You are currently viewing a new version of our website. To view the old version click .
Organics
  • Review
  • Open Access

15 December 2023

4-Hydroxy-2-pyrones: Synthesis, Natural Products, and Application

,
,
and
Institute of Natural Sciences and Mathematics, Ural Federal University, 620000 Ekaterinburg, Russia
*
Author to whom correspondence should be addressed.
This article belongs to the Special Issue The Modern Trends in Organic Synthesis, including PASE and Green Chemistry

Abstract

4-Hydroxy-2-pyrones are of interest as potential biorenewable molecules for a sustainable transition from biomass feedstock to valuable chemical products. This review focuses on the methodologies for the synthesis of 4-hydroxy-2-pyrones published over the last 20 years. These pyrones as polyketides are widespread in Nature and possess versatile bioactivity that makes them an attractive target for synthesis and modification. Biosynthetic paths of the pyrones are actively developed and used as biotechnological approaches for the construction of natural and unnatural polysubstituted 4-hydroxy-2-pyrones. The major synthetical methods are biomimetic and are based on the cyclization of tricarbonyl compounds. Novel chemical methods of de novo synthesis based on alkyne cyclizations using transition metal complexes and ketene transformations allow for straightforward access to 4-hydroxy-2-pyrones and have been applied for the construction of natural products. Possible directions for further pyrone ring modification are discussed.

1. Introduction

2-Pyrones are an important class of heterocyclic compounds of interest as valuable reagents in organic synthesis and an essential pharmacophore in many biologically active products [,,,,,,,,,]. Among them, 4-hydroxy-2-pyrones occupy a special place because these molecules are both polyketide structures and pyrans [,,,,] (Figure 1). These substances can exist in two tautomeric forms, namely, 4-hydroxy-2-pyrone and 2-hydroxy-4-pyrone. The former is a major tautomer as the result of effective conjugation. This structural feature makes a wide range of synthesis methods available for their synthesis that are typical for both 2-pyrones and 4-pyrones and that were not covered in recent reviews [,].
Figure 1. Structural features of 4-hydroxy-2-pyrones.
4-Hydroxy-2-pyrones are polyfunctional molecules that bear several electrophilic and nucleophilic centers that determine their application in organic synthesis. These heterocycles are attractive building blocks for the preparation of biologically important pyran structures, aromatics, polymers, azaheterocycles and acyclic structures via ring-opening transformations or pyran ring modifications [,,,,,,,,,,]. Two molecules that receive the most attention are triacetic acid lactone (4-hydroxy-6-methyl-2H-pyran-2-one) [] and dehydroacetic acid (3-acetyl-4-hydroxy-6-methyl-2H-pyran-2-one) [,], which are already produced industrially and show high reactivity. Additionally, triacetic acid lactone is considered a bioprivileged molecule and a potential platform molecule because it can be prepared from carbohydrates using biological methods []. This approach allows for the sustainable preparation of valuable chemicals and end products based on renewable carbon sources []. Numerous other 4-hydroxy-2-pyrones are also produced using polyketidases [] and can lead to various structures that can also be attributed to bioprivileged molecules. Thus, the development of the synthesis of 4-hydroxy-2-pyrones as a renewable feedstock for the chemical industry is a serious task for sustainable chemistry.
The 4-hydroxy-2-pyrone fragment provides these molecules with promising and diverse biological and physical properties [,,,,,]. The main strategy and feature of the search for new bioactive substances includes their isolation from natural sources. Plenty of 4-hydroxy-2-pyrones have been described as varying in the nature and complexity of their substituents, number and position to which they are attached. These pyrones were found in bacteria, microbes, plants, insects, fungi and animals [,,,,,,,,,] and are involved in many types of biological processes, such as defense against other organisms and as signaling function [,,,,,], as well as representing key intermediates for biochemical transformations of complex natural molecules [].
The wide distribution of 4-hydroxy-2-pyrones as secondary metabolites and diverse biological activity makes them an attractive target for synthesis and the design of new bioactive compounds. At the same time, the major methods of preparation are isolation from natural sources and the use of biotechnologies. This review describes modern general and effective synthetic methods for the construction of 4-hydroxy-2-pyrones, including natural products.

2. Synthetic Strategies

2.1. Cyclization of 1,3,5-Tricarbonyl Compounds Derived from Acetoacetic Esters

The most common method for the synthesis of 4-hydroxy-2-pyrones is the cyclization of 1,3,5-tricarbonyl compounds or their protected derivatives [,,,,,,,]. This method can be considered as a biomimetic strategy because the same processes occur under the action of polyketide synthases in Nature []. The general approach is based on a condensation reaction of acetoacetic esters with aldehydes at the C-4 position in the presence of sodium hydride and/or n-BuLi with subsequent oxidation. For example, the corresponding ester 1 gives the corresponding products 2, which lead to the diketoesters 3 with the use of AZADOL® (2-azaadamantan-2-ol) and PhI(OAc)2 in dichloromethane (Scheme 1). The DBU-catalyzed cyclization in polar and non-polar solvents produces 4-hydroxy-2-pyrones 4 in 60–100% yields [,]. This method allows for the use of various derivatives of acetoacetic ester, which bear the Me, Et, n-Pr, n-Bu groups at the C-2 position, and aldehydes. However, 2-methylacetoacetic ester is most often used because a few natural compounds based on 3-methyl-4-hydroxy-2-pyrones. Using this approach, the α-pyrones 6 are also synthesized, some of which possess a chiral center in the side chain []. It should be noted that the cyclization of 4-acyl-acetoacetate 5 is carried out in the presence of catalytic DBU (Scheme 1).
Scheme 1. Preparation of 4-hydroxy-2-pyrones from aldehydes and acetoacetic ester derivatives.
There are examples in the literature of the direct preparation of tricarbonyl compounds based on Claisen condensation of substituted acetoacetic ester in the presence of strong basics, such as LDA [,], n-BuLi [], LiHMDS [] or NaHMDS []. The use of an active derivative of carboxylic acid, such as 2-methylmalonyl chloride [], BnO(CH2)2COImd (Imd = imidazolyl) [], dimethyl carbonate [] and Weinreb amide 12 [] (Scheme 2), lead to the corresponding tricarbonyl compounds. The subsequent cyclization in the presence of 1,8-diazabicyclo(5.4.0)undec-7-ene (DBU) gives pyrones 8, 11 and 13, respectively. Several works [,] describe the use of carbon dioxide as a carboxylation reagent in the presence of acetic anhydride.
Scheme 2. The preparation of 4-hydroxy-2-pyrones based on Claisen condensation.
DBU is the most popular promoter for the cyclization of tricarbonyl compounds, and also the catalysis of MeONa [], PTSA [], PPA [] and Ac2O [] is applied for the preparation of 4-hydroxy-2-pyrones. Although the majority of the methods are based on the lactonization of the methyl esters, the ethyl esters can also be used for the cyclization [,,]. The cyclization of 4-acyl-acetoacetates has been applied in the synthesis of natural compounds and biologically important products or their precursors, such as cyercene A [], phenoxan [], gulypyrone A [], verticipyrone [], salinipyrone A [], sesquicillin A [] and subglutinol A [].
A classical self-condensation of ketoesters first described for the synthesis of dehydroacetic acid [] was revised recently with the use of modern techniques and reagents. Thus, product 15 is prepared from ethyl benzoylacetate (14) via microwave excitation in acetic acid in 62% yield (Scheme 3) []. Tetracarbonyl compound A is a possible intermediate in the reaction, which is formed via the Claisen condensation. The self-condensation of β-ketoacids 18, which are obtained via acylation of Meldrum’s acid with acyl chlorides 16 and the subsequent hydrolysis of esters 18, makes it possible to obtain 3-acyl-substituted 4-hydroxy-2-pyrones 19 in low-to-moderate yields over four steps. Carbonyldiimidazole (CDI) is used for the promotion of both the Claisen condensation and the subsequent cyclization in THF at room temperature (Scheme 3) [].
Scheme 3. Preparation of 4-hydroxy-2-pyrones 15, 19 from ketoesters via the self-condensation reaction.
The one-pot synthesis of a wide range of 3-aryl-4-hydroxy-2-pyrones 21 was achieved by Dhage et al. []. Diethyl oxaloacetate undergoes O-acylation with arylacetyl chlorides, which is generated in situ from arylacetic acids 20, followed by base-catalyzed intramolecular Claisen condensation (Scheme 4). Both ester groups can be attacked during the cyclization of intermediate B, and competition between the formation of pyrone and furan systems occurs. However, a more favorable 6-exo-trig cyclization directs the process toward the formation of the pyrone ring.
Scheme 4. One-pot preparation of 4-hydroxy-2-pyrones 21 from 2-arylacetic acids.
Schmidt and co-authors showed that the acylation of esters 22 proceeds with aziridines 23 to form tricarbonyl compounds 24. Diketones 24 give salts 25 under treatment with KOH. The potassium salts of 5-hydroxy-3-oxopent-4-enoic acids 25, which are a stable equivalent of diketoacids and cyclized to the corresponding 2-pyrones 26 at low temperatures in the medium of trifluoroacetic acid (TFA) and trifluoroacetic anhydride (TFAA) in 67–96% yields [] (Scheme 5). This approach is effective enough, and the total yield of 6-phenyl-4-hydroxy-2-pyrone is 57% for three steps.
Scheme 5. Preparation of 4-hydroxy-2-pyrones 26 from the potassium salts 25.

2.2. Recyclization of Acetals

Synthetic equivalents of dicarbonyl compounds can also be used for the preparation of pyrones. Diketene acetone adduct 27 is enolized via deprotonation with lithium diisopropylamide (LDA) in the presence of trimethylsilyl chloride, followed by a Mukaiyama condensation with aldehydes to form silyl dienol ether 28. Subsequent oxidation with Dess–Martin reagent (DMP) leads to the desired ketones 29 [,,,,,] (Scheme 6). Compounds 29 undergo cyclization to pyrones 30 under reflux in toluene. The use of acid chlorides, esters and other carbonyls with good leaving groups allows for the direct formation of oxo derivatives 31, thus reducing the number of stages. The alkylation of derivative 32 with alkyl iodides gives substituted ketones 33, which are similarly cyclized under heating to pyrones 34.
Scheme 6. Synthesis of 4-hydroxy-2-pyrones via recyclization of acetals.

