Edaphic Response and Behavior of Agricultural Soils to Mechanical Perturbation in Tillage
Abstract
1. Introduction
2. Soil Disturbance in Tillage
2.1. Perturbable Properties of Soil Tillage
2.2. Intrinsic Characteristics of Edaphic Soil Disturbance
3. Tilled and Untilled Soil States
3.1. Dynamics of Soil Properties in Tillage
3.2. Tillage Methods and Physio Mechanical Properties of Soil
4. Edaphic Functionality of Arable Soils
4.1. Tillage Method and Edaphic Response of Soils
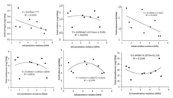
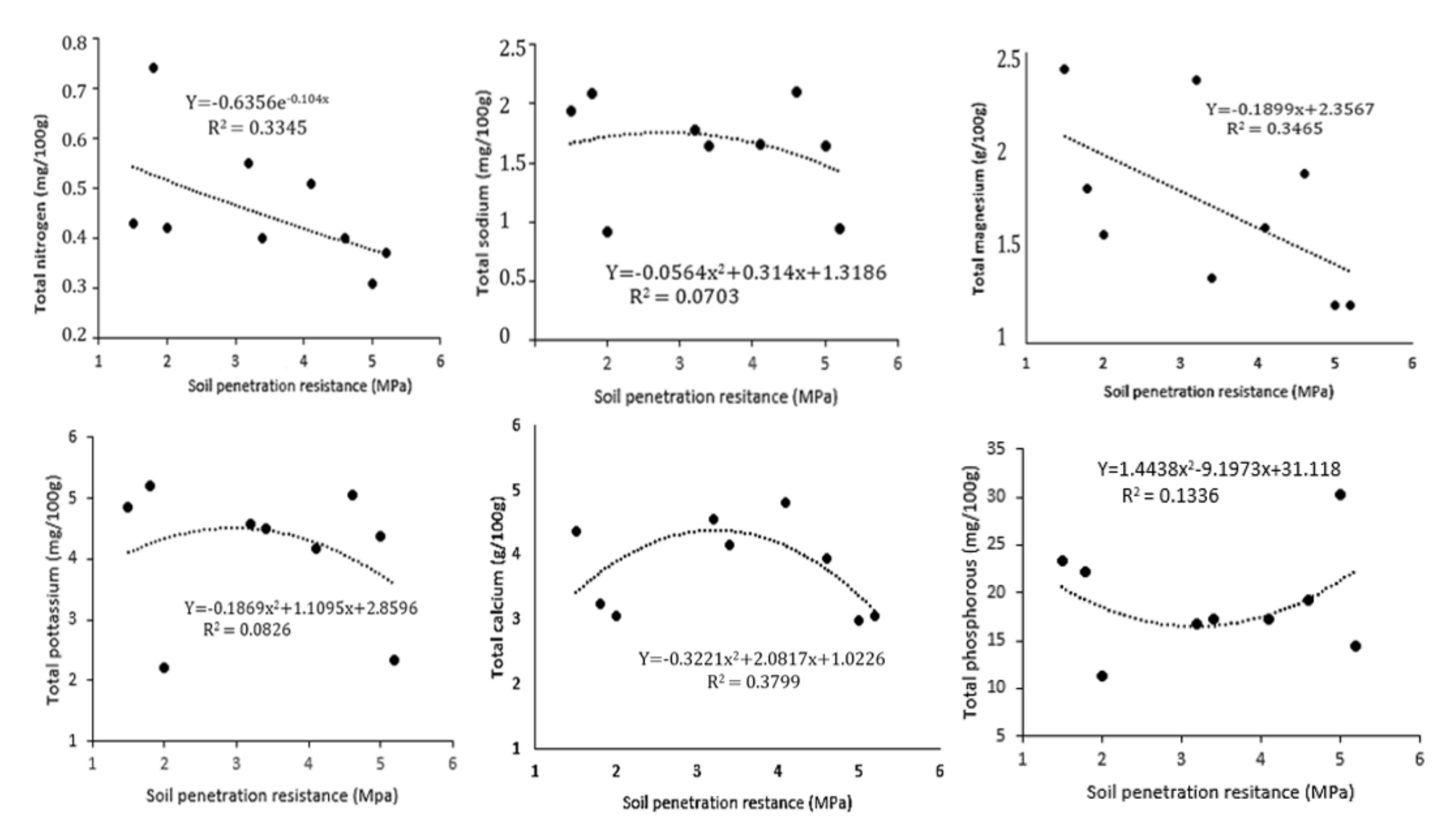
4.2. Soil Edaphic Properties and Mechanical Impedance
5. Crop Growth, Productivity, and Induced Mechanical Impedance
6. Conclusions and Recommendation
Author Contributions
Funding
Institutional Review Board Statement
Informed Consent Statement
Data Availability Statement
Conflicts of Interest
Nomenclature
| CI | Cone index |
| CP | Chisel plowing |
| CT | Conventional tillage |
| DM | Dry matter |
| Ksat | Saturated hydraulic conductivity |
| MP | Moldboard plowing |
| MT | Minimum tillage |
| NPK | Nitrogen, phosphorus, and potassium |
| NT | No-till |
| RT | Reduced tillage |
| SOC | Soil carbon |
| SOM | Soil organic matter |
| ε | Porosity |
| θ | Soil water content |
| ρ | Soil bulk density |
References
- Minhas, P.S. Edaphic stresses: Concerns and opportunities for management. In Abiotic Stress Management for Resilient Agriculture; Springer: Singapore, 2017; pp. 73–94. [Google Scholar] [CrossRef]
- Minhas, P.S.; Reddy, G.P.O. Edaphic stresses and agricultural sustainability: An Indian perspective. Agric. Res. 2017, 6, 8–21. [Google Scholar] [CrossRef]
- Jarvis, P.E.; Woolford, A.E. Economic and Ecological Benefits of Reduced Tillage in the UK. Frank Parkinson Agricultural Trust, Game & Wildlife Conservation Trust. 2017, pp. 1–13. Available online: https://www.agricology.co.uk/sites/default/files/Economic%20and%20ecological%20benefits%20of%20reduced%20tillage%20in%20the%20Uk%20-%20Final.pdf (accessed on 15 December 2021).
