CFD–DEM Modelling of Ground Collapse Induced by Underground Pipeline Leakage in Water-Rich Sand Layers
Abstract
1. Introduction
2. Mathematical Models
2.1. Governing Equations of Particle Motion
2.2. Governing Equations of Fluid Flow
2.3. Fluid–Solid Coupling Model
3. Numerical Implementation
4. Model Validation
4.1. Free Settling of a Single Particle in Static Water
4.2. Upward Seepage Flow Through a Single Column of Particles
5. Ground Collapse Simulation Results
6. Discussion and Analysis
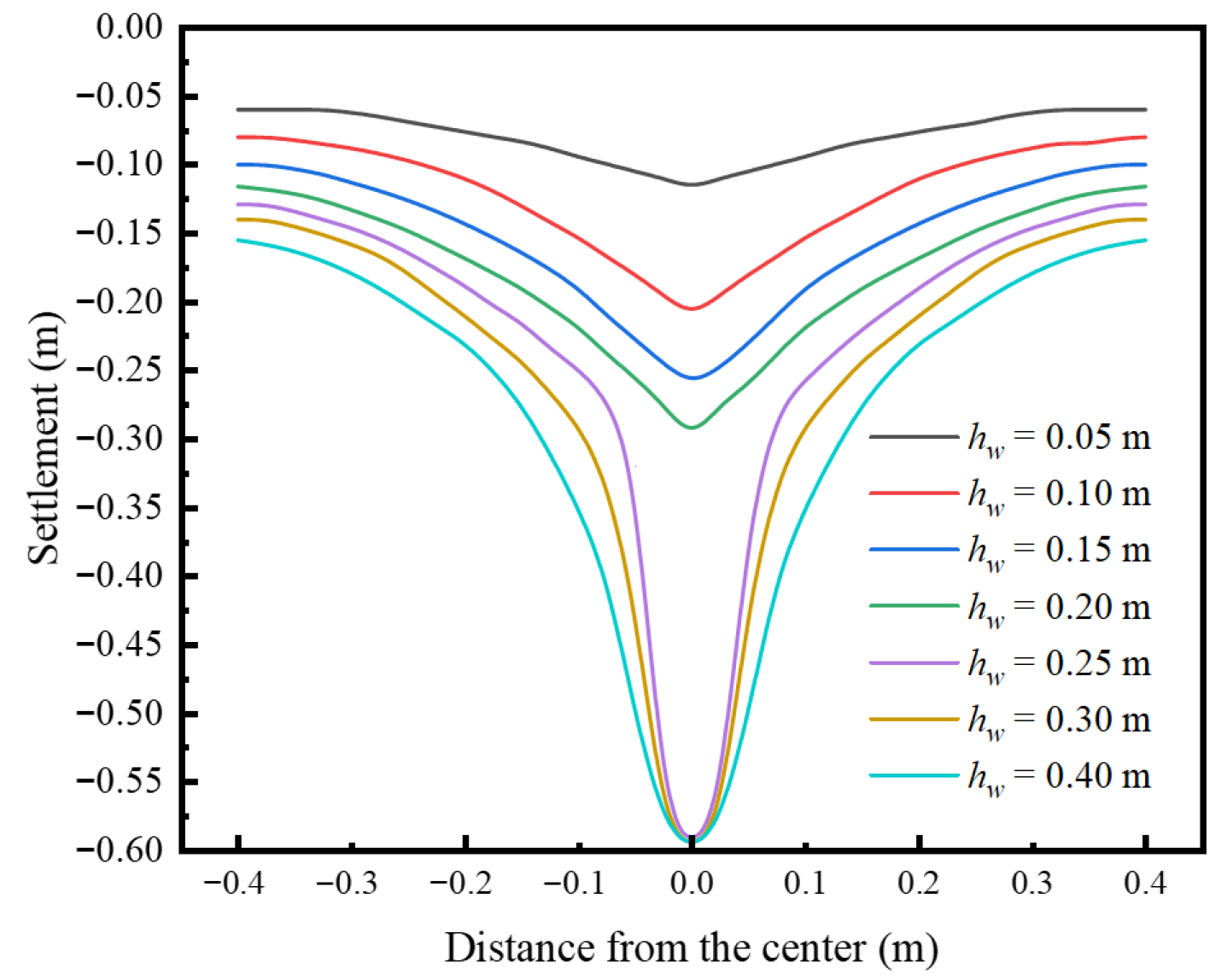
