You are currently viewing a new version of our website. To view the old version click .
Organics
  • Article
  • Open Access

2 April 2025

Synthesis of Indole-Based Derivatives Containing Ammonium Salts, Diamines and Aminoureas for Organocatalysis

,
,
,
and
1
Department of Pharmacy, University of Naples Federico II, Via D. Montesano, 49, 80131 Naples, Italy
2
KelAda Pharmachem Ltd., A1.01., Science Centre South, Belfield, D06 C8P3 Dublin, Ireland
3
Department of Chemistry, Royal College of Surgeons in Ireland, University of Medicine and Health Science, 123 St Stephen’s Green, D02 YN77 Dublin, Ireland
*
Author to whom correspondence should be addressed.

Abstract

Indole heterocycles have an established reactivity, and these compounds are H-bond donors via a peculiar non-basic NH. However, the indole core has been scarcely employed in organocatalysis, with only a few examples relevant to electrophilic halogenation reported. To expand the range of potential transformations achievable via indole catalysis, we have designed a set of new organic species incorporating an indole core, alongside three privelaged chiral moieties found in many known organocatalysts, namely a quaternary ammonium salt, a diamine and an amino-urea. Herein, we report an optimised synthetic route for the preparation of these potential catalytic species in an enantiomerically pure form. The syntheses are conceived to be modular and therefore will allow each of the three single organic catalysts to be expanded into families without alteration of the synthetic layout, therefore leading to a fast optimisation of new asymmetric procedures.

1. Introduction

The indole core is one of the most prominent heterocycles in medicinal chemistry [], and many indole derivatives have been reported as anticancer, anticonvulsant, antimicrobial and antidiabetic []. The organic reactivity of indoles is governed by the N1H lone pair, which delocalises across the bicyclic core and in this way significantly impacts the reactivity of the conjugated C3-H. Indoles are therefore weakly basic; they display an enhanced nucleophilic character at C3 and an increased acidity of C3-H. These characteristics have been exploited to introduce diversity in the indole core via electrophilic substitution [], the formation of organometallic indole anion complexes [], carbon lithiation [,], oxidation [] and cycloadditions []. Indole NH is a good H-bond donor, and its importance in the organisation of certain peptide antimicrobial agents has been demonstrated []. However, the employment of indoles as catalysts remains largely untapped, with few examples reported. Yeung described an elegant methodology to perform the bromolactonisation of alkenes, where a 3-carbetoxy indole worked as the bromonium carrier []. Other indole-catalysed electrophilic halogenations were subsequently reported, including aromatic halogenation [], the α-bromination of carbonyls [] and bromoesterification []. As part of our ongoing studies in organocatalysis [,,,,,] and in desulfurative halogenation [,,,], we have become interested in the preparation of a set of enantiopure organocatalysts incorporating an indole core. It was reasoned that the combination of an “onium” carrier [] with organic scaffolds capable of functional group recognition would pave the way for a wider range of chemical transformations hitherto unexplored. To start a systematic investigation, we set out to identify a synthetic route towards species 13 (Figure 1). Herein, we report the synthesis of indole-substituted quaternary ammonium species 1, indolediamine 2 and indoleaminourea 3 (Figure 1).
Figure 1. Indole containing organocatalysts 13.