- Bacigaluppo, S.; Bodrero, M.L.; Balzarini, M.; Gerster, G.R.; Andriani, J.M.; Enrico, J.M.; Dardanelli, J.L. Main edaphic and climatic variables explaining soybean yield in Argiudolls under no-tilled systems. Eur. J. Agron. 2011, 35, 247–254. [Google Scholar] [CrossRef]
- Or, D.; Keller, T.; Schlesinger, W.H. Natural and managed soil structure: On the fragile scaffolding for soil functioning. Soil Tillage Res. 2021, 208, 104912. [Google Scholar] [CrossRef]
- Huggins, D.R.; Reganold, J.P. No-till: The quiet revolution. Sci. Am. 2008, 299, 70–77. [Google Scholar] [CrossRef]
- Muhammad, I.; Wang, J.; Sainju, U.M.; Zhang, S.; Zhao, F.; Khan, A. Cover cropping enhances soil microbial biomass and affects microbial community structure: A meta-analysis. Geoderma 2021, 381, 114696. [Google Scholar] [CrossRef]
- Watt, M.; Kirkegaard, J.A.; Passioura, J.B. Rhizosphere biology and crop productivity—A review. Soil Res. 2006, 44, 299–317. [Google Scholar] [CrossRef]
- Khan, A.; Jan, M.T.; Afzal, M.; Muhammad, I.; Amanullah, J.; Shah, Z. An integrated approach using organic amendments under a range of tillage practices to improve wheat productivity in a cereal-based cropping system. Int. J. Agric. Biol. 2015, 17, 467–474. [Google Scholar] [CrossRef]
- Muhammad, I.; Khan, F.; Khan, A.; Wang, J. Soil fertility in response to urea and farmyard manure incorporation under different tillage systems in Peshawar, Pakistan. Int. J. Agric. Biol. 2018, 20, 1539–1547. [Google Scholar] [CrossRef]
- Chandrasekhar, P.; Kreiselmeier, J.; Schwen, A.; Weninger, T.; Julich, S.; Feger, K.H.; Schwärzel, K. Modeling the evolution of soil structural pore space in agricultural soils following tillage. Geoderma 2019, 353, 401–414. [Google Scholar] [CrossRef]
- Abbaspour-Gilandeh, Y.; Fazeli, M.; Roshanianfard, A.; Hernández-Hernández, J.L.; Fuentes Penna, A.; Herrera-Miranda, I. Effect of Different Working and Tool Parameters on Performance of Several Types of Cultivators. Agriculture 2020, 10, 145. [Google Scholar] [CrossRef]
- Aikins, K.A.; Barr, J.B.; Ucgul, M.; Jensen, T.A.; Antille, D.L.; Desbiolles, J.M. No-tillage furrow opener performance: A review of tool geometry, settings and interactions with soil and crop residue. Soil Res. 2020, 58, 603–621. [Google Scholar] [CrossRef]
- Antille, D.L.; Peets, S.; Galambošová, J.; Botta, G.F.; Rataj, V.; Macak, M.; Godwin, R.J. Soil compaction and controlled traffic farming in arable and grass cropping systems. Agron. Res. 2019, 17, 653–682. [Google Scholar] [CrossRef]
- Botta, G.F.; Antille, D.L.; Bienvenido, F.; Rivero, D.; Avila-Pedraza, E.A.; Contessotto, E.E.; Ezquerra-Canalejo, A. Effect of cattle trampling and farm machinery traffic on soil compaction of an Entic Haplustoll in a semiarid region of Argentina. Agron. Res. 2020, 18, 1163–1176. [Google Scholar]
- Keen, A.; Hall, N.; Soni, P.; Gholkar, M.D.; Cooper, S.; Ferdous, J. A review of the tractive performance of wheeled tractors and soil management in lowland intensive rice production. J. Terramech. 2013, 50, 45–62. [Google Scholar] [CrossRef]
- Alaoui, A.; Lipiec, J.; Gerke, H.H. A review of the changes in the soil pore system due to soil deformation: A hydrodynamic perspective. Soil Tillage Res. 2011, 115, 1–15. [Google Scholar] [CrossRef]
- Schlüter, S.; Großmann, C.; Diel, J.; Wu, G.M.; Tischer, S.; Deubel, A.; Rücknagel, J. Long-term effects of conventional and reduced tillage on soil structure, soil ecological and soil hydraulic properties. Geoderma 2018, 332, 10–19. [Google Scholar] [CrossRef]
- Paustian, K.; Lehmann, J.; Ogle, S.; Reay, D.; Robertson, G.P.; Smith, P. Climate-smart soils. Nature 2016, 532, 49–57. [Google Scholar] [CrossRef]
- Novara, A.; Gristina, L.; Mantia, T.L.; Rühl, J. Soil carbon dynamics during secondary succession in a semi-arid Mediterranean environment. Biogeosciences Discuss. 2011, 8, 11107–11138. [Google Scholar] [CrossRef]
- Vlasyuk, A.; Zhukovska, N.; Zhukovskyy, V.; Hesham, R. Mathematical Modelling of Spatial Deformation Process of Soil Massif with Free Surface. In Conference on Computer Science and Information Technologies; Springer: Cham, Switzerland, 2019; pp. 107–120. [Google Scholar] [CrossRef]
- Pittelkow, C.M.; Liang, X.; Linquist, B.A.; van Groeningen, K.J.; Lee, J.; Lundy, M.E.; van Gestel, N.; Six, J.; Venterea, R.T.; van Kessel, C. Productivity limits and potentials of the principles of conservation agriculture. Nature 2015, 517, 365–368. [Google Scholar] [CrossRef]
- Chenu, C.; Angers, D.A.; Barré, P.; Derrien, D.; Arrouays, D.; Balesdent, J. Increasing organic stocks in agricultural soils: Knowledge gaps and potential innovations. Soil Tillage Res. 2019, 188, 41–52. [Google Scholar] [CrossRef]
- Oliveira, F.C.C.; Ferreira, G.W.D.; Souza, J.L.S.; Vieira, M.E.O.; Pedrotti, A. Soil physical properties and soil organic carbon content in northeast Brazil: Long-term tillage systems effects. Sci. Agric. 2020, 77. [Google Scholar] [CrossRef]
- Keller, T.; Sandin, M.; Colombi, T.; Horn, R.; Or, D. Historical increase in agricultural machinery weights enhanced soil stress levels and adversely affected soil functioning. Soil Tillage Res. 2019, 194, 104293. [Google Scholar] [CrossRef]