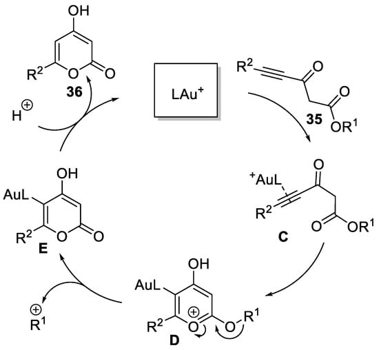
2.3. Cyclization of Acetylenic 1,3-Dicarbonyl Compounds in the Presence of Gold Complexes

Fürnster and colleagues actively utilized gold(I) catalysis for the synthesis of 3,6-disubstituted 4-hydroxy-2-pyrones 36 from acetylenic diketones 35 [,,] (Scheme 7). The alkyl part of the ester group (R3) is critical for the transformation with t-Bu and CH2CH2TMS gives the best results due to the facile elimination of the corresponding alkene. The scope of the method is exceptionally broad, including bicyclic and macrocyclic products. The conditions are quite robust and allow for variation in the solvent and the phosphine ligand. The synthesis of wailupemycin G (38) was shown to be a typical representative and is based on the cylclization of alkyne 37 []. This method is also applied for the preparation of various natural products, such as neurymenolide A, orevactaene, DMDA-pateamine A, radicinol, hispidine, phellinin A [] and violapyrone C [].
Scheme 7. Cyclization of acetylenic 1,3-dicarbonyl compounds.
The catalytic cycle starts with the coordination of the gold-based carbophilic catalyst, which is primarily coordinated at the triple bond to form the π-complex C. The next step includes the intramolecular attack of the oxygen atom on the π-complex that leads to the favorable 6-endo-dig cyclization and the formation of an intermediate D. The heterolysis of the O–R bond and subsequent protonation gives 4-hydroxy-2-pyrone 36 and the release of the catalyst (Scheme 8).
Scheme 8. Proposed mechanism of cyclization of alkynyl ketoesters 35 to 4-hydroxy-2-pyrones 36 under the action of gold salts.
Schreiber et al. showed that 4-hydroxy-2-pyrones 40 can be obtained via the self-condensation of acetylenecarboxylic acids 39 with the use of a gold-based catalyst []. The reaction is carried out in the presence of 5% chloro(triphenylphosphine)gold(I) and 5% silver hexafluoroantimonate(V) in toluene at room temperature. However, only 6-phenyl- (81%) and 6-propyl-(56%) 4-hydroxy-2-pyrone are synthesized in this way (Scheme 9). Later, Ghosh and co-workers [] showed the activity of other gold catalysts with the best result using the JohnPhos ligand, which promotes the transformation of compounds 41 with no silver additive. The scope of this reaction includes aromatic and aliphatic derivatives, and the yields of pyrones 42 range from 33% to 93%. Using this approach, pseudopyronine A is obtained in a 24% total yield over four stages.
Scheme 9. Direct preparation of 4-hydroxy-2-pyrones 40 and 42 from acetylenecarboxylic acids.

2.4. Syntheses Based on Ketenes

[4+2]-Cyclization reactions with ketenes are involved less often in the synthesis of 2-pyrones []. However, several new examples appeared in recent years. 5-Carbomethoxy-4-hydroxy-6-methyl-2H-pyran-2-one is obtained from malonyl chloride and methyl acetoacetate in a 58% yield []. Similarly, the reaction of stable ketenes 43 and 46 with dicarbonyl compounds 44 afforded 4-hydroxy-2-pyrones 45 and 47 in good yields (Scheme 10) [,]. The reaction scope includes only the available symmetrical diketones and acetoacetic acid derivatives 44. The ketenes are easily obtained from corresponding acid chlorides in situ.
Scheme 10. Reactions of chloroformylketenes with dicarbonyl compounds.
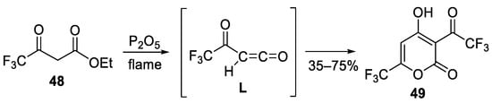
It was also demonstrated [] that CF3-substituted ester 48 gives hexafluorodehydroacetic acid 49 in 41% yield under heating with a flame burner in the presence of phosphorus(V) oxide (Scheme 11). A proposed mechanism of the reaction includes the formation of ketene L, which then dimerizes. Recently, our group [] repeated this synthesis and showed that the method is difficult to reproduce, and the yields of hexafluorodehydroacetic acid 49 are in the range of 35–75%. The molecule can be considered an important building block for the synthesis of fluorine-containing molecules [].
Scheme 11. The synthesis of hexafluorodehydroacetic acid 49.
A simple and direct method for the preparation of 3-acyl-4-hydroxy-2-pyrones 51 was described by Perrone et al. []. The carbonylation of α-chloroketones 50 under the action of a palladium catalyst and triethylamine in tetrahydrofuran [] gives 3-alkanoyl- and 3-aroyl-substituted 2-pyrones 51 in high yields (Scheme 12). The byproducts are 4-pyrones 52, but their amount is minimized to 1% in optimal conditions with the use of palladium(II) acetate at 60 °C. The reaction is tolerant of various alkyl and aryl substituents. The authors suggested that the formation of acylketene N occurs through the cleavage of palladium from the product of the carbonylation (intermediate M). The last step is the [4+2]-cycloaddition of the ketene N to give target 2-pyrone 51.
Scheme 12. Formation of 2-pyrones 51 from α-chloroacetophenones 50.
Recently, Castilio et al. showed that 3-diazoacetylacetone 53 transforms to 4-hydroxy-2-pyrone 54 [], which is an important intermediate in the synthesis of natural compounds [,]. Diazoacetylacetone (53) is heated to 180 °C under microwave irradiation in toluene for two minutes, and pyrone 54 crystallizes out of the reaction medium in a total yield of 30%. It is most likely formed as the result of the hydrolysis of the non-isolated intermediate Q, which is the dimer of acetyl ketene P (Scheme 13).
Scheme 13. Phe preparation of 4-hydroxy-2-pyrone 54 based on diazoacetylacetone (53).

2.5. Pyrone Fragment Modification

2-Cyano-4-pyrones can be considered as a synthetic equivalent of 4-hydroxy-2-pyrones via ring-opening transformations and elimination of HCN; however, their direct conversion has never been described. The substitution occurs selectively only upon treatment with amines and hydrazines [,]. On the other hand, the transformation of MeO-substituted γ-pyrones under the action of alkali is a general method for the synthesis of 4-hydroxy-2-pyrones (Scheme 14). This approach was used by Kato’s group in the synthesis of (+)-sesquicillin A. (−)-Nalanthalide (55) was heated under basic conditions (1 M NaOH) leading to γ-pyrone hydrolysis and removal of acetyl protection in the non-pyrone fragment, as a result, deacetylated sesquicillin A (56) was prepared in 83% yield [].
Scheme 14. Hydrolysis of 2-methoxy-γ-pyrone 55 in the synthesis of deacetylated (+)-sesquicillin A (56).
Another approach is based on an ANRORC reaction of 3-carbethoxy-substituted 4-pyrones under the action of a base. Although this reaction was described only in two works [,], it provides access to difficult-to-find 3-formyl-4-hydroxy-2-pyrones. Very recently, it was observed that the reaction of 4-oxo-4H-pyran-3-carboxylate 57 with NaOH proceeded selectively and led to 4-hydroxy-2-pyrone 58 in 53% yield. This transformation presumably occurs through a conjugate nucleophilic addition at the C-2 position of the γ-pyrone ring, followed by pyrone ring opening and then ring closure to produce the stable anion of 58 (Scheme 15).
Scheme 15. Recyclization of 4-oxo-4H-pyran-3-carboxylate 57.
The reaction of triacetic acid lactone (59) with 3-bromocyclohexene 60 in acetone in the presence of potassium carbonate leads to compound 61, which can undergo a Claisen rearrangement under heating in xylene to give the corresponding 3-cyclohexenyl-substituted 4-hydroxy-2-pyrones 62 (Scheme 16) []. Another approach for the modification of the pyrone ring is based on the Fries reaction. Acylation of 59 with phenoxyacetyl chloride leads to O-acylation products R, which are treated without isolation with potassium cyanide in DCM. These pyrones undergo rearrangement to produce 6-methyl-4-hydroxy-3-(2-phenoxyacetyl)-2-pyrones 63 in 41–60% yields [].
Scheme 16. Preparation of 3-cyclohexenyl-4-hydroxy-2-pyrone and 3-acyl derivatives of triacetic acid lactone (59).
Methods for the modification of triacetic acid lactone and dehydroacetic acid are widely used, which make it possible to obtain 4-hydroxy-2-pyrones [,,]. These reactions include the electrophilic substitution method common to pyrones for the functionalization of positions 3 and 5 of the pyrone ring. For example, bromination or iodination reactions, Michael reactions, acylation and alkylation of the ring, modification of side substituents [,,] and selective palladium-catalyzed carbofunctionalization []. In many total syntheses of natural products, the modification of the methyl group located at the C-6 position of the pyrone ring is a convenient strategy via condensation reactions [,].
Dealkylation and deacylation reactions are often used for the preparation of 4-hydroxy-2-pyrones because the methods of side substituent modification and the introduction of additional groups to the pyrone ring are accompanied by the protection of the hydroxyl group at the C-4 position. For debenzylation, general methods for removing this group are applied, such as hydrogen on palladium or sodium borohydride [,]. The cleavage of the methoxymethyl group is achieved with the use of trifluoroacetic acid [,]. The methyl group is deprotected via sequential treatment with hydrogen bromide in acetic acid and sodium hydroxide or trimethylsilyl iodide in chloroform and then with sulfuric acid [,]. The 2,2,2-trimethylacetyl and acetyl group is cleaved by a base, for example, DBU in methanol at 0 °C [] or sodium hydroxide in tetrahydrofuran [].