2. Results and Discussion

A disconnection analysis for the synthesis of compounds 13 is indicated in functionalised indole 4, a key synthon (Scheme 1). The synthesis of 4, in turn, was structured upon two individual building blocks, namely β-ketoester 6 and aniline 7, for which many derivatives are commercially available. It was reasoned that the generation of diversity, required for the fine-tuning of any catalytic process, would be more easily achieved by using starting materials that are commercially available in large variety. The elaboration of a preformed indole was also considered; however, this synthetic approach would have posed several challenges, should some positions of the heterocycle require functionalisation. Hence, the preparation of bromide 4 was planned from indole 5, which in turn could be assembled via the condensation of commercially available 6 and 7.
Scheme 1. Retrosynthetic analysis for the synthesis of compounds 13.
In a forward sense, the reaction of β-ketoester 6 and aniline 7 (Scheme 2), in the presence of small amounts of 10% acetic acid, produced, after overnight stirring at room temperature, the desired enamine 7 in high yield. It has been reported that the cyclisation of enamines like 8 proceeded under the dual catalysis of Pd(II) and Cu(II) [].
Scheme 2. Synthetic route to compound 4. Reagents and conditions: (a) 10% acetic acid, rt, overnight, 93% yield; (b) Pd(OAc)2 0.1 equiv, Cu(AcO)2 1.0 equiv, K2CO3 2.5 equiv, DMF, argon, 60 °C, µW, 0.5 h, 93% yield; (c) (Boc)2O 1.5 equiv, DMAP 0.1 equiv, dry CH2Cl2, rt, 12 h, 94% yield; (d) NBS 1 equiv, BPO 0.1%, CCl4, reflux, 4 h, 90% yield (e) TFA 20 equiv, TIS 2.5 equiv, CH2Cl2, 0 °C, 6 h, 89% yield.
We started the optimisation of the synthesis of compound 5, firstly following the conditions just reported, which involved refluxing 8 in DMF for 21 h in the presence of catalytic amounts of Pd(II), excess Cu(II) and base []. This reaction gave compound 5 at only a moderate 61% yield. A reduction in the reaction time led to a significant decrease in the reaction conversion and yield. Furthermore, the desired 5 was obtained alongside many side products, which we interpreted as arising from the prolonged time of contact between the starters, the indole formed, and the reagents at a high temperature. Microwaves have been shown to improve the reaction yield in several cyclisation reactions leading to bioactive indoles [,,]. Microwave (µW)-assisted synthesis has repeatedly been shown to improve reaction conversion, especially when applied to intramolecular reactions to shorten the reaction time, and leads to cleaner product formation. For this reason, we optimised the synthesis of 5 by the irradiation of 8 under microwave conditions. This change led to the formation of 5 at a high yield up to 93% and with shorter reaction times, as reported in our previous communication []. With compound 5 in hand, the next step involved the tert-butoxycarbonylation of the N1 with a Boc protecting group. It has been reported that the reaction of unprotected indoles and electrophilic brominating reagents, for example, N-bromo-succinamide (NBS), leads to the corresponding 3-haloindoles, which was essentially an oxidation reaction []. To achieve the monobromination of the indole 2-CH3, required for the preparation of 4, and avoid the oxidation of the indole core, compound 5 was then reacted with (Boc)2O to provide compound 9. Relevant 2-bromomethylindole 10 was synthesised by the reaction of 9 and NBS in the presence of a catalytic amount of benzyl peroxide (BPO), used as a radical initiator. In a preliminary test, equimolar amounts of BPO, NBS and 9 were reacted in CCl4 at room temperature. Under this condition, the positive outcome of this step was identified by the appearance of the Br-CH2 signal (δH = 5.53, singlet) in the crude 1H NMR spectrum, while the consumption of 2-CH3 (δH = 2.97) of 9 was also noted. The optimisation of this step required extensive experimentation, with the reaction time, concentration of reactants and amount of BPO being the main parameters to be addressed. Finally, when 9 was reacted with 1 equivalent of NBS, 0.1% NBO at reflux in CCl4 for 4 h, the desired compound 10 was obtained in 90% isolated yields. The key synthon 4 was consequentially obtained by the treatment of 10 with trifluoroacetic acid (TFA). It was found that the addition of triisopropylsilane (TIS) as a scavenger was beneficial to the reaction yield. Compound 4 was obtained at 89% isolated yields.
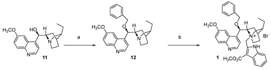
The synthesis of 1 (Scheme 3) required the preparation of O-benzyl hydroquinine 12, which was obtained by treating commercially available hydroquinine 11 with NaH in DMF, followed by the addition of benzyl bromide []. While the purification of desired 12 was described via flash chromatography [], we have found that the isolation of 12 from the reaction mixture proceeded well by using reversed-phase (RP) medium-pressure liquid chromatography (MPLC), providing 12 in high purity and high yields. Finally, compounds 4 and 12 were reacted to give the desired 1 at a 91% isolated yield.
Scheme 3. Synthetic route to 1. Reagents and conditions: (a) 11, benzyl bromide 1.3 equiv, NaH 2.5 equiv, DMF, 80 °C, 2 h, argon atmosphere, 84% yield; (b) compound 4, compound 12 1.2 equiv, dry CH3CN, rt, 20 h, 91% yield.
Chiral diamines such as 13 (Scheme 4) are valuable building blocks in organic synthesis, where they are used in the preparation of biologically important peptidomimetics, metal ligands and organocatalysts [,]. The selective mono-functionalisation of symmetrical diamines is therefore a committed and notable step, allowing the two amino groups to be elaborated, selectively, with different functional groups. Accordingly, facile and versatile synthetic methods are required for the preparation of monoprotected derivatives. In that regard, the synthesis of both 2 and 3 requires compound 14 (Scheme 4 and Scheme 5) as an intermediate en route; hence, a multigram scale of the (1S,2S)-trans-N-Boc-1,2-cyclohexanediamine 14 was required for the completion of this study. Hence, commercially available cyclohexyl-1,2-diamine 13 was first treated with 1 equivalent of methanolic HCl, then with 1 equivalent of (Boc)2O to give the expected 14 []. In turn, exhaustive reductive amination carried out on 14 provided tertiary amine 15. The hydrolysis of the Boc-protecting group in 15 revealed the required primary amine 16, which, finally, was alkylated with alkyl bromide 4 to give the desired compound 2.
Scheme 4. Synthetic route to 2. Reagents and conditions: (a) (i) HCl 1 equiv, CH3OH, 0 °C, 30 min; (ii) (Boc)2O 1 equiv, rt, 1.5 h, 93% yield; (b) (i) formalin 3 equiv, CH2Cl2, rt, 1 h; (ii) NaBH(OAc)3 3 equiv, CH2Cl2, rt, overnight, 97% yield; (c) TFA 15 equiv, CH2Cl2, rt, overnight, 92% yield; (d) Et3N 0.1 equiv, dry CH2Cl2, rt, overnight, 98% yield.
Scheme 5. Synthetic route to 3. Reagents and conditions: (a), 14, 17 1.3 equiv, (dry THF, rt, overnight; (b) TFA 15 equiv, DCM, 0 °C to rt, 3 h; 96% yield over two steps for a and b; (c) 4, 19 1.2 equiv, dry THF, rt, overnight, 59% yield.
The preparation of indoleaminourea 3 (Scheme 5) started from compound 14 and commercially available isocyanide 17. Thus, the reaction of 14 and 17 provided compound 18, which was not isolated but carried through the following step. Hence, the evaporation of THF provided crude 18, which was redissolved in DCM, and the solution was treated with excess TFA to reveal primary amine 19. Thus, in our hands, the preparation of key synthon 19 proceeded from 14 and 17 in a one-pot fashion. The reaction of pure 19 and bromide 4 led to the formation of compound 3, which was isolated at a moderate 59% yield.

3. Materials and Methods

3.1. General Experiment

The required reagents, solvents, and deuterated solvents were purchased from Sigma-Aldrich (Saint Louis, MO, USA) and were used without further purification. When required, and as indicated in the relevant subsection, the reactions were performed in oven-dried glassware under positive argon pressure. High-resolution ESI-MS was performed on a Thermo LTQ Orbitrap XL spectrometer (Thermo-Fisher, San Josè, CA, USA) by direct infusion into the ESI source using methanol as the solvent. The 1H (600 and 700 MHz) and 13C (175 MHz) NMR experiments were recorded on a Bruker Avance Neo spectrometer equipped with an RT-DR-BF/1H-5 mm-OZ SmartProbe (Bruker BioSpin Corporation, Billerica, MA, USA); chemical shifts were reported in parts per million (ppm) and referenced to the residual solvent signal [CHCl3: δH = 7.26; δC = 77.0; CH3OH: δH = 3.31, δC = 49.0]. The monodimensional 1H NMR spectra were transformed at 64 K points with a digital resolution of 0.09 Hz for an accurate measurement of the coupling constants [,]. Homonuclear (1H–1H) and heteronuclear (1H–13C) connectivity were determined by COSY and HSQC experiments, respectively. Two- and three-bond 1H–13C connectivities were determined by gradient 2D HMBC experiments optimised for a 2,3J of 8 Hz. HPLC separation was achieved on a Knauer Azura instrument equipped with a Knauer K-2301 RI detector (LabService Analytica s.r.l., Anzola dell’Emilia, Italy). Microwave-assisted reactions were performed on an Initiator + Microwave apparatus purchased from Biotage (Bergamo, Italy). The instrument was set at the high-absorption level operating at a frequency of 2.45 GHz with a continuous irradiation power (0–300 W) and a standard absorbance level of 300 W. All NMR and HR-MS spectra for intermediates and final compounds are reported in Supplementary Materials.

