Exact Time Evolution of Genuine Multipartite Correlations for N-Qubit Systems in a Common Thermal Reservoir
Abstract
1. Introduction
2. Model: N-Qubits in a Common Environment
3. Dynamics of Genuine Multipartite Correlations for N-Qubit States
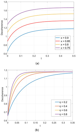
3.1. GHZ-Class Werner States
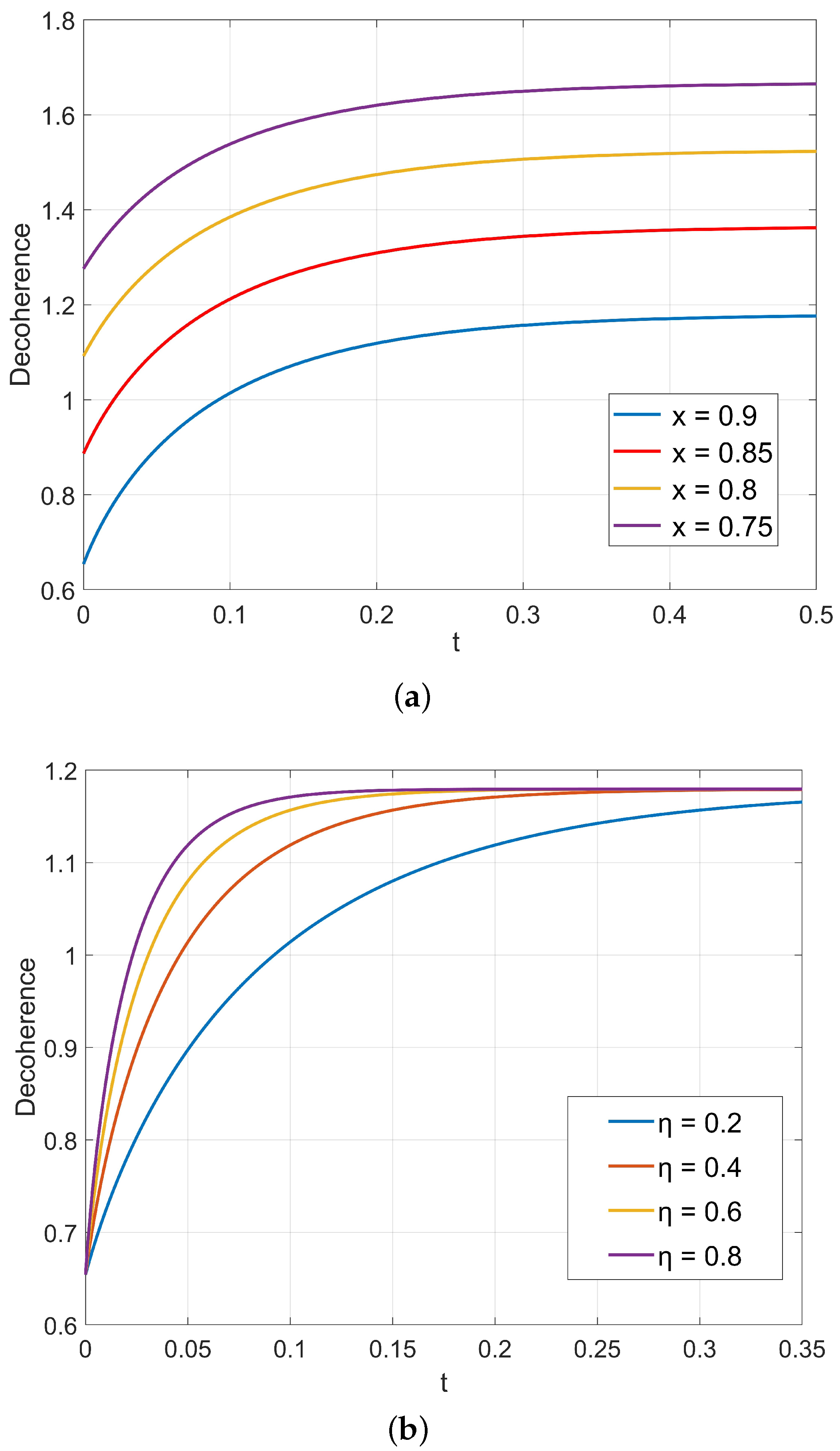
3.2. W-Class Werner States
4. Conclusions
Author Contributions
Funding
Conflicts of Interest
References
- Nielsen, M.A.; Chuang, I. Quantum Computation and Quantum Information; Cambridge University Press: Cambridge, UK, 2002. [Google Scholar]
- Einstein, A.; Podolsky, B.; Rosen, N. Can Quantum-Mechanical Description of Physical Reality Be Considered Complete? Phys. Rev. 1935, 47, 777–780. [Google Scholar] [CrossRef]
- Schrödinger, E. Probability relations between separated systems. Math. Proc. Camb. Philos. Soc. 1936, 32, 446–452. [Google Scholar] [CrossRef]
- Bell, J.S. On the Einstein Podolsky Rosen paradox. Phys. Phys. Fiz. 1964, 1, 195–200. [Google Scholar] [CrossRef]
- Bennett, C.H.; Brassard, G.; Crépeau, C.; Jozsa, R.; Peres, A.; Wootters, W.K. Teleporting an unknown quantum state via dual classical and Einstein-Podolsky-Rosen channels. Phys. Rev. Lett. 1993, 70, 1895. [Google Scholar] [CrossRef]
- Hillery, M.; Bužek, V.; Berthiaume, A. Quantum secret sharing. Phys. Rev. A 1999, 59, 1829–1834. [Google Scholar] [CrossRef]
- Bennett, C.H.; Wiesner, S.J. Communication via one-and two-particle operators on Einstein-Podolsky-Rosen states. Phys. Rev. Lett. 1992, 69, 2881. [Google Scholar] [CrossRef]
- Giovannetti, V.; Lloyd, S.; Maccone, L. Quantum-Enhanced Measurements: Beating the Standard Quantum Limit. Science 2004, 306, 1330–1336. [Google Scholar] [CrossRef]
- Amico, L.; Fazio, R.; Osterloh, A.; Vedral, V. Entanglement in many-body systems. Rev. Mod. Phys. 2008, 80, 517–576. [Google Scholar] [CrossRef]
- Greenberger, D.M.; Horne, M.A.; Zeilinger, A. Going Beyond Bell’s Theorem. In Bell’s Theorem, Quantum Theory and Conceptions of the Universe; Springer: Berlin/Heidelberg, Germany, 1989; pp. 69–72. [Google Scholar]
- Karlsson, A.; Bourennane, M. Quantum teleportation using three-particle entanglement. Phys. Rev. A 1998, 58, 4394–4400. [Google Scholar] [CrossRef]
- Vidal, G. Entanglement monotones. J. Mod. Opt. 2000, 47, 355–376. [Google Scholar] [CrossRef]
- Aolita, L.; Chaves, R.; Cavalcanti, D.; Acín, A.; Davidovich, L. Scaling Laws for the Decay of Multiqubit Entanglement. Phys. Rev. Lett. 2008, 100, 080501. [Google Scholar] [CrossRef]
