Standardizing EMG Pipelines for Muscle Synergy Analysis: A Large-Scale Evaluation of Filtering, Normalization and Criteria
Abstract
1. Introduction
2. Materials and Methods
2.1. Research Data
2.2. Data Preprocessing and Synergies Extraction
2.3. Data Analysis and Statistics
3. Results
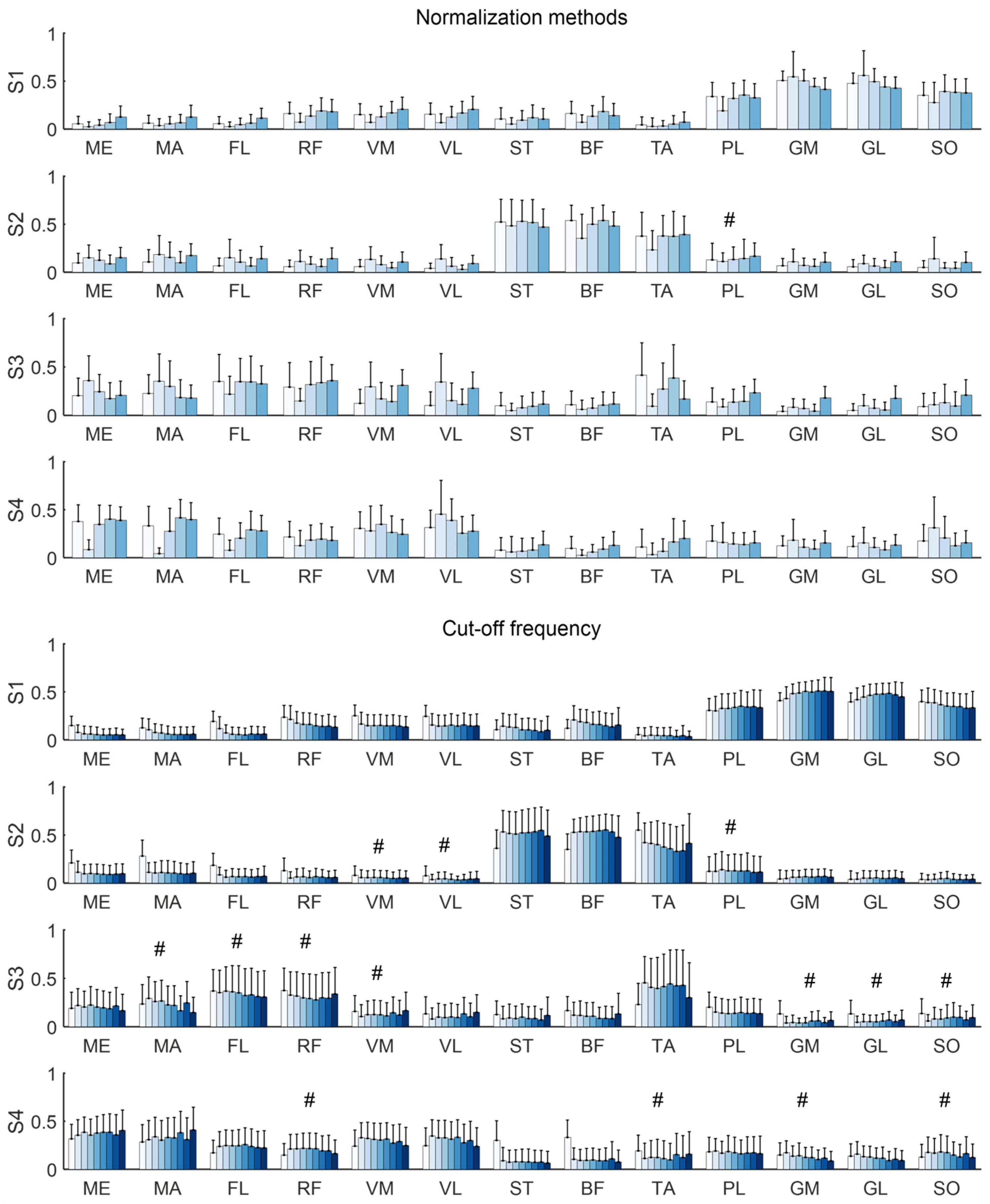
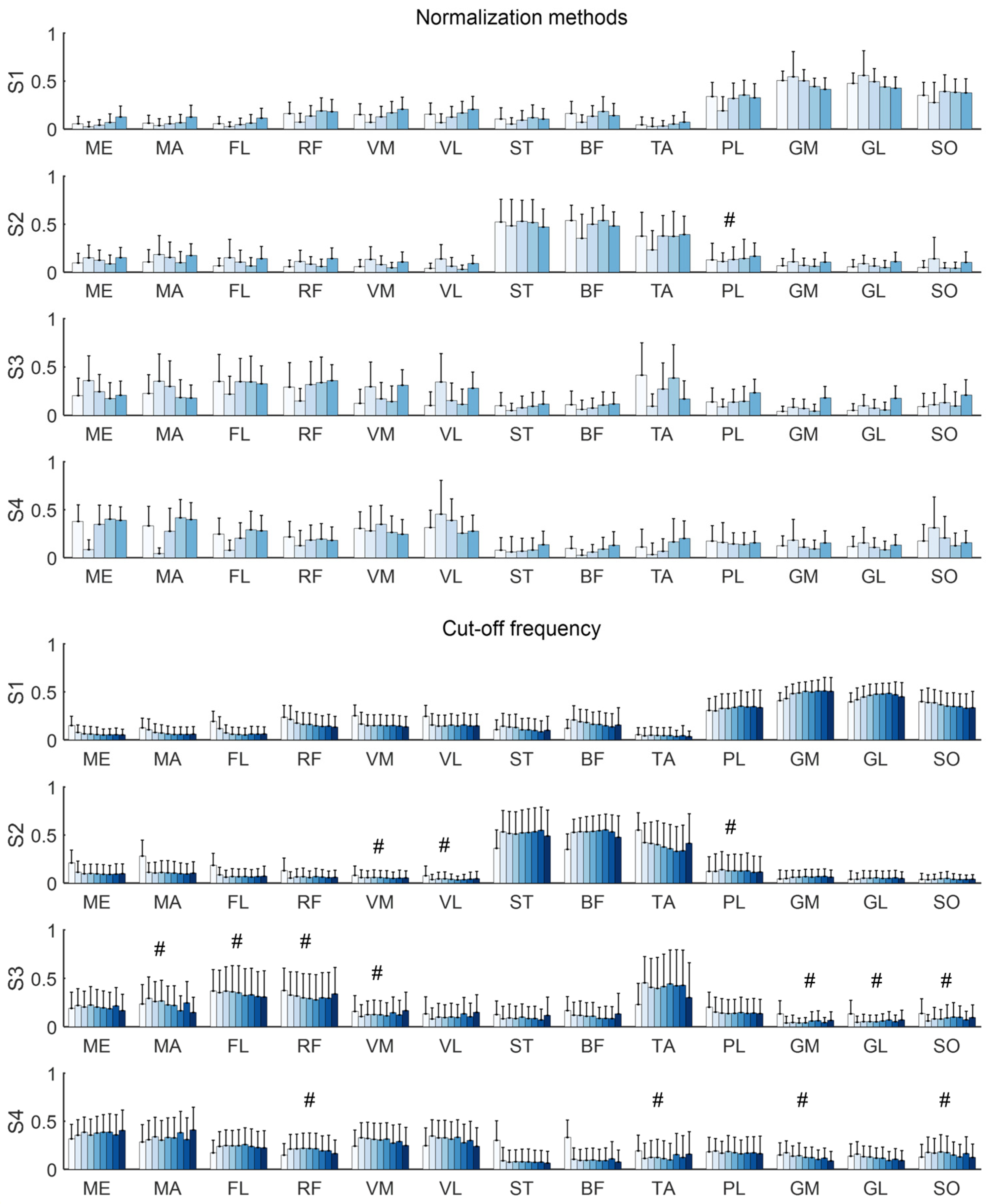
3.1. Normalization Methods and Cut-Off Frequencies Affect the Explained Variance
3.2. The Number of Synergies Varied Across Normalization Methods, Cut-Off Frequencies, and Criteria
3.3. The Number of Synergies Changed with the Threshold of Each Criterion
3.4. Normalization Methods and Cut-Off Frequencies Affect Synergy Weights
4. Discussion
4.1. Effects of Filtering, Normalization, and Criteria on Synergy Outcomes
4.2. Physiological Interpretation and Clinical Relevance
4.3. Clinical and Task-Aware Recommendations
4.4. Robustness and Methodological Considerations
4.5. Real-Time Synergy Pipeline and Personalization Strategy
4.6. Limitations and Future Directions
5. Conclusions
Author Contributions
Funding
Institutional Review Board Statement
Informed Consent Statement
Data Availability Statement
Conflicts of Interest
References
- Turpin, N.A.; Uriac, S.; Dalleau, G. How to Improve the Muscle Synergy Analysis Methodology? Eur. J. Appl. Physiol. 2021, 121, 1009–1025. [Google Scholar] [CrossRef]
- Ison, M.; Artemiadis, P. The Role of Muscle Synergies in Myoelectric Control: Trends and Challenges for Simultaneous Multifunction Control. J. Neural Eng. 2014, 11, 051001. [Google Scholar] [CrossRef]
- Hong, Y.N.G.; Ballekere, A.N.; Fregly, B.J.; Roh, J. Are Muscle Synergies Useful for Stroke Rehabilitation? Curr. Opin. Biomed. Eng. 2021, 19, 100315. [Google Scholar] [CrossRef]
- Xiong, D.; Zhang, D.; Zhao, X.; Chu, Y.; Zhao, Y. Synergy-Based Neural Interface for Human Gait Tracking with Deep Learning. IEEE Trans. Neural Syst. Rehabil. Eng. 2021, 29, 2271–2280. [Google Scholar] [CrossRef] [PubMed]
- Cheung, V.C.K.; Turolla, A.; Agostini, M.; Silvoni, S.; Bennis, C.; Kasi, P.; Paganoni, S.; Bonato, P.; Bizzi, E. Muscle Synergy Patterns as Physiological Markers of Motor Cortical Damage. Proc. Natl. Acad. Sci. USA 2012, 109, 14652–14656. [Google Scholar] [CrossRef] [PubMed]