3. Natural 4-hydroxy-2-pyrones and Their Applications

Several 4-hydroxy-2-pyrones, which have their own names, include the five main classes of 4-hydroxy-2-pyrones, but we cannot cover this rapidly developing area and all observed metabolites bearing the 4-hydroxy-2-pyrone moiety in this review [,,,]. The known natural 4-hydroxy-2-pyrones can be classified according to the nature of the substituents and positions of substitution at the pyran ring. The first class includes the simplest 6-substituted 4-hydroxy-4-pyrones bearing alkyl, styryl and aromatic substituents (Figure 2). A feature of these molecules is the presence of the free C-3 position, which can be modified and leads to several new 4-hydroxy-2-pyrones []. The simplest natural 4-hydroxy-2-pyrones are triacetic acid lactone and tetracetic acid lactone, which were first isolated in 1967 from Penicillium stipitatum. These substances were important for understanding the pathways the polyketide formation in nature [,] and stimulated the development of the synthesis of lactone from carbohydrates []. Another simple 6-alkyl-4-hydroxy-2-pyrone, namely, fistupyrone (4-hydroxy-6-isovaleryl-2-pyrone), is produced by Streptomyces and demonstrates inhibition of the infection of Alternaria brassicicola in the leaves of seedlings of Chinese cabbage []. Among this series of compounds, hispidin, which is 6-styryl-4-hydroxy-2-pyrone, bears the catechol fragment and can be distinguished as a low molecular compound with valuable biological activities, such as anti-oxidative, anti-inflammatory, cytotoxic, anti-platelet aggregation, anti-diabetic, anti-dementia and anti-viral effects [,]. This pyrone was isolated for the first time from Inonotus hispidus fungi in 1889 and was later found in various fungi used in traditional medicine []. Furthermore, hispidin contains a conjugated system as a natural yellow-brown pigment and can be used for dyeing []. Hydroxylation at the C-3 position occurs in luminescent mushrooms Neonothopanus nambi, leading to fungal luciferin ((E)-6-(3,4-dihydroxystyryl)-3,4-dihydroxy-2H-pyran-2-one) []. This process is followed by light emission. Also, hispidin and bisnoryangonin undergo transformations in mushrooms to give a large and diverse range of biogenerated styrylpyrones, which have a role similar to that of flavonoids in plants []. Several products of the dimerization or oligomerization are connected with modifications of the C-3 position and include substituted 6-styryl-4-hydroxy-2-pyrones, such as fasciculines A and B, phelligridins B and I, phelligridimer A, phaeolschidins A–E and pinillidine [,]. Moreover, the oxidized structures at the benzene ring isolated from micro-organisms as metabolites of the fruiting bodies of Hyrnenochaete mougestii (Poriales) are hymenoquinone and leucohymenoquinone (Figure 2) [].
Figure 2. The main representatives of 6-substituted 4-hydroxy-2-pyrones.
An aromatic substituent at the C-6 position occurs in such structures, as wailupemicines, phaeochromycins and mutactin. Wailupemicines are a metabolism product of Streptomyces maritimus, which was found at Wailupe Beach Park along the southeast coast of Oahu (Hawaii), and are of interest as new α-glucosidase inhibitors []. Phaeochromycins were isolated from an actinomycete Streptomyces phaeochromogenes and demonstrate anti-inflammatory activity [].
The most common class of natural 4-hydroxy-2-pyrones includes 3-alkyl-substituted molecules, which contain alkyl and alkenyl substituents at the C-6 position and less often substituents at the C-5 position (Figure 3). A large class includes germicidins A–J as important representatives of 3,6-dialkyl-substituted 4-hydroxy-2-pyrones []. These compounds are natural antibiotics that were isolated from Streptomyces bacteria and are responsible for spore germination via inhibition of porcine Na+/K+-activated ATPase []. Related molecules are violapyrones A–F, which bear the methyl substituent at the C-3 position and a long aliphatic substituent at the C-6 position []. They are secondary metabolites of Streptomyces violascens and demonstrate modest antibacterial activity. Another feature of alkylated 4-pyrones is that they can perform signaling functions []. It was reported that photopyrones A–H act as signaling molecules in the cell–cell communication system of the entomopathogenic bacterium Photorhabdus luminescens via the inhibition of quorum sensing. Pseudopyronines A,B bearing long alkyl substituents at the C-3 and C-6 positions isolated from different Pseudomonas strains have antibacterial properties, especially against mycobacteria [,]. It is known that 3-methyl-6-alkyl-4-hydroxy-2-pyrones are included in the M. tuberculosis cell wall as permeability regulators. Pseudopyronines, which are similar to these compounds, selectively disrupt the membrane and inhibit the growth of M. tuberculosis by blocking its fatty acid biosynthesis pathway [].
Figure 3. The main representatives of 3-alkyl-substituted 4-hydroxy-2-pyrones.
Elasnine contains branched alkyl substituents that are modified by a carbonyl group. It is interesting as an effective and selective inhibitor of human sputum (leukocyte) elastase, which is implicated in many inflammatory disease states []. Also, elasnine can be used in controlling marine biofilms and displays feasibility and advantages when used as a signal molecule to develop eco-friendly technologies. Elasnine’s action is connected with disturbing the regulation of the ATP-binding cassette transport system and the bacterial secretion system []. The marine-pyrone macrolide neurymenolide A contains the 4-hydroxy-2-pyrone moiety, which was previously isolated from the Fijian red macroalga, namely, Neurymenia fraxinifolia, and characterized as an antibacterial agent against antibiotic-resistant strains []. It was observed that neurymenolide A significantly delays the in vivo polymerization of tubulin to form microtubules and bipolar mitotic spindles at the prophase–metaphase transition. A feature of albidopyrone is the presence of an aromatic substituent at the C-6 position, and it demonstrates a moderate inhibitory activity against protein-tyrosin phosphatase B, which is the major negative regulator of insulin signaling []. Nocardiopyrone contains a completely alkyl-substituted pyrone ring and was isolated from the marine microorganism Nocardiopsis [].
Although natural 4-hydroxy-2-pyrones are usually polyacetates, some polypropionates were found in mollusks, fungi and bacteria []. Fusaripyrone A and exiguapyrone were isolated from the mollusks Haminoea and contain an unusually long chain and form via a regular condensation process starting with propionyl-CoA and continuing with elongation of C3 units up to the linear C30-polypropionates after cyclization []. These compounds can play the role of chemical markers for these marine organisms []. Nipyrones A and B were isolated from a marine sponge-derived fungus Aspergillus niger and exhibit moderate antibacterial efficacy against four pathogenic bacteria []. Salinipyrones A and B were isolated from the marine-derived bacterium Salinispora pacifica. These metabolites are by-products of the PKS system, which is associated with the rosamicin macrolide antibiotics [,]. A related molecule, namely, capsulactone, was isolated from an endophytic fungus Penicillium capsulatum obtained from the leaves of Panax notoginseng and demonstrated weak antibacterial activity (Figure 4) [].
Figure 4. The major representatives of 3-alkyl-substituted 4-hydroxy-2-pyrones as polypropionate polyketides.
The structurally similar micropyrone and ascosalipyrone [] contain the carbonyl group and were isolated from Helichrysum italicum ssp. microphyllum and the endophytic and obligate marine fungus Ascochyta salicorniae of the green alga Ulva sp., respectively. Bioassay-guided investigation of Okinawan plant-associated fungus Aspergillus sp. led to the isolation of aspopyrone A [], which exhibited significant protein tyrosine phosphatase 1B (PTP1B) and T-cell PTP inhibitory activities.
A separate group includes 3-acyl-4-hydroxy-2-pyrones (Figure 5). This class of compounds stands out due to its biological properties. The simplest of this series, namely, dehydroacetic acid, is used as a food preservative (E265) and in cosmetics due to its antibacterial and fungicidal properties []. A structurally similar 6-methyl-4-hydroxy-2-pyrone, namely, pogostone, which was isolated from patchouli oil, inhibits both Gram-negative and Gram-positive bacteria and demonstrates anti-cancer activities []. Furthermore, pogostone can be used as a repellent and insecticide []. Csypyrones B are 3-acetyl-α-pyrone compounds bearing the carboxylic acid side chain as the result of oxidation of the corresponding alkyl substituent and were isolated from the fungus Aspergillus oryzae [].
Figure 5. The major representatives of 3-acyl-4-hydroxy-2-pyrones.
Mixopyronins and corallopyronins are functionalized N-alkenylcarbamate 3-acyl-4-hydroxy-2-pyrones bearing chiral centers. These molecules are promising natural antibiotics produced by the terrestrial bacterium Myxococcus fulvus Mx f50 and possess antibacterial activity against Gram-positive and Gram-negative pathogens []. The pyrones are rare inhibitors of the bacterial RNA polymerase (RNAP) “switch region” as non-competitive inhibitors with rifampicin. RNAP is a highly conserved protein, which makes the possible application of these molecules in medical practice important. From the point of view of biological activity and the possibility of biotechnological production, special attention is focused on corallopyronin A as an antibiotic undergoing preclinical studies [].
A few 4-hydroxy-2-pyrone conjugates are known to have carbohydrates and terpenes, which are attracted to the C-3 position of the pyrone ring (Figure 6). Such structures exhibit a wide spectrum of biological activity and are an attractive target for total synthesis. Carbohydrate derivatives, namely, fusapyrone and deoxyfusapyrone, were isolated from Fusarium semitectum [,,,]. These compounds show considerable antifungal activity (Botrytis cinerea, Aspergillus parasiticus and Penicillium brevi-compactum) []. Epipyrone A (Orevactaene) is a polyene pigment isolated from Epicoccum nigrum with broad-spectrum antifungal activity [,]. Moreover, this molecule interferes with the RNA binding activity of the regulatory protein Rev in human immunodeficiency virus type I; demonstrates anti-microbial activity; and displays inhibitory activities against cytopathic effect of influenza A virus (H1N1) and NF-κB-dependent gene expression, cysteine and serine proteases [].
Figure 6. The major representatives of conjugates based on 4-hydroxy-2-pyrones.
A large class of pyrano-diterpene conjugates includes sesquicillins A–E [], which were isolated from the fungi Albophoma. Sesquicillins are insecticides and cytotoxic molecules showing moderate inhibitory activity against the growth of Artemia salina (brine shrimps) and Jurkat cells.
Another meroterpenoid, namely, subglutinol A, is a natural product isolated from Fusarium subglutinans, which is an endophytic fungus from the vine Tripterygium wilfordii []. This compound demonstrated multimodal immune-suppressive effects on activated T cells in vitro. These results suggest the potential of subglutinol as a novel therapeutic for inflammatory diseases. Katsumadain C bears a four-membered cycle and is isolated from Alpinia katsumadain. This molecule is a product of katsumadain dimerization and is used as an anti-emetic and stomachic agent []. Various pyrones bearing a terpene fragment, such as sartorypyrones [,], aszonapyrones [,] and metarhizin A [], are also isolated and of interest as biologically important compounds.

