induction motors poses several interrelated challenges. The absence of rotor speed and flux sensors severely limits observability, particularly at low speeds or during rapid transients. Control performance also deteriorates under parameter variations, model uncertainties, and unmodeled nonlinearities. While significant progress has been made in adaptive, passivity-based, and learning-driven control, a critical gap remains in unifying these approaches into a robust and practical sensorless framework. Existing methods often treat passivity and learning separately or depend on fixed observers with limited adaptability. Neural and neuro-fuzzy controllers, though effective for nonlinear systems, frequently lack formal stability guarantees or disrupt the energy-preserving structure. Moreover, many nonlinear observers are structurally complex or computationally demanding, limiting their real-time applicability. Estimators such as MRAS become unreliable under noisy or imperfect measurements. These limitations, particularly under industrial conditions involving load transients and parameter drift, motivate a cohesive architecture that integrates passivity, adaptive learning, and efficient observer design into a unified sensorless control strategy.
This paper addresses the above challenges by presenting a unified, learning-enhanced, passivity-based control scheme for sensorless induction motors. The main contributions are as follows: (1) a novel nonlinear observer enhanced with a radial basis neural network to estimate rotor flux and speed under uncertainty, (2) the integration of a fuzzy MRAS estimator for robust speed reconstruction, (3) a passivity-based control law ensuring global asymptotic stability while tolerating model mismatches, and (4) real-time implementation and validation on a 1.1 kW induction motor using a dSPACE DS1104 board. Compared to existing approaches, the proposed scheme offers superior robustness, sensorless operation, and estimation accuracy under dynamic conditions, demonstrating up to an 88.6% reduction in torque estimation error and a 75.3% improvement in flux accuracy, thereby validating its effectiveness over conventional methods.
This architecture bridges the gap between model-based passivity control and data-driven adaptation, offering a scalable and robust solution for high-performance industrial IM drives. The remainder of this paper is organized as follows: Section 2 presents the nonlinear dynamic model of the IM motor and the passivity framework. Section 3 details the neural adaptive observer design and learning algorithm. Section 4 introduces the passivity-based control strategy and its integration with the observer. Section 5 describes the experimental platform and test scenarios and discusses the results. Finally, Section 6 concludes the paper and outlines future directions.

2. Mathematical Framework and Problem Statement

Before deriving the control laws, it is essential to establish a physically consistent mathematical model of the induction motor that captures the key electromechanical dynamics relevant for observer and controller design. The modeling approach adopted here is based on an energy-based formulation that reflects the internal coupling between electrical and mechanical subsystems. This framework serves as the foundation for the passivity-based and adaptive structures developed later in the paper.

2.1. Dynamic Model of an Asynchronous Motor

In the mathematical analyses, it is standard practice to substitute a squirrel cage motor (rotor is characterized by uniform distributed conductors) with a theoretically equivalent rotor. This theoretical model matches the stator in the number of phases and features conductors distributed in a sinusoidal pattern. This method operates under the assumption that only the fundamental harmonic of the rotor’s magnetomotive force (MMF) is considered. Practical findings confirm that analyses and controller designs using this reduced model are applicable to the actual machine. However, special attention is required when modeling wound rotors using sinusoidally distributed windings [27,28,29]. The dynamic model is derived through the direct use of Euler–Lagrange formalism, as outlined in [10] which results to (differential Lagrangian system)
  E l e c t r i c a l   P a r t                       D e q m q ¨ e + W 1 q m q ˙ m q ˙ e + R e q ˙ e = M e u
       M e c h a n i c a l   P a r t             D m q ¨ m + R m q ˙ m = T T L = 1 2 q ˙ e W 1 ( q m ) q ˙ e T L
or more compactly we write
D e q m 0 0 D m q ¨ e q ¨ m + W 1 q m q ˙ m q ˙ e 1 2 q ˙ e W 1 ( q m ) q ˙ e + R e 0 0 R m q ˙ e q ˙ m = M e u T L
The conventional two-phase αβ model, where the stator axes are stationary and the rotor axes rotate at the electrical angular velocity, is commonly used for a p pole-pair squirrel cage induction motor with a uniform air gap. This model defines the electrical parameters that are essential for analysis and control design.
D e q m = L s I 2 L m e J p q m L m e J p q m L r I 2 ;     R e = R s I 2 0 0 R r I 2 ;   M e = I 2 0 ;   J = 0 1 1   0 e J p q m = c o s p q m s i n p q m s i n p q m c o s p q m ;       e J p q m = e J p q m ;   J = J W 1 ( q m ) D e q m q m = 0 p L m e J p q m p L m e J p q m 0 ;     J e J p q m = e J p q m J
The current vector is: q ˙ e   q ˙ s ,       q ˙ r =   q ˙ s α ,   q ˙ s β ,   q ˙ r α ,   q ˙ r β with L s ,   L r ,   L m > 0 , R s ,   R r > 0 , D m > 0 , R m 0 . The flux vector λ is related to the current vector q ˙ e via λ D e q m q ˙ e =   λ s ,       λ r =   λ s α ,   λ s β ,   λ r α ,   λ r β . To carry out the controller design, perform a suitable linear factorization of these workless forces into a form:
W 1 q m q ˙ m q ˙ e 1 2 q ˙ e W 1 q m q ˙ e = C q , q ˙ q ˙
In particular, the matrix C q , q ˙ must be chosen such that D ˙ q 2 C q , q ˙ = C q , q ˙ C q , q ˙ is skew-symmetric, and its third–fourth rows are independent of the quantity q ˙ e . These conditions are necessary for the subsequent stability analysis. By utilizing the transposed form of T and W 1 q m , it becomes apparent that the desired objectives can be attained with the following selection:
C q , q ˙ = 0 0 f q , q ˙ p L m J e J p q m 0 0 f q , q ˙ 0 0 ;         a n d         f q , q ˙ = p L m J e J p q m q ˙ r
This decomposition results in the next compact model [13]:
D q q ¨ + C q , q ˙ q ˙ + R q ˙ = M u + ξ
with D q = d i a g D e q m ,     D m ,   R = d i a g R e ,     R m , q ˙ = q ˙ e ,   q ˙ m , M = M e ,     0 , and ξ = 0 ,     T L

2.2. Problem Formulation

Consider the induction motor model given by Equation (6) with outputs T and λ r to be controlled. Assume that:
A1  T L is an unknown constant (switched step).
A2  q ˙ s α ,   q ˙ s β are accessible.
A3 All parameters are well-known and R m > 0 .
Let T d be a differentiable function, with a known, bounded, first-order derivative, and let β(t) > 0 be the desired norm of the rotor flux, which is a twice differentiable with known, bounded first and second-order derivatives. Under these assumptions, the goal is to design a nonlinear control law that guarantees the stability (i.e., internally) and the asymptotic tracking of both T d t and β(t). This control law must guarantee that, for any initial conditions, all signals within the closed-loop system remain uniformly bounded, thereby achieving the desired system performance.
l i m t = T T d = 0 ,               l i m t = λ r β = 0
To address the need for accurate flux and torque estimation using only stator-side measurements, we proceed to design a reduced-order nonlinear observer formulated in the stationary αβ reference frame. The observer is structured to be consistent with the motor’s energy-based dynamics and is later augmented with a recurrent neural network to enhance estimation accuracy under nonlinearities and uncertainties.

3. Nonlinear Observer Design

In this section, we review several flux observer designs from the literature [30,31], followed by the development of a tailored observer formulated specifically for the nonlinear framework considered in this work.

3.1. Flux Observer in a Closed Loop

A foundational reference in this area is the observer introduced by Verghese and Sanders [32], which has since inspired several variants, including those proposed by De Luca and Ulivi [33], Garcia in [34], and by Mansouri [4]. The general structure of this classical observer is as follows:
d d t i ^ s λ ^ r = γ I 2 L m / T r I 2         K / T r I 2 K p Ω J 1 / T r I 2 + p Ω J i ^ s λ ^ r + 1 σ L s I 2 0 2 u s + k 1 I 2 + k 2 p Ω J k 3 I 2 + k 4 p Ω J e s
where i s = d q ˙ s / d , Ω = q ˙ m , i ^ s = [ i ^ s α , i ^ s β ] , λ ^ r = [ λ ^ r α , λ ^ r β ] , u s = [ u s α , u s β ] , the k i s being scalars and e s = i ^ s i s . Note that the gains depend on the speed in (8). We show the diagram block of this observer in Figure 1.
The resulting model for the observer error dynamics is then
d e d t = k 1 γ I 2 + k 2 p Ω J K / T r I 2 K p Ω J k 3 + L m / T r I 2 + k 4 p Ω J 1 / T r I 2 + p Ω J e       w i t h         e = i ^ s i s λ ^ r λ r
Note that we can freely determine the scalar coefficients in Equation (9). If k 1 and k 3 are selected such that k 1 γ = K / T r , k 3 + L m / T r = k 4 / T r the error dynamics is as follows:
d e d t = A e Q Ω e     w i t h     A e = k 2 I 2 K I 2 k 4 I 2 I 2 ;   Q Ω = p Ω J I 2 / T r 0 0 p Ω J I 2 / T r
We select k 2 and k 4 to place the eigenvalues of A e in arbitrary positions. Note that the characteristic polynomial of A e is s 2     1 + k 2 s   +   k 2 + k 4 K 2 . If the eigenvalues of A e are s 1 (twice) and s 2 (twice), then the eigenvalues of time varying matrix A e Q Ω are 1 / T r ± p Ω j s 1 and 1 / T r ± p Ω j s 2 using the slow dynamics theory.