3.2. Synthetic Protocols for the Preparation of Key Synthon 4

3.2.1. Synthesis of Methyl (E)-3-(Phenylimino)butanoate 8

Aniline 6 (2.00 mL, 22.0 mmol) was stirred with methyl acetoacetate 7 (2.37 mL, 22.0 mmol, 1 equiv) and 10% acetic acid (250 µL) into an oven-dried round bottom flask at rt overnight. The reaction mixture was extracted with CH2Cl2 (100 mL). The organic phase was washed with water (30 mL × 3) and brine (20 mL × 3), dried over Na2SO4, and evaporated under reduced pressure. Title compound 8 as white crystals in pure form was used for the next step; 3.91 g, 20.5 mmol, 93% yield. 1H NMR (700 MHz CDCl3) δ 10.4 (-NH, brs, 1H), 7.34 (t, J = 15 Hz, 2H), 7.17 (t, J = 15 Hz, 1H), 7.10 (d, J = 8 Hz, 2H), 4.73 (s, 1H), 3.71 (s, 3H), 2.02 (s, 3H). 13C NMR (125 MHz CDCl3) δ 170.7, 159.1, 139.3, 129.1, 125.0, 124.5, 85.6, 50.2, 20.3. HRESI-MS [M+H]+ C11H14O2N m/z 192.1024, calcd. 192.1021. The 1HNMR of 8 was consistent with previously reported data [].

3.2.2. Synthesis of Methyl 2-Methilindole-3-carboxylate 5

Methyl (E)-3-(phenylimino)butanoate 8 (2.00 g, 10.4 mmol), Pd(OAc)2 (233.0 mg, 1.04 mmol, 0.1 equiv), Cu(AcO)2, (1.89 g, 10.4 mmol, 1.0 equiv), and K2CO3 (3.59 g, 26.0 mmol, 2.5 equiv) were added in dry DMF (40 mL) and placed in a µW reaction vessel under an argon atmosphere. The resultant mixture was stirred at 60 °C for 0.5 h under µW irradiation. Then, the reaction was allowed to reach room temperature, diluted with CH2Cl2 (50 mL) and filtered through a short pad of Celite; the celite pad was further washed with CH2Cl2 (20 mL). The organic layer was concentrated in vacuo, and the crude material was then purified by flash chromatography by a gradient elution n-hexane 100% to n-hexane/EtOAc 1:1. The fraction eluted with n-hexane/EtOAc 7:3 afforded product 5 as a yellow solid (1.83 g, 93% yield). 1H NMR (400 MHz CDCl3) δ 8.53 (-NH, brs), 8.09 (d, J = 7 Hz, 1H), 7.29 (dd, J = 8 Hz, 1.4 Hz, 1H), 7.21 (d, J = 7 Hz, 1H), 7.20 (dt, J = 15 Hz, 1.4 Hz, 1H), 3.94 (s, 3H); 2.73 (s, 3H). 13C NMR (125 MHz CDCl3) δ 165.6, 144.2, 134.6, 127.2, 122.2, 121.6, 121.2, 110.6, 104.3, 50.7, 14.2. HRESI-MS [M+H]+ C11H12O2N m/z 190.0864, calcd. 190.0868; The 1H NMR of 5 was consistent with previously reported data [,].

3.2.3. Synthesis of 1-(Tert-butyl) 3-Methyl 2-Methyl-1H-indole-1,3-dicarboxylate 9

Methyl 2-methilindole-3-carboxylate 5 (1.19 g, 6.29 mmol) was dissolved in dry CH2Cl2 (30 mL) in an oven-dried round bottom flask and DMAP (76.9 mg, 0.63 mmol, 0.1 equiv) and (Boc)2O (2.06 g, 9.44 mmol, 1.5 equiv) were sequentially added. The reaction mixture was stirred at rt overnight. The mixture was then diluted with CH2Cl2 (200 mL) and washed with an aqueous solution of NaHCO3 (50 mL × 3) and then with brine (50 mL × 3). The combined organic layer was dried over Na2SO4, filtered and concentrated under reduced pressure, yielding 9 as a yellow oil (1.70 g, 5.88 mmol, 94% yield). 1H NMR (700 MHz CDCl3) δ 8.07 (m, 1H), 8.06 (m, 1H), 7.29 (m, 1H), 7.27 (m, 1H), 3.95 (s, 3H), 2.97 (s, 3H), 1.71 (s, 9H). 13C NMR (175 MHz CDCl3) δ 165.9, 150.0, 146.0, 135.4, 127.1, 124.1, 123.6, 121.3, 114.9, 110.2, 85.1, 51.3, 28.2, 15.1. HRESI-MS [M+H]+ C16H20O4N m/z 290.1389, calcd. 290.1392.

3.2.4. Synthesis of 1-(Tert-butyl) 3-Methyl 2-(Bromomethyl)-1H-indole-1,3-dicarboxylate 10

Compound 9 (476 mg, 1.65 mmol) was dissolved in CCl4 (20 mL), and benzoyl peroxide (BPO, 40.0 mg, 0.16 mmol, 0.1 equiv) and N-bromosuccinimide (NBS, 459 mg, 1.65 mmol, 1 equiv) were sequentially added. The reaction was heated at reflux for 4 h. Then, the mixture was allowed to reach rt, the solvent was removed under pressure and the product was extracted with CH2Cl2 (30 mL). The organic phase was washed with water (20 mL × 3) and brine (10 mL × 3) and then dried over Na2SO4. The combined organic layers were filtered, concentrated in vacuo and purified by flash chromatography over silica gel, eluting with CH2Cl2/MeOH 95:5 (v/v). Compound 10 was obtained as a brown solid (m.p. 98 °C; 547.0 mg, 1.49 mmol, 90% yield). 1H NMR (700 MHz CDCl3) δ 8.15 (d, J = 8.5 Hz, 1H), 8.12 (d, J = 8.5 Hz, 1H), 7.37 (t, J = 15.5 Hz, 1H) 7.32 (t, J = 15.5 Hz, 1H), 5.53 (s, 2H), 4.00 (s, 3H), 1.76 (s, 9H). 13C NMR (175 MHz CDCl3) δ 165.0, 149.2, 141.6, 136.2, 125.9, 124.1, 122.3, 115.4, 114.7, 112.2, 86.2, 51.8, 36.3, 27.9. HRESI-MS [M+H]+ C16H19O4NBr m/z 368.0492, calcd. 368.0497.