4. Biosynthesis and Biotechnological Methods for the Preparation of 4-Hydroxy-2-pyrones

Polyketides are a large class of biomolecules assembled by repeating Claisen-condensations between an activated acylstarter unit and malonyl-CoA-derived extender units [,,,]. In Nature, the synthesis of 4-hydroxy-2-pyrones is catalyzed by polyketidases (PKS), which give chain elongation using structural fragments, such as acetyl-CoA, propyl-CoA, malonyl-CoA and methylmalonyl-CoA, as well as other derivatives of carboxylic acids (Scheme 17) []. The majority of this family of 4-hydroxy-2-pyrones is found to be biosynthesized by type III polyketide synthases (PKSs), which provide a two-step process, including two condensation processes and intramolecular cyclization. III PKS systems were described in plants, fungi and bacteria. In contrast to I PKS and II PKS, III PKS acts independently of the acyl carrier protein (ACP), and acyl CoA is used directly as a substrate (Scheme 17). Although usually 4-hydroxy-2-pyrones as triketides are isolated as by-products in the biosynthesis of complex polyketides [], in some cases, special pyrone synthases, which are a kind of polyketide synthase III, are able to control the final length of a polyketide and responsible for the selective lactonization []. Another important biosynthetic pathway is characteristic of natural 3,6-disubstituted 4-hydroxy-2-pyrones, such as csypyrones, photopyrones, myxopyronins, corallopyrononins and dehydroacetic acid, and is based on the intermolecular cyclization of two acyl carrier protein (ACP)-tethered β-ketoacyl intermediates or β-ketoacyl-ACP with acyl-ACP [,]. This unique process is non-decarboxilative and catalyzed by a special type of ketidases, which are also related to III polyketidases.
Scheme 17. General approach for the synthesis of 4-hydroxy-2-pyrones catalyzed by polyketide synthetases.
For 6-substituted aromatic 4-hydroxy-2-pyrones, such as wailupemicines, II polyketidase is an enzyme for synthesis []. The involvement of various enzymes in the process makes it possible to carry out the modification of side substituents, methylation of the pyrone ring, reduction and glycosylation, which ensures the diversity of these pyrones [,,].
The wide distribution of 4-hydroxy-2-pyrones in Nature, the presence of well-functioning biosynthetic pathways based on polyketide synthases and the application of the pyrones as important reagents stimulate the development of biotechnological methods. Advances in synthetic biology and metabolic engineering allow for the improvement of production efficiency, both using microorganisms and in vitro methods []. In addition, in some cases, the synthesis of pharmaceutically attractive pyrones by chemical approaches is rather complicated due to the large number of steps []. Important features of biotechnological methods are enzymatic cascade formation of many C–C and C–O bonds; high stereoselectivity; and the use of available compounds as starting molecules, such as glucose or simple carboxylic acids. In the literature, most attention is paid to biotechnological methods for the microbial production of triacetic acid lactone as an effective process. This molecule is constructed via 2-pyrone synthase catalysis from one acetyl-CoA and two malonyl-CoA, which are obtained from glucose []. These approaches allow for the transition from carbohydrates to valuable products based on biological and chemical methods. At the same time, special attention in the literature is paid to the synthesis of natural 4-hydroxy-2-pyrones, such as hispidin [] and corallopyronin A [,], because it is practically important from the point of view of further application. PKSs allow for different fragments of carboxylic acids to be involved in the reactions. Also, biological methods were applied for the construction of unnatural 4-hydroxy-2-pyrones using different carboxylic acids as a starter [,,].
In contrast to PKSs, the recently reported thiolase-based polyketide biosynthesis can directly use acetyl-CoA as the extender unit to form various 6-substituted 4-hydroxy-2-pyrones via a nondecarboxylative Claisen condensation, enabling the product synthesis at maximum energy and carbon efficiency [].
Biotechnological methods have some drawbacks associated with the isolation of the required 4-hydroxy-2-pyrones because in most cases, the desired pyrones are not isolated in a pure form. Also, the use of bioengineering methods is difficult for chemists and these pyrones are hard to access in sufficient quantities for further study and application in organic synthesis. But given the rapid development of these areas, these problems can be solved, which is important from the point of view of sustainable chemistry.

5. Summary

Thus, the main strategies have been demonstrated for the construction of 4-hydroxy-2-pyrones via de novo synthesis or pyran modification. Although the isolation of new pyrones from natural sources is still an urgent task, a wide range of strategies is actively being developed for the application of 4-hydroxy-2-pyrones in the synthesis of biologically important and natural compounds. Since these pyrones are hidden tricarbonyl structures, the most popular are biomimetic methods that are based on the cyclization of tricarbonyl compounds and their derivatives. The most accessible approaches are based on the self-condensation of dicarbonyl compounds without the use of organometallic compounds but demonstrate a very limited scope. At the same time, a search is underway for new methods related to both the construction of the carbon skeleton and selective cyclization. Among them, a special place is occupied by approaches that are based on catalysis by transition metals. The use of acetylenes makes it possible to easily create new C-C bonds and carry out subsequent selective gold-catalyzed cyclization, which has found wide application in the total synthesis of natural pyrones. In contrast to other 2-pyrones, methods based on [4+2]-cyclization of ketenes for the construction of acyl-substituted 4-hydroxy-2-pyrones are actively applied. Despite the development of de novo synthesis methods, the modification of readily available and reactive 4-hydroxy-2-pyrones, such as triacetic acid lactone and dehydracetic acid, are widespread for the preparation of the pyrones. A special group of methods includes biotechnological approaches that allow for the one-step construction of complex pyrone structures from simple and accessible molecules. In general, although 4-hydroxy-2-pyrones are attractive objects for the creation of new bioactive compounds, the methods of preparation are rather limited, which does not allow for the synthetic potential to be fully revealed and requires lengthy synthetic procedures for the construction of the target molecule. We hope that this review will stimulate the development of the chemistry of 4-hydroxy-2-pyrones, both in terms of the search for efficient synthetic methods and convenient methods for their further transformations and modifications, as well as joint approaches based on biotechnology and organic synthesis. After all, this can lead to low-cost and effective methods for the creation of valuable chemical products based on biomass feedstock or readily accessible starting reagents.

Author Contributions

Conceptualization, V.Y.S. and D.L.O.; validation, V.Y.S. and S.A.U.; writing—original draft preparation, V.V.F. and D.L.O.; writing—review and editing, V.V.F., D.L.O., S.A.U. and V.Y.S.; supervision, V.Y.S. and D.L.O.; project administration, V.Y.S.; funding acquisition, D.L.O. All authors have read and agreed to the published version of the manuscript.

Funding

This work was financially supported by the Russian Science Foundation (grant 22-73-10236, https://rscf.ru/project/22-73-10236/(accessed on 10 December 2023)).

Data Availability Statement

Data sharing is not applicable.

Conflicts of Interest

The authors declare no conflict of interest.