- Landl, M.; Schnepf, A.; Uteau, D.; Peth, S.; Athmann, M.; Kautz, T.; Vanderborght, J. Modeling the impact of biopores on root growth and root water uptake. Vadose Zone J. 2019, 18, 1–20. [Google Scholar] [CrossRef]
- Kahlon, M.S. Soil physical characteristics and crop productivity as affected by tillage in rice-wheat system. J. Agric. Sci. 2014, 6, 107. [Google Scholar] [CrossRef]
- Ahmad, N.; Hassan, F.U.; Belford, R.K. Effect of soil compaction in the sub-humid cropping environment in Pakistan on uptake of NPK and grain yield in wheat (Triticum aestivum): I. Compaction. Field Crops Res. 2009, 110, 54–60. [Google Scholar] [CrossRef]
- Comia, R.A.; Stenberg, M.; Nelson, P.; Rydberg, T.; Hakansson, I. Soil and crop responses to different tillage systems. Soil Tillage Res. 1994, 29, 335–355. [Google Scholar] [CrossRef]
- DavidMiller, J.; Culley, J.; Fraser, K.; Hubbard, S.; Meloche, F.; Ouellet, T.; Seaman, W.L.; Seifert, K.A.; Turkington, K.; Voldeng, H. Effect of tillage practice on Fusarium head blight of wheat. Can. J. Plant Pathol. 1998, 20, 95–103. [Google Scholar] [CrossRef]
- Blanco-Canqui, H. Biochar and soil physical properties. Soil Sci. Soc. Am. J. 2017, 81, 687–711. [Google Scholar] [CrossRef]
- Azooz, R.H.; Arshad, M.A. Soil water drying and recharge rates as affected by tillage under continuous barley and barley-canola cropping systems in northwestern Canada. Can. J. Soil Sci. 2001, 81, 45–52. [Google Scholar] [CrossRef]
- Chang, C.; Lindwall, C.W. Effects of tillage and crop rotation on physical properties of a loam soil. Soil Tillage Res. 1992, 22, 383–389. [Google Scholar] [CrossRef]
- Cresswell, H.P.; Painter, D.J.; Cameron, K.C. Tillage and water content effects on surface soil hydraulic properties and shortwave albedo. Soil Sci. Soc. Am. J. 1993, 57, 816–824. [Google Scholar] [CrossRef]
- Hu, W.; Tabley, F.; Beare, M.; Tregurtha, C.; Gillespie, R.; Qiu, W.; Gosden, P. Short-Term Dynamics of Soil Physical Properties as Affected by Compaction and Tillage in a Silt Loam Soil. Vadose Zone J. 2018, 17, 1–13. [Google Scholar] [CrossRef]
- Celik, I.; Günal, H.; Acar, M.; Acir, N.; Bereket Barut, Z.; Budak, M. Evaluating the long-term effects of tillage systems on soil structural quality using visual assessment and classical methods. Soil Use Manag. 2020, 36, 223–239. [Google Scholar] [CrossRef]
- Benjamin, J.G. Tillage effects on near-surface soil hydraulic properties. Soil Tillage Res. 1993, 26, 277–288. [Google Scholar] [CrossRef]
- Carter, M.R.; Steed, G.R. The effects of direct drilling and stubble retention on hydraulic properties at the surface of duplex soils in north-eastern Victoria. Soil Res. 1992, 30, 505–516. [Google Scholar] [CrossRef]
- Horne, D.J.; Ross, C.W.; Hughes, K.A. 10 years of a maize oats rotation under three tillage systems on a silt loam in New Zealand.1. A comparison of some soil properties. Soil Tillage Res. 1992, 22, 131–143. [Google Scholar] [CrossRef]
- Alegre, J.C.; Cassel, D.K.; Amezquita, E. Tillage systems and soil properties in Latin America. Soil Tillage Res. 1991, 20, 147–163. [Google Scholar] [CrossRef]
- Agus, F.; Cassel, D.K. Field-Scale Bromide Transport as Affected by Tillage. Soil Sci. Soc. Am. J. 1992, 56, 254–260. [Google Scholar] [CrossRef]
- Czyż, E.A. Effects of traffic on soil aeration, bulk density, and growth of spring barley. Soil Tillage Res. 2004, 79, 153–166. [Google Scholar] [CrossRef]
- Osunbitan, J.A.; Oyedele, D.J.; Adekalu, K.O. Tillage effects on bulk density, hydraulic conductivity, and strength of a loamy sand soil in southwestern Nigeria. Soil Tillage Res. 2005, 82, 57–64. [Google Scholar] [CrossRef]
- Hammel, J.E. Long-term tillage and crop rotation effects on bulk density and soil impedance in northern Idaho. Soil Sci. Soc. Am. J. 1989, 53, 1515–1519. [Google Scholar] [CrossRef]
- Chen, Y.; Cavers, C.; Tessier, S.; Monero, F.; Lobb, D. Short-term tillage effects on soil cone index and plant development in a poorly drained, heavy clay soil. Soil Tillage Res. 2005, 82, 161–171. [Google Scholar] [CrossRef]
- Castrignano, A.; Maiorana, M.; Fornaro, F. Using regionalized variables to assess field-scale spatiotemporal variability of soil impedance for different tillage management. Biosyst. Eng. 2003, 85, 381–392. [Google Scholar] [CrossRef]
- Logsdon, S.D.; Cambardella, C.A. Temporal changes in small depth-incremental soil bulk density. Soil Sci. Soc. Am. J. 2000, 64, 710–714. [Google Scholar] [CrossRef]
- Drees, L.R.; Wilding, L.P.; Karathanasis, A.D.; Blevins, R.L. Micromorphological characteristics of long-term no-till and conventionally tilled soils. Soil Sci. Soc. Am. J. 1994, 58, 508–517. [Google Scholar] [CrossRef]
- Derdour, H.; Laverdière, M.R.; Angers, D.A. Caractérisation de l’espace poral d’un sol argileux: Effets de ses constituants et du travail du sol. Can. J. Soil Sci. 1993, 73, 299–307. [Google Scholar] [CrossRef][Green Version]
- Pierce, F.J.; Fortin, M.C.; Staton, M.J. Periodic plowing effects on soil properties in a no-till farming system. Soil Sci. Soc. Am. J. 1994, 58, 1782–1787. [Google Scholar] [CrossRef]
- Moret, D.; Arrúe, J.L. Dynamics of soil hydraulic properties during fallow as affected by tillage. Soil Tillage Res. 2007, 96, 103–113. [Google Scholar] [CrossRef]