3.2.5. Synthesis of Methyl 2-(Bromomethyl)-1H-indole-3-carboxylate 4

Compound 10 (547.0 mg, 1.49 mmol) was dissolved in CH2Cl2 (15 mL), the reaction mixture was kept at 0 °C using an ice bath, and trifluoroacetic acid (TFA, 2.28 mL, 29.8 mmol, 20 equiv.) was added dropwise and under vigorous stirring, followed by the addition of triisopropylsilane (TIS, 3.72 mmol, 2.5 equiv.). The reaction was stirred for 6h at this temperature. After this time, the reaction was quenched with a saturated solution of NaHCO3 (50 mL) and extracted with CH2Cl2 (10 mL × 3). The collected organic layer was dried, filtered, and concentrated in vacuo, affording 4 as a yellow solid (m.p. 131 °C; 365 mg, 1.39 mmol, 89% yield). 1H NMR (700 MHz CDCl3) δ 8.92 (br. s, -NH, 1H), 8.11 (dd, J = 7 Hz, 2.4 Hz, 1H), 7.36 (dd, J = 7 Hz, 2.4 Hz, 1H), 7.26 (dt, J = 5.50 Hz, 0.7 Hz, 1H), 7.24 (dt, J = 7 Hz, 0.7 Hz, 1H), 5.09 (s, 2H), 3.96 (s, 3H). 13C NMR (175 MHz CDCl3) δ 166.1, 144.6, 134.5, 126.9, 122.6, 121.9, 121.3, 111.2, 102.9, 68.0, 51.0. HRESI-MS [M+H]+ C11H11O2NBr m/z 267.9969, calcd. 267.9973.

3.3. Synthetic Protocols for the Preparation of Quaternary Ammonium Salt 1

3.3.1. Synthesis of O-Benzyl Hydroquinine 12

Sodium hydride (73.6 mg, 3.07 mmol, 2.5 equiv) was added to a solution of hydroquinine 11 (400 mg, 1.23 mmol) dissolved in DMF (5 mL) at 80 °C stirring for 2 h under an argon atmosphere. Then, benzyl bromide (190 µL, 1.60 mmol, 1.3 equiv) was slowly added, and the resulting mixture was stirred at 110 °C in an oil bath overnight. The crude reaction mixture was first cooled at rt and then diluted with EtOAc before washing with water (20 mL × 3) and brine (20 mL × 3) and drying over Na2SO4. The collected organic layer was filtered, concentrated in vacuo and purified by MPLC on reversed-phase C18 silica gel by a gradient elution H2O/MeOH 7:3 to MeOH 100%. Compound 12 was obtained as an orange oil (408 mg, 84% yield) []. 1H NMR (700 MHz CD3OD) δ 8.75 (d, J = 4.8 Hz, 1H), 8.05 (d, J = 4.8 Hz, 1H), 7.48 (m, 1H), 7.38 (dd, J = 2.6 Hz, 9 Hz, 1H), 7.35 (overlapped, 2H), 7.33 (overlapped, 3H), 5.19 (m, 1H), 4.45 (d, J = 14 Hz, 1H), 4.40 (d, J = 14 Hz, 1H), 3.91 (-OCH3, s, 3H), 3.40 (m, 1H), 3.11–3.05 (overlapped, 2H), 2.33 (d, J = 11 Hz, 1H), 2.16 (m, 1H), 1.79 (m, 1H), 1.76 (m, 1H), 1.72 (m, 1H), 1.55 (m, 1H), 1.41 (m, 2H), 1.23 (m, 2H), 0.80 (t, J = 15 Hz, 3H). 13C NMR (175 MHz CD3OD) δ 157.9, 147.6, 144.9, 144.7, 138.0, 131.8, 129.3, 128.4, 127.7, 127.6, 127.5, 126.9, 121.8, 101.3, 71.1, 60.1, 58.7, 55.7, 45.0, 43.0, 37.5, 29.7, 27.7, 25.5, 12.1. HRESI-MS [M+H]+ C27H33O2N2 m/z 417.2539, calcd. 417.2542.

3.3.2. Synthesis of (1S,2S)-2-((R)-(Benzyloxy)(6-methoxyquinolin-4-yl)methyl)-5-ethyl-1-((3-(methoxycarbonyl)-1H-indol-2-yl)methyl)quinuclidin-1-ium Bromide 1

Compound 4 (80.1 mg, 0.30 mmol) was added in portions to a solution of 12 (150 mg, 0.36 mmol, 1.2 equiv) in dry CH3CN (9 mL) and stirred at rt for 20 h. The solvent was then removed in vacuo, and the crude material was purified by semi-preparative HPLC using an isocratic mobile phase of MeOH (0.1% TFA) and H2O (0.1% TFA) (85:15, v/v), Luna column (10 µm, C18) and flow rate of 3.0 mL/min. The product was obtained as a yellow solid (150 mg, 90% yield). 1H NMR (700 MHz CD3OD) δ 9.03 (s, 1H), 8.23 (d, J = 7 Hz, 1H), 8.19 (d, J = 7 Hz, 1H), 8.15 (d, J = 7 Hz, 1H), 7.77 (dd, J = 1 Hz, 7 Hz, 1H), 7.64–7.60 (overlapped, 4H), 7.46–7.43 (overlapped, 2H), 7.40–7.36 (overlapped, 2H), 7.30 (ddd, J = 1 Hz, 15 Hz, 1H), 6.74 (s, 1H), 5.90 (d, J = 14 Hz, 1H), 5.42 (d, J = 14 Hz, 1H), 5.07 (d, J = 13 Hz, 1H), 4.71 (d, J = 13 Hz, 1H), 4.57 (m, 1H), 4.16 (m, 1H), 4.03 (s, 6H), 3.66 (dd, J = 9 Hz, 21 Hz, 1H), 3.52 (m, 1H), 3.49 (overlapped, 1H), 2.45 (m, 1H), 2.17 (m, 1H), 2.07 (m, 1H), 1.87 (m, 1H), 1.81 (m, 1H), 1.70 (m, 1H), 1.32 (q, 1H), 1.26 (q, 1H), 0.77 (t, J = 12 Hz, 3H). 13C NMR (175 MHz CD3OD) δ 166.7, 160.8, 160.5, 160.2, 150.0, 141.3, 136.8, 136.3, 130.5, 128.6, 128.5, 128.4, 127.3, 125.7, 124.5, 124.1, 122.3, 122.0, 121.2, 112.2, 110.0, 101.6, 72.0, 68.6, 63.4, 55.9, 55.6, 52.3, 50.7, 35.8, 25.6, 25.1, 24.0, 20.9, 10.2. HRESI-MS [M+H]+ C38H42O4N3 m/z 604.3174, calcd. 604.3270.