References

  1. Dobler, D.; Leitner, M.; Moor, N.; Oliver, R. 2-Pyrone—A Privileged Heterocycle and Widespread Motif. Eur. J. Org. Chem. 2021, 2021, 6180–6205. [Google Scholar] [CrossRef]
  2. Lee, J.S. Recent Advances in the Synthesis of 2-Pyrones. Mar. Drugs 2015, 13, 1581–1620. [Google Scholar] [CrossRef] [PubMed]
  3. Singh, K.S. Pyrone-derived marine natural products: A review on isolation, bio-activities and synthesis. Curr. Org. Chem. 2020, 24, 354–401. [Google Scholar] [CrossRef]
  4. Ahmad, T.; Rasheed, T.; Hussain, M.; Rizwan, K. Emergence of 2-Pyrone and Its Derivatives, from Synthesis to Biological Perspective: An Overview and Current Status. Top. Curr. Chem. 2021, 379, 38–72. [Google Scholar] [CrossRef] [PubMed]
  5. Bhat, Z.S.; Rather, M.A.; Maqbool, M.; Lah, H.U.; Yousuf, S.K.; Ahmad, Z. α-pyrones: Small molecules with versatile structural diversity reflected in multiple pharmacological activities-an update. Biomed. Pharmacother. 2017, 91, 265–277. [Google Scholar] [CrossRef] [PubMed]
  6. Schäberle, T.F. Biosynthesis of α-pyrones. Beilstein J. Org. Chem. 2016, 12, 571–588. [Google Scholar] [CrossRef] [PubMed]
  7. Dickinson, J.M. Microbial Pyran-2-ones and Dihydropyran-2-ones. Nat. Prod. Rep. 1993, 10, 71–98. [Google Scholar] [CrossRef]
  8. McGlacken, G.P.; Fairlamb, I.J.S. 2-Pyrone natural products and mimetics: Isolation, characterisation and biological activity. Nat. Prod. Rep. 2005, 22, 369–385. [Google Scholar] [CrossRef]
  9. Bhat, Z.S.; Rather, M.A.; Syed, K.Y.; Ahmad, Z. α-Pyrones and their hydroxylated analogs as promising scaffolds against Mycobacterium tuberculosis. Future Med. Chem. 2017, 9, 2053–2067. [Google Scholar] [CrossRef]
  10. Xiong, Z.; Wang, R.; Xia, T.; Zhang, S.; Ma, S.; Guo, Z. Natural Products and Biological Activity from Actinomycetes Associated with Marine Algae. Molecules 2023, 28, 5138. [Google Scholar] [CrossRef]
  11. Obydennov, D.L.; El-Tantawy, A.I.; Sosnovskikh, V.Y. Triacetic acid lactone as a bioprivileged molecule in organic synthesis. Mendeleev Commun. 2020, 29, 1–10. [Google Scholar] [CrossRef]
  12. Jilalat, A.E.; Al-Garadi, W.H.A.H.; Karrouchi, K.; Essassi, E.M. Dehydroacetic acid (Part 1): Chemical and pharmacological properties. J. Mar. Chim. Heterocycl. 2017, 16, 1–47. [Google Scholar]
  13. Fadda, A.A.; Elattar, K.M. Reactivity of Dehydroacetic Acid in Organic Synthesis. Synth. Commun. 2016, 46, 1–30. [Google Scholar] [CrossRef]
  14. Chen, B.; Xie, Z.; Peng, F.; Li, S.; Yang, J.; Wu, T.; Fan, H.; Zhang, Z.; Hou, M.; Li, S.; et al. Production of Piperidine and δ-Lactam Chemicals from Biomass-Derived Triacetic Acid Lactone. Angew. Chem. Int. Ed. 2021, 60, 14405–14409. [Google Scholar] [CrossRef]
  15. Demarteau, J.; Cousineau, B.; Wang, Z.; Bose, B.; Cheong, S.; Lan, G.; Baral, N.R.; Teat, S.J.; Scown, C.D.; Keasling, J.D.; et al. Biorenewable and circular polydiketoenamine plastics. Nat. Sustain. 2023, 6, 1426–1435. [Google Scholar] [CrossRef]
  16. Sajjad, H.; Prebihalo, E.A.; Tolman, W.B.; Reineke, T.M. Ring opening polymerization of β-acetoxy-δ-methylvalerolactone, a triacetic acid lactone derivative. Polym. Chem. 2021, 12, 6724–6730. [Google Scholar] [CrossRef]
  17. Ortin, G.G.D.; Salles, A.G. Persulfate-promoted synthesis of biphenyl compounds in water from biomass-derived triacetic acid lactone. Org. Biomol. Chem. 2022, 20, 9292–9297. [Google Scholar] [CrossRef]
  18. Obydennov, D.L.; El-Tantawy, A.I.; Sosnovskikh, V.Y. Bio-based triacetic acid lactone in the synthesis of azaheterocycles via a ring-opening transformation. New J. Chem. 2018, 42, 8943–8952. [Google Scholar] [CrossRef]
  19. Kornev, M.Y.; Tishin, D.S.; Obydennov, D.L.; Sosnovskikh, V.Y. Reactions of 3-functionalized chromones with triacetic acid lactone. Mendeleev Comm. 2020, 30, 233–235. [Google Scholar] [CrossRef]
  20. Obydennov, D.L.; El-Tantawy, A.I.; Sosnovskikh, V.Y. Synthesis of Multifunctionalized 2,3-Dihydro-4-pyridones and 4-Pyridones via the Reaction of Carbamoylated Enaminones with Aldehydes. J. Org. Chem. 2018, 83, 13776–13786. [Google Scholar] [CrossRef]
  21. Huo, J.; Bradley, W.; Podolak, K.; Ryan, B.; Roling, L.T.; Kraus, G.A.; Shanks, B.H. Triacetic Acid Lactone and 4-Hydroxycoumarin as Bioprivileged Molecules for the Development of Performance-Advantaged Organic Corrosion Inhibitors. ACS Sustain. Chem. Eng. 2022, 10, 11544–11554. [Google Scholar] [CrossRef]
  22. Liu, Y.; Jin, Y.; Xu, P.; Deng, L.; Liu, H.; Wang, F. Recent advances and perspectives on the biomass-derived production of the platform chemical triacetic acid lactone by engineered cell factories. Biochem. Eng. J. 2023, 197, 108961. [Google Scholar] [CrossRef]
  23. Chia, M.; Schwartz, T.J.; Shanks, B.H.; Dumesic, J.A. Triacetic acid lactone as a potential biorenewable platform chemical. Green Chem. 2012, 14, 1850–1853. [Google Scholar] [CrossRef]
  24. Onda, K.; Hayakawa, I.; Sakakura, A. Reinvestigation of the Biomimetic Cyclization of 3,5-Diketo Esters: Application to the Total Synthesis of Cyercene A, an α-Methoxy-γ-Pyrone-Containing Polypropionate. Synlett 2017, 28, 1596–1600. [Google Scholar]
  25. Garey, D.; Ramirez, M.-L.; Gonzales, S.; Wertsching, A.; Tith, S.; Keefe, K.; Peña, M.R. An Approach to Substituted 4-Hydroxypyran-2-ones: The Total Synthesis of Phenoxan. J. Org. Chem. 1996, 61, 4853–4856. [Google Scholar] [CrossRef] [PubMed]
  26. Shimamura, H.; Sunazuka, T.; Izuhara, T.; Hirose, T.; Shiomi, K.; Ōmura, S. Total Synthesis and Biological Evaluation of Verticipyrone and Analogues. Org. Lett. 2007, 9, 65–67. [Google Scholar] [CrossRef] [PubMed]
  27. Ishibashi, Y.; Ohba, S.; Nishiyama, S.; Yamamura, S. Total synthesis of phenoxan and a related pyrone derivative. Tetrahedron Lett. 1996, 37, 2997–3000. [Google Scholar] [CrossRef]
  28. Sharma, P.; Powell, K.J.; Burnley, J.; Awaad, A.S.; Moses, J.E. Total Synthesis of Polypropionate-Derived γ-Pyrone Natural Products. Synthesis 2011, 18, 2865–2892. [Google Scholar]
  29. Burkhardt, I.; Dickschat, J.S. Synthesis and Absolute Configuration of Natural 2-Pyrones. Eur. J. Org. Chem. 2018, 2018, 3144–3157. [Google Scholar] [CrossRef]
  30. Rodriguez, R.; Adlington, R.M.; Eade, S.J.; Walter, M.W.; Baldwin, J.E.; Moses, J.E. Total synthesis of cyercene A and the biomimetic synthesis of (±)-9,10-deoxytridachione and (±)-ocellapyrone A. Tetrahedron 2007, 63, 4500–4509. [Google Scholar] [CrossRef]
  31. Liang, G.; Miller, A.K.; Trauner, D. Stereoselective Synthesis of Cyercene A and the Placidenes. Org. Lett. 2005, 7, 819–821. [Google Scholar] [CrossRef]
  32. Ramesh, P.; Meshram, H.M. First total synthesis of salinipyrone A using highly stereoselective vinylogous Mukaiyama aldol reaction. Tetrahedron 2012, 68, 9289–9292. [Google Scholar] [CrossRef]
  33. Shishido, K.; Yoshida, M.; Takai, H.; Mitsuhashi, C. Concise and Efficient Synthesis of 4-Hydroxy-2-pyrones from Pentane-2,4-diones. Heterocycles 2010, 82, 881–886. [Google Scholar] [CrossRef] [PubMed]
  34. Köster, G.; Hoffmann, R.W. Functionalization of 3,5,6-trialkyl-4-hydroxy-2-pyrones in the 6-α position. Liebigs Ann. Chem. 1987, 1987, 987–990. [Google Scholar] [CrossRef]
  35. Minassi, A.; Cicione, L.; Koeberle, A.; Bauer, J.; Laufer, S.; Werz, O.; Appendino, G. A Multicomponent Carba-Betti Strategy to Alkylidene Heterodimers—Total Synthesis and Structure–Activity Relationships of Arzanol. Eur. J. Org. Chem. 2012, 2012, 772–779. [Google Scholar] [CrossRef]
  36. Zhang, F.; Danishefsky, S.J. An Efficient Stereoselective Total Synthesis of dl-Sesquicillin, a Glucocorticoid Antagonist. Ang. Chem. Int. Ed. 2002, 41, 1434–1437. [Google Scholar] [CrossRef]