3.2. The Proposed Nonlinear Intelligent Observer Design

Passivity-based control strategies are widely recognized for their reliance on rotor flux information, which is often challenging to measure directly. Consequently, considerable research efforts have been directed toward developing methods for estimating these values [35,36,37,38]. Now, we introduce the design of a reduced-order flux observer for an asynchronous motor operating in the αβ reference frame. The proposed observer requires inputting only the stator voltage, current, and rotor speed. Specifically, this new nonlinear observer incorporates the speed measurements, ensuring that only the electrical quantities are required in the estimation process [13]. Consider the αβ model for induction motor:
d d t q ˙ s α q ˙ s β λ r α λ r β = γ q ˙ s α + K T r λ r α + K p q ˙ m λ r β + 1 σ L s u s α γ q ˙ s β K p q ˙ m λ r α + K T r λ r β + 1 σ L s u s β L m T r q ˙ s α 1 T r λ r α p q ˙ m λ r β L m T r q ˙ s β + p q ˙ m λ r α 1 T r λ r β y 1         y 2 = q ˙ s α         q ˙ s β                                                                                                  
where
T r = L r R r ;       σ = 1 L m 2 L s L r ;             K = L m σ L s L r ;         γ = R s σ L s + R r L m 2 σ L s L r 2
The system (11) is the form:
z ˙ = F Ω z + G u , Ω , z     a n d     y = C z
with
F Ω = 0 F 1 Ω 0 0 ;   G u , Ω , z = g 1 ( u , Ω , z ) g 2 ( u , Ω , z ) ;   u = u s α u s β ;   z = z 1 z 2 ;     y = q ˙ s α q ˙ s β ;   z 1 = q ˙ s α q ˙ s β ;   z 2 = λ r α λ r β ;   Ω = q ˙ m F 1 Ω = K T r K p Ω K p Ω K T r ;   g 1 u , Ω , z = γ q ˙ s α + 1 σ L s u s α γ q ˙ s β + 1 σ L s u s β ;   g 2 u , Ω , z = L m T r q ˙ s α 1 T r λ r α p Ω λ r β L m T r i s β + p Ω λ r α 1 T r λ r β ;   a n d     C =   1 1 0 0
Here, we make the following assumptions as posed by K. Busawon (see [12]):
(A4) There exists a class U of bounded admissible controls, a compact set K R 2 × 2 and positive constants α, β > 0 such that for every u U and every output y t associated with u and with an initial state z 0 K , we have 0 < α I 2 F 1 F 1   β I 2 .
(A5)  Ω t and its time derivative d Ω ( t ) / d t are bounded.
(A6) The matrix F 1 Ω is of class C r , r     1 with respect to their arguments.
(A7) Functions g 1 , g 2 are global Lipschitz with respect to z uniformly in u and Ω .
We characterize the observer design for the system (12) in the following theorem:
Theorem 1. 
Assume that the system (12) satisfies Assumptions (A4) to (A7). Then there exists θ   >   0 such that the system
z ^ ˙ = F Ω z ^ + G u , Ω , z ^ L θ Ω z ^ z             w i t h           L θ Ω = Λ 1 Ω S θ 1 C C
is an exponential observer for the system (12), where S θ is the unique solution of the algebraic Lyapunov equation θ S θ + A S θ + S θ A C C = 0 , Λ Ω = b l k d i a g I 2 ,   F 1 Ω , S θ 1 C = 2 θ I 2   θ 2 I 2 , A = 0 2   I 2 , 0 2   0 2 and the explicit formula of L θ Ω is
L θ Ω = Λ 1 Ω S θ 1 C C = 2 θ I 2       0 2 ,     θ 2 F 1 1 Ω       0 2 ,           a n d             θ > 0
Moreover, we can make the dynamics of this observer arbitrarily fast.
So, by multiplying the left- and right-hand sides of (14) by Λ Ω and Λ Ω , respectively, the following algebraic equation holds:
θ S ^ θ + F Ω S ^ θ + S ^ θ F Ω C C = 0       w i t h       S ^ θ = Λ Ω S θ Λ Ω
The choice of θ permits the pole placement of the observer according to the speed.
In summary the system can be written as x ˙ I M t = A I M Ω x I M t + B I M Ω u s t or
d d t q ˙ s λ r = γ I 2 L m / T r I 2   K / T r I 2 K p Ω J 1 / T r I 2 + p Ω J q ˙ s λ r + 1 σ L s I 2 0 2 u s ;   y = q ˙ s
The observer is x ˙ O t = A I M Ω x O t + B I M Ω u s t + L θ Ω e s t or
d d t q ˙ ^ s λ ^ r = γ I 2 L m / T r I 2   K / T r I 2 K p Ω J 1 / T r I 2 + p Ω J q ˙ ^ s λ ^ r + 1 σ L s I 2 0 2 u s + 2 θ I 2 0 θ 2 h Ω 0 e s
So the error equation is e ˙ s t = A O Ω e s t with A O Ω = A I M Ω L θ Ω or
d d t e s = 2 θ I 2 γ I 2 θ 2 h Ω + L m / T r I 2 K / T r I 2 K p Ω J 1 / T r I 2 + p Ω J e s   a n d   h Ω = K / T r I + K p Ω J K / T r 2 + K p Ω 2
To incorporate learning-based compensation for model uncertainties and to enhance the robustness of the nonlinear observer, we introduce a radial basis function neural networks (RBFNN) term into the observer dynamics. The network approximates unknown disturbances or residual nonlinearities using a regressor ϕ t R n ϕ composed of observable and estimated signals. Let Δ ϕ R n z represent an unknown nonlinear function (e.g., modeling error or disturbance). The universal approximation theorem states that, for any continuous function Δ ϕ , there exists a feedforward neural network (three-layer NN) of the form: Δ ξ Δ ^ ξ = i = 1 n h W i ψ i ξ with ξ = V ϕ + B or we omit the intermediary variable ξ as Δ ϕ = W Ψ ϕ where
  • Ψ ϕ = ψ 1 ϕ , , ψ n h ϕ R n h is the activation vector;
  • W = arg min W R n h × n z s u p ϕ Ω ϕ Δ x W Ψ ϕ is the output weight matrix;
  • ψ i ϕ are nonlinear sigmoids activation functions (e.g., tanh, ReLUs, etc.);
  • V R n h × n : stacked weight matrix ( i t h row is v i ), B R n h : stacked biases;
  • The exponential and division are elementwise.
The coefficients v i and bi are the hidden layer parameters ( v i R n Input-to-hidden weights “nonlinear layer” and b i R are the bias of neuron i ). Now, the resulting enhanced observer is given as follows:
z ^ ˙ = F Ω z ^ + G u , Ω , z ^ Λ 1 Ω S θ 1 C T C z ^ y + W Ψ ϕ t
Here, W R n h × n z is the adaptive weight matrix of the neural network and the vector Ψ ϕ t R n h is a vector of radial basis activation functions; typically Gaussian ( Ψ i = exp ϕ t c i / σ i 2 and ϕ t is the regressor vector, e.g., ϕ t = z , u , Ω ). The network parameters are updated online via adaptation rules derived from Lyapunov stability analysis to ensure convergence and passivity preservation. The RBF neural term f R B F ϕ t = W Ψ ϕ t is added as a correction to the standard observer dynamics, to compensate for unknown nonlinearities or disturbances not captured by F and G . This term acts like a learning system and is updated online (see Figure 2).
So the RBFNN becomes: Δ ϕ = i = 1 p w i ψ i ϕ = W Ψ ϕ . In order to train the RBFNN, we should minimize the objective function: J = e n 2 = y ^ n y n 2 . To adapt c j , perform J / c j = e n w j . ψ j φ n / c j = e n w j . ψ j φ n . φ n c j / σ j 2 . Again, for σ j we have: J / σ j = e n w j . ψ j φ n / σ j = e n w j . ψ j φ n . φ n c j 2 / σ j 3 . Here is a formal description of this training algorithm (Algorithm 1):
Algorithm 1: RBF Neural Network Training via Gradient Descent
Automation 06 00045 i001