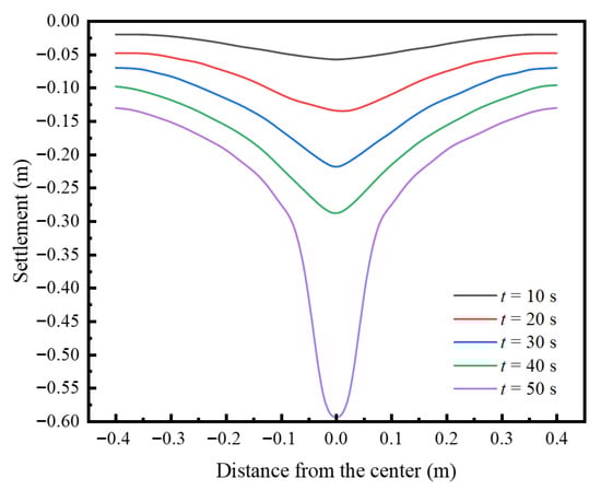
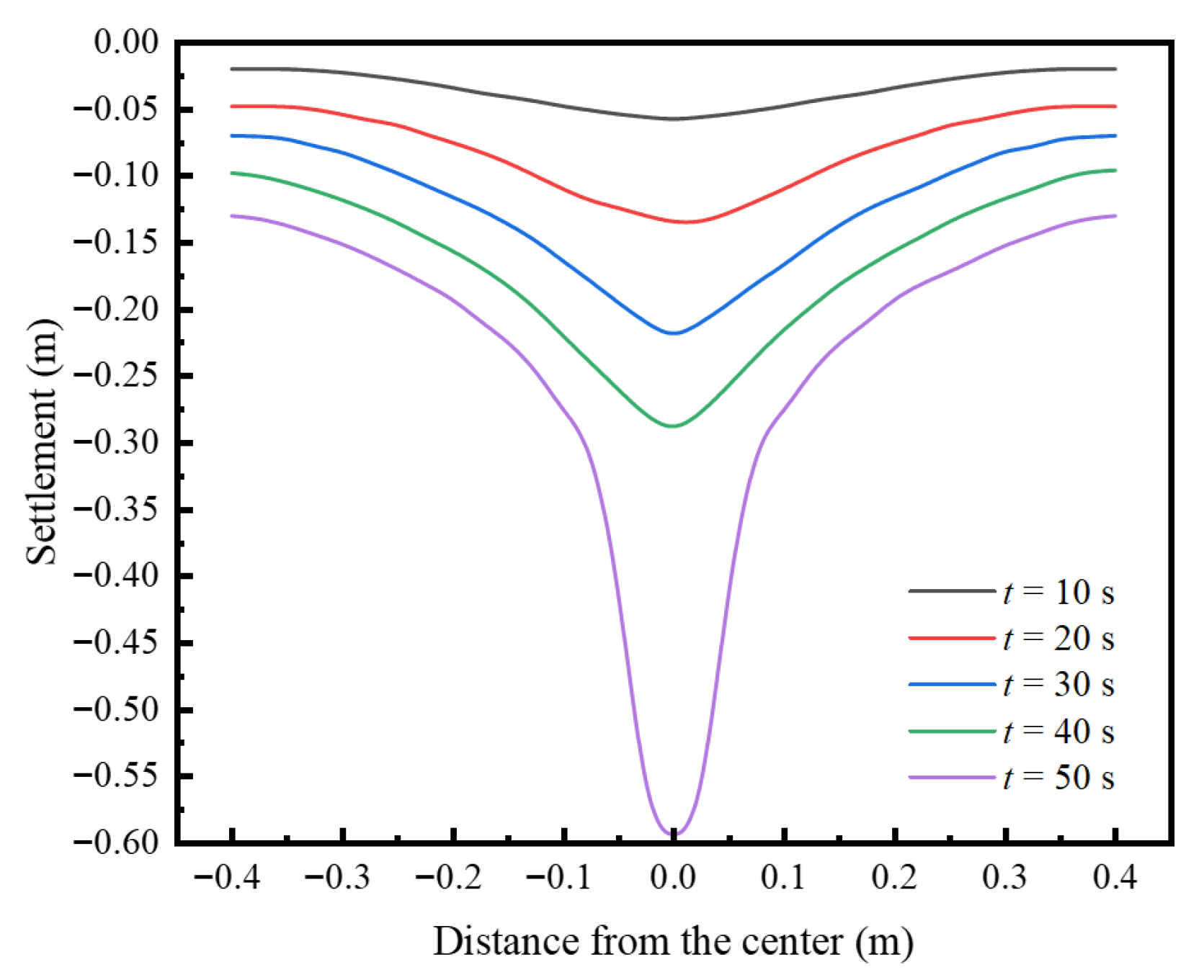
6.1. Settlement Process of the Ground Surface
6.2. Soil Particle Velocity Under Seepage
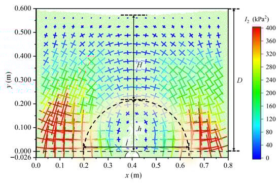
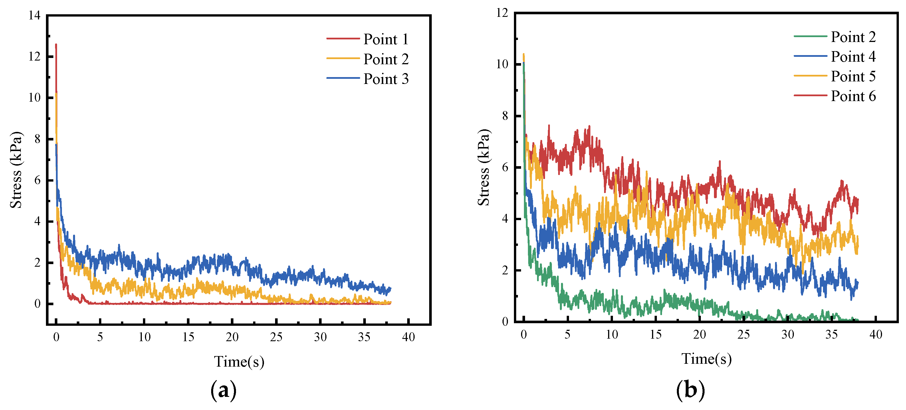
6.3. Stress Distribution and Evolution
6.4. Dynamic Evolution of Soil Stress Arch
6.4.1. Water Level Effect on Soil Arch
6.4.2. Effect of Pipeline Burial Depth on Soil Arch
7. Conclusions
- (1)
- Underground pipeline damage causes groundwater seepage. Under the action of seepage pressure, soil particles are eroded and lost, forming an underground cavity above the pipeline defect. As soil is lost, the disturbed zone develops toward the ground surface, causing ground settlement. In cohesionless soil layers, soil loss caused by pipeline leakage eventually forms a funnel-shaped sinkhole on the ground surface. A rise in the groundwater level reduces soil strength and, to a certain extent, increases seepage pressure, thereby accelerating soil loss and increasing the rate of ground settlement.