  37. Katoh, T. Total Synthesis of Diterpenoid Pyrones, Nalanthalide, Sesquicillin, Candelalides A–C, and Subglutinols A, B. Stud. Nat. Prod. Chem. 2014, 43, 1–39. [Google Scholar]
  38. Arndt, F. Dehydroacetic acid. Org. Synth. 1940, 20, 26. [Google Scholar]
  39. Sarhan, A.A.M.; Haukka, M.; Barakat, A.; Boraei, A.T.A. A novel synthetic approach to pyran-2,4-dione scaffold production: Microwave-assisted dimerization, cyclization, and expeditious regioselective conversion into β-enamino-pyran-2,4-diones. Tetrahedron Lett. 2020, 61, 152660. [Google Scholar] [CrossRef]
  40. Bouthillette, L.M.; Darcey, C.A.; Handy, T.E.; Seaton, S.C.; Wolfe, A.L. Isolation of the antibiotic pseudopyronine B and SAR evaluation of C3/C6 alkyl analogs. Bioorganic Med. Chem. Lett. 2017, 27, 2762–2765. [Google Scholar] [CrossRef]
  41. Dhage, G.R.; Thopate, S.R.; Ramteke, S.N.; Kulkarni, P.P. One-pot synthesis and evaluation of novel 3-aryl-6-ethoxycarbonyl-4-hydroxy-2H-pyran-2-one as a potent cytotoxic agent. RSC Adv. 2014, 4, 56870–56875. [Google Scholar] [CrossRef]
  42. Schmidt, D.; Conrad, J.; Klaiber, I.; Beifuss, U. Synthesis of the bis-potassium salts of 5-hydroxy-3-oxopent-4-enoic acids and their use for the efficient preparation of 4-hydroxy-2H-pyran-2-ones and other heterocycles. Chem. Commun. 2006, 45, 4732–4734. [Google Scholar] [CrossRef]
  43. Lokot, I.P.; Pashkovsky, F.S.; Lakhvich, F.A. A new approach to the synthesis of 3,6- and 5,6-dialkyl derivatives of 4-hydroxy-2-pyrone. Synthesis of rac-germicidin. Tetrahedron 1999, 55, 4783–4792. [Google Scholar] [CrossRef]
  44. Marsico, G.; Ciccone, M.S.; Masi, M.; Freda, F.; Cristofaro, M.; Evidente, A.; Superchi, S.; Scafato, P. Synthesis and Herbicidal Activity Against Buffelgrass (Cenchrus ciliaris) of (±)-3-deoxyradicinin. Molecules 2020, 24, 3193. [Google Scholar] [CrossRef] [PubMed]
  45. Katritzky, A.R.; Wang, Z.; Wang, M.; Hall, C.D.; Suzuki, K. Facile Syntheses of 2,2-Dimethyl-6-(2-oxoalkyl)-1,3-dioxin-4-ones and the Corresponding 6-Substituted 4-Hydroxy-2-pyrones. J. Org. Chem. 2005, 70, 4854–4856. [Google Scholar] [CrossRef] [PubMed]
  46. Basset, J.-F.; Leslie, C.; Hamprecht, D.; White, A.J.P.; Barrett, A.G.M. Studies on the resorcylates: Biomimetic total syntheses of (+)-montagnetol and (+)-erythrin. Tetrahedron Lett. 2010, 51, 783–785. [Google Scholar] [CrossRef]
  47. Reber, K.P.; Burdge, H.E. Total Synthesis of Pyrophen and Campyrones A–C. J. Nat. Prod. 2018, 81, 292–297. [Google Scholar] [CrossRef] [PubMed]
  48. Chaładaj, W.; Corbet, M.; Fürstner, A. Total Synthesis of Neurymenolide  A Based on a Gold-Catalyzed Synthesis of 4-Hydroxy-2-pyrones. Ang. Chem. Int. Ed. 2012, 51, 6929–6933. [Google Scholar] [CrossRef]
  49. Fürstner, A. Gold Catalysis for Heterocyclic Chemistry: A Representative Case Study on Pyrone Natural Products. Ang. Chem. Int. Ed. 2018, 57, 4215–4233. [Google Scholar] [CrossRef] [PubMed]
  50. Liu, R.; Li, X.; Li, X.; Wang, J.; Yang, Y. Gold(I)-Catalyzed Intermolecular Rearrangement Reaction of Glycosyl Alkynoic β-Ketoesters for the Synthesis of 4-O-Glycosylated 2-Pyrones. J. Org. Chem. 2019, 84, 14141–14150. [Google Scholar] [CrossRef]
  51. Lee, J.S.; Shin, J.; Shin, H.J.; Lee, H.-S.; Lee, Y.-J.; Lee, H.-S.; Won, H. Total Synthesis and Configurational Validation of (+)-Violapyrone C. Eur. J. Org. Chem. 2014, 2014, 4472–4476. [Google Scholar] [CrossRef]
  52. Luo, T.; Dai, M.; Zheng, S.-L.; Schreiber, S.L. Syntheses of α-Pyrones Using Gold-Catalyzed Coupling Reactions. Org. Lett. 2011, 13, 2834–2836. [Google Scholar] [CrossRef]
  53. Gayyur; Choudhary, S.; Saxena, A.; Ghosh, N. Gold-catalyzed homo- and cross-annulation of alkynyl carboxylic acids: A facile access to substituted 4-hydroxy 2H-pyrones and total synthesis of pseudopyronine A. Org. Biomol. Chem. 2020, 18, 8716–8723. [Google Scholar] [CrossRef] [PubMed]
  54. Shimizu, T.; Hiranuma, S.; Watanabe, T. Reduction of α-Pyrone Derivatives with Borane-Methyl Sulfide Complex. Heterocycles 1993, 36, 2445–2450. [Google Scholar] [CrossRef]
  55. Sheibani, H.; Islami, M.R.; Khabazzadeh, H.; Saidi, K. A convenient one-pot synthesis of substituted 2-pyrone derivatives. Tetrahedron 2004, 60, 5931–5934. [Google Scholar] [CrossRef]
  56. Nejadshafiee, V.; Abaszadeh, M.; Saidi, K.; Pourkhosravani, M. A one-pot reaction of (chlorocarbonyl) phenyl ketene with β-ketoamides and thiochromen-2-one. J. Iran. Chem. Soc. 2013, 10, 237–241. [Google Scholar] [CrossRef]
  57. German, L.S.; Sterlin, S.R.; Cherstkov, V.F. Hexafluorodehydroacetic acid. Bull. Acad. Sci. USSR Div. Chem. Sci. 1982, 31, 1476–1477. [Google Scholar] [CrossRef]
  58. Fedin, V.V.; Usachev, S.A.; Obydennov, D.L.; Sosnovskikh, V.Y. Reactions of Trifluorotriacetic Acid Lactone and Hexafluorodehydroacetic Acid with Amines: Synthesis of Trifluoromethylated 4-Pyridones and Aminoenones. Molecules 2022, 27, 7098. [Google Scholar] [CrossRef]
  59. Perrone, S.; Caroli, A.; Cannazza, G.; Granito, C.; Salomone, A.; Troisi, L. A direct synthesis of 3-acyl-4-hydroxy-2-pyranone derivatives via palladium-catalyzed carbonylation of α-chloroketones. A cascade reaction involving acylketenes. Tetrahedron Lett. 2015, 56, 2773–2776. [Google Scholar] [CrossRef]
  60. Castillo, J.-C.; Castro-Agudelo, B.; Gálvez, J.; Carissan, Y.; Rodríguez, J.; Coquerel, Y. Periselectivity in the aza-Diels–Alder Cycloaddition between α-Oxoketenes and N-(5-Pyrazolyl)imines: A Combined Experimental and Theoretical Study. J. Org. Chem. 2020, 85, 7368–7377. [Google Scholar] [CrossRef]
  61. Hosokawa, S.; Yokota, K.; Imamura, K.; Suzuki, Y.; Kawarasaki, M.; Tatsuta, K. The first total synthesis and structural determination of actinopyrone A. Tetrahedron Lett. 2006, 47, 5415–5418. [Google Scholar] [CrossRef]
  62. Usachev, B.I.; Obydennov, D.L.; Röschenthaler, G.-V.; Sosnovskikh, V.Y. 2-Cyano-6-(trifluoromethyl)-4H-pyran-4-one: A novel versatile CF3-containing building block. J. Fluor. Chem. 2012, 137, 22–26. [Google Scholar] [CrossRef]
  63. Obydennov, D.L.; Suslova, A.I.; Sosnovskikh, V.Y. Synthesis and some chemical properties of 2-cyano-4-pyrone. Chem. Heterocycl. Compd. 2020, 56, 173–179. [Google Scholar] [CrossRef]
  64. Lu, H.; Handore, K.L.; Wood, T.E.; Shimokura, G.K.; Schimmer, A.D.; Batey, R.A. Total Synthesis of the 2,5-Disubstituted γ-Pyrone E1 UAE Inhibitor Himeic Acid A. Org. Lett. 2023, 25, 7502–7506. [Google Scholar] [CrossRef] [PubMed]
  65. Obydennov, D.L.; Röschenthaler, G.-V.; Sosnovskikh, V.Y. An improved synthesis and some reactions of diethyl 4-oxo-4H-pyran-2,5-dicarboxylate. Tetrahedron Lett. 2013, 54, 6545–6548. [Google Scholar] [CrossRef]
  66. Majumdar, K.C.; Samanta, S.K. Synthesis of Pyrimidine-Annelated Heterocycles: Regioselective Heterocyclization of 5-(Cyclohex-2-enyl)-1,3-dimethyl-6-hydroxyuracil. Monatsh. Chem. 2022, 133, 1187–1192. [Google Scholar] [CrossRef]
  67. Lei, K.; Li, P.; Yang, X.-F.; Wang, S.-B.; Wang, X.-K.; Hua, X.-W.; Sun, B.; Ji, L.-S.; Xu, X.-H. Design and Synthesis of Novel 4-Hydroxyl-3-(2-phenoxyacetyl)-pyran-2-one Derivatives for Use as Herbicides and Evaluation of Their Mode of Action. J. Agric. Food Chem. 2019, 67, 10489–10497. [Google Scholar] [CrossRef]
  68. Sharma, A. Dehydroacetic Acid and its Derivatives. In Useful Synthons in Organic Synthesis, 1st ed.; Penta, S., Ed.; Elsevier: Amsterdam, The Netherlands, 2017; pp. 81–118. [Google Scholar]
  69. Guan, Q.; Lin, C.; Chen, S.; Gao, F.; Shen, L. Palladium-Catalyzed Selective Carbofunctionalization of Inert γ-C(sp3)–O Bonds with 4-Hydroxypyridin-2(1H)-ones and 4-Hydroxy-2H-pyran-2-ones. Adv. Synth. Catal. 2020, 362, 5772–5776. [Google Scholar] [CrossRef]