- Josa, R.; Hereter, A. Effects of tillage systems in dryland farming on near-surface water content during the late winter period. Soil Tillage Res. 2005, 82, 173–183. [Google Scholar] [CrossRef]
- Peña-Sancho, C.; López, M.V.; Gracia, R.; Moret-Fernández, D. Effects of tillage on the soil water retention curve during a fallow period of a semiarid dryland. Soil Res. 2016, 55, 114–123. [Google Scholar] [CrossRef]
- Mahboubi, A.A.; Lal, R.; Faussey, N.R. 28 years of tillage effects on two soils in Ohio. Soil Sci. Soc. Am. J. 1993, 57, 506–512. [Google Scholar] [CrossRef]
- Logsdon, S.; Allmaras, R.R.; Wu, L.; Swan, J.B.; Randall, G.W. Macroporosity and its relation to saturated hydraulic conductivity under different tillage practices. Soil Sci. Soc. Am. J. 1990, 54, 1096–1101. [Google Scholar] [CrossRef]
- Buhk, C.; Alt, M.; Steinbauer, M.J.; Beierkuhnlein, C.; Warren, S.D.; Jentsch, A. Homogenizing and diversifying effects of intensive agricultural land-use on plant species beta diversity in Central Europe—A call to adapt our conservation measures. Sci. Total Environ. 2017, 576, 225–233. [Google Scholar] [CrossRef] [PubMed]
- Honnay, O.; Piessens, K.; Van Landuyt, W.; Hermy, M.; Gulinck, H. Satellite based land use and landscape complexity indices as predictors for regional plant species diversity. Landsc. Urban Plan. 2003, 63, 241–250. [Google Scholar] [CrossRef]
- Knudsen, M.T.; Hermansen, J.E.; Cederberg, C.; Herzog, F.; Vale, J.; Jeanneret, P.; Sarthou, J.-P.; Friedel, J.K.; Balázs, K.; Fjellstad, W.J.; et al. Characterization factors for land use impacts on biodiversity in life cycle assessment based on direct measures of plant species richness in European farmland in the ‘Temperate Broadleaf and Mixed Forest’ biome. Sci. Total Environ. 2017, 580, 358–366. [Google Scholar] [CrossRef] [PubMed]
- Allan, E.; Weisser, W.W.; Fischer, M.; Schulze, E.-D.; Weigelt, A.; Roscher, C.; Baade, J.; Barnard, R.L.; Beßler, H.; Buchmann, N.; et al. A comparison of the strength of biodiversity effects across multiple functions. Oecologia 2013, 173, 223–237. [Google Scholar] [CrossRef]
- Delgado-Baquerizo, M.; Trivedi, P.; Trivedi, C.; Eldridge, D.J.; Reich, P.B.; Jeffries, T.C.; Singh, B.K. Microbial richness and composition independently drive soil multifunctionality. Funct. Ecol. 2017, 31, 2330–2343. [Google Scholar] [CrossRef]
- Ebeling, A.; Pompe, S.; Baade, J.; Eisenhauer, N.; Hillebrand, H.; Proulx, R.; Roscher, C.; Schmid, B.; Wirth, C.; Weisser, W. A trait-based experimental approach to understand the mechanisms underlying biodiversity–ecosystem functioning relationships. Basic Appl. Ecol. 2014, 15, 229–240. [Google Scholar] [CrossRef]
- Gould, I.J.; Quinton, J.N.; Weigelt, A.; De Deyn, G.B.; Bardgett, R.D. Plant diversity and root traits benefit physical properties key to soil function in grasslands. Ecol. Lett. 2016, 19, 1140–1149. [Google Scholar] [CrossRef]
- Lange, M.; Eisenhauer, N.; Sierra, C.A.; Bessler, H.; Engels, C.; Griffiths, R.I.; Mellado-Va’zquez, P.G.; Malik, A.A.; Roy, J.; Scheus, S.; et al. Plant diversity increases soil microbial activity and soil carbon storage. Nat. Commun. 2015, 6, 6707. [Google Scholar] [CrossRef]
- Meyer, S.T.; Ebeling, A.; Eisenhauer, N.; Hertzog, L.; Hillebrand, H.; Milcu, A.; Pompe, S.; Abbas, M.; Bessler, H.; Buchmann, N.; et al. Effects of biodiversity strengthen over time as ecosystem functioning declines at low and increases at high biodiversity. Ecosphere 2016, 7, e01619. [Google Scholar] [CrossRef]
- Meyer, S.T.; Ptacnik, R.; Hillebrand, H.; Bessler, H.; Buchmann, N.; Ebeling, A.; Eisenhauer, N.; Engels, C.; Fischer, M.; Halle, S.; et al. Biodiversity–multifunctionality relationships depend on identity and number of measured functions. Nat. Ecol. Evol. 2018, 2, 44–49. [Google Scholar] [CrossRef] [PubMed]
- Poeplau, C.; Don, A.; Vesterdal, L.; Leifeld, J.; Van Wesemael, B.A.S.; Schumacher, J.; Gensior, A. Temporal dynamics of soil organic carbon after land-use change in the temperate zone–carbon response functions as a model approach. Glob. Change Biol. 2011, 17, 2415–2427. [Google Scholar] [CrossRef]
- Triantafyllidis, V.; Zotos, A.; Kosma, C.; Kokkotos, E. Effect of land-use types on edaphic properties and plant species diversity in Mediterranean agroecosystem. Saudi J. Biol. Sci. 2020, 27, 3676–3690. [Google Scholar] [CrossRef]
- Balzan, M.V.; Sadula, R.; Scalvenzi, L. Assessing ecosystem services supplied by agroecosystems in Mediterranean Europe: A literature review. Land 2020, 9, 245. [Google Scholar] [CrossRef]
- Kosmas, C.; Gerontidis, S.; Marathianou, M. The effect of land use change on soils and vegetation over various lithological formations on Lesvos (Greece). Catena 2000, 40, 51–68. [Google Scholar] [CrossRef]
- Bhattacharyya, R.; Prakash, V.; Kundu, S.; Gupta, H.S. Effect of tillage and crop rotations on pore size distribution and soil hydraulic conductivity in sandy clay loam soil of the Indian Himalayas. Soil Tillage Res. 2006, 86, 129–140. [Google Scholar] [CrossRef]