- Roh, J.; Rymer, W.Z.; Beer, R.F. Evidence for Altered Upper Extremity Muscle Synergies in Chronic Stroke Survivors with Mild and Moderate Impairment. Front. Hum. Neurosci. 2015, 9, 6. [Google Scholar] [CrossRef]
- Pan, B.; Sun, Y.; Xie, B.; Huang, Z.; Wu, J.; Hou, J.; Liu, Y.; Huang, Z.; Zhang, Z. Alterations of Muscle Synergies during Voluntary Arm Reaching Movement in Subacute Stroke Survivors at Different Levels of Impairment. Front. Comput. Neurosci. 2018, 12, 69. [Google Scholar] [CrossRef]
- Baggen, R.J.; van Dieën, J.H.; Van Roie, E.; Verschueren, S.M.; Giarmatzis, G.; Delecluse, C.; Dominici, N. Age-Related Differences in Muscle Synergy Organization during Step Ascent at Different Heights and Directions. Appl. Sci. 2020, 10, 1987. [Google Scholar] [CrossRef]
- Pellegrino, L.; Coscia, M.; Pierella, C.; Giannoni, P.; Cherif, A.; Mugnosso, M.; Marinelli, L.; Casadio, M. Effects of Hemispheric Stroke Localization on the Reorganization of Arm Movements within Different Mechanical Environments. Life 2021, 11, 383. [Google Scholar] [CrossRef]
- Macchi, R.; Santuz, A.; Hays, A.; Vercruyssen, F.; Arampatzis, A.; Bar-Hen, A.; Nicol, C. Sex Influence on Muscle Synergies in a Ballistic Force-Velocity Test during the Delayed Recovery Phase after a Graded Endurance Run. Heliyon 2022, 8, e09573. [Google Scholar] [CrossRef]
- Coscia, M.; Cheung, V.C.; Tropea, P.; Koenig, A.; Monaco, V.; Bennis, C.; Micera, S.; Bonato, P. The Effect of Arm Weight Support on Upper Limb Muscle Synergies during Reaching Movements. J. Neuroeng. Rehabil. 2014, 11, 22. [Google Scholar] [CrossRef] [PubMed]
- Runnalls, K.D.; Anson, G.; Byblow, W.D. Partial Weight Support of the Arm Affects Corticomotor Selectivity of Biceps Brachii. J. Neuroeng. Rehabil. 2015, 12, 94. [Google Scholar] [CrossRef] [PubMed]
- Zhao, K.; Zhang, Z.; Wen, H.; Liu, B.; Li, J.; d’Avella, A.; Scano, A. Muscle Synergies for Evaluating Upper Limb in Clinical Applications: A Systematic Review. Heliyon 2023, 9, e16202. [Google Scholar] [CrossRef] [PubMed]
- Facciorusso, S.; Guanziroli, E.; Brambilla, C.; Spina, S.; Giraud, M.; Molinari Tosatti, L.; Santamato, A.; Molteni, F.; Scano, A. Muscle Synergies in Upper Limb Stroke Rehabilitation: A Scoping Review. Eur. J. Phys. Rehabil. Med. 2024, 60, 767–792. [Google Scholar] [CrossRef]