  70. Storm, P.A.; Pal, P.; Huitt-Roehl, C.R.; Townsend, C.A. Exploring fungal polyketide C-methylation through combinatorial domain swaps. ACS Chem. Biol. 2018, 13, 3043–3048. [Google Scholar] [CrossRef]
  71. Ohyoshi, T.; Mitsugi, K.; Ichimura, F.; Higuma, T.; Yoshida, M.; Kigoshi, H. Total Synthesis and Structure-Activity Relationship Studies of Phelligridins C and D, and Phellifur opyranone A. Bull. Chem. Soc. Jpn. 2020, 93, 1540–1551. [Google Scholar] [CrossRef]
  72. Kikuchi, H.; Hoshi, T.; Kitayama, M.; Sekiya, M.; Katou, Y.; Ueda, K.; Kubohara, Y.; Sato, H.; Shimazu, M.; Kurata, S.; et al. New diterpene pyrone-type compounds, metarhizins A and B, isolated from entomopathogenic fungus, Metarhizium flavoviride and their inhibitory effects on cellular proliferation. Tetrahedron 2009, 65, 469–477. [Google Scholar] [CrossRef]
  73. Fang, Z.; Liao, P.-C.; Yang, Y.-L.; Yang, F.-L.; Chen, Y.-L.; Lam, Y.; Hua, K.-F.; Wu, S.-H. Synthesis and Biological Evaluation of Polyenylpyrrole Derivatives as Anticancer Agents Acting through Caspases-Dependent Apoptosis. J. Med. Chem. 2010, 53, 7967–7978. [Google Scholar] [CrossRef] [PubMed]
  74. Zhang, P.; Wang, Y.; Bao, R.; Luo, T.; Yang, Z.; Tang, Y. Enantioselective Biomimetic Total Syntheses of Katsumadain and Katsumadain C. Org. Lett. 2012, 14, 162–165. [Google Scholar] [CrossRef] [PubMed]
  75. Lim, Y.P.; Go, M.K.; Yew, W.S. Exploiting the Biosynthetic Potential of Type III Polyketide Synthases. Molecules 2016, 21, 806. [Google Scholar] [CrossRef] [PubMed]
  76. Tan, Z.; Clomburg, J.M.; Cheong, S.; Qian, S.; Gonzalez, R. A polyketoacyl-CoA thiolase-dependent pathway for the synthesis of polyketide backbones. Nat. Catal. 2020, 3, 593–603. [Google Scholar] [CrossRef]
  77. Bentley, R.; Zwitkowits, P.M. Biosynthesis of Tropolones in Penicillium stipitatum. VII.1,2 The Formation of Polyketide Lactones and Other Nontropolone Compounds as a Result of Ethionine Inhibition. J. Am. Chem. Soc. 1967, 89, 676–680. [Google Scholar]
  78. Igarashi, Y. Development of a drug discovery approach from microbes with a special focus on isolation sources and taxonomy. J. Antibiot. 2023, 76, 365–383. [Google Scholar] [CrossRef]
  79. Palkina, K.A.; Ipatova, D.A.; Shakhova, E.S.; Balakireva, A.V.; Markina, N.M. Therapeutic potential of hispidin—Fungal and plant polyketide. J. Fungi 2021, 7, 323. [Google Scholar] [CrossRef]
  80. Lee, I.-K.; Yun, B.-S. Styrylpyrone-class compounds from medicinal fungi Phellinus and Inonotus spp., and their medicinal importance. J. Antibiot. 2011, 64, 349–359. [Google Scholar] [CrossRef]
  81. Robinson, S.C.; Tudor, D.; Zhang, W.R.; Ng, S.; Cooper, P.A. Ability of three yellow pigment producing fungi to colour wood under controlled conditions. Int. Wood Prod. J. 2014, 5, 103–107. [Google Scholar] [CrossRef]
  82. Purtov, K.V.; Petushkov, V.N.; Baranov, M.S.; Mineev, K.S.; Rodionova, N.S.; Kaskova, Z.M.; Tsarkova, A.S.; Petunin, A.I.; Bondar, V.S.; Rodicheva, E.K.; et al. The chemical basis of fungal bioluminescence. Angew. Chem. Int. Ed. 2015, 54, 8124–8128. [Google Scholar] [CrossRef]
  83. Han, J.-J.; Bao, L.; He, L.-W.; Zhang, X.-Q.; Yang, X.-L.; Li, S.-J.; Yao, Y.-J.; Liu, H.-w. Phaeolschidins A–E, Five Hispidin Derivatives with Antioxidant Activity from the Fruiting Body of Phaeolus schweinitzii Collected in the Tibetan Plateau. J. Nat. Prod. 2013, 76, 1448–1453. [Google Scholar] [CrossRef]
  84. Chen, Z.; Hao, J.; Wang, L.; Wang, Y.; Kong, F.; Zhu, W. New α-glucosidase inhibitors from marine algae-derived Streptomyces sp. OUCMDZ-3434. Sci. Rep. 2016, 6, 20004–20012. [Google Scholar] [CrossRef]
  85. Graziani, E.I.; Ritacco, F.V.; Bernan, V.S.; Telliez, J.-B. Phaeochromycins, A-E, Anti-inflammatory Polyketides Isolated from the Soil Actinomycete Streptomyces phaeochromogenes LL-P018. J. Nat. Prod. 2005, 68, 1262–1265. [Google Scholar] [CrossRef]
  86. Ma, M.; Rateb, M.E.; Yang, D.; Rudolf, J.D.; Zhu, X.; Huang, Y.; Zhao, L.-X.; Jiang, Y.; Duan, Y.; Shen, B. Germicidins H–J from Streptomyces sp. CB00361. J. Antibiot. 2017, 70, 200–203. [Google Scholar] [CrossRef]
  87. Petersen, F.; Zähner, H.; Metzger, J.W.; Freund, S.; Hummel, R.P. Germicidin, an autoregulative germination inhibitor of Streptomyces viridochromogenes NRRL B-1551. J. Antibiot. 1993, 46, 1126–1138. [Google Scholar] [CrossRef]
  88. Zhang, J.; Jiang, Y.; Cao, Y.; Liu, J.; Zheng, D.; Chen, X.; Han, L.; Jiang, C.; Huang, X. Violapyrones A–G, α-Pyrone Derivatives from Streptomyces violascens Isolated from Hylobates hoolock Feces. J. Nat. Prod. 2013, 76, 2126–2130. [Google Scholar] [CrossRef] [PubMed]
  89. Brachmann, A.O.; Brameyer, S.; Kresovic, D.; Hitkova, I.; Kopp, Y.; Manske, C.; Schubert, K.; Bode, H.B.; Heermann, R. Pyrones as bacterial signaling molecules. Nat. Chem. Biol. 2013, 9, 573–578. [Google Scholar] [CrossRef] [PubMed]
  90. Bauer, J.S.; Ghequire, M.G.K.; Nett, M.; Josten, M.; Sahl, H.-G.; De Mot, R.; Gross, H. Biosynthetic Origin of the Antibiotic Pseudopyronines A and B in Pseudomonas putida BW11M1. ChemBioChem 2015, 16, 2491–2497. [Google Scholar] [CrossRef] [PubMed]
  91. Long, L.; Xiao, Y.; Sulaiman, J.E.; Luo, F.; Tang, J.-W.; Huang, Y.; Wu, C.; Wu, L.; Wong, W.; Chen, F.; et al. Mechanistic Insight into the Inhibitory Activity of Elasnin-Based Coating against Early Marine Biofilms. Environ. Sci. Technol. 2023, 57, 9515–9525. [Google Scholar] [CrossRef]
  92. Motuhi, S.-E.; Feizbakhsh, O.; Foll-Josselin, B.; Baratte, B.; Delehouzé, C.; Cousseau, A.; Fant, X.; Bulinski, J.C.; Payri, C.E.; Ruchaud, S.; et al. Neurymenolide A, a Novel Mitotic Spindle Poison from the New Caledonian Rhodophyta Phacelocarpus neurymenioides. Mar. Drugs 2019, 17, 93. [Google Scholar] [CrossRef]
  93. Hohmann, C.; Schneider, K.; Bruntner, C.; Brown, R.; Jones, A.; Goodfellow, M.; Krämer, M.; Imhoff, J.; Nicholson, G.; Fiedler, H.-P.; et al. Albidopyrone. A new α-pyrone-containing metabolite from marine-derived Streptomyces sp. NTK 227. J. Antibiot. 2009, 62, 75–79. [Google Scholar] [CrossRef]
  94. Raju, R.; Piggott, A.M.; Quezada, M.; Capon, R.J. Nocardiopsins C and D and nocardiopyrone A: New polyketides from an Australian marine-derived Nocardiopsis sp. Tetrahedron 2013, 69, 692–698. [Google Scholar] [CrossRef]
  95. Liu, Z.; Liu, H.; Zhang, W. Natural Polypropionates in 1999–2020: An Overview of Chemical and Biological Diversity. Mar. Drugs 2020, 18, 569. [Google Scholar] [CrossRef]
  96. Nuzzo, G.; Cutignano, A.; Moles, J.; Avila, C.; Fontana, A. Exiguapyrone and exiguaone, new polypropionates from the Mediterranean cephalaspidean mollusc Haminoea exigua. Tetrahedron Lett. 2016, 57, 71–74. [Google Scholar] [CrossRef]
  97. Ding, L.; Ren, L.; Li, S.; Song, J.; Han, Z.; He, S.; Xu, S. Production of New Antibacterial 4-Hydroxy-α-Pyrones by a Marine Fungus Aspergillus niger Cultivated in Solid Medium. Mar. Drugs 2019, 17, 344. [Google Scholar] [CrossRef]
  98. Awakawa, T.; Crüsemann, M.; Munguia, J.; Ziemert, N.; Nizet, V.; Fenical, W.; Moore, B.S. Salinipyrone and Pacificanone Are Biosynthetic Byproducts of the Rosamicin Polyketide Synthase. ChemBioChem 2015, 16, 1443–1447. [Google Scholar] [CrossRef]
  99. Xian, P.-J.; Chen, H.-Y.; Feng, Z.; Zhao, W.; Yang, X.-L. Capsulactone: A new 4-hydroxy-α-pyrone derivative from an endophytic fungus Penicillium capsulatum and its antimicrobial activity. J. Asian. Nat. Prod. Res. 2021, 23, 1100–1106. [Google Scholar] [CrossRef] [PubMed]
  100. Gregg, C.; Perkins, M.V. Total synthesis and structural elucidation of ent-micropyrone and (+)-ascosalipyrone. Org. Biomol. Chem. 2012, 10, 6453–6547. [Google Scholar] [CrossRef] [PubMed]