- Ramachandran, S.; Rao, C.N.; Dinesh, D.; Srinivasan, R.; Sankar, M.; Ramesh, T.; Padua, S. Effect of Tillage Management Practices on Soil Physical Properties and Yield of Groundnut in Rice-based Cropping System. Int. J. Bio-Resour. Stress Manag. 2015, 6, 765. [Google Scholar] [CrossRef]
- Kumar, R.; Saurabh, K.; Kumawat, N.; Sundaram, P.K.; Mishra, J.S.; Singh, D.K.; Hans, H.; Krishna, B.; Bhatt, B.P. Sustaining Productivity Through Integrated Use of Microbes in Agriculture. In Role of Microbial Communities for Sustainability; Springer: Singapore, 2021; pp. 109–145. [Google Scholar] [CrossRef]
- Page, K.L.; Dang, Y.P.; Dalal, R.C. The ability of conservation agriculture to conserve soil organic carbon and the subsequent impact on soil physical, chemical, and biological properties and yield. Front. Sustain. Food Syst. 2020, 4, 31. [Google Scholar] [CrossRef]
- Zhang, Z.; Peng, X. Bio-tillage: A new perspective for sustainable agriculture. Soil Tillage Res. 2021, 206, 104844. [Google Scholar] [CrossRef]
- Büchi, L.; Wendling, M.; Amossé, C.; Jeangros, B.; Sinaj, S.; Charles, R. Long- and short-term changes in crop yield and soil properties induced by the reduction of soil tillage in a long-term experiment in Switzerland. Soil Tillage Res. 2017, 174, 120–129. [Google Scholar] [CrossRef]
- Giller, K.E.; Andersson, J.A.; Corbeels, M.; Kirkegaard, J.; Mortensen, D.; Erenstein, O.; Vanlauwe, B. Beyond conservation agriculture. Front. Plant Sci. 2015, 6, 870. [Google Scholar] [CrossRef] [PubMed]
- Pittelkow, C.M.; Linquist, B.A.; Lundy, M.E.; Liang, X.; van Groeningen, K.J.; Lee, J.; van Gestel, N.; Six, J.; Venterea, R.T.; van Kessel, C. When does no-till yield more? A global meta-analysis. Field Crops Res. 2015, 183, 156–168. [Google Scholar] [CrossRef]
- Ben-Noah, I.; Friedman, S.P. Review and evaluation of root respiration and of natural and agricultural processes of soil aeration. Vadose Zone J. 2018, 17, 1–47. [Google Scholar] [CrossRef]
- Colombi, T.; Walder, F.; Büchi, L.; Sommer, M.; Liu, K.; Six, J.; van der Heijden, M.G.A.; Charles, R.; Keller, T. On-farm study reveals positive relationship between gas transport capacity and organic carbon content in arable soil. Soil 2019, 5, 91–105. [Google Scholar] [CrossRef]
- Bengough, A.G. Root elongation is restricted by axial but not by radial pressures: So what happens in field soil? Plant Soil 2012, 360, 15–18. [Google Scholar] [CrossRef]
- Martínez, I.; Chervet, A.; Weisskopf, P.; Sturny, W.G.; Etana, A.; Stettler, M.; Forkman, J.; Keller, T. Two decades of no-till in the Oberacker long-term field experiment: Part I. Crop yield, soil organic carbon and nutrient distribution in the soil profile. Soil Tillage Res. 2016, 163, 141–151. [Google Scholar] [CrossRef]
- Zhang, W.; Li, S.; Xu, Y.; Wang, Y.; Liu, X.; Peng, C.; Wang, J. Residue incorporation enhances the effect of subsoiling on soil structure and increases SOC accumulation. J. Soils Sediments 2020, 20, 3537–3547. [Google Scholar] [CrossRef]
- Conyers, M.; Liu, D.L.; Kirkegaard, J.; Orgill, S.; Oates, A.; Li, G.; Poile, G.; Kirkby, C. A review of organic carbon accumulation in soils within the agricultural context of southern New South Wales, Australia. Field Crops Res. 2015, 184, 177–182. [Google Scholar] [CrossRef]
- Ledo, A.; Smith, P.; Zerihun, A.; Whitaker, J.; Vicente-Vicente, J.L.; Qin, Z.; McNamara, N.P.; Zinn, Y.L.; Llorente, M.; Liebig, M.; et al. Changes in soil organic carbon under perennial crops. Glob. Change Biol. 2020, 26, 4158–4168. [Google Scholar] [CrossRef]
- Reicosky, D.C.; Kemper, W.D.; Langdale, G.; Douglas, C.L.; Rasmussen, P.E. Soil organic matter changes resulting from tillage and biomass production. J. Soil Water Conserv. 1995, 50, 253–261. [Google Scholar]
- Powlson, D.S.; Bhogal, A.; Chambers, B.J.; Coleman, K.; Macdonald, A.J.; Goulding, K.W.T.; Whitmore, A.P. The potential to increase soil carbon stocks through reduced tillage or organic material additions in England and Wales: A case study. Agric. Ecosyst. Environ. 2012, 146, 23–33. [Google Scholar] [CrossRef]
- Luo, Z.; Wang, E.; Sun, O.J. Can no-tillage stimulate carbon sequestration in agricultural soils? A meta-analysis of paired experiments. Agric. Ecosyst. Environ. 2010, 139, 224–231. [Google Scholar] [CrossRef]
- Dimassi, B.; Mary, B.; Wylleman, R.; Labreuche, J.; Couture, D.; Piraux, F.; Cohan, J.P. Long-term effect of contrasted tillage and crop management on soil carbon dynamics for 41 years. Agric. Ecosyst. Environ. 2014, 188, 134–146. [Google Scholar] [CrossRef]
- Haddaway, N.R.; Hedlund, K.; Jackson, L.E.; Kätterer, T.; Lugato, E.; Thomsen, I.K.; Jørgensen, H.B.; Isberg, P.-E. How does tillage intensity affect soil organic carbon? A systematic review. Environ. Evid. 2017, 6, 30. [Google Scholar] [CrossRef]
- Bertollo, A.M.; de Moraes, M.T.; Franchini, J.C.; Soltangheisi, A.; Junior, A.A.B.; Levien, R.; Debiasi, H. Precrops alleviate soil physical limitations for soybean root growth in an Oxisol from southern Brazil. Soil Tillage Res. 2021, 206, 104820. [Google Scholar] [CrossRef]
- Bergamin, A.C.; Vitorino, A.C.; Souza, F.R.; Venturoso, L.R.; Bergamin, L.P.; Campos, M.C. Relationship of soil physical quality parameters and maize yield in a Brazilian Oxisol. Chil. J. Agric. Res. 2015, 75, 357–365. [Google Scholar] [CrossRef]