3.3. The Proposed Fuzzy-MRAS Estimator

Rotor speed Ω ^ can be estimated using a model reference adaptive system (MRAS) structure composed of two estimators: a reference model and an adaptive model. Both models independently compute the rotor flux linkage components λ r α and λ r β in the stationary αβ reference frame. By comparing the flux-linkage estimates, the adaptive model adjusts its internal speed estimate to minimize the discrepancy, thereby converging to the true rotor speed [8,9]. The reference model, derived from the stator voltage equations, does not depend on rotor speed and is therefore suitable for speed-independent flux estimation. Its expression in the stationary frame is as follows:
d λ r α r e f d t = L r L m u s α R s i s α σ L s d i s α d t ;         d λ r β r e f d t = L r L m u s β R s i s β σ L s d i s β d t          
In contrast, the adaptive model, formulated from the rotor voltage equations, explicitly depends on the rotor flux components and the estimated speed Ω ^ . It is expressed as
d λ ^ r α d t = L m T r i s α 1 T r λ ^ r α p Ω ^ λ ^ r β ;                     d λ ^ r β d t = L m T r i s β 1 T r λ ^ r β + p Ω ^ λ ^ r α
The angular discrepancy between the estimated and reference flux vectors serves as the adaptation signal, which is processed by a linear PI controller to adjust the estimated speed. Applying the Popov h y p e r s t a b i l i t y criterion [10,20] to guarantee global asymptotic stability of the closed-loop estimation system, the adaptive law is given by
d Ω ^ d t = K p d ε t d t + K i ε t ;                 w i t h                   ε t = λ ^ r α λ r β r e f λ ^ r β λ r α r e f
Fuzzy logic is particularly advantageous for systems that are difficult to model analytically, due to limited data availability, incomplete information, or the inherent complexity of the underlying process [16]. These systems can be easily extended by adding new rules, allowing for performance enhancements and the inclusion of additional features. In conventional MRAS-based speed observers, a proportional integral (PI) controller is typically employed within the adaptation mechanism to estimate rotor speed by minimizing the error between the reference and adaptive models [18]. In the proposed approach, the PI controller is replaced by a fuzzy logic controller, as depicted in Figure 3. The complete block diagram of the fuzzy controller is presented in Figure 4, and its internal structure is illustrated in Figure 5. The fuzzy logic system operates by first processing the input variables through a fuzzification stage, where crisp input values are mapped to fuzzy sets using predefined membership functions and scale transformations. This scale mapping adjusts the range of the input variables to match the domain expected by the controller. The rule base stores the fuzzy inference rules, while the inference mechanism applies these rules to derive fuzzy conclusions. Common inference strategies include the Mamdani method, which typically uses the logical AND operator for rule evaluation, and the Takagi–Sugeno Model (TSM), which generates functional outputs based on the input variables [23,36,39]. Finally, the defuzzification stage converts the fuzzy output set into a crisp control signal suitable for direct application to the system.
Knowing that gains K 1 , K 2 and K 3 are scaling factors, they should be chosen carefully after performing the trial-and-error technique to obtain the optimal performance of the controller. From the expert estimator, the following memberships of fuzzy sets are used. The rules supporting this system are expressed in Table 1, where NB: Negative Big, PB: Positive Big, NS: Negative Small, PS: Positive Small, and ZE: Zero Equal. The number of inputs to the fuzzy controller can be two or three. In the proposed method to reduce complexity, the two inputs are considered. The linguistics values that can be considered for each input are 3, 5, 7 or 9, as the case may be. Since there are two inputs, the numbers of rules that are possible are N × N or N 2 which gives 9, 25, 49 or 81 rules for the above linguistic values, respectively. The choice of linguistic value should be made keeping into consideration that the control should be good, and computation taken by the fuzzy controller should not be high or make the process slow. The linguistic value 3 which gives 9 rules is too small to achieve the better control. Figure 6 shows the fuzzy membership functions and control surface of the proposed adaptive system.
The fuzzy inference rules used in the proposed system are summarized in Table 1.

4. Passivity-Based Output Feedback Controller

4.1. Non-Intelligent Sensorless Adaptive Passivity-Based Controller Design

The fundamental concept of passivity lies in shaping the total energy of the system and introducing an additional damping term to guide its dynamic behavior. Using the Euler–Lagrange modeling (ELM) framework, the total energy expression can be systematically formulated and then shaped toward a desired minimum. If the control input is designed to inject a supplementary dissipative term into the system, the convergence to the equilibrium state can be significantly improved beyond what is achieved through the system’s natural dissipation alone. In essence, passivity is an intrinsic property of certain physical systems and is closely linked to the notion of input–output stability [10,35].
Definition 1.
Assume a system is said to be passive if there exists a non-negative function  V : R n R , called a storage function, with V 0 = 0 , as for all u U , x 0 = x 0 X and t     0 , it is satisfied
V x t V 0 0 t y ξ u ξ d ξ  
where V is a continuous storage function with continuous derivatives of order r . Condition (20) can also be expressed as V ˙ x t y t u t [29]. The system is said to be lossless when V ˙ x t = y t u t .
In cases where the nature of the system does not involve any motion of coordinates or changes in reference frames (systems that are not explicitly time dependent), the Hamiltonian H is simply the total energy of the system. The Hamiltonian of IM (i.e., conservative system with zero potential energy) equals the sum of the kinetic energy K and the potential energy P :
H q ˙ e , q ˙ m ,   q m = 1 2 q ˙ e D e q m q ˙ e + 1 2 D m q ˙ m 2
The time derivative of this Hamiltonian function along the trajectories of the system can be expressed as follows:
d H d t = 1 2 q ˙ e D e q m q ˙ m q ˙ e + q ˙ e D e q m q ¨ e + D m q ¨ m q ˙ m
Using the previous equations D e q ¨ e = u e W 1 q ˙ m q ˙ e R e q ˙ e ;   D m q ¨ m = T T L R m q ˙ m and T = q ˙ e W 1 q ˙ e / 2 we obtain
d H d t = T L q ˙ m + q ˙ e u e q ˙ e R e q ˙ e + q ˙ m R m q ˙ m = q ˙ e       q ˙ m R e 0 0 R m q ˙ e q ˙ m + q ˙ e       q ˙ m u e T L  
So, the derivative of Hamiltonian function of IM is given by
d H / d t = q ˙ R q ˙ + y u ;         w i t h     u =       u e T L   ;     y = q ˙ e q ˙ m  
From (Stored Energy = Supplied Energy − Dissipated Energy), we have
H t H 0 = 0 t y τ u τ d τ     0 t q ˙ τ R q ˙ τ d τ
Because H t 0 we deduce that
H t = H 0 + 0 t y t u t d t 0 t q ˙ t R q ˙ t d t     0
T h e r e f o r e   0 t y τ u τ d τ         0 t q ˙ τ R q ˙ τ d τ H 0
0 t y τ u τ d τ       λ m i n R 0 t q ˙ τ 2 d τ H 0
This outcome proves that the system (IM) is passive, hence the p a s s i v i t y of the induction motor is proved. Also we note that the vector given by W = C q , q ˙ q ˙ contains the forces which do not produce work. As the IM system is an interconnection of two subsystems (electrical and mechanical, see Figure 7) then it can be shown that each of the two subsystems are passive, so we arrive at a new approach to the structure of passivity based on the fact that the interconnection of two passive subsystems is passive.
We consider the total energy H e of the electrical subsystem: H e = q ˙ e D e q m q ˙ e / 2 , then the time derivative of this H e along the trajectories of the electrical system can be expressed as
d H e d t = 1 2 q ˙ e W 1 q ˙ m q ˙ e + q ˙ e D e q m q ¨ e = 1 2 q ˙ e W 1 q ˙ m q ˙ e + q ˙ e u e q ˙ e W 1 q ˙ m q ˙ e q ˙ e R e q ˙ e = q ˙ e u e T q ˙ m q ˙ e R e q ˙ e = q ˙ e       T u e q ˙ m q ˙ e R e q ˙ e
So, the derivative of this Hamiltonian function is d H e / d t = q ˙ e R e q ˙ e + y 1 u 1 and by integrating this, we obtain
H e t H e 0 = 0 t y 1 τ u 1 τ d τ   0 t q ˙ e τ R e q ˙ e τ d τ
Because H e t 0 we deduce that
H e 0 + 0 t y 1 τ u 1 τ d τ   0 t q ˙ e τ R e q ˙ e τ d τ     0
This inequality gives us
0 t y 1 τ u 1 τ d τ λ m i n R e 0 t q ˙ e t 2 d t H e 0
which proves the passivity of the electrical subsystem. On the other hand, the mechanical subsystem is positive real for all D m and R m which is also passive.
Proposition 1.
Consider the asynchronous motor given by Equation (6) with outputs  T  and λ r = β to be controlled, and assumptions A1 to A3. Let the control law be defined as follows:
u t = L s q ¨ s r e f + L m e J p q m q ¨ r r e f + p L m J e J p q m q ^ ˙ r q ˙ m r e f + R s q ˙ s r e f   K 1 q ˙ m r e f q ~ ˙ s
The superscript r e f is the desired variable, with
q ˙ r r e f = e J ρ d β ˙ / R r   T d / p β ;   q ˙ s r e f = 1 L m e J ( p q m + ρ d ) β + L r / R r β ˙   L r T d / p β ;   q ˙ r e f = q ˙ e r e f q ˙ m r e f ;     q ˙ e r e f = q ˙ s r e f q ˙ r r e f
and with the following controller dynamics  ρ ˙ d t = R r / p β T d t ,           ρ d ( 0 ) = 0  and  q ¨ m r e f t = [ p L m q ^ ˙ r J e J p q m q ˙ s r e f R m q ˙ m r e f T ^ L + K 2 q ˙ r e f q ~ ˙ m ] / D m ,   q ˙ m r e f ( 0 ) = q ˙ m ( 0 ) .
The gains  K 1 q ˙ m r e f  and  K 2 q ˙ r e f  are given as
K 1 q ˙ m r e f : = p 2 L m 2 4 ε 1 q ˙ m r e f 2 + k 1 ;           K 2 q ˙ r e f : = p 2 L m 2 4 ε 1 q ˙ e r e f 2 + q ˙ m r e f 2 + k 2 ;
with  0 < ε 1 < R r / 2 ,       k 1 0 ,       k 2 > 0 , while the state estimator and the load adaptation law are
D e q m q ^ ¨ e + W 1 q m q ˙ m q ^ ˙ e + R e q ^ ˙ e = M e u L q ˙ m e ˙ e
T ^ ˙ L = γ L q ~ ˙ m ,             γ L > 0
where  e ˙ e = q ^ ˙ e q ˙ e , q ~ ˙ m = q ˙ m r e f q ˙ m  and
L q ˙ m = 2 θ I 2 0 2 θ 2 h q ˙ m 0 2 ;               a n d         h q ˙ m = F 1 1 q ˙ m = K T r I + K p q ˙ m J K / T r 2 + K p q ˙ m 2 R 2 × 2
Under these conditions, the closed-loop system guarantees global tracking of torque and flux norm, while ensuring all signals remain uniformly bounded.
Proof. 
Because the control law utilizes the estimated states rather than the actual ones, as opposed to the ideal scenario, the error dynamics in this case are
D q q ~ ¨ t + C q , q ˙ + R + K q ˙ r e f q ~ ˙ t = S q m , q ˙ r e f e ˙ e t + ξ ~ t
where K q ˙ r e f = d i a g K 1 q ˙ m r e f I 2 , 0,0 , K 2 q ˙ r e f , ξ ~ : = [ 0 1 × 4 , T ~ L ] = [ 0 , 0 , 0 , 0 , ( T ^ L T L ) ] and
S q m , q ˙ r e f = 0 2 p L m J e J p q m q ˙ m r e f 0 1 × 2 0 2 0 2 p L m q ˙ s r e f J e J p q m R 5 × 4 ;             q ~ ˙ t = q ˙ s t q ˙ r t q ˙ m t q ˙ s r e f t q ˙ r r e f t q ˙ m r e f t R 5 × 1
Alternatively, based on Equations (1) and (34), the observation error e ˙ e satisfies the following equation: D e ( q m ) e ¨ e + W 1 ( q m ) q ˙ m + L ( q ˙ m ) e ˙ e + R e e ˙ e = 0 . So, consider the following Lyapunov function candidate:
V = 1 2 q ~ ˙ D ( q ) q ~ ˙ + 1 2 e ˙ e D e ( q m ) e ˙ e + 1 2 γ L T ~ L 2
Knowing that the matrix term D ˙ ( q ) 2 C ( q , q ˙ ) is skew-symmetric matrix and D ˙ e ( q m ) 2 W 1 ( q m ) q ˙ m + L ( q ˙ m ) yields the derivative
V ˙ = q ~ ˙ R + K ( q ˙ r e f ) q ~ ˙ + q ~ ˙ S q m , q ˙ r e f e ˙ e e ˙ e R e e ˙ e + 1 γ L T ~ L T ~ ˙ L + q ~ ˙ ξ ~
Use Equation (35) in the equation above and define   z : = q ~ ˙ , e ˙ e , which results in the next quadratic function V ˙ = z M z with
M = R + K ( q ˙ r e f ) 0 0 R e 1 2 0 S q m , q ˙ r e f S q m , q ˙ r e f 0
Verifying that K ( q ˙ r e f ) guarantee the strict positive definiteness of M , i.e., M δ I 9 > 0 . □
To enable full sensorless operation prior to incorporating intelligent learning, the control framework is first augmented with a conventional PI-based speed estimator. This allows rotor speed reconstruction from electrical measurements alone, eliminating the need for mechanical sensors while preserving the structure and stability of the original passivity-based control loop.
The estimation flux is used to drive a PI-like update law for q ^ m . The standard structure is as follows:
q ^ m = K p ε t + K i ε t d t     w i t h       ε t = q ˙ s J λ r = λ ^ r α t q ˙ s β t λ ^ r β t q ˙ s α t              
ε t = q ˙ s J λ r is the error between the real and estimated rotor fluxes and currents.
The overall architecture of the non-intelligent sensorless adaptive passivity-based controller is illustrated in Figure 8.
Although the previous controller ensures tracking and robustness via passive control, its performance may degrade under unmodeled dynamics or uncertainties. To enhance adaptability, a recurrent output feedback controller network is integrated to learn residual dynamics in real time, yielding an intelligent adaptive control.