  101. Yamazaki, H.; Takahashi, K.; Iwakura, N.; Abe, T.; Akaishi, M.; Chiba, S.; Namikoshi, M.; Uchida, R. A new protein tyrosine phosphatase 1B inhibitory α-pyrone-type polyketide from Okinawan plant-associated Aspergillus sp. TMPU1623. J. Antibiot. 2018, 71, 745–748. [Google Scholar] [CrossRef] [PubMed]
  102. Yi, Y.-Y.; He, J.-J.; Su, J.-Q.; Kong, S.-Z.; Su, J.-Y.; Li, Y.-C.; Huang, S.-H.; Li, C.-W.; Lai, X.-P.; Su, Z.-R. Progostone Synthesis and antimicrobial evaluation of pogostone and its analogues. Fitoterapia 2013, 84, 135–139. [Google Scholar] [CrossRef] [PubMed]
  103. Huang, S.-H.; Xian, J.-D.; Kong, S.-Z.; Li, Y.-C.; Xie, J.-H.; Lin, J.; Chen, J.-N.; Wang, H.-F.; Su, Z.-R. Insecticidal activity of pogostone against Spodoptera litura and Spodoptera exigua (Lepidoptera: Noctuidae). Pest. Manag. Sci. 2014, 70, 510–516. [Google Scholar] [CrossRef] [PubMed]
  104. Seshime, Y.; Juvvadi, P.R.; Kitamoto, K.; Ebizuka, Y.; Fujii, I. Identification of csypyrone B1 as the novel product of Aspergillus oryzae type III polyketide synthase CsyB. Bioorg. Med. Chem. 2010, 18, 4542–4546. [Google Scholar] [CrossRef] [PubMed]
  105. Sucipto, H.; Sahner, J.H.; Prusov, E.; Wenzel, S.C.; Hartmann, R.W.; Koehnke, J.; Müller, R. In vitro reconstitution of a-pyrone ring formation in myxopyronin biosynthesis. Chem. Sci. 2015, 6, 5076–5085. [Google Scholar] [CrossRef] [PubMed]
  106. Krome, A.K.; Becker, T.; Kehraus, S.; Schiefer, A.; Gütschow, M.; Chaverra-Muñoz, L.; Hüttel, S.; Jansen, R.; Stadler, M.; Ehrens, A.; et al. Corallopyronin A: Antimicrobial discovery to preclinical development. Nat. Prod. Rep. 2022, 39, 1705–1720. [Google Scholar] [CrossRef] [PubMed]
  107. Evidente, A.; Conti, L.; Altomare, C.; Bottalico, A.; Sindona, G.; Segre, A.L.; Logrieco, A. Fusapyrone and deoxyfusapyrone, two antifungal α-Pyrones From Fusarium semitectum. Nat. Toxins 1994, 2, 4–13. [Google Scholar] [CrossRef] [PubMed]
  108. Kil, Y.-S.; You, J.; Wendt, K.; King, J.; Cichewicz, R.H. Resolving a Natural Product Cold Case: Elucidation of Fusapyrone Structure and Absolute Configuration and Demonstration of Their Fungal Biofilm Disrupting Properties. J. Org. Chem. 2023, 88, 9167–9186. [Google Scholar] [CrossRef]
  109. Altomare, C.; Pengue, R.; Favilla, M.; Evidente, A.; Visconti, A. Structure–Activity Relationships of Derivatives of Fusapyrone, an Antifungal Metabolite of Fusarium semitectum. J. Agric. Food Chem. 2004, 52, 2997–3001. [Google Scholar] [CrossRef]
  110. Lim, Y.J.; Choi, E.; Park, S.-H.; Kwon, H.-J. Genetic localization of the orevactaene/epipyrone biosynthetic gene cluster in Epicoccum nigrum. Bioorg. Med. Chem. Lett. 2020, 30, 127242. [Google Scholar] [CrossRef]
  111. Lee, A.J.; Cadelis, M.M.; Kim, S.H.; Swift, S.; Copp, B.R.; Villas-Boas, S.G. Epipyrone A, a Broad-Spectrum Antifungal Compound Produced by Epicoccum nigrum ICMP 19927. Molecules 2020, 25, 5997. [Google Scholar] [CrossRef]
  112. Uchida, R.; Imasato, R.; Yamaguchi, Y.; Masuma, R.; Shiomi, K.; Tomoda, H.; Omura, S. New Sesquicillins, Insecticidal Antibiotics Produced by Albophoma sp. FKI-1778. J. Antibiot. 2005, 58, 397–404. [Google Scholar]
  113. Lin, R.; Kim, H.; Hong, J.; Li, Q.-J. Biological Evaluation of Subglutinol A As a Novel Immunosuppressive Agent for Inflammation Intervention. ACS Med. Chem. Lett. 2014, 5, 485–490. [Google Scholar] [CrossRef]
  114. Kaifuchi, S.; Mori, M.; Nonaka, K.; Masuma, R.; Ōmura, S.; Shiomi, K. Sartorypyrone D: A new NADH-fumarate reductase inhibitor produced by Neosartorya fischeri FO-5897. J. Antibiot. 2015, 68, 403–405. [Google Scholar] [CrossRef] [PubMed]
  115. Lin, S.-Y.; Oakley, C.E.; Jenkinson, C.B.; Chiang, Y.-M.; Lee, C.-K.; Jones, C.G.; Seidler, P.M.; Nelson, H.M.; Todd, R.B.; Wang, C.C.C.; et al. A heterologous expression platform in Aspergillus nidulans for the elucidation of cryptic secondary metabolism biosynthetic gene clusters: Discovery of the Aspergillus fumigatus sartorypyrone biosynthetic pathway. Chem. Sci. 2023, 14, 11022–11032. [Google Scholar] [CrossRef] [PubMed]
  116. Kanokmedhakul, K.; Kanokmedhakul, S.; Suwannatrai, R.; Soytong, K.; Prabpai, S.; Kongsaeree, P. Bioactive meroterpenoids and alkaloids from the fungus Eurotium chevalieri. Tetrahedron 2011, 67, 5461–5468. [Google Scholar] [CrossRef]
  117. Tsukada, K.; Shinki, S.; Kaneko, A.; Murakami, K.; Irie, K.; Murai, M.; Miyoshi, H.; Dan, S.; Kawaji, K.; Hayashi, H.; et al. Synthetic biology based construction of biological activity-related library of fungal decalin-containing diterpenoid pyrones. Nat. Commun. 2020, 11, 1830–1841. [Google Scholar] [CrossRef]
  118. Hashimoto, M.; Nonaka, T.; Fujii, I. Fungal type III polyketide synthases. Nat. Prod. Rep. 2014, 31, 1306–1317. [Google Scholar] [CrossRef]
  119. Abe, I. Engineered Biosynthesis of Plant Polyketides: Structure-Based and Precursor-Directed Approach. Top. Curr. Chem. 2010, 297, 45–66. [Google Scholar]
  120. Zhou, Y.; Mirts, E.N.; Yook, S.; Waugh, M.; Martini, R.; Jin, Y.-S.; Lu, Y. Reshaping the 2-Pyrone Synthase Active Site for Chemoselective Biosynthesis of Polyketides. Angew. Chem. Int. Ed. 2023, 62, e202212440. [Google Scholar] [CrossRef]
  121. Kalaitzis, J.A. Discovery, Biosynthesis, and Rational Engineering of Novel Enterocin and Wailupemycin Polyketide Analogues. Methods Mol. Biol. 2013, 1055, 171–189. [Google Scholar]
  122. Pluskal, T.; Torrens-Spence, M.P.; Fallon, T.R.; De Abreu, A.; Shi, C.H.; Weng, J.-K. The biosynthetic origin of psychoactive kavalactones in kava. Nat. Plants 2019, 5, 867–878. [Google Scholar] [CrossRef]
  123. Zhou, W.; Zhuang, Y.; Bai, Y.; Bi, H.; Liu, T.; Ma, Y. Biosynthesis of phlorisovalerophenone and 4-hydroxy-6-isobutyl-2-pyrone in Escherichia coli from glucose. Microb. Cell Fact. 2016, 15, 149–159. [Google Scholar] [CrossRef] [PubMed]
  124. Huang, Y.; Hoefgen, S.; Gherlone, F.; Valiante, V. Intrinsic Ability of the β-Oxidation Pathway To Produce Bioactive Styrylpyrones. Angew. Chem. Int. Ed. 2022, 61, e202206851. [Google Scholar] [CrossRef]
  125. Bergmann, P.; Takenberg, M.; Frank, C.; Zschätzsch, M.; Werner, A.; Berger, R.G.; Ersoy, F. Cultivation of Inonotus hispidus in Stirred Tank and Wave Bag Bioreactors to Produce the Natural Colorant Hispidin. Fermentation 2022, 8, 541. [Google Scholar] [CrossRef]
  126. Pogorevc, D.; Panter, F.; Schillinger, C.; Jansen, R.; Wenzel, S.C.; Müller, R. Production optimization and biosynthesis revision of corallopyronin A, a potent anti-filarial antibiotic. Metab. Eng. 2019, 55, 201–211. [Google Scholar] [CrossRef] [PubMed]
  127. Yi, D.; Agarwal, V. Biosynthesis-Guided Discovery and Engineering of α-Pyrone Natural Products from Type I Polyketide Synthases. ACS Chem. Biol. 2023, 18, 1060–1065. [Google Scholar]
  128. Pan, L.; Yang, L.; Huang, Y.; Liang, Y.; He, Q.; Yang, D. Combinatorial Enzymatic Synthesis of Unnatural Long-Chain β-Branch Pyrones by a Highly Promiscuous Enzyme. ACS Omega 2019, 4, 21078–21082. [Google Scholar] [CrossRef]
  129. Li, W.; Fan, J.; Liao, G.; Yin, W.-B.; Li, S.-M. Precursor Supply Increases the Accumulation of 4-Hydroxy-6-(4- hydroxyphenyl)-α-pyrone after NRPS–PKS Gene Expression. J. Nat. Prod. 2021, 84, 2380–2384. [Google Scholar] [CrossRef]
Disclaimer/Publisher’s Note: The statements, opinions and data contained in all publications are solely those of the individual author(s) and contributor(s) and not of MDPI and/or the editor(s). MDPI and/or the editor(s) disclaim responsibility for any injury to people or property resulting from any ideas, methods, instructions or products referred to in the content.

Article Metrics

Citations

Article Access Statistics

Multiple requests from the same IP address are counted as one view.