Abstract
New EA-sulfonamides and indazole-sulfonamides were synthesized, characterized, and evaluated for their anticancer activities. The target compound structures were elucidated using various spectroscopic techniques such as NMR-{1H and 13C}, infrared spectroscopy, and high-resolution mass spectrometry. The anticancer activities of the novel compounds were evaluated against four human cancer cell lines, namely A-549, MCF-7, Hs-683, and SK-MEL-28 as well as the normal cell line HaCaT, using 5-fluorouracil and etoposide as reference drugs. Among the tested compounds, 9, 10, and 13 exhibited potent anticancer activities which are better than or similar to the reference compounds 5-fluorouracil and etoposide, against the A-549, MCF-7, and Hs-683 cancer cell lines, with IC50 values ranging from 0.1 to 1 μM. Molecular docking studies of compounds 9, 10, and 13 showed a strong binding with selected protein kinase targets, which are linked to the tested cancer types. Furthermore, the analysis of the molecular dynamics simulation results demonstrated that compound 9 exhibits significant stability when bound to both JAK3 and ROCK1 kinases. This new compound has the potential to be developed as a novel therapeutic agent against various cancers.
1. Introduction
Protein kinases are enzymes that catalyze the transfer of γ-phosphate from ATP (or GTP) to its protein substrates such as tyrosine, serine, or threonine [1]. Many of these protein kinases play crucial roles in diverse cellular functions including metabolism, cell cycle regulation, survival, and differentiation [2]. Dysregulation of these kinases is implicated in various stages of carcinogenesis [3,4]. The introduction of protein kinase inhibitors in cancer therapy has marked a significant shift in the approach to treating cancer [5,6]. This illness is characterized by the abnormal development and growth of cells, posing a threat to human life by disrupting vital body functions. While uncontrolled cell proliferation is recognized as the ultimate cause of cancer, the primary biological factor responsible for the disease is not well known [7]. Cancer poses a serious global public health challenge. According to the World Health Organization, the number of cancer-related deaths per year will exceed 10 million, and by 2030, it will reach 1 million deaths per year unless urgent and decisive interventions are implemented. Understanding how cancer cells function is essential for identifying and developing better and safer anticancer treatments [8,9]. While traditional methods like surgery, chemotherapy, and radiotherapy have been used to treat cancer, they often come with significant limitations [10,11]. Surgery can be successful for solid and localized tumors but is not effective for tumors that have spread. Chemotherapy and radiotherapy are used for widespread cancer, aiming to stop tumor growth, but they can have serious side effects that impact patients’ quality of life. Therefore, there is a need to explore new treatments that are more effective and cause fewer problems for patients [12,13,14]. To cure cancer, scientists have identified a diverse range of potential anticancer agents, such as ethacrynic acid (EA) derivatives, indazole derivatives, and compounds bearing a sulfonamide moiety, each distinguished by its unique mechanisms and characteristics. EA has been employed clinically as a diuretic for over 50 years [15]. Additionally, EA derivatives have been documented for their cytotoxic activity by inhibiting glutathione S-transferase P1-1 (GSTP1-1), a group of detoxification enzymes, by forming a covalent bond with its cysteine residues [16,17]. The indazole motif can serve not only as a functional substituent but also as the scaffold for small molecule drugs [18]. Structurally diverse indazole analogs have received enormous attention both in the past and recent years due to their anticancer activities [19,20,21]. Sulfonamide-based compounds are among the first important therapeutic agents widely used in the treatment of several diseases [22,23], including cancer, with potent antiproliferative activity [24,25]. Pazopanib is an anticancer drug that combines both indazole and sulfonamide structures. This multi-functional molecule is primarily used in the treatment of advanced renal cell carcinoma and soft tissue sarcoma [26]. In our continuous efforts to develop new anticancer agents based on EA, indazole and sulfonamides [27,28,29,30,31,32], we report in this work the synthesis of a novel class of EA and indazole derivatives bearing a sulfonamide moiety (Scheme 1), intending to demonstrate potential anticancer effectiveness against multiple cancer cell lines, namely A-549, MCF-7, Hs-683, and SK-MEL-28. To understand the mechanism of action of the most active compounds, molecular docking and molecular dynamics simulation studies were also performed.
Scheme 1.
EA and indazole derivatives bearing a sulfonamide moiety.
2. Materials and Methods
Chemicals and reagents were obtained from commercial sources and used without further purification. Analytical thin-layer chromatography (TLC) was performed on silica gel 60 F254 (Merck, Darmstadt, Germany). The compounds were visualized by ultraviolet (UV) irradiation at 254 or 365 nm. Column chromatography was performed on silica gel 60 (230–400 mesh, 0.040–0.063 mm). Melting points (m.p. [°C]) were measured using samples in open capillary tubes but were not corrected using the BioCote Thermo scientific digital melting point IA9200. The infrared spectra were recorded at room temperature on a Thermo Scientific Nicolet IS50 FT-IR (Thermo Scientific, Waltham, MA, USA). UV–Vis spectra were recorded in the 200–800 nm range, with Spectralon as the reference, using a PerkinElmer Lambda 1050 spectrometer equipped with an integrating sphere (PerkinElmer, Shelton, CT, USA). 1H NMR and 13C NMR spectra were recorded on a Jeol 600 MHz spectrometer (Jeol, Tokyo, Japan) in an appropriate deuterated solvent at room temperature, operating at 600 MHz and at 150.91 MHz, with tetramethylsilane (TMS) used as a reference. The multiplicities of the spectra are reported as follows: singlet (s), doublet (d), triplet (t), quartet (q), and multiplet (m). Coupling constants (J) are reported in hertz (Hz). Mass spectra were performed on a Q Exactive Plus Orbitrap LC-MS-MS system for the compounds 1, 2, 18, and 19, and for the rest of the compounds high-resolution mass spectrometry (HRMS) was performed on a Maxis Bruker 4G (Bruker, Karlsruhe, Germany).
Compounds 4 and 7 have been reported in our previous work [33].
2.1. Synthesis and Characterization
2.1.1. General Process for the Sulfonylation Reaction 1 (1–2)
To a solution of amine (1 equiv.) in pyridine (5 mL) and 4-(dimethylamino) pyridine (7.92 equiv.), sulfonyl chlorides (2.76 equiv.) are added. The mixture is stirred at room temperature for 24 to 48 h and the reaction is monitored by TLC. The solution is diluted with ice-cold water (30 mL) and extracted with DCM (2 × 15 mL). The organic phase is washed with HCl (2 M) (2 × 15 mL), sodium bicarbonate saturated solution (15 mL), and brine (15 mL) and dried over magnesium sulfate. The solvent is evaporated and the crude product is purified by silica gel column chromatography.
2-Chloro-N-(1H-indazol-7-yl)-5-methoxybenzenesulfonamide (1). This compound is prepared by sulfonylation reaction method 1, and the crude residue is purified by silica gel column chromatography using Hex/EtOAc (6:4 (v/v) as an eluent, to give the expected product 1 as a white solid (98 mg, 24%). m.p. 204–205 °C. 1H NMR (600 MHz, CD3COCD3) δ 12.10 (s, 1H), 9.07 (s, 1H), 8.04 (s, 1H), 7.64 (d, J = 2.7 Hz, 1H), 7.61–7.52 (m, 2H), 7.25 (d, J = 8.9 Hz, 1H), 7.06 (d, J = 7.4 Hz, 1H), 6.97–6.94 (t, 1H), 4.00 (s, 3H). 13C NMR (151 MHz, CD3COCD3) δ 156.40, 136.57, 135.42, 135.02, 130.49, 128.89, 126.08, 125.39, 121.58, 120.42, 119.29, 115.26, 56.97, 30.06. IR (neat): ν 3404 (NH), 3238 (NH), 2945 (OCH3) cm−1. HRMS [M + H]+ calculated for C14H13ClN3O3S: 338.0288, found: 338.03464.
2-Chloro-N-(1H-indazol-4-yl)-5-methoxybenzenesulfonamide (2). This compound is prepared by sulfonylation reaction method 2, and the crude residue is purified by silica gel column chromatography using Hex/EtOAc (6:4 (v/v) as an eluent, to give the expected product 2 as a white solid (155 mg, 38%). m.p. 209–210 °C. 1H NMR (600 MHz, CD3COCD3) δ 12.23 (s, 1H), 9.26 (s, 1H), 8.35 (s, 1H), 7.71 (d, J = 2.6 Hz, 1H), 7.51 (d, J = 8.9, 2.7 Hz, 1H), 7.31–7.27 (m, 1H), 7.21 (d, J = 7.9 Hz, 1H), 7.17 (d, J = 8.9 Hz, 1H), 7.08 (d, J = 7.5 Hz, 1H), 4.01 (s, 3H).13C NMR (151 MHz, CD3COCD3) δ 205.46, 155.65, 141.58, 134.51, 131.99, 129.93, 126.68, 124.42, 117.84, 114.36, 111.77, 106.92, 56.13, 29.06. IR (neat): ν 3452 (NH), 3385 (NH), 3265 (OCH3) cm−1. HRMS [M + H]+ calculated for C14H13ClN3O3S: 338.0288, found: 338.03497.
2.1.2. General Process for the Sulfonylation Reaction 2 (4–6)
To a stirred solution of 5-nitroindazole (1 equiv.) in 5 mL of N,N-dimethylformamide (DMF) at 0 °C, sodium hydride (8 equiv.) is added dropwise. The sodium salt of 5-nitro-1H-indazole (intermediate) is obtained and hydrogen gas is evolved. The mixture is then stirred for 30 min. Afterward, sulfonyl chlorides (2 equiv.) are added and the mixture is stirred at room temperature for 6 h. The organic phase is extracted three times with dichloromethane (DCM) and saturated aqueous sodium chloride solution, dried over magnesium sulfate, and concentrated under reduced pressure. The crude product is purified by silica gel column chromatography.