- Ma, Z.H.; Chen, Z.H.; Chen, J.L.; Spengler, C.; Gabriel, A.; Huber, M. Measure of genuine multipartite entanglement with computable lower bounds. Phys. Rev. A 2011, 83, 062325. [Google Scholar] [CrossRef]
- Hashemi Rafsanjani, S.M.; Huber, M.; Broadbent, C.J.; Eberly, J.H. Genuinely multipartite concurrence of N-qubit X matrices. Phys. Rev. A 2012, 86, 062303. [Google Scholar] [CrossRef]
- Girolami, D.; Tufarelli, T.; Susa, C.E. Quantifying Genuine Multipartite Correlations and their Pattern Complexity. Phys. Rev. Lett. 2017, 119, 140505. [Google Scholar] [CrossRef]
- Xie, S.; Eberly, J.H. Triangle Measure of Tripartite Entanglement. Phys. Rev. Lett. 2021, 127, 040403. [Google Scholar] [CrossRef] [PubMed]
- Hill, S.; Wootters, W.K. Entanglement of a pair of quantum bits. Phys. Rev. Lett. 1997, 78, 5022. [Google Scholar] [CrossRef]
- Wootters, W.K. Entanglement of formation of an arbitrary state of two qubits. Phys. Rev. Lett. 1998, 80, 2245. [Google Scholar] [CrossRef]
- Vidal, G.; Werner, R.F. Computable measure of entanglement. Phys. Rev. A 2002, 65, 032314. [Google Scholar] [CrossRef]
- Coffman, V.; Kundu, J.; Wootters, W.K. Distributed entanglement. Phys. Rev. A 2000, 61, 052306. [Google Scholar] [CrossRef]
- Eisert, J.; Briegel, H.J. Schmidt measure as a tool for quantifying multiparticle entanglement. Phys. Rev. A 2001, 64, 022306. [Google Scholar] [CrossRef]
- Jungnitsch, B.; Moroder, T.; Gühne, O. Taming Multiparticle Entanglement. Phys. Rev. Lett. 2011, 106, 190502. [Google Scholar] [CrossRef]
- Yu, T.; Eberly, J.H. Sudden Death of Entanglement. Science 2009, 323, 598–601. [Google Scholar] [CrossRef] [PubMed]
- Fanchini, F.F.; Werlang, T.; Brasil, C.A.; Arruda, L.G.E.; Caldeira, A.O. Non-Markovian dynamics of quantum discord. Phys. Rev. A 2010, 81, 052107. [Google Scholar] [CrossRef]
- Mazzola, L.; Piilo, J.; Maniscalco, S. Sudden Transition between Classical and Quantum Decoherence. Phys. Rev. Lett. 2010, 104, 200401. [Google Scholar] [CrossRef]
- Xu, J.S.; Xu, X.Y.; Li, C.F.; Zhang, C.J.; Zou, X.B.; Guo, G.C. Experimental investigation of classical and quantum correlations under decoherence. Nat. Commun. 2010, 1, 7. [Google Scholar] [CrossRef]
- Yuan, J.B.; Kuang, L.M.; Liao, J.Q. Amplification of quantum discord between two uncoupled qubits in a common environment by phase decoherence. J. Phys. B At. Mol. Opt. Phys. 2010, 43, 165503. [Google Scholar] [CrossRef]