- Steele, K.M.; Tresch, M.C.; Perreault, E.J. Consequences of Biomechanically Constrained Tasks in the Design and Interpretation of Synergy Analyses. J. Neurophysiol. 2015, 113, 2102–2113. [Google Scholar] [CrossRef]
- Banks, C.L.; Pai, M.M.; McGuirk, T.E.; Fregly, B.J.; Patten, C. Methodological Choices in Muscle Synergy Analysis Impact Differentiation of Physiological Characteristics Following Stroke. Front. Comput. Neurosci. 2017, 11, 78. [Google Scholar] [CrossRef]
- Santuz, A.; Ekizos, A.; Janshen, L.; Baltzopoulos, V.; Arampatzis, A. On the Methodological Implications of Extracting Muscle Synergies from Human Locomotion. Int. J. Neural Syst. 2017, 27, 1750007. [Google Scholar] [CrossRef]
- Kieliba, P.; Tropea, P.; Pirondini, E.; Coscia, M.; Micera, S.; Artoni, F. How Are Muscle Synergies Affected by Electromyography Pre-Processing. IEEE Trans. Neural Syst. Rehabil. Eng. 2018, 26, 882–893. [Google Scholar] [CrossRef]
- Hug, F.; Turpin, N.A.; Dorel, S.; Guével, A. Smoothing of Electromyographic Signals Can Influence the Number of Extracted Muscle Synergies. Clin. Neurophysiol. 2012, 123, 1895–1896. [Google Scholar] [CrossRef]
- van der Krogt, M.; Oudenhoven, L.; Buizer, A.; Dallmeijer, A. The Effect of EMG Processing Choices on Muscle Synergies before and after BoNT-A Treatment in Cerebral Palsy. Gait Posture 2016, 49, 31. [Google Scholar] [CrossRef]
- Shuman, B.R.; Schwartz, M.H.; Steele, K.M. Electromyography Data Processing Impacts Muscle Synergies during Gait for Unimpaired Children and Children with Cerebral Palsy. Front. Comput. Neurosci. 2017, 11, 50. [Google Scholar] [CrossRef]
- Zhao, K.; Zhang, Z.; Wen, H.; Scano, A. Intra-Subject and Inter-Subject Movement Variability Quantified with Muscle Synergies in Upper-Limb Reaching Movements. Biomimetics 2021, 6, 63. [Google Scholar] [CrossRef] [PubMed]
- Zhao, K.; Feng, Y.; Li, L.; Zhou, Y.; Zhang, Z.; Li, J. Muscle Synergies and Muscle Networks in Multiple Frequency Components in Post-Stroke Patients. Biomed. Signal Process. Control 2024, 95, 106417. [Google Scholar] [CrossRef]
- Zhao, K.; He, C.; Xiang, W.; Zhou, Y.; Zhang, Z.; Li, J.; Scano, A. Evidence of Synergy Coordination Patterns of Upper-Limb Motor Control in Stroke Patients with Mild and Moderate Impairment. Front. Physiol. 2023, 14, 1214995. [Google Scholar] [CrossRef] [PubMed]