1-((3,4-Dimethoxyphenyl)sulfonyl)-5-nitro-1H-indazole (5). Compound 5 is prepared by the sulfonylation reaction method 2. The crude residue is purified by silica gel column chromatography using Hex/DCM (5:5 (v/v) as an eluent, to give the expected product as a white solid (312 mg, 70%). m.p. 179–180 °C. 1H NMR (600 MHz, CDCl3) δ 8.66 (s, 1H), 8.42 (d, J = 9.1, 1H), 8.35 (s, 1H), 8.32 (d, J = 9.1 Hz, 1H), 7.66 (d, J = 8.6, 1H), 7.44 (s, 1H), 6.90 (d, J = 8.6 Hz, 1H), 3.89 (s, 6H). 13C NMR (151 MHz, CDCl3) δ 154.58, 149.45, 144.65, 142.14, 141.53, 128.15, 125.33, 124.05, 122.43, 118.44, 113.72, 110.81, 109.96, 56.45, 56.42. IR (neat): υ1612 (C=N), 1510 (NO, asymmetric), 1343 (NO, symmetric) cm−1. HRMS [M + H]+ calculated for C15H14N3O6S: 364.0525, found: 364.0597.
1-((2,5-Dimethoxyphenyl)sulfonyl)-5-nitro-1H-indazole (6). Compound 5 is prepared by the sulfonylation reaction method 2. The crude residue is purified by silica gel column chromatography using Hex/DCM (5:5 (v/v) as an eluent, to give the expected product as a white solid (240 mg, 54%). m.p. 181–182 °C. 1H NMR (600 MHz, CDCl3) δ 8.69 (d, J = 2.1 Hz, 1H), 8.46 (dd, J = 9.3, 2.2 Hz, 1H), 8.38 (d, J = 9.1 Hz, 1H), 8.31 (s, 1H), 7.71 (d, J = 2.1 Hz, 1H), 7.14 (dd, J = 9.3, 2.2 Hz, 1H), 6.82 (d, J = 9.1 Hz, 1H), 3.86 (s, 3H), 3.37 (s, 3H). 13C NMR (151 MHz, CDCl3) δ 153.29, 151.91, 144.40, 143.72, 141.14, 125.28, 124.45, 123.61, 123.49, 118.24, 114.87, 114.80, 113.93, 56.28, 56.22. IR (neat): υ 1614 (C=N), 1496 (NO, asymmetric), 1334 (NO, symmetric) cm−1. HRMS [M + H]+ calculated for C15H14N3O6S: 364.0525, found: 364.0600.
2.1.3. General Method for the Preparation of the Sulfonyl Indazole-Amines 7 and 8
To a solution of sulfonyl nitroindazole (1 equiv.) in EtOH/H2O (3:2 (v/v)), NH4Cl (5 equiv.) is added. After 5 min, zinc (3 equiv.) is added and the mixture is stirred for 3 h at room temperature. The mixture is filtered under pressure and dissolved in ethyl acetate (EtOAc). The organic phase is washed with brine, dried with magnesium sulfate, and concentrated under reduced pressure. The residue product is used without further purification.
1-((2,5-Dimethoxyphenyl)sulfonyl)-1H-indazol-5-amine (8). This compound is prepared by the reduction reaction method. The crude residue is purified by silica gel column chromatography using DCM 100% as an eluent, to give the expected product 8 as a white solid (172 mg, 95%). m.p. 213–214 °C. 1H NMR (600 MHz, DMSO-d6) δ 8.13 (s, 1H), 7.69 (d, J = 8.9 Hz, 1H), 7.29 (d, J = 3.1 Hz, 1H), 7.21 (dd, J = 9.1, 3.2 Hz, 1H), 7.03 (d, J = 8.9 Hz, 1H), 6.93 (dd, J = 9.1, 3.2 Hz, 1H), 6.76 (d, J = 3.1 Hz, 1H), 5.19 (s, 2H), 3.73 (s, 3H), 3.27 (s, 3H). 13C NMR (151 MHz, C2D6OS) δ 152.88, 151.90, 146.14, 141.35, 134.80, 126.71, 126.46, 122.45, 119.59, 115.52, 114.64, 114.14, 102.02, 56.83, 56.47. IR (neat): υ 3439 (NH), 3357 (NH), 1621 (C=N) cm−1. HRMS [M + H]+ calculated for C15H16N3O4S: 334.0783, found: 334.0860.
2.1.4. General Method for the Preparation of Intermediates 12, 15–17
To a solution of amine (1 equiv.) and Et3N (3 equiv.) in DCM (3 mL), a solution of sulfonyl chloride (1 equiv.) in DCM (2 mL) is added dropwise, and the mixture is stirred for 4 h at room temperature. The reaction medium is washed with 20 mL of a saturated aqueous solution of sodium bicarbonate. The organic phase is extracted three times with DCM, dried over magnesium sulfate, and concentrated under reduced pressure. In the case of intermediates containing the Boc function, the deprotection is realized in the mixture of dioxane/HCl at room temperature for 1 h. The residue product is used without further purification.
2.1.5. General Method of Amidification Reaction: Preparation of 9, 10, 13 and 18–20
To a solution of EDC (1.1 equiv.), HOBt (1.1 equiv.), and EA (1 equiv.) in DCM (5 mL), amine (1 equiv.) is added at 0 °C and the mixture is stirred for 1 h then at room temperature for 24 h. The mixture is extracted with DCM and the combined organic phases are washed with brine, dried over magnesium sulfate, and concentrated under pressure. The crude residue is purified by silica gel column chromatography.
N-(1-((2-chloro-5-methoxyphenyl)sulfonyl)-1H-indazol-5-yl)-2-(2,3-dichloro-4-(2-methylenebutanoyl)phenoxy)acetamide (9). Compound 9 is prepared according to the amidification reaction method. The crude residue is purified by silica gel column chromatography using DCM/EtOAc (8:2 (v/v)) as an eluent, to obtain the expected product as a white solid (151 mg, 82%). m.p. 216–217 °C. 1H NMR (600 MHz, CD2Cl2) δ 8.72 (s, 1H), 8.31 (s, 1H), 8.18 (s, 1H), 8.16 (s, 1H), 8.11(d, J = 8.4, 1H) 7.61 (d, J = 9.2, 1H), 7.52 (d, J = 9.2, 1H), 7.25 (d, J = 8.4, 1H), 7.00 (d, J = 8.7 Hz, 1H),6.83 (d, J = 8.7 Hz, 1H), 6.00 (s, 1H), 5.61 (s, 1H), 4.76 (s, 2H), 3.39 (s, 3H), 2.46 (q, J = 7.4 Hz, 2H), 1.15 (t, J = 7.4, 3H). 13C NMR (151 MHz, CD2Cl2) δ 196.05, 165.66, 157.10, 155.11, 150.92, 141.75, 139.61, 136.63, 135.28, 134.00, 132.00, 131.19, 129.61, 128.19, 127.90, 126.27, 126.16, 123.46, 123.00, 115.17, 114.67, 112.26, 69.25, 56.88, 43.94, 24.13, 12.96. IR (neat): υ 3388 (NH), 1669 (C=O) cm−1. HRMS [M + H]+ calculated for C27H23Cl3N3O6S: 622,0295, found: 622.0331.
2-(2,3-Dichloro-4-(2-methylenebutanoyl)phenoxy)-N-(1-((2,5-dimethoxyphenyl)sulfonyl)-1H-indazol-5-yl)acetamide (10). Compound 10 is prepared according to the amidification reaction method. The crude residue is purified by silica gel column chromatography using DCM/EtOAc (8:2 (v/v)) as an eluent, to obtain the expected product 10 as a white solid (163 mg, 88%). m.p. 204–205 °C. 1H NMR (600 MHz, CD2Cl2) δ 8.71 (s, 1H), 8.30 (s, 1H), 8.17 (s, 2H), 7.62 (s, 2H), 7.24 (s, 1H), 7.12 (s, 1H), 7.01 (s, 1H), 6.83 (s, 1H), 5.99 (s, 1H), 5.61 (s, 1H), 4.75 (s, 2H), 3.85 (s, 3H), 3.34 (s, 3H), 2.49 (s, 2H), 1.13 (s, 3H). 13C NMR (151 MHz, CD2Cl2) δ 195.36, 164.93, 154.41, 153.10, 151.88, 150.21, 140.63, 138.97, 134.55, 133.10, 131.29, 128.92, 127.48, 126.15, 125.34,122.94, 122.40, 122.17, 114.82, 114.57, 113.96, 111.54, 111.44, 68.53, 56.16, 23.42, 15.14, 12,26. IR (neat): υ 3259 (NH), 1690 (C=O) cm−1. HRMS [M + H]+ calculated for C28H26Cl2N3O7S: 618.0790, found: 618.0864.