- Zhang, W.M.; Lo, P.Y.; Xiong, H.N.; Tu, M.W.Y.; Nori, F. General Non-Markovian Dynamics of Open Quantum Systems. Phys. Rev. Lett. 2012, 109, 170402. [Google Scholar] [CrossRef]
- Wu, T.; Shi, J.; Yu, L.; He, J.; Ye, L. Quantum correlation of qubit-reservoir system in dissipative environments. Sci. Rep. 2017, 7, 8625. [Google Scholar] [CrossRef]
- An, J.H.; Wang, S.J.; Luo, H.G. Entanglement dynamics of qubits in a common environment. Phys. A Stat. Mech. Appl. 2007, 382, 753–764. [Google Scholar] [CrossRef]
- Benatti, F.; Nagy, A. Three qubits in a symmetric environment: Dissipatively generated asymptotic entanglement. Ann. Phys. 2011, 326, 740–753. [Google Scholar] [CrossRef][Green Version]
- Li, Z.Z.; Liang, X.T.; Pan, X.Y. The entanglement dynamics of two coupled qubits in different environment. Phys. Lett. A 2009, 373, 4028–4032. [Google Scholar] [CrossRef]
- Zhao, Y.; Zheng, F.; Liu, J.; Yao, Y. Dynamics of bipartite and tripartite entanglement in a dissipative system of continuous variables. Phys. A Stat. Mech. Appl. 2015, 423, 80–96. [Google Scholar] [CrossRef]
- Gallego, M.A.; Coto, R.; Orszag, M. Generation of quantum correlations for two qubits through a common reservoir. Phys. Scr. 2012, T147, 014012. [Google Scholar] [CrossRef]
- Viola, L.; Lloyd, S. Dynamical suppression of decoherence in two-state quantum systems. Phys. Rev. A 1998, 58, 2733–2744. [Google Scholar] [CrossRef]
- Viola, L.; Knill, E.; Lloyd, S. Dynamical Decoupling of Open Quantum Systems. Phys. Rev. Lett. 1999, 82, 2417–2421. [Google Scholar] [CrossRef]
- Xu, L.; Yuan, J.B.; Tan, Q.S.; Zhou, L.; Kuang, L.M. Dynamics of quantum discord for two correlated qubits in two independent reservoirs at finite temperature. Eur. Phys. J. D 2011, 64, 565–571. [Google Scholar] [CrossRef]
- Kuang, L.M.; Tong, Z.Y.; Ouyang, Z.W.; Zeng, H.S. Decoherence in two Bose-Einstein condensates. Phys. Rev. A 1999, 61, 013608. [Google Scholar] [CrossRef]
- Tchoffo, M.; Kenfack, L.T.; Fouokeng, G.C.; Fai, L.C. Quantum correlations dynamics and decoherence of a three-qubit system subject to classical environmental noise. Eur. Phys. J. Plus 2016, 131, 380. [Google Scholar] [CrossRef]
- Breuer, H.P.; Petruccione, F. The Theory of Open Quantum Systems; Oxford University Press: Oxford, UK, 2007; p. 656. [Google Scholar]
- Rao, D.D.B.; Panigrahi, P.K.; Mitra, C. Teleportation in the presence of common bath decoherence at the transmitting station. Phys. Rev. A 2008, 78, 022336. [Google Scholar] [CrossRef]