- (2)
- When disturbed, the soil stress undergoes redistribution: the direction of the major principal stress in the soil above the cavity shifts from vertical to horizontal, forming a stress arch that bears the weight of the overlying soil layer. Under the effect of groundwater seepage, the soil beneath this stress arch continues to be eroded and lost, causing the disturbed zone to expand gradually and eventually leading to the collapse of the stress arch. Subsequently, the stress in the overlying soil redistributes once more, giving rise to a new stress arch with a greater height. Thus, the process of ground collapse can be characterized as a cyclic sequence involving the formation, collapse, and re-formation of soil stress arches.
- (3)
- Overburden thickness exerts a significant effect on collapse mechanisms. Thick overburden enhances soil densification through increased confining pressure, promoting flattened arch formation that redistributes vertical loads. Although a thicker overlying soil layer can delay the occurrence of ground collapse, it will expand the collapse range to a certain extent. Conversely, insufficient overburden thickness significantly intensifies local stress concentrations and elevates abrupt collapse risk.
Author Contributions
Funding
Data Availability Statement
Conflicts of Interest
References
- Wang, X.W.; Xu, Y.S. Investigation on the phenomena and influence factors of urban ground collapse in China. Nat. Hazards 2022, 113, 1–33. [Google Scholar] [CrossRef]
- Phien-wej, N.; Giao, P.H.; Nutalaya, P. Land subsidence in Bangkok, Thailand. Eng. Geol. 2006, 82, 187–201. [Google Scholar] [CrossRef]
- Gutiérrez, F.; Mozafari, M.; Carbonel, D.; Gómez, R.; Raeisi, E. Leakage problems in dams built on evaporites. The case of La Loteta Dam (NE Spain), a reservoir in a large karstic depression generated by interstratal salt dissolution. Eng. Geol. 2015, 185, 139–154. [Google Scholar] [CrossRef]
- Cheng, X.S.; Zheng, G.; Diao, Y.; Huang, T.M.; Deng, C.H.; Lei, Y.W.; Zhou, H.Z. Study of the progressive collapse mechanism of excavations retained by cantilever contiguous piles. Eng. Fail. Anal. 2017, 71, 72–89. [Google Scholar] [CrossRef]
- Karoui, T.; Jeong, S.Y.; Jeong, Y.H.; Kim, D.S. Experimental study of ground subsidence mechanism caused by sewer pipe cracks. Appl. Sci. 2018, 8, 679. [Google Scholar] [CrossRef]
- Scotto di Santolo, A.; Forte, G.; Santo, A. Analysis of sinkhole triggering mechanisms in the hinterland of Naples (southern Italy). Eng. Geol. 2018, 237, 42–52. [Google Scholar] [CrossRef]
- Lago, A.L.; Borges, W.R.; Barros, J.S.; Amaral, E.D. GPR application for the characterization of sinkholes in Teresina, Brazil. Environ. Earth Sci. 2022, 81, 132. [Google Scholar] [CrossRef]
- Dai, Z.L.; Peng, L.H.; Qin, S.W. Experimental and numerical investigation on the mechanism of ground collapse induced by underground drainage pipe leakage. Environ. Earth Sci. 2024, 83, 32. [Google Scholar] [CrossRef]
- Zheng, G.; Dai, X.; Diao, Y.; Zeng, C.F. Experimental and simplified model study of the development of ground settlement under hazards induced by loss of groundwater and sand. Nat. Hazards 2016, 82, 1869–1893. [Google Scholar] [CrossRef]
- Kuliczkowska, E. The interaction between road traffic safety and the condition of sewers laid under roads. Transp. Res. Part D Transp. Environ. 2016, 48, 203–213. [Google Scholar] [CrossRef]