- Botta, G.; Jorajuria, D.; Rosatto, H.; Ferrero, C. Light tractor traffic frequency on soil compaction in the Rolling Pampa region of Argentina. Soil Tillage Res. 2006, 86, 9–14. [Google Scholar] [CrossRef]
- Chen, Y.L.; Palta, J.; Clements, J.; Buirchell, B.; Siddique, K.H.; Rengel, Z. Root architecture alteration of narrow-leafed lupin and wheat in response to soil compaction. Field Crops Res. 2014, 165, 61–70. [Google Scholar] [CrossRef]
- Igoni, A.H.; Jumbo, R.B. Modelling soil compaction effects on maize growth and yield in a sandy loam soil. Agric. Eng. Int. CIGR J. 2019, 21, 24–32. [Google Scholar]
- Olubanjo, O.O.; Yessoufou, M.A. Effect of Soil Compaction on the Growth and Nutrient Uptake of Zea Mays, L. Sustain. Agric. Res. 2019, 8, 46–54. [Google Scholar] [CrossRef]
- Ramazan, M.; Khan, G.D.; Hanif, M.; Ali, S. Impact of soil compaction on root length and yield of corn (Zea mays) under irrigated condition. Middle East J. Sci. Res. 2012, 11, 382–385. [Google Scholar]
- Sivarajan, S.; Maharlooei, M.; Bajwa, S.G.; Nowatzki, J. Impact of soil compaction due to wheel traffic on corn and soybean growth, development, and yield. Soil Tillage Res. 2018, 175, 234–243. [Google Scholar] [CrossRef]
- Gregorich, E.G.; McLaughlin, N.B.; Lapen, D.R.; Ma, B.L.; Rochette, P. Soil compaction, both an environmental and agronomic culprit: Increased nitrous oxide emissions and reduced plant nitrogen uptake. Soil Sci. Soc. Am. J. 2014, 78, 1913–1923. [Google Scholar] [CrossRef]
- Hargreaves, P.R.; Baker, K.L.; Graceson, A.; Bonnett, S.; Ball, B.C.; Cloy, J.M. Soil compaction effects on grassland silage yields and soil structure under different levels of compaction over three years. Eur. J. Agron. 2019, 109, 125916. [Google Scholar] [CrossRef]
- Massah, J.; Azadegan, B. Effect of chemical fertilizers on soil compaction and degradation. Agric. Mech. Asia Afr. Lat. Am. 2016, 47, 44–50. [Google Scholar]
- Szatanik-Kloc, A.; Horn, R.; Lipiec, J.; Siczek, A.; Szerement, J. Soil compaction-induced changes of physicochemical properties of cereal roots. Soil Tillage Res. 2018, 175, 226–233. [Google Scholar] [CrossRef]
- Grath, T.; Arvidsson, J. Effects of soil compaction on plant nutrition uptake and growth of peas and barley on a sandy loam. Swed. J. Agric. Res. 1997, 27, 95–104. [Google Scholar]
- Sundstrom, F.J.; Morse, R.D.; Neal, J.L. Nodulation and nitrogen fixation of Phaseolus vulgaris L. grown in minesoil as affected by soil compaction and N fertilization. Commun. Soil Sci. Plant Anal. 1982, 13, 231–242. [Google Scholar] [CrossRef]
- Torabian, S.; Farhangi-Abriz, S.; Denton, M.D. Do tillage systems influence nitrogen fixation in legumes? A review. Soil Tillage Res. 2019, 185, 113–121. [Google Scholar] [CrossRef]
- Vocanson, A.; Roger-Estrade, J.; Boizard, H.; Jeuffroy, M.H. Effects of soil structure on pea (Pisum sativum L.) root development according to sowing date and cultivar. Plant Soil 2006, 281, 121–135. [Google Scholar] [CrossRef]
- Guan, D.; Zhang, Y.; Al-Kaisi, M.M.; Wang, Q.; Zhang, M.; Li, Z. Tillage practices effect on root distribution and water use efficiency of winter wheat under rain-fed condition in the North China Plain. Soil Tillage Res. 2015, 146, 286–295. [Google Scholar] [CrossRef]
- Jourgholami, M. The Effects of Soil Compaction on Morphology and Biomass Variables of Chestnut-leaved Oak (Quercus castaneifolia CAM) in Greenhouse Situations. For. Wood Prod. 2016, 69, 313–326. [Google Scholar] [CrossRef]
- Jourgholami, M.; Khoramizadeh, A.; Zenner, E.K. Effects of soil compaction on seedling morphology, growth, and architecture of chestnut-leaved oak (Quercus castaneifolia). iForest-Biogeosci. For. 2016, 10, 145. [Google Scholar] [CrossRef]
- Haygarth, P.M.; Ritz, K. The future of soils and land use in the UK: Soil systems for the provision of land-based ecosystem services. Land Use Policy 2009, 26, S187–S197. [Google Scholar] [CrossRef]
- Kibblewhite, M.G.; Ritz, K.; Swift, M.J. Soil health in agricultural systems. Philos. Trans. R. Soc. B Biol. Sci. 2008, 363, 685–701. [Google Scholar] [CrossRef]
- Powlson, D.S. Soil health—Useful terminology for communication or meaningless concept? Or both? Front. Agric. Sci. Eng. 2020, 7, 246. [Google Scholar] [CrossRef]
- Lynch, J.P.; Mooney, S.J.; Strock, C.F.; Schneider, H.M. Future roots for future soils. Plant Cell Environ. 2021, 45, 620–636. [Google Scholar] [CrossRef]
- Masle, J.; Passioura, J.B. The effect of soil strength on the growth of young wheat plants. Funct. Plant Biol. 1987, 14, 643–656. [Google Scholar] [CrossRef]
- Nunes, M.R.; Karlen, D.L.; Denardin, J.E.; Cambardella, C.A. Corn root and soil health indicator response to no-till production practices. Agric. Ecosyst. Environ. 2019, 285, 106607. [Google Scholar] [CrossRef]
- Wang, X.; Shen, J.; Hedden, P.; Phillips, A.L.; Thomas, S.G.; Ge, Y.; Ashton, R.W.; Whalley, W.R. Wheat growth responses to soil mechanical impedance are dependent on phosphorus supply. Soil Tillage Res. 2021, 205, 104754. [Google Scholar] [CrossRef] [PubMed]
- Głąb, T. Effects of tractor wheeling on root morphology and yield of lucerne (Medicago sativa L.). Grass Forage Sci. 2008, 63, 398–406. [Google Scholar] [CrossRef]