- Caldeira, A.; Leggett, A. Quantum tunnelling in a dissipative system. Ann. Phys. 1983, 149, 374–456. [Google Scholar] [CrossRef]
- Kuang, L.M.; Zeng, H.S.; Tong, Z.Y. Nonlinear decoherence in quantum state preparation of a trapped ion. Phys. Rev. A 1999, 60, 3815–3819. [Google Scholar] [CrossRef]
- Yu, T.; Eberly, J.H. Evolution from Entanglement to Decoherence of Bipartite Mixed “X” States. Quantum Info. Comput. 2007, 7, 459–468. [Google Scholar]
- Quesada, N.; Al-Qasimi, A.; James, D.F. Quantum properties and dynamics of X states. J. Mod. Opt. 2012, 59, 1322–1329. [Google Scholar] [CrossRef]
- Cappellaro, P.; Hodges, J.S.; Havel, T.F.; Cory, D.G. Subsystem pseudopure states. Phys. Rev. A 2007, 75, 042321. [Google Scholar] [CrossRef]
- Leggett, A.J.; Chakravarty, S.; Dorsey, A.T.; Fisher, M.P.A.; Garg, A.; Zwerger, W. Dynamics of the dissipative two-state system. Rev. Mod. Phys. 1987, 59, 1–85. [Google Scholar] [CrossRef]
- Baumgratz, T.; Cramer, M.; Plenio, M.B. Quantifying Coherence. Phys. Rev. Lett. 2014, 113, 140401. [Google Scholar] [CrossRef]




Publisher’s Note: MDPI stays neutral with regard to jurisdictional claims in published maps and institutional affiliations. |
© 2022 by the authors. Licensee MDPI, Basel, Switzerland. This article is an open access article distributed under the terms and conditions of the Creative Commons Attribution (CC BY) license (https://creativecommons.org/licenses/by/4.0/).
Share and Cite
Roy, A.K.; Magare, S.; Srivastava, V.; Panigrahi, P.K. Exact Time Evolution of Genuine Multipartite Correlations for N-Qubit Systems in a Common Thermal Reservoir. Quantum Rep. 2022, 4, 22-35. https://doi.org/10.3390/quantum4010003
Roy AK, Magare S, Srivastava V, Panigrahi PK. Exact Time Evolution of Genuine Multipartite Correlations for N-Qubit Systems in a Common Thermal Reservoir. Quantum Reports. 2022; 4(1):22-35. https://doi.org/10.3390/quantum4010003
Chicago/Turabian StyleRoy, Abhinash Kumar, Sourabh Magare, Varun Srivastava, and Prasanta K. Panigrahi. 2022. "Exact Time Evolution of Genuine Multipartite Correlations for N-Qubit Systems in a Common Thermal Reservoir" Quantum Reports 4, no. 1: 22-35. https://doi.org/10.3390/quantum4010003
APA StyleRoy, A. K., Magare, S., Srivastava, V., & Panigrahi, P. K. (2022). Exact Time Evolution of Genuine Multipartite Correlations for N-Qubit Systems in a Common Thermal Reservoir. Quantum Reports, 4(1), 22-35. https://doi.org/10.3390/quantum4010003