3.4. Synthetic Protocols for the Preparation of Indolediamine 2

3.4.1. Synthesis of (1S,2S)-Trans-N-Boc-1,2-cyclohexanediamine 14

Commercially available 13 (1.00 g, 8.75 mmol) was dissolved in MeOH (20 mL) at 0 °C into a round bottom flask fitted with a dropping funnel, in which a cold solution of HCl (37%, 750 μL, 1 equiv) was charged in MeOH (7.5 mL). The HCl solution was then slowly added to the diamine 13 solution. Then, the solution was gradually warmed to rt and stirred for 30 min. In a second dropping funnel, Boc2O (1.9 g, 8.75 mmol, 1 equiv) was dissolved in MeOH (20 mL) and added dropwise to the flask containing the diamine in an acidic medium over 20 min. The resultant mixture was further stirred at rt for 1.5 h. Then, the solvent was removed, and the residue was dissolved in CH2Cl2 and washed with a 3M solution of NaOH (20 mL × 3) and brine (20 mL × 3), dried over Na2SO4, filtered and concentrated in vacuo, affording an off-white solid (1.74 g, 93% yield). 1H NMR (700 MHz CDCl3) δ 4.45 (m, 1H), 3.11 (m, 1H), 2.29 (m, 1H), 1.95–1.91 (m, 2H), 1.70–1.67 (m, 2H), 1.44 (s, 9H), 1.29–1.20 (m, 4H), 1.14–1.08 (m, 2H). 13C NMR (175 MHz CDCl3) δ 156.1, 79.2, 57.4, 55.4, 54.9 35.1, 32.8, 28.4, 25.2. HRESI-MS [M+H]+ C11H23N2O2 m/z 215.1758, calcd. 215.1760. NMR data agreed with literature values [].

3.4.2. Synthesis of Tert-butyl ((1S,2S)-2-(Dimethylamino)cyclohexyl)carbamate 15

Compound 14 (700 mg, 3.27 mmol) and formalin (37%, 295 mg, 9.81 mmol, 3 eq.) were dissolved in CH2Cl2 (10 mL) and stirred for 1 h at rt. After this time, sodium triacetoxyborohydride (2.08 g, 9.81 mmol, 3 eq.) was slowly added in portions, and the resulting mixture was stirred at rt overnight. Subsequently, the mixture was diluted with CH2Cl2 and washed with an aqueous solution of NaHCO3 (25 mL × 3) and with brine (20 mL × 3). The resultant organic layer was dried over anhydrous Na2SO4, filtered and concentrated in vacuo, yielding 15 as an amorphous yellow solid in a pure form (m.p. 96 °C, 767 mg, 3.17 mmol, 97% yield). 1H NMR (700 MHz CD3OD) δ 3.37 (m, 1H), 2.33 (m, 1H), 2.27 (s, 6H), 2.01 (m, 1H), 1.86 (m, 1H), 1.77 (m, 1H), 1.67 (m, 1H), 1.44 (s, 9H), 1.23 (overlapped, 4H). 13C NMR (125 MHz CDCl3) δ 21.4, 24.6, 25.2, 28.4, 28.4, 28.4, 33.2, 39.7, 39.7, 51.9, 66.2, 78.6, 156.2. HRESI-MS [M+H]+ C13H27N2O2 m/z 243.2076, calcd. 243.2073. 1H-NMR data agreed with literature values [].

3.4.3. Synthesis of (1S,2S)-N1,N1-Dimethylcyclohexane-1,2-diamine 16

The N-Boc hydrolysis was performed by dissolving 15 (700 mg, 2.89 mmol) in CH2Cl2 (15 mL) and adding a large excess of TFA (3.31 mL, 43.3 mmol, 15 eq.) dropwise at 0 °C. The resultant mixture was stirred at rt under argon overnight. Then, the solvent was removed in vacuo, and the crude material was quenched with a solution of NaOH 2N, fixing the pH value at 10. The product was extracted with CH2Cl2 (30 mL × 3), and the organic phase was washed with brine (5 mL × 3), dried, filtered and concentrated in vacuo. The pure product was obtained as a yellowish oil (380 mg, 2.65 mmol, 92% yield). 1H NMR (700 MHz CDCl3) δ 2.56 (ddd, 1H), 2.22 (s, 6H), 2.01 (ddd, 1H), 1.93 (m, 1H), 1.76 (m, 2H), 1.64 (m, 1H), 1.20–1.15 (m, 2H), 1.10–1.05 (m, 2H). 13C NMR (175 MHz CDCl3) δ 69.9, 51.5, 40.2, 35.2, 25.7, 25.2, 20.6. HRESI-MS [M+H]+ C8H19N2 m/z 143.1544, calcd. 143.1548. NMR data agreed with literature values [].