N-(4-(2-((2-chloro-5-methoxyphenyl)sulfonamido)ethyl)phenyl)-2-(2,3-dichloro-4-(2-methylenebutanoyl)phenoxy)acetamide (13). Compound 13 is prepared according to the amidification reaction method. The crude residue is purified by silica gel column chromatography using DCM/EtOAc (8:2 (v/v)) as an eluent, to obtain the expected product as a white solid (70 mg, 39%). 1H NMR (600 MHz, CDCl3) δ 8.52 (s, 1H), 7.86 (s, 1H), 7.56 (d, J = 2.6 Hz, 2H), 7.47 (d, J = 8.8, 1H), 7.23 (d, J = 8.4 Hz, 1H), 7.10 (d, J = 2.6 Hz, 2H), 6.93 (d, J = 8.4 Hz, 1H), 6.89 (d, J = 8.8 Hz, 1H), 5.98 (s, 1H), 5.60 (s, 1H), 4.85 (t, J = 6.6 Hz, 1H), 4.70 (s, 2H), 3.72 (s, 3H), 3.18 (q, J = 6.6 Hz, 2H), 2.79 (t, J = 6.6 Hz, 2H), 2.48 (q, J = 7.4, 1.2 Hz, 2H), 1.16 (t, J = 7.4 Hz, 3H). 13C NMR (151 MHz, CDCl3) δ 195.53, 164.76, 154.62, 154.33, 150.28, 135.53, 134.73, 134.72, 134.16, 131.72, 130.05, 129.54 (2C), 128.98, 128.52, 127.44, 126.01, 123.11, 120.54(2C), 113.41, 111.34, 68.43, 56.60, 44.52, 35.03, 29.78, 23.48, 12.48. IR (neat): υ 3404 (NH), 1661 (C=O) cm−1. HRMS [M + H]+ calculated for C28H28Cl3N2O6S: 625.0655, found: 625.0727.
2-(2,3-Dichloro-4-(2-methylenebutanoyl)phenoxy)-N-(1-((2,5-dimethoxyphenyl)sulfonyl)piperidin-4-yl)acetamide (18). Compound 18 is prepared according to the amidification reaction method, and the crude residue is purified by silica gel column chromatography using DCM/EtOAc (8:2 (v/v)) as an eluent, to obtain the expected product as a white solid (77 mg, 40%). m.p. 161–162 °C. 1H NMR (600 MHz, CDCl3) δ 7.43 (d, J = 3.1 Hz, 1H), 7.18 (d, J = 8.5 Hz, 1H), 7.06 (d, J = 9.0, 3.2 Hz, 1H), 6.97 (d, J = 9.0, 3.2 Hz, 1H), 6.84 (d, J = 8.5 Hz, 1H), 6.76 (d, J = 8.2 Hz, 1H), 5.96 (s, 1H), 5.57 (s, 1H), 4.53 (s, 2H), 3.98 (d, J = 4.9 Hz, 1H), 3.88 (s, 3H), 3.80 (s, 4H), 2.89 (m, 2H), 2.47 (t, J = 7.5 Hz, 2H), 2.02 (q, J = 13.3, 3.9 Hz, 2H), 1.64 (m, J = 14.8 Hz, 2H), 1.24 (d, J = 4.9 Hz, 1H), 1.15 (t, J = 7.4 Hz, 3H). 13C NMR (151 MHz, CDCl3) δ 195.43, 165.99, 154.29, 153.01, 150.88, 150.10, 134.28, 131.46, 128.73, 127.19, 127.02, 122.85, 120.28, 115.93, 113.94, 110.94, 68.07, 56.61, 55.95, 45.62, 44.65, 31.76 (2C), 29.61, 23.31, 12.30. IR (neat): ν 3396 (NH), 1667 (C=O) cm−1. HRMS [M + H]+ calculated for C26H31Cl2N2O7S: 585.1151, found: 585.12085.
N-(1-((4-Cyanophenyl)sulfonyl)piperidin-4-yl)-2-(2,3-dichloro-4-(2-methylenebutanoyl) phenoxy)acetamide (19). Compound 19 is prepared according to the amidification reaction method, and the crude residue is purified by silica gel column chromatography using DCM/EtOAc (8:2 (v/v)) as an eluent, to obtain the expected product as a white solid (70 mg, 39%). m.p. 200–201 °C. 1H NMR (600 MHz, CDCl3) δ 7.88 (m, 4H), 7.18 (d, J = 8.4 Hz, 1H), 6.83 (d, J = 8.4 Hz, 1H), 6.75 (d, J = 8.2 Hz, 1H), 5.96 (s, 1H), 5.57 (s, 1H), 4.52 (s, 2H), 3.92 (m, 1H), 3.69 (t, J = 11.8 Hz, 2H), 2.66 (t, J = 11.2 Hz, 2H), 2.47 (q, J = 7.4 Hz, 2H), 2.08 (t, J = 13.4, 4.0 Hz, 2H), 1.67 (t, 2H), 1.15 (t, J = 7.4 Hz, 3H). 13C NMR (151 MHz, CDCl3) δ 195.81, 166.49, 154.61, 150.54, 141.04, 134.84, 133.37 (2C), 131.93, 129.18, 128.49 (2C), 127.65, 123.18, 117.52, 117.16, 111.39, 68.47, 45.41, 45.13(2C), 31.50 (2C), 23.74, 12.73.IR (neat): ν 3323 (NH), 2239 (CN), 1665 (C=O) cm−1. HRMS [M + H]+ calculated for C25H26Cl2N3O5S: 550.0892, found: 550.09467.
N-(1-((3-cyanophenyl)sulfonyl)piperidin-4-yl)-2-(2,3-dichloro-4-(2-methylenebutanoyl) phenoxy)acetamide (20). Compound 20 is prepared according to the amidification reaction method. The crude residue is purified by silica gel column chromatography using DCM/EtOAc (8:2 (v/v)) as an eluent, to obtain the expected product as a white solid (57 mg, yield of 32%). m.p. 205–206 °C. 1H NMR (600 MHz, CDCl3) δ 7.98–7.76 (m, 4H), 7.19 (d, J = 8.4 Hz, 1H), 6.83 (d, J = 8.4 Hz, 1H), 6.75 (d, J = 8.2 Hz, 1H), 5.96 (s, 1H), 5.57 (s, 1H), 4.52 (s, 2H), 3.97–3.85 (m, 1H), 3.69 (t, J = 11.8 Hz, 2H), 2.66 (t, J = 11.2 Hz, 2H), 2.47 (q, J = 7.4 Hz, 2H), 2.08 (t, J = 13.4, 4.0 Hz, 2H), 1.72–1.63 (t, 2H), 1.15 (t, J = 7.4 Hz, 3H). 13C NMR (151 MHz, CDCl3) δ 195.81, 166.49, 154.63, 150.54, 138.54, 136.41, 134.81, 131.91, 131.74, 131.41, 130.66, 129.19, 127.65, 123.21, 117.40, 114.35, 111.39, 68.47, 45.45, 45.20(2C), 31.47(2C), 23.74, 12.73.IR (neat): υ 3316 (NH), 2332 (CN), 1665 (C=O) cm−1. HRMS [M + H]+ calculated for C25H26Cl2N3O5S: 550.0892, found: 550.0963.
2.2. Biology
The proliferation of four cancer cell lines was assessed using a colorimetric MTT assay (thiazolyl blue tetrazolium bromide, obtained from Sigma, Saint-Quentin-Fallavier Cedex, France). The cancer cell lines and growth media were provided by the CLS Cell Line Service GmbH, Eppelheim, Germany. The cell lines studied included human skin melanoma SK-MEL-28, human brain glioma HS683, human lung carcinoma A-549, and human breast adenocarcinoma MCF-7, alongside normal human keratinocytes (HaCaT). SK-MEL-28 and HS683 were cultured in DMEM supplemented with 4.5 g/L glucose, 2 mM L-glutamine, and 10% fetal bovine serum (FBS). The A-549 cell line was cultured in a 1:1 mixture of DMEM and Ham’s F12 medium, supplemented with 2 mM L-glutamine and 5% FBS. MCF-7 cells were cultured in EMEM supplemented with 2 mM L-glutamine, sodium pyruvate, non-essential amino acids (NEAA), 10 µg/mL human insulin, and 10% FBS. The HaCaT cell line was cultured in DMEM supplemented with 10% (v/v) FBS, 2 mM L-glutamine, 100 units/mL penicillin, and 100 μg/mL streptomycin (complete medium). The MTT assay is based on the reduction of the yellow MTT compound to a purple-blue formazan by mitochondrial dehydrogenases in metabolically active cells. The intensity of the resulting blue color, measured by spectrophotometry, is directly proportional to the number of viable cells after incubation with (or without, as a control) the test compounds. Cells were seeded (100 µL of a 2.5 × 104 cells/mL suspension) into 96-well culture plates (Nunc™ Edge 2.0, Fisher, Illkirch Cedex, France) and incubated for 24 h. The test compounds, initially dissolved in DMSO (stable for months), were tested in serial dilutions (four concentrations in 0.1% DMSO at the highest concentration) in triplicate (n = 3) and incubated for 72 h. Subsequently, a solution of MTT (5 mg/mL in PBS) was added to each well (10% v/v), and the cells were incubated for an additional 4 h. After removing the culture medium, the formed blue formazan crystals were dissolved in 100 µL of 100% DMSO, and absorbance was measured at 540 nm with a reference wavelength of 620 nm. Absorbance readings from the untreated cell lines under the same conditions were used to generate a standard curve, enabling the determination of IC50 values, which indicate the concentration required to inhibit cell growth by 50%.