4.2. The Proposed Intelligent Adaptive Passivity-Based Controller Design

The proposed intelligent adaptive passivity-based controller integrates neural learning for enhanced sensorless performance. As shown in Figure 9, a recurrent neural network estimates both the load torque T ^ L and rotor speed q ^ ˙ m , enabling full sensorless operation. These estimates drive a passivity-based control loop to generate stator voltage commands, ensuring robustness in both steady-state and dynamic conditions.
The proposed scheme employs a recurrent NN network to estimate the load torque T L and the rotor speed q ˙ ^ m . By capturing temporal dependencies, the RNN effectively models the motor’s nonlinear dynamics, outperforming conventional feedforward networks. Let e ω k   =   q ˙ m r e f k q ˙ ^ m k and e T k   =   λ ^ r α k q ˙ s β k     λ ^ r β k q ˙ s α k denote the speed and the electromagnetic torque errors, at discrete time step k . The internal structure of the RNN is governed by the following equations [25,26,40]:
  • Hidden State Update: h ( k ) = Ψ ( W i n e k + W r e c h k 1 + b h ) where
    • h k R n : hidden state vector,   b h R n : bias vector;
    • W i n R n × 1 : input weight matrix,  W r e c R n × n : recurrent weight matrix;
    • Ψ : element-wise activation function (e.g., tanh or ReLU).
  • The Output Estimation: y n e t k = W o u t h k + b o where
    • W o u t R 1 × n : output weight vector,   b o R : output bias.
The complete mapping from input error to the needed estimate is compactly expressed as: y n e t k = f R N N e k , h k 1 ; θ where θ = W i n , W r e c , W o u t , b h , b o is the set of all trainable parameters [30]. This RNN-based estimator enables the controller to adaptively generate commands that account for the system’s nonlinearities, time delays, and dynamic uncertainties, thus enhancing overall control performance. The RNN parameters θ are optimized to minimize the mean- squared error loss: L = [ k = 1 N y n e t k y n e t k 2 ] / N . First we compute hidden states and output estimates sequentially: h ( k ) = Ψ ( W i n e k + W r e c h k 1 + b h ) and y n e t k = W o u t h k + b o ; then compute gradients Δ = L / θ by unrolling the network through time and applying the chain rule. Finally, update parameters using gradient descent or an advanced optimizer (e.g., Adam): θ = θ + η Δ where η is the learning rate. This iterative process continues until convergence, enabling the RNN to learn the dynamic mapping from error sequences to the output commands effectively [31]. If we define the function δ k = L / y n e t = 2 y n e t k y n e t k / N then the gradients for output layer are given by g o u t   =   L / W o u t   =   k = 1 N δ k h ( k ) and g b o   =   L / b o   =   k = 1 N δ k . Also, if we back-propagate through time (BPTT) into hidden states ϵ k = L / h ( k ) R n then we compute recursively (i.e., k = N : 1 ) as ϵ k = W o u t δ k + W r e c ϵ k + 1 Ψ a k + 1 where a k = W i n e k + W r e c h k 1 + b h , Ψ a is the element-wise derivative of activation function and is the element-wise multiplication. Now use the function ϵ k to compute the following gradients: g r e c   =   L / W r e c   =   k = 1 N s k . h k 1   R n × n , g i n = L / W i n = k = 1 N s k . e ( k ) R n × 1 and g b h = L / b h = k = 1 N s k . R n with s k = ϵ k Ψ a k . Finally, if we let η be the learning rate, then we can update W o u t W o u t η g o u t , W r e c W r e c η g r e c etc. All parameters are updated this way. The structure of this learning procedure is given in the flowchart shown in Figure 10.
The RNN parameter’s updating of steps using BPTT are described in Algorithm 2:
Algorithm 2: Backpropagation for the RNN Torque Estimator
Automation 06 00045 i004