3.4.4. Synthesis of Methyl 2-((((1S,2S)-2-(Dimethylamino)cyclohexyl)amino)methyl)-1H-indole-3-carboxylate 2

Compound 4 (74.5 mg, 0.28 mmol) and 16 (59.7 mg, 0.28 mmol, 1 eq.) were dissolved in dry CH2Cl2, and triethylamine (3.89 mL, 0.028 mmol, 0.1 eq.) was added. The mixture reaction was stirred at rt overnight. Subsequently, the solvent was evaporated under reduced pressure, and the pure product 2 was lyophilised, obtaining a yellow solid (m.p. 178 °C, 90.0 mg, 0.27 mmol, 98% yield). 1H NMR (700 MHz CDCl3) δ 11.2 (-NH, br.s, 1H), 9.79 (-NH, br.s, 1H), 8.07 (dd, J = 8.4 Hz, 17 Hz, 1H), 7.34 (d, J = 8.4 Hz, 1H), 7.19 (dt, 1H), 7.16 (dt, 1H), 4.43 (d, J = 16 Hz, 1H), 4.38 (d, J = 16 Hz, 1H), 3.92 (s, 3H), 2.43 (m, 1H), 2.31 (s, 6H), 2.07 (m, 1H), 1.81 (dd, 2H), 1.66 (m, 1H), 1.14 (m, 4H). 13C NMR (175 MHz CDCl3) δ 166.5, 134.6, 127.8, 121.9, 121.4, 121.1, 121.0, 111.3, 102.2, 67.4, 59.1, 50.7, 44.3, 40.3, 32.9, 25.2, 24.8, 21.5. HRESI-MS [M+H]+ C19H28N3O2 m/z 330.2178, calcd. 330.2182.

3.5. Synthetic Protocols for the Preparation of Indoleaminourea 3

3.5.1. Synthesis of 1-((1S,2S)-2-Aminocyclohexyl)-3-(3,5-bis(trifluoromethyl)phenyl)urea 19

Compound 14 (300 mg, 1.4 mmol) was dissolved in dry THF (5 mL), and 3,5-bis(trifluoromethyl)phenyl isocyanate 17 (428 mg, 1.3 equiv) was added. The reaction mixture was then stirred at rt overnight. The solvent was then removed in vacuo. The crude material was dissolved in 18 mL of DCM, with the temperature kept at 0 °C by means of an ice-bath, and TFA (2.10 mL, 27.4 mmol, 20 eq.) was slowly added. The resultant mixture was allowed to reach rt and stirred for 3 h. Then, the reaction was quenched with a saturated solution of NaHCO3 (50 mL) and extracted with DCM (20 mL × 3). The collected organic layer was dried over NaSO4, filtered and concentrated in vacuo to obtain compound 19 as a yellow solid (496 mg, 96% yield). 1H NMR (700 MHz CD3OD) δ 8.06 (s, 2H), 7.48 (s, 1H), 3.69 (dt, J = 5 Hz, 21 Hz, 1H), 3.01 (dt, J = 5 Hz, 21 Hz, 1H), 2.10 (dd, 1H), 2.01 (dd, 1H), 1.83 (dd, 2H), 1.38–1.49 (overlapped, 4H). 13C NMR (175 MHz CDCl3) δ 147.5, 141.0, 124.5, 121.9, 118.3, 114.1, 111.4, 56.2, 35.0, 32.7, 27.9, 24.8, 22.1. HRESI-MS [M+H]+ C15H18N3OF6 m/z 370.1353, calcd. 370.1354. NMR data agreed with the literature value [].

3.5.2. Synthesis of Methyl 2-((((1S,2S)-2-(3-(3,5-Bis(trifluoromethyl)phenyl)ureido)cyclohexyl)amino)methyl)-1H-indole-3-carboxylate 3

Compounds 4 (100 mg, 0.38 mmol, 1 equiv) and 19 (166 mg, 1.2 equiv) were dissolved in dry THF (5 mL) and stirred at rt overnight. Then, the solvent was evaporated under reduced pressure, and the crude material was purified by HPLC using an isocratic mobile phase of MeOH (0.1%TFA) and H2O (0.1%TFA) (85:15, v/v) on a Luna column (10 μm, C18) and a flow rate of 3 mL/min. Compound 3 was obtained as yellow solid (m.p. 147 °C, 126 mg, yield 60%, tR = 7.1 min). 1H NMR (700 MHz CD3OD) δ 8.04 (s, 2H), 7.91 (d, J = 8 Hz, 1H), 7.53 (s, 1H), 7.46 (d, J = 8 Hz, 1H), 7.27 (dt, J = 1 Hz, 15 Hz, 1H), 7.21 (dt, J = 1 Hz, 15 Hz, 1H), 4.75 (d, J = 14 Hz, 1H), 4.54 (d, J = 14 Hz, 1H), 3.75 (m, 1H), 3.61 (-OCH3, s, 3H), 3.05 (dt, J = 3 Hz, 18 Hz, 1H), 2.44 (dd, J = 18 Hz, 1H), 1.97 (ddd, 2H), 1.84 (dd, 1H), 1.59–1.38 (overlapped, 4H). 13C NMR (175 MHz CDCl3) δ 168.2, 156.5, 140.6, 135.3, 135.1, 125.5, 124.2, 124.1, 122.7, 122.3, 121.4, 118.4, 115.6, 112.4, 107.0, 62.0, 52.3, 52.0, 42.1, 32.2, 28.7, 24.0, 23.8. HRESI-MS [M+H]+ C26H27N4O3F6 m/z 557.1985, calcd. 557.1987.

4. Conclusions

In conclusion, we have herein reported a synthetic route toward three designer organic multifunctional compounds combining priveleged chiral motifs present in organocatalysts and the indole core, which has been only recently recognised as a “halogen-onium” carrier. The synthetic procedures described are modular and start from commercial materials available in large chemical diversity. Therefore, the expansion of each of the three single organic catalysts into families will require no alteration of the synthetic layout. The evaluation of species 13 in organocatalyses and in halogenation are underway, and the results will be soon reported. We believe this study will be of interest to whomever is concerned with the preparation of halogenated intermediates and the optimisation of metal-free, i.e. green, procedures for the manufacture of drugs and intermediates thereof.

Supplementary Materials

The following supporting information can be downloaded at: can be downloaded at https://www.mdpi.com/article/10.3390/org6020015/s1. The 1H, 13C NMR and HRESIMS spectra of the intermediates and organo catalysts 13.

Author Contributions

Conceptualisation, M.W.G.-H., B.G.K., M.F.A.A. and P.G.; methodology, M.C. and M.W.G.-H.; formal analysis, M.C. and M.F.A.A. investigation, M.C. and M.W.G.-H. and P.G.; writing—original draft preparation, P.G. and M.F.A.A. writing—review and editing, M.W.G.-H. and B.G.K.; supervision, M.F.A.A. and P.G.; project administration, M.W.G.-H., B.G.K., M.F.A.A. and P.G.; funding acquisition, M.W.G.-H., M.F.A.A. and P.G. All authors have read and agreed to the published version of the manuscript.