- Gan, L.; Liu, Y.; Xu, T.; Xu, L.; Ma, H.Y.; Xu, W.C. Experimental investigation of the seepage characteristics of a single fracture in limestone with different roughness and seepage fluids. J. Hydrol. 2023, 622, 129699. [Google Scholar] [CrossRef]
- Wang, L.Y.; Chen, W.Z.; Sui, Q. Study of hydro-mechanical behaviours of rough rock fracture with shear dilatancy and asperities using shear-flow flow model. J. Rock Mech. Geotech. Eng. 2024, 16, 4004–4016. [Google Scholar] [CrossRef]
- Guo, S.; Shao, Y.; Zhang, T.Q.; Zhu, D.Z.; Zhang, Y.P. Physical modeling on sand erosion around defective sewer pipes under the influence of groundwater. J. Hydraul. Eng. 2013, 139, 1247–1257. [Google Scholar] [CrossRef]
- Sato, M.; Kuwano, R. Influence of location of subsurface structures on development of underground cavities induced by internal erosion. Soils Found. 2015, 55, 829–840. [Google Scholar] [CrossRef]
- Ren, J.L.; Liu, Y.; Yu, P.Q.; Zhang, Y.L.; Li, D.S. The influence of fines content on ground collapse due to internal erosion of sand-fines mixtures around defective pipes. Eng. Fail. Anal. 2024, 165, 108810. [Google Scholar] [CrossRef]
- Guo, J.X.; Zhang, Y.J.; Cheng, Y.X.; Zhang, X.; Shi, H.X.; Zheng, J.Q.; Ma, Y.J. Study on urban ground collapse induced by defective pipelines based on physical model experiments and numerical simulation. Sci. Rep. 2025, 15, 6085. [Google Scholar] [CrossRef] [PubMed]
- Wu, Y.X.; Shen, S.L.; Lyu, H.M.; Zhou, A. Analyses of leakage effect of waterproof curtain during excavation dewatering. J. Hydrol. 2020, 583, 124582. [Google Scholar] [CrossRef]
- Yuan, X.Y.; Yan, Y.D.; Li, X.Y.; Wang, T.; Ji, J. Discrete element simulation of ground collapse induced by buried sewage pipeline breakage and soil leakage. Eng. Fail. Anal. 2025, 167, 108910. [Google Scholar] [CrossRef]
- Cui, X.; Li, J.; Chan, A.; Chapman, D. Coupled DEM-LBM simulation of internal fluidisation induced by a leaking pipe. Powder Technol. 2014, 254, 299–306. [Google Scholar] [CrossRef]
- Long, Y.Y.; Tan, Y. Soil arching due to leaking of tunnel buried in water-rich sand. Tunn. Undergr. Space Technol. 2020, 95, 103158. [Google Scholar] [CrossRef]
- Qi, G.; Wang, Z.Y.; Chen, Y.; Zhu, C.; Ren, D.Z.; Tian, T.; Yang, F. Analysis of Instability Mechanism and Induced Cause of Urban Pavement in Xining City, China. Adv. Mater. Sci. Eng. 2022, 2022, 3365402. [Google Scholar] [CrossRef]
- Tsuji, Y.; Kawaguchi, T.; Tanaka, T. Discrete particle simulation of two-dimensional fluidized bed. Powder Technol. 1993, 77, 79–87. [Google Scholar] [CrossRef]
- Cui, J.Y.; Liu, F.Y.; Geng, Y.W.; Pu, C.; Miao, M. Numerical simulation of ground subsidence factors resulting from unpressurized pipeline rupture below the water table. Appl. Sci. 2023, 13, 9536. [Google Scholar] [CrossRef]
- Di Felice, R. The voidage function for fluid-particle interaction systems. Int. J. Multiph. Flow 1994, 20, 153–159. [Google Scholar] [CrossRef]
- Chen, F.; Wang, Y.C.; Jiang, W.; Zheng, S.H. Numerical simulation of ground movement induced by water and sand gushing in subway through fault based on DEM-CFD. Comput. Geotech. 2021, 139, 104282. [Google Scholar] [CrossRef]
- Suzuki, K.; Bardet, P.J.; Oda, M.; Iwashita, K.; Tsuji, Y.; Tanaka, T.; Kawaguchi, T. Simulation of upward seepage flow in a single column of spheres using discrete-element method with fluid-particle interaction. J. Geotech. Geoenviron. Eng. 2007, 133, 104–109. [Google Scholar] [CrossRef]