2.3. Molecular Docking
The molecular docking simulation is a powerful method utilized to investigate the binding capability of our top compounds 9, 10, and 13 with the active sites of MAPK1 (PDB code: 2OJI), JAK2 (PDB code: 3KRR), MET (PDB code: 3DKG), JAK3 (PDB code: 4Z16), and ROCK1 (PDB code: 6E9W) kinases. The process begins by collecting the crystal structures of these kinases from the RSCB protein data base (https://www.rcsb.org/, 12 March 2024) [34]. Each crystal structure obtained includes the kinase bound to water molecules and co-crystallized ligands. Using Discovery Studio 2016 client software, all of the water molecules and co-crystallized ligands in the structure of each kinase are removed [35]. Next, AutoDockTools-1.5.6 is employed to add polar hydrogens and Kollman charges to the structure of the prepared kinases. After that, the prepared structures are converted to PDBQT format using AutoDockTools-1.5.6 [36]. The grid size is determined by keeping the ligand co-crystallized in each kinase (40 Å in all directions), and the grid center (x, y, and z) is determined by the sphere enveloping the ligand co-crystallized in each kinase. Simultaneously, the structures of our best compounds 9, 10, and 13 are minimized using Sybyl-X 2.0 software [37]. The minimized structure for each compound is converted to PDBQT format using AutoDockTools-1.5.6. The prepared ligands 9, 10, and 13 are docked in the active site of each kinase using AutoDock Vina [36]. The obtained results are visualized using Discovery Studio 2016 client software.
2.4. Drug Likeness and ADMET Proprieties
The in silico determination of drug likeness, pharmacokinetics, and toxicity profiles (ADMET) of a drug candidate is an essential step in the drug discovery process [38]. This step is carried out before in vivo trials in order to minimize the number and duration of in vivo trials, increase the success rate of in vivo trials, and minimize drug discovery costs [39,40]. The drug-like proprieties used to verify that the drug-like properties of our best compounds 9, 10, and 13 are likely to be orally bioavailable by applying the bioavailability rules of Lipinski and Veber [41,42]. The drug-like proprieties are predicted using the SwissADME online server [43]. The pharmacokinetics and toxicity profiles of our best compounds 9, 10, and 13 are used to verify whether our best compounds have favorable absorption, distribution, metabolism, excretion, and toxicity (ADMET) properties to become drug candidates. The ADMET proprieties are predicted using the pkCSM online server [44].
2.5. Molecular Dynamics Simulation
Molecular dynamics (MD) simulation is a computational method used to study the stability of a molecular system over time, under specific conditions [45]. The MD simulation of the ligand–protein complexes is carried out using the academic version of Schrödinger 2021 software [46]. The ligand–protein complexes were subjected to energy minimization by applying the OPLS3e force field [47]. The minimized complex is placed in the center of an ortho-rhombic cubic box and solvated using a single-point charge (SPC) model of water [48]. The charge of the solvated system is neutralized by adding Na+ and Cl− ions at a concentration of 0.15 M [49]. The energy of the solvated system is minimized by applying the force field OPLS3e. The MD simulation is run at a constant temperature (300 K) and pressure (1 bar) for 100 ns. The temperature and pressure are set at constant values (300 K and 1 bar) during the simulation using an NPT ensemble of Nosé–Hoover and Barostat thermostats [50,51].
3. Results and Discussion
3.1. Chemistry
The general synthetic pathways shown in Scheme 2 and Scheme 3 were employed for the preparation of the new series of EA-sulfonamides and indazole-sulfonamides.
Scheme 2.
Synthesis of new indazole-sulfonamide derivatives 1, 2, and 4–8.
Scheme 3.
Synthesis of new EA-sulfonamide derivatives 9, 10, 13, and 18–20.
In the first approach (Scheme 2), we prepared compounds 1 and 2, with 24% and 38% yields, respectively. First, a reduction reaction occurs on 4/7-nitro-1H-indazoles using ammonium chloride and zinc in a mixture of ethanol and water. Afterwards, a sulfonylation reaction takes place between 2-chloro-5-methoxybenzenesulfonyl chloride and 4/7-amino-1H-indazoles in the presence of pyridine and 4-dimethylaminopyridine (DMAP); when it comes to the preparation of indazole-sulfonamides 4–6, the reaction between 5-nitro-1H-indazole and sulfonyl chloride derivatives in the presence of sodium hydride (NaH) in N,N-dimethylformamide (DMF) at room temperature for 6 h afforded 4–6 in good yields (54–88%). Subsequently, the nitro group at the 5-position of indazole derivatives 4 and 6 was reduced using ammonium chloride and zinc (NH4Cl, Zn) in a mixture of ethanol and water for 3 h at room temperature to give 7 and 8 in 92 and 95% yield, respectively. All final products were purified with chromatography using different proportions of DCM/EtOAc as an eluent. Their chemical structures were characterized by 1H and 13C NMR, IR, and HRMS.
In the second approach (Scheme 3), we prepared a new family of EA-sulfonamides by modifying the carboxylic acid part of EA. The compounds 9 and 10 were synthesized according to an amidification reaction by reacting commercially available EA with the synthesized aminosulfonamides 7 and 8 in the presence of triethylamine (Et3N), N-(3-dimethylaminopropyl)-N-ethylcarbodiimide hydrochloride (EDC), and hydroxybenzotriazole (HOBt) as activating agents in DMF at 0 °C to room temperature overnight. The sulfonamide intermediates 12 and 15–17 were synthesized according to a sulfonylation reaction performed between sulfonyl chlorides and two series of linkers including 2-(4-aminophenyl) ethylamine (11) and 4-(N-Boc) aminopiperidine (14), in the presence of Et3N as a base in dichloromethane (DCM) as a solvent at room temperature for 4 h to give 12 and 15–17 as crude compounds. In the case of linker 14 containing the Boc, HCl in dioxane was added for the deprotection of the Boc group, giving the desired hydrochloride intermediates 15–17. These intermediates were dried and used directly in the next step without further purification. The compounds 13 and 18–20 were synthesized according to an amidification reaction by reacting EA with the synthesized aminosulfonamides 12 and 15–17. The EA-sulfonamide products were recovered in acceptable to good yields (32–88%). All the synthesized compounds in this study were purified by chromatography eluting with different proportions of DCM/EtOAc and characterized by 1H and 13C NMR, IR, and HRMS. All products were in full accordance with their depicted structures.
3.2. Biological Study
These two new families of EA-sulfonamide and indazole-sulfonamide compounds were evaluated for their in vitro inhibitory activity against two cancer cell lines, namely A-549 (human carcinoma lung) and MCF-7 (human adenocarcinoma breast). The effects of these compounds were compared with 5-fluorouracil and etoposide, which were used as reference compounds.
The results in Table 1 shed light on the cytotoxicity of different synthesized compounds against the A-549 and MCF-7 cancer cell lines. The indazole-sulfonamide compounds 1, 2, 5, 6, 7, and 8 do not seem to have much impact on either cancer cell line. On the other hand, compound 4 shows some promising activity against A-549, although it is not as effective as 5-fluorouracil and etoposide. Unfortunately, it does not show significant activity against MCF-7 cells.
Table 1.
The cytotoxic activities of the synthesized compounds and standard anticancer agents expressed in terms of IC50 (μM) a.
Regarding the EA-sulfonamide compounds 9, 10, 13, 18, 19, and 20, we observed good antiproliferative activity on either one or both cancer cell lines, with IC50 values in the low micromolar range. Compound 10 was the most active on the A-549 cell line with an IC50 value of 1.01 μM which is more active than the reference compounds 5-fluorouracil and etoposide. Interestingly, compounds 9, 13, and 18 displayed IC50 values of 0.83, 0.9, and 0.9 μM, respectively. These compounds are also more active than the reference compounds on MCF-7.
Furthermore, compound 9 shows high activity against the MCF-7 cell line with an IC50 of 0.83 μM while showing no antiproliferative activity against the A-549 cell line. In contrast, compound 10 exhibited moderate activity against the MCF-7 cell line and high activity against the A-549 cell line with an IC50 value of 1.01 μM. This difference in activity can be attributed to the modification of the sulfonyl moiety and the changeover from 2-methoxy-5-chloride phenyl sulfonyl in compound 9 to a 2,5-dimethoxy phenyl sulfonyl group in compound 10. The remarkable biological activity of compounds 9 and 10 is likely due to the insertion of EA which can be observed by comparison with their corresponding indazole analogs 7 and 8 which demonstrated no biological activity.
The use of 2-(4-aminophenyl) ethylamine as a linker in compound 13 instead of indazole in compound 9 led to a similar IC50 on MCF-7 compared to compound 9 and a moderate biological activity on the A-549 cell line, while compound 9 was not active. This modification could have influenced how the compound interacts with target receptors or intracellular pathways, potentially leading to improved efficacy.
Switching the linker from indazole in compound 10 to 4-(N-Boc) aminopiperidine in compound 18 seems to have enhanced the efficacy of compound 18 against A-549 cells when compared to compound 10. However, compound 10 still maintains a higher efficacy against MCF-7 cells. This modification of the linker could have influenced the compound’s pharmacokinetic behavior, leading to varying effectiveness against the two cancer cell lines.
Notably, we examined the effects of changing the sulfonyl group, going from 2,5-dimethoxy phenyl sulfonyl in compound 18 to 4-cyano phenyl sulfonyl in compound 19, and subsequently to 3-cyano phenyl sulfonyl in compound 20, while maintaining the same linker (4-(N-Boc)aminopiperidine). All four molecules exhibited a similar or better biological activity than the two reference compounds, 5-fluorouracil and etoposide, on both cell lines. Compound 18 was the most active on MCF-7 compared to 19, 20, and the reference compounds. This suggests that the change in the sulfonyl group structure may significantly impact the efficacy of the compounds against this particular cancer cell line.