- Ahmadi, I.; Ghaur, H. Effects of soil moisture content and tractor wheeling intensity on traffic-induced soil compaction. J. Cent. Eur. Agric. 2015, 16, 489–502. [Google Scholar] [CrossRef]
- Nevens, F.; Reheul, D. The consequences of wheel-induced soil compaction and subsoiling for silage maize on a sandy loam soil in Belgium. Soil Tillage Res. 2003, 70, 175–184. [Google Scholar] [CrossRef]
- Secco, D.; Bassegio, D.; de Villa, B.; de Marins, A.C.; Junior, L.A.Z.; da Silva, T.R.B.; de Souza, S.N.M. Crambe oil yield and soil physical properties responses to no-tillage, cover crops and chiseling. Ind. Crops Prod. 2021, 161, 113174. [Google Scholar] [CrossRef]
- Igon, A.H.; Ayotamuno, J.M. Maize yield response to induced compaction in a sandy-loam soil. Sustain. Agric. Res. 2016, 5, 57. [Google Scholar] [CrossRef]
- Taylor, H.; Brar, G.S. Effect of soil compaction on root development. Soil Tillage Res. 1991, 19, 111–119. [Google Scholar] [CrossRef]
- Kumar, A.; Joseph, S.; Tsechansky, L.; Privat, K.; Schreiter, I.J.; Schüth, C.; Graber, E.R. Biochar aging in contaminated soil promotes Zn immobilization due to changes in biochar surface structural and chemical properties. Sci. Total Environ. 2018, 626, 953–961. [Google Scholar] [CrossRef]
- Kuht, J.; Reintam, E.; Nugis, E.; Edesi, L.; Trükmann, K. Barley plants stress depending on soil degradation due to soil compaction. Agraarteadus 2008, 19, 19–22. [Google Scholar]
- Reintam, E.; Trükmann, K.; Kuht, J.; Toomsoo, A.; Teesalu, T.; Köster, T.; Edesi, L.; Nugis, E. Effect of Cirsium arvense L. on soil physical properties and crop growth. Agric. Food Sci. 2008, 17, 153–164. [Google Scholar] [CrossRef][Green Version]
- Trükmann, K.; Horn, R.; Reintam, E. Impact of roots on soil stabilization in grassland. In Proceedings of the ISTRO 18th Triennial Conference Proceedings, Izmir, Turkey, 15–19 June 2009; pp. 1–7. [Google Scholar]
- Trükmann, K.; Reintam, E.; Kuht, J.; Nugis, E.; Edesi, L. Effect of soil compaction on growth of narrow—Leafed lupine, oilseed rape and spring barley on sandy loam soil. Agron. Res. 2008, 6, 101–108. [Google Scholar]
- Twum, E.K.; Nii-Annang, S. Impact of soil compaction on bulk density and root biomass of Quercus petraea L. at reclaimed post-lignite mining site in Lusatia, Germany. Appl. Environ. Soil Sci. 2015, 2015, 504603. [Google Scholar] [CrossRef]
- Altuntas, E.; Taser, O.F.; Kara, O. Yield of silage maize as affected by compaction treatments at the planting time. Asian J. Plant Sci. 2018, 7, 223–227. [Google Scholar] [CrossRef][Green Version]
- Onwualu, A.P.; Anazodo, U.G.N. Soil compaction effects on maize production under various tillage methods in a derived savannah zone of Nigeria. Soil Tillage Res. 1989, 14, 99–114. [Google Scholar] [CrossRef]
- Cairns, J.E.; Audebert, A.; Townend, J.; Price, A.H.; Mullins, C.E. Effect of soil mechanical impedance on root growth of two rice varieties under field drought stress. Plant Soil 2004, 267, 309–318. [Google Scholar] [CrossRef]
- Iijima, M.; Kato, J.; Taniguchi, A. Combined soil physical stress of soil drying, anaerobiosis and mechanical impedance to seedling root growth of four crop species. Plant Prod. Sci. 2007, 10, 451–459. [Google Scholar] [CrossRef]
- Samson, B.K.; Hasan, M.; Wade, L.J. Penetration of hardpans by rice lines in the rainfed lowlands. Field Crops Res. 2002, 76, 175–188. [Google Scholar] [CrossRef]
- Ayres, K.W.; Button, R.G.; Jong, E.D. Soil morphology and soil physical properties. II. Mechanical impedance and moisture retention and movement. Can. J. Soil Sci. 1973, 53, 9–19. [Google Scholar] [CrossRef]
- Afzalinia, S.; Zabihi, J. Soil compaction variation during corn growing season under conservation tillage. Soil Tillage Res. 2014, 137, 1–6. [Google Scholar] [CrossRef]
- Price, A.H.; Steele, K.A.; Moore, B.J.; Barraclough, P.P.; Clark, L.J. A combined RFLP and AFLP linkage map of upland rice (Oryza sativa L.) used to identify QTLs for root-penetration ability. Theor. Appl. Genet. 2000, 100, 49–56. [Google Scholar] [CrossRef]
- Gronle, A.; Lux, G.; Böhm, H.; Schmidtke, K.; Wild, M.; Demmel, M.; Brandhuber, R.; Wilbois, K.-P.; Heß, J. Effect of ploughing depth and mechanical soil loading on soil physical properties, weed infestation, yield performance and grain quality in sole and intercrops of pea and oat in organic farming. Soil Tillage Res. 2015, 148, 59–73. [Google Scholar] [CrossRef]
- Hazelton, P.; Murphy, B. Interpreting Soil Test Results: What Do All the Numbers Mean? CSIRO Publishing: Oxford, UK, 2016. [Google Scholar]
- Pam, H.; Murphy, B. Interpreting Soil Test Results. What Do All the Numbers Mean? Retrieved 14 December 2012; CSIRO Publishing: Oxford, UK, 2007. [Google Scholar]
- Bartzen, B.T.; Hoelscher, G.L.; Ribeiro, L.L.O.; Seidel, E.P. How the Soil Resistance to Penetration Affects the Development of Agricultural Crops? J. Exp. Agric. Int. 2019, 30, 1–17. [Google Scholar] [CrossRef]
- De Moraes, M.T.; Debiasi, H.; Franchini, J.C.; Mastroberti, A.A.; Levien, R.; Leitner, D.; Schnepf, A. Soil compaction impacts soybean root growth in an Oxisol from subtropical Brazil. Soil Tillage Res. 2020, 200, 104611. [Google Scholar] [CrossRef]