- Santuz, A.; Ekizos, A.; Janshen, L.; Mersmann, F.; Bohm, S.; Baltzopoulos, V.; Arampatzis, A. Modular Control of Human Movement during Running: An Open Access Data Set. Front. Physiol. 2018, 9, 1509. [Google Scholar] [CrossRef] [PubMed]
- Chujo, Y.; Mori, K.; Kitawaki, T.; Wakida, M.; Noda, T.; Hase, K. How to Decide the Number of Gait Cycles in Different Low-Pass Filters to Extract Motor Modules by Non-Negative Matrix Factorization During Walking in Chronic Post-Stroke Patients. Front. Hum. Neurosci. 2022, 16, 803542. [Google Scholar] [CrossRef]
- Scano, A.; Dardari, L.; Molteni, F.; Giberti, H.; Tosatti, L.M.; D’Avella, A. A Comprehensive Spatial Mapping of Muscle Synergies in Highly Variable Upper-Limb Movements of Healthy Subjects. Front. Physiol. 2019, 10, 1231. [Google Scholar] [CrossRef]
- Santuz, A.; Ekizos, A.; Kunimasa, Y.; Kijima, K.; Ishikawa, M.; Arampatzis, A. Lower Complexity of Motor Primitives Ensures Robust Control of High-Speed Human Locomotion. Heliyon 2020, 6, e05377. [Google Scholar] [CrossRef]
- Chalard, A.; Belle, M.; Montané, E.; Marque, P.; Amarantini, D.; Gasq, D. Impact of the EMG Normalization Method on Muscle Activation and the Antagonist-Agonist Co-Contraction Index during Active Elbow Extension: Practical Implications for Post-Stroke Subjects. J. Electromyogr. Kinesiol. 2020, 51, 102403. [Google Scholar] [CrossRef]
- Avdan, G.; Onal, S.; Smith, B.K. Normalization of EMG Signals: Optimal MVC Positions for the Lower Limb Muscle Groups in Healthy Subjects. J. Med. Biol. Eng. 2023, 43, 195–202. [Google Scholar] [CrossRef]
- Clark, D.J.; Ting, L.H.; Zajac, F.E.; Neptune, R.R.; Kautz, S.A. Merging of Healthy Motor Modules Predicts Reduced Locomotor Performance and Muscle Coordination Complexity Post-Stroke. J. Neurophysiol. 2010, 103, 844–857. [Google Scholar] [CrossRef] [PubMed]
- Lee, D.D.; Seung, H.S. Algorithms for Non-Negative Matrix Factorization. Adv. Neural Inf. Process. Syst. 2001, 13, 556–562. [Google Scholar]
- Tresch, M.C.; Cheung, V.C.K.; d’Avella, A. Matrix Factorization Algorithms for the Identification of Muscle Synergies: Evaluation on Simulated and Experimental Data Sets. J. Neurophysiol. 2006, 95, 2199–2212. [Google Scholar] [CrossRef] [PubMed]
- Ebied, A.; Kinney-Lang, E.; Spyrou, L.; Escudero, J. Evaluation of Matrix Factorisation Approaches for Muscle Synergy Extraction. Med. Eng. Phys. 2018, 57, 51–60. [Google Scholar] [CrossRef]