In summary, the introduction of EA and the modification of the linker led to noticeable changes in the biological activity and selectivity of the synthesized compounds. In addition, the change in the structure of the sulfonyl moiety resulted in a significant change in their bioactivity and selectivity. Our results indicate that some compounds displayed antiproliferative activity comparable or superior to that shown by 5-fluorouracil and etoposide, while other compounds exhibited low or no bioactivity. Compounds 9, 10, 13, and 18 revealed the most promising results. Additionally, our results suggest that compounds 9, 13, and 18 displayed greater selectivity towards MCF-7, while compound 10 demonstrated selectivity towards A-549.
Next, we explored the in vitro cytotoxicity of the four hit compounds (9, 10, 13, and 18) against two additional cancer cell lines, namely human glioma brain (HS683) and human melanoma skin (SK-MEL-28), alongside normal human keratinocytes (HaCaT). This evaluation revealed varying degrees of activity against the tested cell lines (Table 2). Notably, the selected compounds exhibited no visible activity against the SK-MEL-28 cell line, while compound 13 demonstrated moderate cytotoxicity against the HS683 cell line with an IC50 of 28.8 μM which is better than 5-fluorouracil but moderate compared to etoposide. In contrast, compound 18 did not exhibit any antiproliferative activity against this particular cancer cell line. Remarkably, all four compounds exhibited less toxicity against the normal HaCaT cell line compared to 5-fluorouracil and etoposide, especially compounds 9 and 18.
Table 2.
The cytotoxic activities of four selected compounds and standard anticancer agents expressed in terms of IC50 (μM) a.
The safety index (SI) for the hit compounds 9, 10, 13, and 18 was determined by computing the ratio of the IC50 values between the non-cancerous HaCaT and cancer cells. Figure 1 depicts the results, confirming the absence of selectivity linked to our reference compounds, 5-fluorouracil and etoposide. Furthermore, they highlight the moderate-to-good selectivity profile of our selected compounds, notably with compound 9 exhibiting an excellent SI of 57.3 folds and compound 18 with SI = 39.1 folds for both molecules on the MCF-7 cell line.
Figure 1.
Selectivity index of 9, 10, 13, and 18.
3.3. Molecular Docking Study
Molecular docking was carried out to better elucidate the inhibitory properties of our hit compounds 9, 10, and 18 on A-549 and MCF-7 cells. Compound 18 was preferred to 13 due to its good SI and excellent antiproliferative activity against the A-549 cell line. Firstly, we have performed a screening of potential kinases implicated in tumorigenesis, based on the SwissTarget prediction (https://www.swisstargetprediction.ch/, accessed on 12 March 2024). This screening led us to select the following kinases: MAPK1, JAK2, MET, JAK3, and ROCK1. Before proceeding with the molecular docking of the selected compounds, it is essential to validate the capacity of the AutoDock Vina software ADT 1.2.0 2021) MGLTools 1.5.6 packages, and the resulting data were analyzed using Discovery Studio 2016 Client software to accurately predict the correct binding position in the active site of the selected kinases. To do this, the co-crystallized ligands of each kinase are re-docked in their active site. The obtained results are presented in Figure 2 and Table 3. Figure 2 shows that in the active site of each kinase, the re-docked ligand (blue) and the original ligand (red) are almost superimposed, with a root-mean-square deviation (RMSD) between the atomic positions of the re-docked ligand and the original ligand of less than 2 Å (Table 3) which indicate that the AutoDock Vina is capable of predicting the correct binding position in the active site of selected kinases with a high degree of precision.
Figure 2.
Molecular redocking of co-crystallized ligands within the kinases concerned: original (red) and re-docked (blue).
Table 3.
RMSD between original and re-docked ligands.
After validating the ability of AutoDock Vina to perform molecular docking with confidence, the hit compounds (9, 10, and 18) and reference compounds (5-fluorouracil and etoposide) are docked in the active sites of the five selected kinases. The obtained results are presented in Tables S1 and S2. The binding affinities of compounds 9, 10, 18, 5-fluorouracil, and etoposide with the selected kinases are shown in Table 4. According to the obtained results, ligands 9, 10, and 18 are able to bind to the active sites of the following kinases: MAPK1, JAK2, MET, JAK3, and ROCK1, via non-covalent bonds, indicating that these compounds have a good affinity for the active site of these kinases. From Table 4, we can see that the binding affinities of compounds 9, 10, and 18 in the active site of MAPK1, JAK2, MET, JAK3, and ROCK1 kinases are more negative than those of the reference compound (5-fluorouracil), which means that compounds 9, 10 and 18 have higher affinities for the active sites of MAPK1, JAK2, MET, JAK3 and ROCK1 kinases. These results show that compounds 9, 10, and 18 are more targeted and better localized in the active site of MAPK1, JAK2, MET, JAK3, and ROCK1 kinases than 5-fluorouracil. Additionally, we observe that the binding affinity of compound 9 in the ROCK1 kinase active site is more negative than that of the reference compound etoposide, which means that compound 9 has a higher affinity to the active site of ROCK1 kinase. These results show that compound 9 is more targeted and more localized in the ROCK1 kinase active site than etoposide. By comparing the binding affinities of ligands 9, 10, and 18 with the following kinases: MAPK1, JAK2, MET, JAK3, and ROCK1 (Tables S1 and S2), we find that the ligands have better binding affinities towards JAK3 kinase with a value of −9.4 kcal/mol, −9.1 kcal/mol, and −8.8 kcal/mol, respectively, indicating that JAK3 kinase is a better target for ligands 9, 10, and 18. Several studies have reported that JAK3 mutations are responsible for severe combined immunodeficiency (SCID) in humans, which is characterized by a lack of T cells [52,53]. Other studies have also reported that JAK3 mutations are responsible for acute megakaryoblastic leukemia and T-cell acute lymphoblastic leukemia [54,55]. The molecular docking results showed that compounds 9, 10, and 18 can be proposed as drug candidates for the treatment of lymphoid malignancies such as acute megakaryoblastic leukemia and T-cell acute lymphoblastic leukemia.
Table 4.
Binding affinities of the studied ligands 9, 10, 18, 5-fluorouracil, and etoposide in the active site of various kinases.
3.4. In Silico Study of Drug-Likeness Properties
In this work, the drug-likeness proprieties were used to study the oral bioavailability properties of our hit compounds 9, 10, 18 and to compare these properties with reference compounds (5-fluorouracil and etoposide). The drug-likeness properties of the studied compounds are predicted using the SwissADME online tool (https://www.swissadme.ch/, accessed on 11 February 2024) [55]. The obtained results are listed in Table 5. According to the obtained result, all analyzed molecules display a LogP value not exceeding 5, indicating that these compounds are soluble in aqueous solutions. Topological polar surface area (TPSA) is a molecular descriptor used to determine the surface area of a molecule occupied by polar atoms. TPSA is widely used in medicinal chemistry, drug design, and molecular modeling to predict a molecule’s ability to cross cell membranes. All of the analyzed compounds, except etoposide, have a TPSA value less than 140 Å2 and a hydrogen bond acceptor number lower than 10, indicating that these compounds have a better TPSA and a better number of H-bond donors than etoposide. All of the analyzed compounds have a number of H-bond donors lower than 5, which indicates that these compounds have a good number of hydrogen bond donors. The synthesis of these results shows that compounds 10 and 18 satisfy the Lipinski and Veber rules with one violation, but that the etoposide does not satisfy these rules, indicating that compounds 10 and 18 have a good oral bioavailability compared to etoposide.
Table 5.
Drug-likeness properties of the compounds 9, 10, 18, 5-fluorouracil, and etoposide.
3.5. In Silico Study of ADMET Properties
The prediction of absorption, distribution, metabolism, excretion, and toxicity (ADMET) properties is a crucial step in the drug discovery process, helping to identify compounds with favorable properties to become drug candidates before preclinical and clinical trials, which reduces the time and cost of drug discovery [39,56,57]. The ADMET properties of our hit compounds 9, 10, and 18 and reference compounds (5-fluorouracil and etoposide) are predicted using the pkCSM online server [58]. The obtained results are listed in Table 6. The absorption of a compound is judged to be good if its percentage of absorption by the human intestine exceeds 30%. According to the obtained result, all analyzed compounds have an intestinal absorption rate of over 75%, indicating that these compounds are highly absorbable by the human intestine. The drug distribution is measured by the permeability capacity of the central nervous system (CNS) and the blood–brain barrier (BBB). A drug is considered capable of crossing the BBB and the CNS if its logBB is greater than −1 and its logPS is greater than −3, respectively [41]. Table 6 shows that all analyzed compounds, except 5-fluorouracil, display a logBB of less than −1, indicating that these compounds are unable to penetrate the BBB. The analyzed compounds also display a logPS less than −3, indicating that these compounds are unable to penetrate the CNS. In terms of metabolism, the cytochrome P450 isoenzymes (CYPs) play an important role in the metabolism of approximately 90% of drugs. Among these isoenzymes, we find CYP1A2, CYP2C9, CYP2C19, CYP2D6, and CYP3A4. The inhibition of these isoenzymes leads to a reduction in drug metabolism, which has a positive influence on the concentration of drugs in the blood. According to our observations from Table 6, compounds 9, 10, and 18 demonstrate potential as both substrates and inhibitors of CYP3A4. In contrast, the reference compounds 5-fluorouracil and etoposide do not exhibit such activity, indicating a distinctive characteristic of previous compounds in this aspect. Moreover, we note that these same compounds, 9, 10, and 18, also exhibit inhibitory effects on CYP2C19 and CYP2C9, unlike the reference compounds which lack inhibitory activity against these cytochrome isoenzymes. These results indicate that the compounds 9, 10, and 18 are persistent in the body and have better metabolism properties compared to the reference compounds (5-fluorouracil and etoposide). In terms of excretion, the total clearance is an essential pharmacokinetic parameter for measuring the capacity of the body to eliminate a drug [59]. As a general rule, the total clearance value of a drug is low, which indicates that the drug has a long life in the body and that the probability of it reaching its therapeutic target is higher [60]. According to Table 6, the total clearance of compounds 9, 10, and 18 is lower than that of 5-fluorouracil, indicating that they have a longer life in the body than 5-fluorouracil. In terms of toxicity, the AMES test shows that the analyzed compounds are non-toxic.