5. Experimental Results and Discussion

The NN-PBC controller has been tested on a test setup (Figure 11) which consists of
  • Three-phase induction motor with rated values:
    • Rated voltage: 380 V.
    • Rated current: 2.2 A.
    • Number of phases: 3.
    • Rated power: 1.1 kW.
    • Frequency: 50 Hz.
    • Rated speed: 1430 rpm/min.
  • Synchronous machine with powder brake for loading the IM.
  • Electronic power converter (without any control system).
  • 3 ϕ (three-phase) diode rectifier and
  • VSI composed of three IGBT modules.
  • Electronic card for monitoring the stator phase (LEM Int’l SA, Geneva, Switzerland)
    • Instantaneous voltage sensors (LEM LV 25-P),
    • Instantaneous current sensors (LEM LA 55-P).
  • Voltage sensor for monitoring the instantaneous value of
  • The dc-link voltage (model LEM CV3-1000) (LEM Int’l SA, Geneva, Switzerland).
  • Incremental encoder only for comparison measurements.
  • Model RS 256-499, 2500 pulses per round, (for validation–comparison, not for control) (Renishaw plc, Wotton-under-Edge, UK).
  • dSPACE card (DS1104) with a PowerPC 604e at 400 MHz and floating-point digital signal processor DSP—TMS320F240 (dSPACE GmbH, Paderborn, Germany). During the real-time operation of the control, the supervision/capturing of the important data can be performed by the CONTROLDESK software (ControlDesk software, version 5.1). provided with DSP board.
Simulations in MATLAB verified the proposed control scheme using a rated flux reference and 500 V DC-link voltage. The feedback signal reconstruction was confirmed in simulation, and experimental results further validated the effectiveness and robustness of the sensorless control strategy. The electrical and mechanical parameters of the induction motor are listed in Table 2.
The “Control/Command” part is based on the D S 1104 R&D Controller Board developed by the German company dSPACE and housed in a computer. This control card is made up of two processors. The master processor manages the application while the slave processor, a DSP (“Digital Signal Processor”) from TEXAS INSTRUMENT (type T M S 320 F 240 ), generates the P W M (Pulse Width Modulation) control signals in 0/5 V TTL logic. This constitutes the “hardware” part of d S P A C E . The “software” part consists of two software programs. The first, M A T L A B / S i m u l i n k R 2021 a , allows easy programming of the real-time application under Simulink by using specific blocks (belonging to the “Real Time Interface ( R T I ) toolbox”) allowing the configuration of the inputs/outputs of the D S 1104 card. The second software, C o n t r o l D e s k , allows the program code to be loaded onto the card (written in graphical form in Simulink, compiled and transformed into C code), to create a complete experimental environment and, in particular, a graphical interface for controlling the real-time process, to process the data and save it in a format compatible with M A T L A B (for later processing) or even to monitor in real time the evolution of the measured or calculated data using graphical or digital displays. The exchange of information between the two parts described is carried out via an external connection box (Connector Panel C P 1104 from d S P A C E ) connected to the card via a shielded cable and receiving the analog signals via B N C connectors, an interface for conditioning the P W M control signals and any error signals returned by the Semikron converter and a measurement environment consisting of various sensors. The signal conditioning interface converts the signals from T T L 0/5 V logic to C M O S 0/15 V logic and vice versa. This modification is essential because the D S 1104 control card works with T T L 0/5 V logic signals, while these must be in C M O S 0/15 V logic for the voltage inverter. The measurement environment consists of LEM type LA25TP sensors (closed-loop current sensors using the Hall effect) for current measurements, LEM type LV100-500 sensors (closed-loop voltage sensors using the Hall effect) for voltage measurements and an incremental encoder to measure the motor rotation speed. Finally, the measured analog currents are intended for digital processing and must therefore be sampled. Therefore, in order to avoid any spectral aliasing phenomenon, it is necessary to insert a guard filter (with an estimated cut-off frequency of 500 Hz, one order of magnitude above the fundamental frequency of 50 Hz) between each sensor and the analog-to-digital converter.
Analyzing the operation of an IM supplied by a voltage inverter is complex due to its complicated nonlinear nature. Moreover, neural (or neuro-fuzzy) adaptive control of an IM requires solid theoretical foundations in areas such as electrical machines, power electronics, and control systems [41]. Using the d S P A C E -instrumented platform, the proposed control strategy is first implemented in Simulink, then deployed in real-time via d S P A C E . The P W M -driven inverter operates at a switching frequency of 9.5 kHz. A detailed view of the experimental setup is provided in Figure 12.

5.1. Study of the Proposed Nonlinear Intelligent Observer

The performance of the proposed nonlinear observer is first evaluated in open-loop and then integrated into a closed-loop configuration with the nonlinear controller of the induction motor. To align the observer dynamics with those of the plant, a tuning parameter 5 θ 30 is used. The trajectories of the motor and observer poles are experimentally analyzed under this setting. Figure 13 illustrates the rotor flux observation error obtained at various operating speeds (0.0125, 3.4, and 150 rad/s), with θ = 30 ,   a n d   θ = 30 , demonstrating the accuracy and robustness of the observer. The given architecture is tested under different perturbation scenarios, including parameter variations and unmodeled dynamics, to validate the strength and reliability of the proposed intelligent strategy.
The convergence characteristics of the proposed nonlinear observer are significantly affected by the tuning parameter θ , which shapes the placement of its eigenvalues relative to those of the motor. As shown in the upper subplots of Figure 14, increasing θ shifts the observer poles (blue) to follow the motor poles (red) more closely across the operating range Ω = 0 to 400 rad/s. For θ = 5 , the observer exhibits a moderately damped response, while θ = 30 yields faster convergence with reduced transients. The lower subplots of Figure 14 illustrate the corresponding rotor flux observation errors under three representative speeds (0.0125, 3.4, and 150 rad/s). In both cases, the observer demonstrates strong convergence properties, but higher θ improves transient rejection and tracking precision, especially at low and nominal speeds.
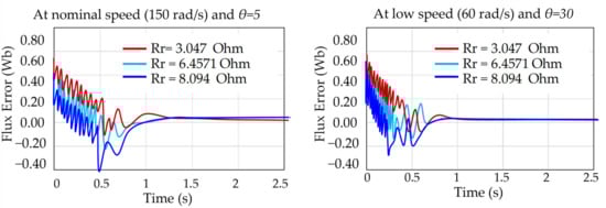
To evaluate the sensitivity of the proposed nonlinear observer to rotor resistance variations, Figure 14 presents experimental results under three resistance values: 3.047   O h m (nominal), 6.4571   O h m (+50%), and 8.094   O h m (+100%). The observer is initialized with rotor flux components set to λ r α 0 = λ r β 0 = 0.5   W b .
Figure 14 demonstrates that, even with R r increased from 3.047   O h m (nominal) to 6.457   O h m (+50%) and 8.094   O h m (+100%), the nonlinear observer ensures rapid flux convergence. At both nominal (150 rad/s) and low speed (60 rad/s), transients settle within 0.6 s, showing strong disturbance rejection. A small steady-state offset remains (about 0.15 Wb at +50% and 0.30 Wb at +100%) indicating sensitivity to parameter mismatch. To address this, an RBFNN-based observer is introduced (Figure 15), incorporating an adaptive term that continuously compensates for rotor resistance errors and effectively eliminates steady-state flux bias under large uncertainties.
Figure 15 highlights the impact of the RBFNN augmentation on the observer’s transient performance under large rotor resistance variations. In the baseline observer, the flux error exhibits pronounced oscillations and peak deviations nearing 0.8 Wb for a +100% resistance change, with settling oscillations persisting beyond 0.6 s. With the RBFNN-enhanced observer, the peak error is reduced by over 50%, and oscillations are significantly damped—settling in under 0.4 s across all resistance cases. This clear reduction in transient amplitude and faster damping confirms that the online neural adaptation effectively compensates for parameter mismatches, yielding smoother and more responsive flux estimation throughout the speed range.

5.2. Comprehensive Evaluation of the Proposed Nonlinear Intelligent Passivity-Based Control

This section presents an overall assessment of the proposed nonlinear intelligent passivity-based control, which integrates a neural PBC controller, an RNN-based adaptive observer, and a sensorless speed estimator. The complete system is tested in a closed loop with the induction motor under various conditions, including load disturbances, speed reversals, and parameter variations. The results highlight the dynamic performance of key signals such as torque, rotor flux, speed, and control voltages, confirming the robustness, adaptability, and precision of the proposed scheme. Figure 16 presents these responses under all test scenarios.
The performance of the proposed nonlinear intelligent PBC strategy is illustrated in Figure 16, which presents both control and estimation results under time-varying speed and load torque conditions. The top-left subplot shows that the controlled electromagnetic torque T d ( t ) tracks the reference smoothly with minimal steady-state error. The top-right plot confirms accurate load torque estimation T L ( t ) , closely matching the timing and magnitude of applied disturbances. The middle-left subplot shows that both estimated and measured speeds follow the commanded reference q ˙ m r e f t throughout acceleration, cruising, deceleration, and re-acceleration phases. The speed error, shown on the bottom-left, remains within ±8 rad/s, demonstrating the precision of the RNN-based speed estimator. The control voltages V a and V b , in the middle-right plot, reach ±250 V with consistent modulation behavior. The bottom-right plot shows torque error bounded within ±0.5 Nm, confirming high tracking accuracy and effective disturbance rejection. These results validate the proposed architecture’s capability for precise tracking, reliable estimation, and smooth control under sensorless operation.
Figure 17 was performed on a sensorless induction motor using the proposed PBC strategy for torque and flux control. The system faced load variations, noise, and rotor resistance mismatch, with all estimations handled observer-based. Control ran in real time with a PWM injection, and key signals were precisely recorded for evaluation. The applied torque includes direction reversals to assess robustness.
The experimental results clearly confirm the effectiveness of the proposed nonlinear intelligent passivity-based control strategy. The motor tracks the torque reference with high accuracy, including during rapid transients and full torque reversal, maintaining a peak error within ±0.2 Nm. The estimated load torque closely matches the real applied load, capturing both magnitude and timing under dynamic conditions. The speed response aligns well with the reference, and the speed estimation remains precise even during acceleration and sharp changes. The flux estimation error is well confined within ±0.1 Wb, indicating strong observer performance. Input voltages exhibit clean modulation without saturation or chattering, demonstrating the quality of PWM-based voltage control. Despite load disturbances, parameter uncertainties, and a full sensorless operation, the controller preserves stability, accurate tracking, and robustness, confirming its suitability for advanced industrial applications.