- Rabbi, M.F.; Pizzolato, C.; Lloyd, D.G.; Carty, C.P.; Devaprakash, D.; Diamond, L.E. Non-Negative Matrix Factorisation Is the Most Appropriate Method for Extraction of Muscle Synergies in Walking and Running. Sci. Rep. 2020, 10, 8266. [Google Scholar] [CrossRef] [PubMed]
- Zhao, K.; Wen, H.; Zhang, Z.; Atzori, M.; Müller, H.; Xie, Z.; Scano, A. Evaluation of Methods for the Extraction of Spatial Muscle Synergies. Front. Neurosci. 2022, 16, 732156. [Google Scholar] [CrossRef]
- Park, J.-H.; Shin, J.-H.; Lee, H.; Roh, J.; Park, H.-S. Alterations in Intermuscular Coordination Underlying Isokinetic Exercise after a Stroke and Their Implications on Neurorehabilitation. J. Neuroeng. Rehabil. 2021, 18, 110. [Google Scholar] [CrossRef]
- Seo, G.; Kishta, A.; Mugler, E.; Slutzky, M.W.; Roh, J. Myoelectric Interface Training Enables Targeted Reduction in Abnormal Muscle Co-Activation. J. Neuroeng. Rehabil. 2022, 19, 67. [Google Scholar] [CrossRef]
- Ivanenko, Y.P.; Poppele, R.E.; Lacquaniti, F. Five Basic Muscle Activation Patterns Account for Muscle Activity during Human Locomotion: Basic Muscle Activation Patterns. J. Physiol. 2004, 556, 267–282. [Google Scholar] [CrossRef]
- Yokoyama, H.; Kaneko, N.; Ogawa, T.; Kawashima, N.; Watanabe, K.; Nakazawa, K. Cortical Correlates of Locomotor Muscle Synergy Activation in Humans: An Electroencephalographic Decoding Study. iScience 2019, 15, 623–639. [Google Scholar] [CrossRef]
- Soomro, M.H.; Conforto, S.; Giunta, G.; Ranaldi, S.; De Marchis, C. Comparison of Initialization Techniques for the Accurate Extraction of Muscle Synergies from Myoelectric Signals via Nonnegative Matrix Factorization. Appl. Bionics Biomech. 2018, 2018, 3629347. [Google Scholar] [CrossRef] [PubMed]
- Lanzani, V.; Brambilla, C.; Scano, A. A Methodological Scoping Review on EMG Processing and Synergy-Based Results in Muscle Synergy Studies in Parkinson’s Disease. Front. Bioeng. Biotechnol. 2025, 12, 1445447. [Google Scholar] [CrossRef]
- Roh, J.; Rymer, W.Z.; Beer, R.F. Robustness of Muscle Synergies Underlying Three-Dimensional Force Generation at the Hand in Healthy Humans. J. Neurophysiol. 2012, 107, 2123–2142. [Google Scholar] [CrossRef]