Table 6.
ADMET properties of the compounds 9, 10, 18, 5-fluorouracil, and etoposide.
3.6. Molecular Dynamics Simulation
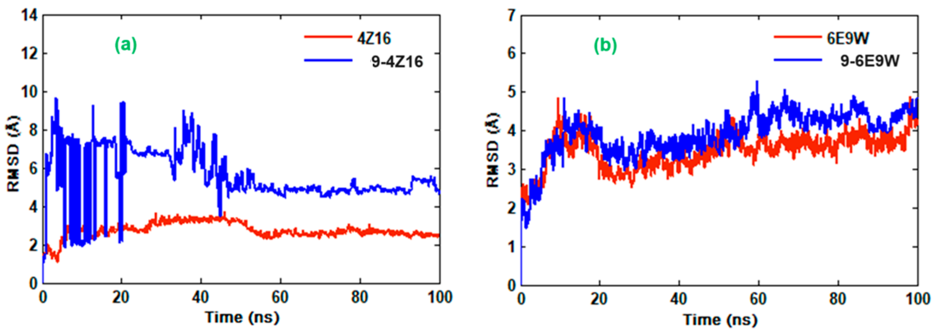
Molecular dynamics (MD) simulation is a widely used technique for studying the stability of ligand–protein complexes in an aqueous environment. In this study, we explored the stability of ligand 9 when complexed with two different kinases. We chose JAK3 (PDB code: 4Z16) because it shows a stronger binding affinity with ligand 9. Additionally, we examined ROCK1 (PDB code: 6E9W) since it is present in all of the tested cell lines. For this purpose, we carried out a molecular dynamics simulation during 100 ns for 4Z16 and 6E9W free and complexed with ligand 9. The obtained results are examined in terms of root mean square deviations (RMSD) (Figure 3), root mean square fluctuations (RMSF) (Figure 4), and ligand–protein contact (Figure 5).
Figure 3.
RMSD plots for (a) 4Z16, free and complexed with 9; and (b) 6E9W, free and complexed with 9.
Figure 4.
RMSF plots for (a) 4Z16, free and complexed with 9; and (b) 6E9W, free and complexed with 9.
Figure 5.
Histogram of interactions between ligand 9 and JAK3 (4Z16) and ROCK1 (6E9W) kinases for 100 ns: (a) 9 with 4Z16, and (b) 9 with 6E9W.
From Figure 3a, we observe that the RMSD plot of free 4Z16 increased at the start of the simulation and then became stable after 10 ns. We also observe the RMSD plot for ligand 9 complexed with 4Z16 (9–4Z16) show significant variation at the start of the simulation and become stable after 45 ns. These results indicate that the systems 4Z16 and 9–4Z16 underwent conformational changes during the initial period of the simulation to adapt to the aqueous environment in which they were found, and then became stable until the end of the simulation.
From Figure 3b, we observe that the RMSD plot of free 6E9W and that complexed with 9 (9–6E9W) increased at the start of the simulation and then became stable after 20 ns, which indicates that the 6E9W and 9–6E9W underwent conformational changes during the initial period of the simulation to adapt to the aqueous environment in which they were found, and then became stable until the end of the simulation. We also note that the RMSD plots for 6E9W and 9–6E9W are almost similar, indicating that the 6E9W is not affected in its stability by the insertion of the 9 ligand into its active site.
From Figure 4a, we note that the RMSF values of the majority of residues of free 4Z16 and 4Z16 complexed with 9 are less than 3Å, which shows that these residues fluctuate less and that the studied systems (4Z16 and 9–4Z16) are stable. We also note that the RMSF plot of 4Z16 is almost similar to the RMSF plots for 9–4Z16, which shows that the stability of 4Z16 is not affected by the insertion of 9 in its active site. The mean value of RMSF of 4Z16 and 9–4Z16 is, respectively, 1.03 Å and 1.09 Å; these values are low, which confirms that the majority of amino acid residues in the studied systems fluctuate less. The RMSF plot presents high fluctuations in amino acid residues (with residual index values between 150 and 160, which correspond to a loop region connecting two beta sheets). Despite the existence of these high fluctuations, the mean value of RMSD remains low, indicating that these fluctuations do not influence the overall stability of the complex.
From Figure 4b, the RMSF values of the majority of residues of free 6E9W and 6E9W complexed with 9 are low (less than 3 Å), which shows that these residues fluctuate less and that the studied systems (6E9W and 9–6E9W) are stable. The RMSF plot of 6E9W is almost similar to the RMSF plot of 9–4Z16, showing that the stability of 6E9W is not affected by the insertion of 9 into its active site. The mean value of RMSF of 6E9W and 9–6E9W is, respectively, 1.37 Å and 1.76 Å; these values are low, which confirms that the majority of amino acid residues in the studied systems fluctuate less. The RMSF plot presents high fluctuations in amino acid residues (with residual index values between 1 and 10, as well as between 350 and 360). Despite the existence of these high fluctuations, the mean value of RMSD remains low, indicating that these fluctuations do not influence the overall stability of the complex.
From Figure 5, the histograms of interactions between ligand 9 and JAK3 (4ZA6) and ROCK1 (6E9W) kinases show that hydrophobic interactions, hydrogen bonds, and water bridges make a significant contribution, while ionic bonds make little or no contribution, to the stability of ligand 9 in the active site of JAK3 (4ZA6) and ROCK1 (6E9W) kinases. They also show the existence of 10 amino acid residues of JAK3 kinase and 11 amino acid residues of ROCK1 kinase interacting with ligand 9 for more than 20% of the simulation time, which indicates that ligand 9 has significant stability in the 9–4Z16 and 9–6E9W complexes. Finally, the results of molecular dynamics simulations show that the molecular anchoring of ligand 9 in the active site of JAK3 and ROCK1 kinases leads to stable complexes.
4. Conclusions
In conclusion, two novel series of indazole and EA derivatives bearing sulfonamides were designed and synthesized through a sequence of chemical reactions in moderate-to-good yields. EA derivatives containing sulfonamides exhibit superior cytotoxic activity compared to indazole-sulfonamides. Among the newly identified hit compounds, 9, 10, 13, and 18 demonstrated promising cytotoxic efficacies against A-549 and MCF-7 cells at low micromolar concentrations. While compounds 9, 13, and 18 demonstrated the most potent activity against MCF-7, with an IC50 value of 0.83 and 0.9 µM, respectively, compound 10 displayed a similar potency against A-549, with an IC50 value of 1.01 µM. The molecular docking studies provided insights into their binding affinity with selected protein kinase targets, indicating their potential as novel anticancer agents. According to the results from molecular docking, compounds 9, 10, and 18 emerge as promising candidates for the treatment of lymphoid malignancies like acute megakaryoblastic leukemia and T-cell acute lymphoblastic leukemia. This conclusion stems from their notably stronger binding affinities towards JAK3 kinase, suggesting their potential effectiveness in therapeutic interventions targeting these conditions. As to molecular dynamics simulations, it is revealed that both JAK3 and ROCK1 kinase complexes with ligand 9 undergo initial conformational adjustments before stabilizing throughout the simulation. An analysis of RMSD and RMSF indicates minimal fluctuations, affirming structural integrity. Hydrophobic interactions, hydrogen bonds, and water bridges dominate ligand–protein interactions, ensuring stable anchoring within the active sites. These insights enhance our understanding of ligand binding dynamics and have implications for drug discovery targeting JAK3 and ROCK1 kinases.
Supplementary Materials
The following supporting information can be downloaded at: https://www.mdpi.com/article/10.3390/chemistry6060083/s1, Figures S1–S22: 1H and 13C NMR spectra of compounds 1, 2, 5, 6, 8–10, 13, 18–20; Figures S23 and S33: HRMS spectra of compounds 1, 2, 5, 6, 8–10, 13, 18–20; Table S1: Molecular docking of ligands 9, 10, and 18; Table S2: Molecular docking of 5-fluorouracil and etoposide.
Author Contributions
Conceptualization, S.E.K., G.G. and N.E.B.; methodology, S.E.K.; software, R.H., A.E.A. and S.E.; validation, S.E.K., G.G. and N.E.B.; formal analysis, R.H., A.E.A. and S.E.; investigation, S.E.K.; resources, S.E.K.; data curation, S.E. and G.G.; writing—original draft preparation, N.S., A.E.A. and N.E.B.; writ-ing—review and editing, S.E., G.G. and N.E.B.; visualization, S.E.K.; supervision, S.E.K. and N.E.B.; project administration, S.E.K. All authors have read and agreed to the published version of the manuscript.
Funding
This research received no external funding.
Data Availability Statement
Data are contained within the article or the Supplementary Materials.
Acknowledgments
The authors appreciate the financial support from the University Euromed of Fes. N.S. is grateful to Euromed University for the Ph.D. scholarship. The authors are also grateful to the biochemistry platform at the ICOA of Orleans University for performing the in vitro tests.