- Yang, B.D.; Jiao, Y.; Lei, S.T. A study on the effects of microparameters on macroproperties for specimens created by bonded particles. Eng. Comput. 2006, 23, 607–631. [Google Scholar] [CrossRef]
- Liu, C.J.; Wang, Y.Z.; Tan, Y.; Cao, Y.C. Failure evolution and mechanism of ground collapse due to exfiltration of shallowly buried water pipeline. Eng. Fail. Anal. 2024, 162, 108390. [Google Scholar] [CrossRef]
- He, M.C.; Wang, Q. Excavation compensation method and key technology for surrounding rock control. Eng. Geol. 2022, 307, 106784. [Google Scholar] [CrossRef]
- Liu, D.Z.; Zhang, J.F.; Li, S.L.; Wang, B.J. Mechanism of soil collapse based on soil arching theory. J. Yangtze River Sci. Res. Inst. 2011, 28, 35. [Google Scholar]
- Terzaghi, K. The shearing resistance of saturated soils and the angle between the planes of shear. Proc. Int. Conf. Soil Mech. Found. Eng. 1936, 1, 54–56. [Google Scholar]
- Ibrahim, A.; Meguid, M.A. CFD-DEM simulation of sand erosion into defective gravity pipes under constant groundwater table. Tunn. Undergr. Space Technol. 2023, 131, 104823. [Google Scholar] [CrossRef]
- He, R.X.; Hao, Y.Z.; Zhou, Z.W. Experimental study on the dynamic properties of undisturbed loess under moistening conditions in Zhengzhou, China. Bull. Eng. Geol. Environ. 2024, 83, 186. [Google Scholar] [CrossRef]























| Mesoscopic Parameters | Symbol | Unit | Parameter Value |
|---|---|---|---|
| Particle density | ρs | kg/m3 | 2650 |
| Angle of internal friction | ϕ | ° | 32 |
| Normal stiffness | kn | N/m | 1 × 107 |
| Shear stiffness | ks | N/m | 6.67 × 106 |
| Friction coefficient | / | / | 2 |
| Damping coefficient | / | / | 0.7 |
| Fluid density | ρf | kg/m3 | 1000 |
| Fluid viscosity | μ | Pa·s | 0.001 |
| Defect size | / | m | 0.003 |
Disclaimer/Publisher’s Note: The statements, opinions and data contained in all publications are solely those of the individual author(s) and contributor(s) and not of MDPI and/or the editor(s). MDPI and/or the editor(s) disclaim responsibility for any injury to people or property resulting from any ideas, methods, instructions or products referred to in the content. |
© 2025 by the authors. Licensee MDPI, Basel, Switzerland. This article is an open access article distributed under the terms and conditions of the Creative Commons Attribution (CC BY) license (https://creativecommons.org/licenses/by/4.0/).
Share and Cite
Dai, Z.; Zhao, L. CFD–DEM Modelling of Ground Collapse Induced by Underground Pipeline Leakage in Water-Rich Sand Layers. Modelling 2025, 6, 141. https://doi.org/10.3390/modelling6040141
Dai Z, Zhao L. CFD–DEM Modelling of Ground Collapse Induced by Underground Pipeline Leakage in Water-Rich Sand Layers. Modelling. 2025; 6(4):141. https://doi.org/10.3390/modelling6040141
Chicago/Turabian StyleDai, Zili, and Likang Zhao. 2025. "CFD–DEM Modelling of Ground Collapse Induced by Underground Pipeline Leakage in Water-Rich Sand Layers" Modelling 6, no. 4: 141. https://doi.org/10.3390/modelling6040141
APA StyleDai, Z., & Zhao, L. (2025). CFD–DEM Modelling of Ground Collapse Induced by Underground Pipeline Leakage in Water-Rich Sand Layers. Modelling, 6(4), 141. https://doi.org/10.3390/modelling6040141