5.3. Comparative Study and Performance Evaluation

To evaluate the performance of the proposed control, we use standard electrical engineering (EE) control metrics based on the response to torque amplitude or flux amplitude (i.e., |final − initial|):
  • t 2 % is the time at which the response signal has covered 2% of the ramp amplitude.
  • t 95 % is the time after which the response remains at less than 5% of the target value.
  • D % Peak overshoot relative to target (% of ramp amplitude).
  • E s s (steady-state error settling) the error once the t 95 % has been reached.
  • E f o l Error when reference reaches 50% of ramp.
  • T m a x Max torque deviation during speed ramp.
And in order to analyze the performance at global scope, we employ standard machine learning (ML) metrics: mean absolute error (MAE), symmetric mean absolute percentage error (SMAPE), and coefficient of determination ( R 2 ). These metrics are defined as follows: M A E = t = 1 T y t y ^ t / T ; S M A P E = 100 .   t = 1 T y t     y ^ t / y t + y ^ t / T ; and R 2 = 1 t = 1 T y ¯ t     y ^ t 2 / t = 1 T y ¯ t     y t 2 where y t is the ground truth, y ^ t is the predicted output of the model at time t , and T is the total experiment duration. y ¯ t denotes the mean of y t . These metrics jointly characterize accuracy, relative error, and explained variance, enabling a comprehensive assessment of model fidelity.
To comprehensively assess the effectiveness of the proposed adaptive neuro-PBC sensorless control scheme under realistic and demanding operating conditions, two benchmark trajectories were designed:
  • Pseudo-Static Benchmark: The torque reference T d ramps from 0 to 8 Nm in the first second and remains constant for the rest of the experiment. During the period from 1 s to 3 s and 5 s to 8.5 s, a flux reference β step of 8 Wb is applied with superimposed ripples to emulate disturbances. This test evaluates steady-state tracking and disturbance rejection.
  • Dynamic Benchmark: Here, the torque T d follows a complex trajectory: it ramps from 0 to 8 Nm in the first second, holds steady until 5 s, then reverses sharply to approximately −8 Nm, followed by a final ramp back to 6 Nm by 10 s. Simultaneously, the flux reference β features a sequence of four-step changes (switch on to 8 Wb in some time intervals), testing the controller’s performance under rapid transients and flux variations.
Figure 18 shows the profiles used during the experimental tests.
Throughout the entire profile, small random perturbations are superimposed to simulate external disturbances, ensuring a challenging scenario for evaluating control robustness, responsiveness, and adaptation under dynamic and load-varying conditions.
Now we present a comparative evaluation of the proposed neural adaptive PBC controller against four advanced control strategies. These include
  • CNO-PBC: classical PBC control with a nonlinear observer;
  • CFE-PBC: classical PBC control with a fuzzy enhanced MRAS estimator;
  • CRBF-PBC: classical PBC control with an RBF network enhanced observer;
  • DRNN-PBC: deep learning adaptive PBC strategy with RNN network observer.
To evaluate steady-state accuracy and low-dynamic performance, all four control strategies were tested under the pseudo-static benchmark, where the torque reference T d ramps from 0 to 8 Nm within the first second and is then held constant. During the intervals 1   s 3   s and 5   s 8.5   s , a flux reference step of 8 Wb is applied, with superimposed ripple signals to emulate realistic disturbance conditions. This scenario is designed to assess tracking precision, overshoot suppression, robustness to steady-state perturbations, and the quality of torque/flux estimation in a low-dynamic environment. A summary of comparative performance under this benchmark is presented in Table 3.
The results in Table 3 confirm a progressive improvement in performance from classical observer-based control to advanced neural network-enhanced strategies. The baseline CNO-PBC controller shows the highest errors in both torque and flux estimation, with a torque MAE of 0.68 Nm and SMAPE of 21.40%, along with the highest overshoot (1.92%) and torque deviation (36.83%). Introducing fuzzy enhancement in CFE-PBC improves tracking accuracy significantly, reducing torque MAE to 0.15 Nm and improving flux SMAPE by nearly 8.4 percentage points. Further enhancement with radial basis function networks (CRBF-PBC) yields even lower errors (torque MAE = 0.09 Nm, SMAPE = 15.13%), shorter rise and settling times, and better rejection of steady-state disturbances. The best overall performance is achieved by the proposed DRNN-PBC controller, which achieves the lowest torque and flux estimation errors (MAE = 0.06 Nm and 0.10 Wb), fastest response ( t 2 % = 13 ms), and minimal steady-state error (0.05 Hz). It also maintains the smallest overshoot (0.43%) and torque deviation (24.81% of nominal), confirming its robustness, adaptability, and estimation fidelity under pseudo-static conditions. All controllers maintain a high model fit with R2 ≈ 0.998.
To evaluate the controllers under dynamic and nonlinear conditions, a challenging dynamic benchmark was executed. The torque reference T d ramps from 0 to 8 Nm within the first second, holds steady until 5 s, then reverses sharply to approximately −8 Nm before ramping back to 6 Nm by 10 s. Simultaneously, the flux reference β undergoes multiple step changes up to 8 Wb, simulating rapid flux variations. Throughout the test, small random perturbations emulate external disturbances, creating a demanding scenario to assess the controllers’ robustness, responsiveness, and adaptation under rapid transients and load variations. This benchmark emphasizes each control strategy’s ability to maintain estimation accuracy and transient response quality under simultaneous nonlinear torque and flux variations. The results of this dynamic benchmark, including the speed reversal and load variation, are presented in Table 4.
Under dynamic torque and flux variation conditions involving rapid torque ramps, reversals, and flux step changes, the performance disparities between control strategies become more pronounced. The classical CNO-PBC controller exhibits relatively high tracking errors and slower transient response, with a torque disturbance index ( D % ) of 4.02% and steady-state frequency error ( E s s   ) of 1.10 Hz. Conversely, the adaptive neuro-based controllers significantly improve tracking precision and responsiveness. Notably, the DRNN-PBC achieves the best overall performance, attaining the lowest torque MAE (0.18 Nm) and SMAPE (18.5%), alongside minimized maximum transient torque deviation ( T m a x = 30.85% nominal). Intermediate controllers, such as CRBF-PBC and CFE-PBC, also provide substantial enhancements in flux and torque estimation accuracy. These findings confirm the superior adaptability and robustness of proposed neural adaptive PBC schemes in handling rapid and complex torque and flux dynamics, ensuring stable and precise control during challenging real world transient conditions.

6. Conclusions

This work introduced a learning-driven intelligent passivity control strategy for induction motors, integrating a nonlinear state observer with an adaptive recurrent neural framework. The proposed observer significantly enhances the estimation accuracy of key motor variables such as torque, speed, and rotor flux, while simplifying the tuning process by requiring only a single gain adjustment over a wide speed range. Unlike traditional control schemes, this approach ensures rapid convergence and robust performance even under low-torque (i.e., low-speed) and highly dynamic operating conditions. Extensive simulation studies validated the global stability of the closed-loop system using Lyapunov-based analysis and demonstrated the observer’s robustness against various torque disturbances and flux variations. The integration of neural adaptive mechanisms into the passivity-based control framework yielded superior transient response, disturbance rejection, and steady-state tracking performance. Future work will focus on real-time experimental validation and extending the methodology to other induction motor topologies, including doubly fed and coaxial configurations, to establish the broad applicability and scalability of this intelligent control approach in advanced industrial drive systems.
Despite its strong real-time performance and robustness, the proposed scheme has certain limitations. Its computational complexity, while manageable on a DSP-based platform, may challenge ultra-low-power embedded systems. Additionally, the adaptive laws rely on continuous excitation and assume bounded modeling uncertainties. Future work will focus on reducing the neural and fuzzy estimator load through lightweight learning mechanisms, extending the observer design to support sensor faults and saturation effects, and validating the approach on higher-power industrial motors under more complex mechanical loads and grid disturbances.

Author Contributions

B.B.: Conceptualization, data curation, formal analysis, investigation, methodology, project administration, resources, software, visualization, writing—original draft; K.H.: Conceptualization, funding acquisition, investigation, supervision, resources, writing—original draft; A.K. and V.K.: Project administration, validation, writing—review and editing; K.H. and M.R.: Data curation, methodology, validation, writing—review and editing. All authors have read and agreed to the published version of the manuscript.

Funding

This research received no external funding.

Data Availability Statement

The data that support the findings of this study are available from the corresponding authors upon reasonable request.

Conflicts of Interest

The authors declare no conflicts of interest.