Conflicts of Interest
The authors declare that they have no known competing financial interests or personal relationships that could have appeared to influence the work reported in this paper.
References
- Cheng, H.-C.; Qi, R.Z.; Paudel, H.; Zhu, H.-J. Regulation and Function of Protein Kinases and Phosphatases. Enzyme Res. 2011, 2011, 794089. [Google Scholar] [CrossRef] [PubMed]
- Malumbres, M. Physiological Relevance of Cell Cycle Kinases. Physiol. Rev. 2011, 91, 973–1007. [Google Scholar] [CrossRef] [PubMed]
- Wu, W.K.K.; Wang, X.J.; Cheng, A.S.L.; Luo, M.X.M.; Ng, S.S.M.; To, K.F.; Chan, F.K.L.; Cho, C.H.; Sung, J.J.Y.; Yu, J. Dysregulation and Crosstalk of Cellular Signaling Pathways in Colon Carcinogenesis. Crit. Rev. Oncol. Hematol. 2013, 86, 251–277. [Google Scholar] [CrossRef]
- Wu, W.K.K.; Cho, C.H.; Lee, C.W.; Fan, D.; Wu, K.; Yu, J.; Sung, J.J.Y. Dysregulation of Cellular Signaling in Gastric Cancer. Cancer Lett. 2010, 295, 144–153. [Google Scholar] [CrossRef] [PubMed]
- Naviglio, S.; Caraglia, M.; Abbruzzese, A.; Chiosi, E.; Di Gesto, D.; Marra, M.; Romano, M.; Sorrentino, A.; Sorvillo, L.; Spina, A.; et al. Protein Kinase A as a Biological Target in Cancer Therapy. Expert Opin. Ther. Targets 2009, 13, 83–92. [Google Scholar] [CrossRef]
- Kannaiyan, R.; Mahadevan, D. A Comprehensive Review of Protein Kinase Inhibitors for Cancer Therapy. Expert Rev. Anticancer Ther. 2018, 18, 1249–1270. [Google Scholar] [CrossRef]
- López-Lázaro, M. The Stem Cell Division Theory of Cancer. Crit. Rev. Oncol. Hematol. 2018, 123, 95–113. [Google Scholar] [CrossRef]
- Edelman, E.J.; Guinney, J.; Chi, J.-T.; Febbo, P.G.; Mukherjee, S. Modeling Cancer Progression via Pathway Dependencies. PLoS Comput. Biol. 2008, 4, e28. [Google Scholar] [CrossRef]
- Nacher, J.C.; Schwartz, J.-M. A Global View of Drug-Therapy Interactions. BMC Pharmacol. 2008, 8, 5. [Google Scholar] [CrossRef]
- Fisher, R.; Pusztai, L.; Swanton, C. Cancer Heterogeneity: Implications for Targeted Therapeutics. Br. J. Cancer 2013, 108, 479–485. [Google Scholar] [CrossRef]
- Urruticoechea, A.; Alemany, R.; Balart, J.; Villanueva, A.; Vinals, F.; Capella, G. Recent Advances in Cancer Therapy: An Overview. Curr. Pharm. Des. 2010, 16, 3–10. [Google Scholar] [CrossRef] [PubMed]
- Begg, A.C.; Stewart, F.A.; Vens, C. Strategies to improve radiotherapy with targeted drugs. Nat. Rev. Cancer 2011, 11, 239–253. [Google Scholar] [CrossRef] [PubMed]
- Reyes-Habito, C.M.; Roh, E.K. Cutaneous reactions to chemotherapeutic drugs and targeted therapies for cancer. J. Am. Acad. Dermatol. 2014, 71, 203.e1–203.e12. [Google Scholar] [CrossRef]
- Luo, Y.; Zeng, Z.; Liu, Y.; Liu, A. Reflecting on the Cardiac Toxicity in Non-Small Cell Lung Cancer in the Era of Immune Checkpoint Inhibitors Therapy Combined with Thoracic Radiotherapy. Biochim. Biophys. Acta BBA—Rev. Cancer 2023, 1878, 189008. [Google Scholar] [CrossRef] [PubMed]
- Goldberg, M.; McCurdy, D.K.; Foltz, E.L.; Bluemle, L.W. Effects of Ethacrynic Acid (a New Saluretic Agent) on Renal Diluting and Concentrating Mechanisms: Evidence for Site of Action in the Loop of Henle. J. Clin. Investig. 1964, 43, 201–216. [Google Scholar] [CrossRef]
- Awasthi, S.; Srivastava, S.K.; Ahmad, F.; Ahmad, H.; Ansari, G.A.S. Interactions of Glutathione S-Transferase-π with Ethacrynic Acid and Its Glutathione Conjugate. Biochim. Biophys. Acta BBA—Protein Struct. Mol. Enzymol. 1993, 1164, 173–178. [Google Scholar] [CrossRef]
- Păunescu, E.; Soudani, M.; Clavel, C.M.; Dyson, P.J. Varying the Metal to Ethacrynic Acid Ratio in Ruthenium(Ii)/Osmium(Ii)-p-Cymene Conjugates. J. Inorg. Biochem. 2017, 175, 198–207. [Google Scholar] [CrossRef]
- Wei, W.; Liu, Z.; Wu, X.; Gan, C.; Su, X.; Liu, H.; Que, H.; Zhang, Q.; Xue, Q.; Yue, L.; et al. Synthesis and Biological Evaluation of Indazole Derivatives as Anti-Cancer Agents. RSC Adv. 2021, 11, 15675–15687. [Google Scholar] [CrossRef]
- Chu, Y.; Cheng, H.; Tian, Z.; Zhao, J.; Li, G.; Chu, Y.; Sun, C.; Li, W. Rational Drug Design of Indazole-based Diarylurea Derivatives as Anticancer Agents. Chem. Biol. Drug Des. 2017, 90, 609–617. [Google Scholar] [CrossRef]
- Zhao, C.-R.; Wang, R.-Q.; Li, G.; Xue, X.-X.; Sun, C.-J.; Qu, X.-J.; Li, W.-B. Synthesis of indazole based diarylurea derivatives and their antiproliferative activity against tumor cell lines. Bioorg. Med. Chem. Lett. 2013, 23, 1989–1992. [Google Scholar] [CrossRef]
- Shang, C.; Hou, Y.; Meng, T.; Shi, M.; Cui, G. The anticancer activity of Indazole Compounds: A Mini Review. Curr. Top. Med. Chem. 2021, 21, 363–376. [Google Scholar] [CrossRef]
- Apaydın, S.; Török, M. Sulfonamide Derivatives as Multi-Target Agents for Complex Diseases. Bioorg. Med. Chem. Lett. 2019, 29, 2042–2050. [Google Scholar] [CrossRef] [PubMed]
- Supuran, C. Special Issue: Sulfonamides. Molecules 2017, 22, 1642. [Google Scholar] [CrossRef] [PubMed]
- Scozzafava, A.; Owa, T.; Mastrolorenzo, A.; Supuran, C. Anticancer and Antiviral Sulfonamides. Curr. Med. Chem. 2003, 10, 925–953. [Google Scholar] [CrossRef]
- Gao, F.; Zhang, X.; Wang, T.; Xiao, J. Quinolone hybrids and their anti-cancer activities: An overview. Eur. J. Med. Chem. 2019, 165, 59–79. [Google Scholar] [CrossRef] [PubMed]
- Miyamoto, S.; Kakutani, S.; Sato, Y.; Hanashi, A.; Kinoshita, Y.; Ishikawa, A. Drug Review: Pazopanib. Jpn. J. Clin. Oncol. 2018, 48, 503–513. [Google Scholar] [CrossRef]
- El Brahmi, N.; El Abbouchi, A.; El Kazzouli, S. An Overview on the Synthesis and Anticancer Properties of Ethacrynic Acid and Their Analogues. Results Chem. 2023, 6, 101117. [Google Scholar] [CrossRef]
- El Abbouchi, A.; Mkhayar, K.; Elkhattabi, S.; El Brahmi, N.; Hiebel, M.-A.; Bignon, J.; Guillaumet, G.; Suzenet, F.; El Kazzouli, S. Design, Synthesis, Computational Studies, and Anti-Proliferative Evaluation of Novel Ethacrynic Acid Derivatives Containing Nitrogen Heterocycle, Urea, and Thiourea Moieties as Anticancer Agents. Molecules 2024, 29, 1437. [Google Scholar] [CrossRef]
- El Abbouchi, A.; El Brahmi, N.; Hiebel, M.-A.; Bignon, J.; Guillaumet, G.; Suzenet, F.; El Kazzouli, S. Synthesis and biological evaluation of ethacrynic acid derivatives bearing sulfonamides as potent anti-cancer agents. Bioorganic Med. Chem. Lett. 2020, 30, 127426. [Google Scholar] [CrossRef]
- El Abbouchi, A.; El Brahmi, N.; Hiebel, M.-A.; Bignon, J.; Guillaumet, G.; Suzenet, F.; El Kazzouli, S. Synthesis and evaluation of a novel class of ethacrynic acid derivatives containing triazoles as potent anticancer agents. Bioorganic Chem. 2021, 115, 105293. [Google Scholar] [CrossRef]
- Boujdi, K.; El Brahmi, N.; Graton, J.; Dubreuil, D.; Collet, S.; Mathé-Allainmat, M.; Akssira, M.; Lebreton, J.; El Kazzouli, S. A regioselective C7 bromination and C7 palladium-catalyzed Suzuki–Miyaura cross-coupling arylation of 4-substituted NH-free indazoles. RSC Adv. 2021, 11, 7107–7114. [Google Scholar] [CrossRef] [PubMed]
- Gambouz, K.; El Abbouchi, A.; Nassiri, S.; Suzenet, F.; Bousmina, M.; Akssira, M.; Guillaumet, G.; El Kazzouli, S. “On Water” Palladium Catalyzed Direct Arylation of 1H-Indazole and 1H-7-Azaindazole. Molecules 2020, 25, 2820. [Google Scholar] [CrossRef] [PubMed]
- Saghdani, N.; Chihab, A.; El Brahmi, N.; El Kazzouli, S. Synthesis and Characterization of Novel Indazole–Sulfonamide Compounds with Potential MAPK1 Inhibitory Activity for Cancer Treatment. Molbank 2024, 2024, M1858. [Google Scholar] [CrossRef]
- RCSB PDB: Homepage. Available online: https://www.rcsb.org/ (accessed on 12 March 2024).