- Ferreira, C.J.B.; Tormena, C.A.; Severiano, E.D.C.; Zotarelli, L.; Betioli Júnior, E. Soil compaction influences soil physical quality and soybean yield under long-term no-tillage. Arch. Agron. Soil Sci. 2020, 67, 383–396. [Google Scholar] [CrossRef]
- Khorsand, A.; Rezaverdinejad, V.; Asgarzadeh, H.; Majnooni-Heris, A.; Rahimi, A.; Besharat, S.; Sadraddini, A.A. Linking plant and soil indices for water stress management in black gram. Sci. Rep. 2021, 11, 869. [Google Scholar] [CrossRef]
- Sarto, M.V.M.; Bassegio, D.; Rosolem, C.A.; Sarto, J.R.W. Safflower root and shoot growth affected by soil compaction. Bragantia 2018, 77, 348–355. [Google Scholar] [CrossRef]
- Raper, R.L. Agricultural traffic impacts on soil. J. Terramechanics 2005, 42, 259–280. [Google Scholar] [CrossRef]
- Silva, G.L.; Lima, H.V.; Campanha, M.M.; Gilkes, R.J.; Oliveira, T.S. Soil physical quality of Luvisols under agroforestry, natural vegetation, and conventional crop management systems in the Brazilian semi-arid region. Geoderma 2011, 167, 61–70. [Google Scholar] [CrossRef]
- Souza, R.; Hartzell, S.; Ferraz, A.P.F.; de Almeida, A.Q.; de Sousa Lima, J.R.; Antonino, A.C.D.; de Souza, E.S. Dynamics of soil penetration resistance in water-controlled environments. Soil Tillage Res. 2021, 205, 104768. [Google Scholar] [CrossRef]
- Wilson, M.G.; Sasal, M.C.; Caviglia, O.P. Critical bulk density for a Mollisol and a Vertisol using least limiting water range: Effect on early wheat growth. Geoderma 2013, 192, 354–361. [Google Scholar] [CrossRef]
- Ehlers, W.; Köpke, U.; Hesse, F.; Böhm, W. Penetration resistance and root growth of oats in tilled and untilled loess soil. Soil Tillage Res. 1983, 3, 261–275. [Google Scholar] [CrossRef]
- Bengough, A.G.; Young, I.M. Root elongation of seedling peas through layered soil of different penetration resistances. Plant Soil 1993, 149, 129–139. [Google Scholar] [CrossRef]
- Beier, M.P.; Tsugawa, S.; Demura, T.; Fujiwara, T. Root shape adaptation to mechanical stress derived from unidirectional vibrations in Populus nigra. Plant Biotechnol. 2020, 37, 423–428. [Google Scholar] [CrossRef]
- Correa, J.; Postma, J.A.; Watt, M.; Wojciechowski, T. Soil compaction and the architectural plasticity of root systems. J. Exp. Bot. 2019, 70, 6019–6034. [Google Scholar] [CrossRef] [PubMed]
- Hanbury, C.D.; Atwell, B.J. Growth dynamics of mechanically impeded lupin roots: Does altered morphology induce hypoxia? Ann. Bot. 2005, 96, 913–924. [Google Scholar] [CrossRef]
- Potocka, I.; Szymanowska-Pułka, J. Morphological responses of plant roots to mechanical stress. Ann. Bot. 2018, 122, 711–723. [Google Scholar] [CrossRef] [PubMed]
- Vanhees, D.J.; Loades, K.W.; Bengough, A.G.; Mooney, S.J.; Lynch, J.P. Root anatomical traits contribute to deeper rooting of maize under compacted field conditions. J. Exp. Bot. 2020, 71, 4243–4257. [Google Scholar] [CrossRef] [PubMed]






| Plant Height (m) | ||||||||||||
|---|---|---|---|---|---|---|---|---|---|---|---|---|
| Plot No. | 3 WAP | 4 WAP | 5 WAP | 6 WAP | 7 WAP | 8 WAP | 9 WAP | 10 WAP | 11 WAP | 12 WAP | 13 WAP | 14 WAP |
| 1 | 0.360 | 0.470 | 0.560 | 0.722 | 0.752 | 0.790 | 0.843 | 0.874 | 0.879 | 0.898 | 0.930 | 0.941 |
| 2 | 0.376 | 0.572 | 0.710 | 1.020 | 1.023 | 1.030 | 1.296 | 1.280 | 1.272 | 1.440 | 1.380 | 1.380 |
| 3 | 0.330 | 0.500 | 0.631 | 0.790 | 0.800 | 0.810 | 0.837 | 0.855 | 0.741 | 0.863 | 0.872 | 0.872 |
| 4 | 0.291 | 0.393 | 0.494 | 0.610 | 0.650 | 0.693 | 0.745 | 0.810 | 0.855 | 0.900 | 1.124 | 1.146 |
| 5 | 0.290 | 0.331 | 0.470 | 0.514 | 0.763 | 0.766 | 0.880 | 0.913 | 0.934 | 1.131 | 1.143 | 1.402 |
| Plot No. | Leaf Area (m2) | ||
|---|---|---|---|
| 1 MAP | 2 MAP | 3 MAP | |
| 1 | 0.0527 | 0.0840 | 0.1150 |
| 2 | 0.0998 | 0.1097 | 0.1974 |
| 3 | 0.0667 | 0.0863 | 0.1112 |
| 4 | 0.0502 | 0.0735 | 0.1490 |
| 5 | 0.0446 | 0.0757 | 0.1561 |
Publisher’s Note: MDPI stays neutral with regard to jurisdictional claims in published maps and institutional affiliations. |
© 2022 by the authors. Licensee MDPI, Basel, Switzerland. This article is an open access article distributed under the terms and conditions of the Creative Commons Attribution (CC BY) license (https://creativecommons.org/licenses/by/4.0/).
Share and Cite
Mwiti, F.M.; Gitau, A.N.; Mbuge, D.O. Edaphic Response and Behavior of Agricultural Soils to Mechanical Perturbation in Tillage. AgriEngineering 2022, 4, 335-355. https://doi.org/10.3390/agriengineering4020023
Mwiti FM, Gitau AN, Mbuge DO. Edaphic Response and Behavior of Agricultural Soils to Mechanical Perturbation in Tillage. AgriEngineering. 2022; 4(2):335-355. https://doi.org/10.3390/agriengineering4020023
Chicago/Turabian StyleMwiti, Frankline M., Ayub N. Gitau, and Duncan O. Mbuge. 2022. "Edaphic Response and Behavior of Agricultural Soils to Mechanical Perturbation in Tillage" AgriEngineering 4, no. 2: 335-355. https://doi.org/10.3390/agriengineering4020023
APA StyleMwiti, F. M., Gitau, A. N., & Mbuge, D. O. (2022). Edaphic Response and Behavior of Agricultural Soils to Mechanical Perturbation in Tillage. AgriEngineering, 4(2), 335-355. https://doi.org/10.3390/agriengineering4020023