Funding

This research was funded by a grant from the HORIZON 2020-MSCA RISE 2018 program for the “GreenX4Drug” project, grant number 823939.

Data Availability Statement

The original contributions presented in this study are included in the article/Supplementary Material. Further inquiries can be directed to the corresponding author.

Conflicts of Interest

Authors Brian G. Kelly, Malachi W. Gillick-Healy, and Mauro F. A. Adamo were employed by the company KelAda Pharmachem Ltd. The remaining authors declare that the research was conducted in the absence of any commercial or financial relationships that could be construed as a potential conflict of interest.

References

  1. Nagendra, K.K.; Neha, K.; Pankaj, A.; Naresh, K.; Chung, H.K.; Akhilesh, K.V.; Eun, H.C. Biomedical Importance of Indoles. Molecules 2013, 6, 6620–6662. [Google Scholar]
  2. Archana, K.; Rajesh, K.S. Medicinal chemistry of indole derivatives: Current to future therapeutic perspectives. Bioorg. Chem. 2019, 89, 103021–103036. [Google Scholar]
  3. James, P.N.; Snyder, H.R. Indole-3-aldehyde. Org. Synth. 1959, 39, 30–32. [Google Scholar]
  4. Heaney, H.; Ley, S.V. 1-Benzylindole. Org. Synth. 1974, 54, 54–58. [Google Scholar]
  5. Bergman, J.; Venemalm, L. Efficient synthesis of 2-chloro-,2-bromo-, and 2-iodoindole. J. Org. Chem. 1992, 57, 2495–2497. [Google Scholar] [CrossRef]
  6. Katritzky, A.R.; Li, J.; Stevens, C. Facile synthesis of 2-substituted indoles and indolo[3,2-b] carbazoles from 2-(benzotriazol-1-ylmethyl) indole. J. Org. Chem. 1995, 60, 3401–3404. [Google Scholar] [CrossRef]
  7. Ximenes, V.F.; Campa, A.; Catalani, L.H. The oxidation of indole derivatives catalysed by horseradish peroxidase is highly chemiluminescent. Arch. Biochem. Biophys. 2001, 387, 173–179. [Google Scholar]
  8. Lynch, S.M.; Bur, S.K.; Padwa, A. Intramolecular amidofuran cycloadditions across an indole pi-bond: An efficient approach to the aspidosperma and strychnos ABCE core. Org. Lett. 2002, 4, 4643–4645. [Google Scholar] [CrossRef]
  9. Chaudhuri, A.; Haldar, S.; Sun, S.; Koeppe II, R.E.; Chattopadhyay, A. Importance of indole NH hydrogen bonding in the organization and dynamics of gramicidin channels. Biochim. Biophys. Acta 2013, 1838, 419–428. [Google Scholar] [CrossRef]
  10. Chen, T.; Foo, T.J.Y.; Yeung, Y.Y. Indole-Catalyzed Bromolactonization in Lipophilic Solvent: A Solid− Liquid Phase Transfer Approach. ACS Catal. 2015, 5, 4751–4755. [Google Scholar] [CrossRef]
  11. Shi, Y.; Ke, Z.; Yeung, Y.Y. Environmentally benign indole-catalyzed position- selective halogenation of thioarenes and other aromatic. Green Chem. 2018, 20, 4448–4452. [Google Scholar] [CrossRef]
  12. Wong, J.; Ke, Z.; Yeung, Y.Y. Lipophilic indole mediated chemoselective a-monobromination of 1,3-dicarbonyl compounds. Tetrahedron Lett. 2020, 61, 151772–151775. [Google Scholar] [CrossRef]
  13. Shi, Y.; Wong, J.; Ke, Z.; Yeung, Y.Y. Lipophilic Indole-Catalyzed Intermolecular Bromoesterification of Olefins in Nonpolar Media. J. Org. Chem. 2019, 84, 4017–4024. [Google Scholar] [CrossRef] [PubMed]
  14. Bencivenni, G.; Saraiva Rosa, N.; Grieco, P.; Gillick-Healy, M.W.; Kelly, B.G.; Twamley, B.; Adamo, M.F.A. Quaternary Ammonium Salts Interact with Enolates and Sulfonates via Formation of Multiple +N-C-H Hydrogen Bonding Interactions. Catalysts 2022, 12, 803. [Google Scholar] [CrossRef]
  15. Bencivenni, G.; Salazar Illera, D.; Moccia, M.; Houk, K.N.; Izzo, J.A.; Novacek, J.; Grieco, P.; Vetticatt, M.J.; Waser, M.; Adamo, M.F.A. Study of Ground State Interactions of Enantiopure Chiral Quaternary Ammonium Salts and Amides, Nitroalkanes, Nitroalkenes, Esters, Heterocycles, Ketones and Fluoroamides. Chem. Eur. J. 2021, 27, 11354–11366. [Google Scholar] [CrossRef]
  16. Salazar Illera, D.; Pacifico, R.; Adamo, M.F.A. Asymmetric Phase Transfer Catalysed Michael Addition of γ-Butenolide and N-Boc-Pyrrolidone to 4-Nitro-5-styrylisoxazoles. Catalysts 2022, 12, 634. [Google Scholar] [CrossRef]
  17. Destro, D.; Bottinelli, C.; Ferrari, L.; Albanese, D.C.A.; Bencivenni, G.; Gillick Healy, M.; Kelly, B.; Adamo, M.F.A. Enantioselective Synthesis of 3, 4-Dihydropyran-2-ones via Phase-Transfer-Catalyzed Addition–Cyclization of Acetylacetone to Cinnamic Thioesters. J. Org. Chem. 2020, 85, 5183–5192. [Google Scholar] [CrossRef]
  18. Del Fiandra, C.; Piras, L.; Fini, F.; Disetti, P.; Moccia, M.; Adamo, M.F.A. Phase transfer catalyzed enantioselective cyclopropanation of 4-nitro-5-styrylisoxazoles. Chem. Commun. 2012, 48, 3863–3865. [Google Scholar]
  19. Baschieri, A.; Bernardi, L.; Ricci, A.; Suresh, S.; Adamo, M.F.A. Catalytic Asymmetric Conjugate Addition of Nitroalkanes to 4-Nitro-5-styrylisoxazoles. Angew. Chem. Int. Ed. 2009, 48, 9342–9345. [Google Scholar] [CrossRef]