- Namitha, K.N.; Velmurugan, V. Review of Bioinformatic Tools Used in Computer Aided Drug Design (CADD). World J. Adv. Res. Rev. 2022, 14, 453–465. [Google Scholar] [CrossRef]
- Allouche, A. Software News and Updates Gabedit—A Graphical User Interface for Computational Chemistry Softwares. J. Comput. Chem. 2012, 32, 174–182. [Google Scholar] [CrossRef]
- Certara Enhances SYBYL-X Drug Design and Discovery Software Suite|Certara. Available online: https://www.certara.com/pressrelease/certara-enhances-sybyl-x-drug-design-and-discovery-software-suite/ (accessed on 21 April 2022).
- Thangavel, N.; Albratty, M. Pharmacophore Model-Aided Virtual Screening Combined with Comparative Molecular Docking and Molecular Dynamics for Identification of Marine Natural Products as SARS-CoV-2 Papain-like Protease Inhibitors. Arab. J. Chem. 2022, 15, 104334. [Google Scholar] [CrossRef]
- Luo, D.; Tong, J.B.; Zhang, X.; Xiao, X.C.; Bian, S. Computational Strategies towards Developing Novel SARS-CoV-2 Mpro Inhibitors against COVID-19. J. Mol. Struct. 2022, 1247, 131378. [Google Scholar] [CrossRef]
- Haloui, R.; Daoui, O.; Mkhayar, K.; El Yaqoubi, M.; Elkhattabi, S.; Haoudi, A.; Rodi, Y.K.; Ouazzani, F.C.; Chtita, S. 3D-QSAR, Drug-Likeness, ADMET Prediction, and Molecular Docking Studies in Silico of Novel 5-Oxo-1-Thioxo-4,5-Dihydro-1H-Thiazolo [3,4-a]Quinazoline Derivatives as MALT1 Protease Inhibitors for the Treatment of B Cell Lymphoma. Chem. Pap. 2022, 77, 2255–2274. [Google Scholar] [CrossRef]
- Haloui, R.; Elkhattabi, K.; Mkhayar, K.; Daoui, O. Design of Novel Small Molecules Derived from Styrylpyridine as Potent HDAC1 Inhibitors for the Treatment of Gastric Cancer Using 3D-QSAR, Drug Similarity, ADMET Prediction, Molecular Docking, and Molecular Dynamics Studies. Sci. Afr. 2024, 23, e01990. [Google Scholar] [CrossRef]
- Azad, I.; Nasibullah, M.; Khan, T.; Hassan, F.; Akhter, Y. Exploring the Novel Heterocyclic Derivatives as Lead Molecules for Design and Development of Potent Anticancer Agents. J. Mol. Graph. Model. 2018, 81, 211–228. [Google Scholar] [CrossRef]
- Daina, A.; Michielin, O.; Zoete, V. SwissADME: A Free Web Tool to Evaluate Pharmacokinetics, Drug-Likeness and Medicinal Chemistry Friendliness of Small Molecules. Sci. Rep. 2017, 7, 42717. [Google Scholar] [CrossRef] [PubMed]
- Pires, D.E.V.; Blundell, T.L.; Ascher, D.B. pkCSM: Predicting Small-Molecule Pharmacokinetic and Toxicity Properties Using Graph-Based Signatures. J. Med. Chem. 2015, 58, 4066–4072. [Google Scholar] [CrossRef] [PubMed]
- Zhang, D.; Lazim, R. Application of Conventional Molecular Dynamics Simulation in Evaluating the Stability of Apomyoglobin in Urea Solution. Sci. Rep. 2017, 7, 44651. [Google Scholar] [CrossRef] [PubMed]
- Desmond|Schrödinger. Available online: https://www.schrodinger.com/products/desmond (accessed on 8 June 2023).
- Gopinath, P.; Kathiravan, M.K. Docking Studies and Molecular Dynamics Simulation of Triazole Benzene Sulfonamide Derivatives with Human Carbonic Anhydrase IX Inhibition Activity. RSC Adv. 2021, 11, 38079–38093. [Google Scholar] [CrossRef]
- Zielkiewicz, J. Structural Properties of Water: Comparison of the SPC, SPCE, TIP4P, and TIP5P Models of Water. J. Chem. Phys. 2005, 123, 104501. [Google Scholar] [CrossRef]
- Rajagopal, K.; Varakumar, P.; Aparna, B.; Byran, G.; Jupudi, S. Identification of Some Novel Oxazine Substituted 9-Anilinoacridines as SARS-CoV-2 Inhibitors for COVID-19 by Molecular Docking, Free Energy Calculation and Molecular Dynamics Studies. J. Biomol. Struct. Dyn. 2021, 39, 5551–5562. [Google Scholar] [CrossRef]
- Cheng, A.; Merz, K.M. Application of the Nosé−Hoover Chain Algorithm to the Study of Protein Dynamics. J. Phys. Chem. 1996, 100, 1927–1937. [Google Scholar] [CrossRef]
- Martyna, G.J.; Tobias, D.J.; Klein, M.L. Constant Pressure Molecular Dynamics Algorithms. J. Chem. Phys. 1994, 101, 4177–4189. [Google Scholar] [CrossRef]
- Notarangelo, L.D.; Mella, P.; Jones, A.; de Basile, G.S.; Savoldi, G.; Cranston, T.; Vihinen, M.; Schumacher, R.F. Mutations in Severe Combined Immune Deficiency (SCID) Due to JAK3 Deficiency. Hum. Mutat. 2001, 18, 255–263. [Google Scholar] [CrossRef]
- Russell, S.M.; Tayebi, N.; Nakajima, H.; Riedy, M.C.; Roberts, J.L.; Aman, M.J.; Migone, T.-S.; Noguchi, M.; Markert, M.L.; Buckley, R.H.; et al. Mutation of Jak3 in a Patient with SCID: Essential Role of Jak3 in Lymphoid Development. Science 1995, 270, 797–800. [Google Scholar] [CrossRef]
- Kiyoi, H.; Yamaji, S.; Kojima, S.; Naoe, T. JAK3 Mutations Occur in Acute Megakaryoblastic Leukemia Both in Down Syndrome Children and Non-Down Syndrome Adults. Leukemia 2007, 21, 574–576. [Google Scholar] [CrossRef] [PubMed]
- Bains, T.; Heinrich, M.C.; Loriaux, M.M.; Beadling, C.; Nelson, D.; Warrick, A.; Neff, T.L.; Tyner, J.W.; Dunlap, J.; Corless, C.L.; et al. Newly Described Activating JAK3 Mutations in T-Cell Acute Lymphoblastic Leukemia. Leukemia 2012, 26, 2144–2146. [Google Scholar] [CrossRef] [PubMed]
- Tibbitts, J.; Canter, D.; Graff, R.; Smith, A.; Khawli, L.A. Key factors influencing ADME properties of therapeutic proteins: A need for ADME characterization in drug discovery and development. MAbs 2016, 8, 229–245. [Google Scholar] [CrossRef] [PubMed]
- Haloui, R.; Mkhayar, K.; Daoui, O.; El Khattabi, K.; El Abbouchi, A.; Chtita, S.; Elkhattabi, S. Design of New Small Molecules Derived from Indolin-2-One as Potent TRKs Inhibitors Using a Computer-Aided Drug Design Approach. J. Biomol. Struct. Dyn. 2024, 1–18. [Google Scholar] [CrossRef]
- pkCSM. Available online: https://biosig.lab.uq.edu.au/pkcsm/ (accessed on 6 March 2024).
- Szakács, G.; Váradi, A.; Özvegy-Laczka, C.; Sarkadi, B. The Role of ABC Transporters in Drug Absorption, Distribution, Metabolism, Excretion and Toxicity (ADME-Tox). Drug Discov. Today 2008, 13, 379–393. [Google Scholar] [CrossRef]
- Fatima, S.; Gupta, P.; Sharma, S.; Sharma, A.; Agarwal, S.M. ADMET Profiling of Geographically Diverse Phytochemical Using Chemoinformatic Tools. Future Med. Chem. 2019, 12, 69–87. [Google Scholar] [CrossRef]
Disclaimer/Publisher’s Note: The statements, opinions and data contained in all publications are solely those of the individual author(s) and contributor(s) and not of MDPI and/or the editor(s). MDPI and/or the editor(s) disclaim responsibility for any injury to people or property resulting from any ideas, methods, instructions or products referred to in the content. |
© 2024 by the authors. Licensee MDPI, Basel, Switzerland. This article is an open access article distributed under the terms and conditions of the Creative Commons Attribution (CC BY) license (https://creativecommons.org/licenses/by/4.0/).