Abbreviations

The following abbreviations are used in this manuscript:
IMsInduction Motors
PBCPassivity-Based Control
AIArtificial Intelligence
ANFISAdaptive Neuro-Fuzzy Inference Systems
RBFRadial Basis Function
MMFMagneto-Motive Force
RNNRecurrent Neural Network
RBFNNRadial Basis Function Neural Networks
MRASModel Reference Adaptive System
RTIReal Time Interface
RTWReal Time Workshop
PIProportional-Integral
TSMTakagi-Sugeno Model
ELMEuler–Lagrange Modeling
BPTTBack-Propagate Through Time
PWMPulse Width Modulation
EEElectrical Engineering
ZMPZero Moment Point
MLMachine Learning
MAEMean Absolute Error
DSPDigital Signal Processor

References

  1. Cecati, C. Position Control of the Induction Motor Using a Passivity-Based Controller. IEEE Trans. Ind. Appl. 2002, 36, 1277–1284. [Google Scholar] [CrossRef]
  2. Duarte-Mermoud, M.A.; Travieso-Torres, J.C.; Pelissier, I.S.; González, H.A. Induction motor Control Based On Adaptive Passivity. Asian J. Control 2010, 14, 67–84. [Google Scholar] [CrossRef]
  3. Travieso-Torres, J.C.; Ricaldi-Morales, A.J.; Aguila-Camacho, N. Robust Combined Adaptive Passivity-Based Control for Induction Motors. Machines 2024, 12, 272. [Google Scholar] [CrossRef]
  4. Mansouri, A.; Chenafa, M.; Bouhenna, A.; Belaidi, A.; Etein, E. Passivity Based Control with Robust Observer for Induction Motor. IEEE Int. Symp. Ind. Electron. 2004, 2, 1375–1380. [Google Scholar] [CrossRef]
  5. Marino, R.; Peresada, S.; Valigi, P. Adaptive input-output linearizing control of induction motors. IEEE Trans. Autom. Control 1993, 38, 208–221. [Google Scholar] [CrossRef]
  6. Chenafa, M. Global Stability of the Linearizing Control with a New Robust Nonlinear Observer of Induction Motor. Int. J. Appl. Math. Comput. Sci. 2005, 15, 235–243. [Google Scholar]
  7. Espinosa-Perez, G.; Ortega, R. An output feedback globally stable controller for induction motors. IEEE Trans. Autom. Control 1995, 40, 138–143. [Google Scholar] [CrossRef]
  8. Belkacem, B. Senssorless Control of a Feedback Linearized Induction Motor via the Adaptive Luenberger Observer. In Proceedings of the 1st International Conference on Applied Automation And Industrial Diagnosis (ICAAID 2015), Djelfa, Algeria, 29–30 March 2015. [Google Scholar]
  9. Belkacem, B. Adaptive Senssorless Control of a Feedback Linearized Induction Motor via the Extended Kalman Filter. In Proceedings of the 2nd International Conference on Power Electronics and Their Applications (ICPEA 2015), Djelfa, Algeria, 29–30 March 2015. [Google Scholar]
  10. Bekhiti, B.; Nail, B.; Tibermacine, I.E.; Salim, R. On Hyper-Stability Theory Based Multivariable Nonlinear Adaptive Control: Experimental Validation on Induction Motors. IET Electr. Power Appl. 2025, 19, e70035. [Google Scholar] [CrossRef]
  11. Gauthier, J.; Hammouri, H.; Othman, S. A simple observer for nonlinear systems Application to bioreactors. IEEE Trans. Autom. Control 1992, 37, 875–880. [Google Scholar] [CrossRef]
  12. Busawon, K.; Saif, M. An observer for a class of disturbance driven nonlinear systems. Appl. Math. Lett. 1998, 11, 109–113. [Google Scholar] [CrossRef][Green Version]
  13. Mansouri, A. Powerful nonlinear observer associated with the field-oriented control of the induction motor. Int. J. Appl. Math. Comput. Sci. 2004, 14, 209–220. [Google Scholar][Green Version]
  14. Beltran-Carbajal, F.; Tapia-Olvera, R.; Valderrabano-Gonzalez, A.; Lopez-Garcia, I. Adaptive neuronal induction motor control with an 84-pulse voltage source converter. Asian J. Control 2020, 23, 1603–1616. [Google Scholar] [CrossRef]
  15. Moghadasian, M.; Amiri, M. Sensorless Speed Control of Induction Motors using Adaptive Neural-Fuzzy Inference System. In Proceedings of the 2011 IEEE/ASME Conference on Advanced Intelligent Mechatronics (AIM2011), Budapest, Hungary, 3–7 July 2011. [Google Scholar] [CrossRef]
  16. Sujatha, K.N.; Vaisakh, K. Implementation of Adaptive Neuro Fuzzy Inference System in Speed Control of Induction Motor Drives. J. Intell. Learn. Syst. Appl. 2010, 2, 110–118. [Google Scholar] [CrossRef]
  17. Brandstetter, P.; Kuchar, M. Sensorless control of variable speed induction motor drive using RBF neural network. J. Appl. Log. 2017, 24, 97–108. [Google Scholar] [CrossRef]
  18. Acikgoz, H. Real-time adaptive speed control of vector-controlled induction motor drive based on online-trained Type-2 Fuzzy Neural Network Controller. Int. Trans. Electr. Energy Syst. 2020, 30, e12678. [Google Scholar] [CrossRef]
  19. Hussain, S.; Bazaz, M.A. Adaptive Neural Type II Fuzzy Logic-Based Speed Control of Induction Motor Drive. In Advances in Intelligent Systems and Computing; Springer: Singapore, 2018; pp. 81–92. [Google Scholar] [CrossRef]
  20. Medjadji, N.; Chaker, A.; Medjahed, D.M. Quality Improvement of Speed Estimation in Induction Motor Drive by Using Fuzzy-MRAS Observer with Experimental Investigation. Int. Rev. Autom. Control 2018, 11, 52. [Google Scholar] [CrossRef]
  21. Govindharaj, I.; Kumar, D.; Balamurugan, S.; Yazhinian, S.; Anandh, R.; Rampriya, R.; Karthick, G.; Michael, G. Sensorless vector-controlled induction motor drives: Boosting performance with Adaptive Neuro-Fuzzy Inference System integrated augmented Model Reference Adaptive System. MethodsX 2024, 13, 102992. [Google Scholar] [CrossRef]
  22. Parimalasundar, E.; Senthilkumar, R.; Kumar, B.H.; Janardhan, K.; Singh, A.R.; Bajaj, M.; Bereznychenko, V.; Hošovský, A. Artificial Neural Network-Based Experimental Investigations for Sliding Mode Control of an Induction Motor in Power Steering Applications. Int. J. Intell. Syst. 2023, 2023, 9381915. [Google Scholar] [CrossRef]
  23. Zineb, M. Fuzzy Logic Application for Intelligent Control of An Asynchronous Machine. Indones. J. Electr. Eng. Comput. Sci. 2017, 7, 61–70. [Google Scholar] [CrossRef]
  24. Sun, Q.; Zhang, Y.; Wu, S.; Zhang, C.; Wang, X. Adaptive Robust Control of an Industrial Motor-Driven Stage with Disturbance Rejection Ability Based on Multidimensional Taylor Network. Appl. Sci. 2023, 13, 12231. [Google Scholar] [CrossRef]
  25. Mienye, I.D.; Swart, T.G.; Obaido, G. Recurrent Neural Networks: A Comprehensive Review of Architectures, Variants, and Applications. Information 2024, 15, 517. [Google Scholar] [CrossRef]
  26. Wu, X.; Xiang, B.; Lu, H.; Li, C.; Huang, X.; Huang, W. Optimizing Recurrent Neural Networks: A Study on Gradient Normalization of Weights for Enhanced Training Efficiency. Appl. Sci. 2024, 14, 6578. [Google Scholar] [CrossRef]
  27. Werner, L. Control of Electrical Drives; Springer: Berlin, Germany, 2001. [Google Scholar]
  28. Espinosa-Pérez, G.; Ortega, R.; Nicklasson, P.J. Torque and flux tracking of induction motors. Int. J. Robust Nonlinear Control 1997, 7, 1–9. [Google Scholar] [CrossRef]
  29. Ortega, R.; Nicklasson, P.J.; Espinosa-Pérez, G. On Speed Control of Induction Motors. Automatica 1996, 32, 455–460. [Google Scholar] [CrossRef]
  30. Bekhiti, B. Artificial Intelligence-Enhanced Sensorless Vector Control of Induction Motors Using Adaptive Neuro-Fuzzy Systems: Experimental Validation and Benchmark Analysis. Int. J. Robot. Control Syst. 2025, 5, 1828–1849. [Google Scholar] [CrossRef]
  31. Bekhiti, B. A New Adaptive Flux-Oriented Control Framework for Induction Motors with Online Neural Network Training. Bul. Ilm. Sarj. Tek. Elektro 2025, 7, 296–311. [Google Scholar] [CrossRef]
  32. Verghese, G.C.; Sanders, S.R. Observers for Flux Estimation in Induction Machines. IEEE Trans. Ind. Electron. 1988, 35, 85–94. [Google Scholar] [CrossRef]
  33. De Luca, A.; Ulivi, G. The Design of Linearizing Outputs for Induction Motors. IFAC Proc. Vol. 1989, 22, 363–367. [Google Scholar] [CrossRef]
  34. Garcia, G.; Luis, J.; Stephan, R.; Watanabe, E. An efficient controller for an adjustable speed induction motor drive. IEEE Trans. Ind. Electron. 1994, 41, 533–539. [Google Scholar] [CrossRef]
  35. Belkacem, B. Advanced Nonlinear Control and State Observation in Robotics; Scholars’ Press: Atlanta, GE, USA, 2017; ISBN 978-3-330-65073-2. [Google Scholar]