  20. Pineda, A.; Carr, J.; Rodriguez-Padron, D.; Lazaro Ronco, N.; Fox, K.; Gonzalez-Arellano, C.; Gillick-Healy, M.W.; Kelly, B.G.; Adamo, M.F.A.; Luque, R. A continuous flow approach for the desulfurative bromination of sulfides. Sustain. Chem. Pharm. 2024, 38, 101490–101495. [Google Scholar] [CrossRef]
  21. Canestrani, D.; Cioffi, C.; Biancofiore, I.; Lancianesi, S.; Ghisu, L.; Reuther, M.; O´Brien, J.; Adamo, M.F.A.; Ibrahim, H. Sulphide as a leaving group: Highly stereoselective bromination of alkyl phenyl sulphides. Chem. Sci. 2019, 10, 9042–9050. [Google Scholar] [CrossRef] [PubMed]
  22. Alletto, F.; Adamo, M.F.A. Enantiospecific on-water bromination: A mild and efficient protocol for the preparation of alkyl bromides. Green Chem. 2020, 22, 8692–8698. [Google Scholar] [CrossRef]
  23. Canestrari, D.; Lancianesi, S.; Badiola, E.; Strinna, C.; Ibrahim, H.; Adamo, M.F.A. Desulfurative chlorination of alkyl phenyl sulfides. Org. Lett. 2017, 19, 918–921. [Google Scholar] [PubMed]
  24. Würtz, S.; Rakshit, S.; Neumann, J.J.; Dröge, T.; Glorius, F. Palladium-Catalyzed Oxidative Cyclization of N-Aryl Enamines: From Anilines to Indoles. Angew. Chem. Int. Ed. 2008, 38, 7230–7233. [Google Scholar]
  25. Patil, S.A.; Patil, R.; Miller, D.D. Microwave-assisted synthesis of medicinally relevant indoles. Curr. Med. Chem. 2011, 4, 615–637. [Google Scholar] [CrossRef] [PubMed]
  26. Nigam, V.; Singh, S.; Kasana, S.; Kumar, S.; Das Kurmi, B.; Das Gupta, G.; Patel, P. Revolutionizing Indole Synthesis: A Microwave-Powered Approach. Chem. Select 2024, 9, e202402171. [Google Scholar] [CrossRef]
  27. Huang, Y.; Yang, Y.; Song, H.; Liu, Y.; Wang, Q. Synthesis of Structurally Diverse 2,3-Fused Indoles via Microwave-Assisted AgSbF6-Catalysed Intramolecular Difunctionalization of o-Alkynylanilines. Sci. Rep. 2015, 5, 13516. [Google Scholar] [CrossRef]
  28. Bellavita, R.; Casertano, M.; Grasso, N.; Gillick-Healy, M.W.; Kelly, B.G.; Adamo, M.F.A.; Menna, M.; Merlino, F.; Grieco, P. Microwave-Assisted synthesis of 2-methyl-1H-indole-3-carboxylate derivatives via Pd-catalysed heterocyclisation. Symmetry 2022, 3, 435–445. [Google Scholar]
  29. Kohler, M.C.; Yost, M.J.; Garnsey, M.R.; Coltart, D.M. Direct Carbon−Carbon Bond Formation via Soft Enolization: A Biomimetic Asymmetric Mannich Reaction of Phenylacetate Thioesters. Org. Lett. 2010, 15, 3376–3379. [Google Scholar]
  30. Bennani, Y.L.; Hanessian, S. trans-1,2-Diaminocyclohexane Derivatives as Chiral Reagents, Scaffolds, and Ligands for Catalysis: Applications in Asymmetric Synthesis and Molecular Recognition. Chem. Rev. 1997, 97, 3161–3195. [Google Scholar]
  31. Kopyt, M.; Glowacki, M.P. Trans-1,2-Diaminocyclohexane and Its Derivatives in Asymmetric Organocatalysis. In Chiral Building Blocks in Asymmetric Synthesis: Synthesis and Applications; Wiley VCH, GmbH: Weinheim, Germany, 2022; ISBN 9783527349463/9783527834204. [Google Scholar]
  32. Lee, D.W.; Ha, H.J.; Lee, W.K. Selective Mono-BOC Protection of Diamines. Synth. Commun. 2007, 37, 737–742. [Google Scholar]
  33. Imperatore, C.; Valadan, M.; Tartaglione, L.; Persico, M.; Ramunno, A.; Menna, M.; Casertano, M.; Dell’Aversano, C.; Singh, M.; d’Aulisio Garigliota, M.L.; et al. Exploring the Photodynamic Properties of Two Antiproliferative Benzodiazopyrrole Derivatives. Int. J. Mol. Sci. 2020, 21, 1246. [Google Scholar] [CrossRef] [PubMed]
  34. Casertano, M.; Genovese, M.; Piazza, L.; Balestri, F.; Del Corso, A.; Vito, A.; Paoli, P.; Santi, A.; Imperatore, C.; Menna, M. Identifying Human PTP1B Enzyme Inhibitors from Marine Natural Products: Perspectives for Developing of Novel Insulin-Mimetic Drugs. Pharmaceuticals 2022, 15, 325. [Google Scholar] [CrossRef]
  35. Amarasinghe, N.R.; Turner, P.; Todd, M.H. The First Catalytic, Enantioselective Aza-Henry Reaction of an Unactivated Cyclic Imine. Adv. Synth. Catal. 2012, 354, 2954–2958. [Google Scholar]
  36. Bulman Page, P.; Farah, M.; Buckley, B.; Chan, Y.; Blacker, A. Preparation of C2-Symmetric Biaryl Bisiminium Salts and Their Use as Organocatalysts for Asymmetric Epoxidation. Synlett 2015, 27, 126–130. [Google Scholar] [CrossRef]
  37. Berkessel, A.; Seeling, B. A simplified synthesis of Takemoto’s catalyst. Synthesis 2009, 12, 2113–2115. [Google Scholar] [CrossRef]
Disclaimer/Publisher’s Note: The statements, opinions and data contained in all publications are solely those of the individual author(s) and contributor(s) and not of MDPI and/or the editor(s). MDPI and/or the editor(s) disclaim responsibility for any injury to people or property resulting from any ideas, methods, instructions or products referred to in the content.

Article Metrics

Citations

Article Access Statistics

Multiple requests from the same IP address are counted as one view.