  36. Takagi, T.; Sugeno, M. Fuzzy identification of systems and its application to modeling and control. IEEE Trans. Syst. Man Cybern. 1985, 15, 116–132. [Google Scholar] [CrossRef]
  37. Benfriha, E.; Mansouri, A.; Bendiabdellah, A.; Boufadene, M. Nonlinear adaptive observer for sensorless passive control of permanent magnet synchronous motor. J. King Saud Univ. Eng. Sci. 2019, 32, 510–517. [Google Scholar] [CrossRef]
  38. Belkhier, Y.; Abdelyazid, A.; Oubelaid, A.; Khosravi, N.; Bajaj, M.; Vishnuram, P.; Zaitsev, I. Experimental analysis of passivity-based control theory for permanent magnet synchronous motor drive fed by grid power. IET Control Theory Appl. 2023, 18, 495–510. [Google Scholar] [CrossRef]
  39. Liu, K.; Wang, Y.; Li, Y.; Zhang, Y.; Wen, C.-Y. Velocity-Free Adaptive Neural-Fuzzy Predefined-Time Attitude Control for Spacecraft. IEEE Trans. Aerosp. Electron. Syst. 2025, 61, 6354–6372. [Google Scholar] [CrossRef]
  40. Liu, K.; Yang, W.; Jiao, L.; Yuan, Z.; Wen, C.-Y. Fast Fixed-Time Distributed Neural Formation Control-based Disturbance Observer for Multiple Quadrotor UAVs Under Unknown Disturbances. IEEE Trans. Aerosp. Electron. Syst. 2025, 1–18. [Google Scholar] [CrossRef]
  41. Shao, K.; Zheng, J.; Wang, H.; Wang, X.; Lu, R.; Man, Z. Tracking Control of a Linear Motor Positioner Based on Barrier Function Adaptive Sliding Mode. IEEE Trans. Ind. Inform. 2021, 17, 7479–7488. [Google Scholar] [CrossRef]
Figure 1. Closed-loop flux observer block diagram.
Figure 1. Closed-loop flux observer block diagram.
Automation 06 00045 g001
Figure 2. The RBFNN neural networks-based observer: toward intelligent observation.
Figure 2. The RBFNN neural networks-based observer: toward intelligent observation.
Automation 06 00045 g002
Figure 3. Adaptation mechanism using a fuzzy logic observer.
Figure 3. Adaptation mechanism using a fuzzy logic observer.
Automation 06 00045 g003
Figure 4. Configuration of the Fuzzy Rule-Based Control Framework.
Figure 4. Configuration of the Fuzzy Rule-Based Control Framework.
Automation 06 00045 g004
Figure 5. Schematic representation of the Fuzzy Logic Control System.
Figure 5. Schematic representation of the Fuzzy Logic Control System.
Automation 06 00045 g005
Figure 6. Membership distribution of Δ ε , change in ε and the control surface of the fuzzy logic estimator.
Figure 6. Membership distribution of Δ ε , change in ε and the control surface of the fuzzy logic estimator.
Automation 06 00045 g006
Figure 7. Interaction of subsystems in IM motor.
Figure 7. Interaction of subsystems in IM motor.
Automation 06 00045 g007
Figure 8. Diagram of the Adaptive Sensorless Passivity Control Scheme for induction motor drive.
Figure 8. Diagram of the Adaptive Sensorless Passivity Control Scheme for induction motor drive.
Automation 06 00045 g008
Figure 9. Intelligent Adaptive Sensorless Passivity Control Scheme for induction motor drive.
Figure 9. Intelligent Adaptive Sensorless Passivity Control Scheme for induction motor drive.
Automation 06 00045 g009
Figure 10. Training procedure of the RNN-based load torque estimator using BPTT.
Figure 10. Training procedure of the RNN-based load torque estimator using BPTT.
Automation 06 00045 g010
Figure 11. Experimental setup for the proposed neural-PBC adaptive control of the IM.
Figure 11. Experimental setup for the proposed neural-PBC adaptive control of the IM.
Automation 06 00045 g011
Figure 12. Architecture of the Neural PBC Adaptive Control Scheme for sensorless IM Drive.
Figure 12. Architecture of the Neural PBC Adaptive Control Scheme for sensorless IM Drive.
Automation 06 00045 g012
Figure 13. Rotor flux observation errors via the proposed neural nonlinear observer.
Figure 13. Rotor flux observation errors via the proposed neural nonlinear observer.
Automation 06 00045 g013
Figure 14. Observer convergence and sensitivity analysis under rotor resistance variations.
Figure 14. Observer convergence and sensitivity analysis under rotor resistance variations.
Automation 06 00045 g014
Figure 15. Impact of RBFNN compensation on flux estimation robustness with R r mismatch.
Figure 15. Impact of RBFNN compensation on flux estimation robustness with R r mismatch.
Automation 06 00045 g015
Figure 16. Performance study of the proposed control scheme under torque/flux variation.
Figure 16. Performance study of the proposed control scheme under torque/flux variation.
Automation 06 00045 g016
Figure 17. Performance study of the proposed control scheme under torque reversal.
Figure 17. Performance study of the proposed control scheme under torque reversal.
Automation 06 00045 g017
Figure 18. Realistic operating conditions benchmark profiles for comparative study.
Figure 18. Realistic operating conditions benchmark profiles for comparative study.
Automation 06 00045 g018
Table 1. Fuzzy rules for the proposed system with rule confidence weights for enhanced inference.
Table 1. Fuzzy rules for the proposed system with rule confidence weights for enhanced inference.
Automation 06 00045 i002Automation 06 00045 i003
Table 2. Induction motor parameters.
Table 2. Induction motor parameters.
Parameters NameSymbolRating Values
  • Stator resistance
R s 11.8 Ω
  • Rotor resistance
R r 11.3085 Ω
  • Mutual cyclic inductance
L m 0.5400 H
  • Stator cyclic inductance
L s 0.5578 H
  • Rotor cyclic inductance
L r 0.6152 H
  • Moment of inertia
D m 0.0020 kg.m2
  • Friction coefficient
R m 3.1165 × 10−4  N · m / r a d / s
  • Number of pair poles
p 1
Table 3. Comparative Evaluation of Control Laws under Pseudo-Static Conditions.
Table 3. Comparative Evaluation of Control Laws under Pseudo-Static Conditions.
Torque   ( T ) Flux   ( β )
M A E _ _ S M A P E % t 2 % m s t 95 % m s E f o l H z D % % E s s H z T m a x % n o m M A E _ _ S M A P E %
CNO-PBC0.6821.40168820.491.920.7336.830.4744.33
CFE-PBC0.1517.35188610.211.080.2630.400.2235.95
CRBF-PBC0.0915.13158450.130.710.1427.250.1327.12
DRNN-PBC0.0614.23138250.080.430.0524.810.1021.92
R 2 is ≈ 0.998 for all the used controller.
Table 4. Comparative Evaluation of Control Laws under dynamic Conditions.
Table 4. Comparative Evaluation of Control Laws under dynamic Conditions.
Torque   ( T ) Flux   ( β )
M A E _ _ S M A P E % t 2 % m s t 95 % m s E f o l H z D % % E s s H z T m a x % n o m M A E _ _ S M A P E %
CNO-PBC1.5826.121811201.234.021.1042.520.8553.51
CFE-PBC0.3521.052110050.652.310.4136.510.4139.54
CRBF-PBC0.2319.31209950.331.630.2833.120.1529.95
DRNN-PBC0.1818.52199850.271.130.2130.850.2128.63
R 2 is ≈ 0.998 for all the used controller.
Disclaimer/Publisher’s Note: The statements, opinions and data contained in all publications are solely those of the individual author(s) and contributor(s) and not of MDPI and/or the editor(s). MDPI and/or the editor(s) disclaim responsibility for any injury to people or property resulting from any ideas, methods, instructions or products referred to in the content.

Share and Cite

MDPI and ACS Style

Bekhiti, B.; Hariche, K.; Roudane, M.; Kabanov, A.; Kramar, V. Learning-Driven Intelligent Passivity Control Using Nonlinear State Observers for Induction Motors. Automation 2025, 6, 45. https://doi.org/10.3390/automation6030045

AMA Style

Bekhiti B, Hariche K, Roudane M, Kabanov A, Kramar V. Learning-Driven Intelligent Passivity Control Using Nonlinear State Observers for Induction Motors. Automation. 2025; 6(3):45. https://doi.org/10.3390/automation6030045

Chicago/Turabian Style

Bekhiti, Belkacem, Kamel Hariche, Mohamed Roudane, Aleksey Kabanov, and Vadim Kramar. 2025. "Learning-Driven Intelligent Passivity Control Using Nonlinear State Observers for Induction Motors" Automation 6, no. 3: 45. https://doi.org/10.3390/automation6030045

APA Style

Bekhiti, B., Hariche, K., Roudane, M., Kabanov, A., & Kramar, V. (2025). Learning-Driven Intelligent Passivity Control Using Nonlinear State Observers for Induction Motors. Automation, 6(3), 45. https://doi.org/10.3390/automation6030045

Article Metrics

Back to TopTop