- Barradas, V.R.; Kutch, J.J.; Kawase, T.; Koike, Y.; Schweighofer, N. When 90% of the Variance Is Not Enough: Residual EMG from Muscle Synergy Extraction Influences Task Performance. J. Neurophysiol. 2020, 123, 2180–2190. [Google Scholar] [CrossRef] [PubMed]
- Ranaldi, S.; De Marchis, C.; Severini, G.; Conforto, S. An Objective, Information-Based Approach for Selecting the Number of Muscle Synergies to Be Extracted via Non-Negative Matrix Factorization. IEEE Trans. Neural Syst. Rehabil. Eng. 2021, 29, 2676–2683. [Google Scholar] [CrossRef] [PubMed]
- Ranaldi, S.; Gizzi, L.; Severini, G.; De Marchis, C. Optimal Identification of Muscle Synergies From Typical Sit-to-Stand Clinical Tests. IEEE Open J. Eng. Med. Biol. 2023, 4, 31–37. [Google Scholar] [CrossRef]
- Ranaldi, S.; De Marchis, C.; Conforto, S. An Automatic, Adaptive, Information-Based Algorithm for the Extraction of the sEMG Envelope. J. Electromyogr. Kinesiol. 2018, 42, 1–9. [Google Scholar] [CrossRef]
- Furui, A.; Eto, S.; Nakagaki, K.; Shimada, K.; Nakamura, G.; Masuda, A.; Chin, T.; Tsuji, T. A Myoelectric Prosthetic Hand with Muscle Synergy–Based Motion Determination and Impedance Model–Based Biomimetic Control. Sci. Robot. 2019, 4, eaaw6339. [Google Scholar] [CrossRef]
- Hug, F.; Avrillon, S.; Ibáñez, J.; Farina, D. Common Synaptic Input, Synergies and Size Principle: Control of Spinal Motor Neurons for Movement Generation. J. Physiol. 2023, 601, 11–20. [Google Scholar] [CrossRef]








| Criteria | Description |
|---|---|
| Global VAF, GVAF | The point on the VAF curve that is greater than the predefined threshold for the first time. |
| Local VAF, LVAF | The number of synergies meets the GVAF, and the change in VAF caused by adding another synergy is less than a preset threshold. |
| Muscle VAF, MVAF | The VAF of each muscle is above a threshold. |
| Error VAF, EVAF | First, portions of the VAF curve are fitted from the first point to the last point. Then, the algorithm proceeds by moving the first point to the second, and so on until the last two points are included. The number of synergies is estimated as the first point on the VAF curve for which the MSE of the linear fit is below a predefined threshold. |
| Random VAF, RVAF | Two VAF curves are generated in this method, one from the original unshuffled EMG (original VAF) and another from the random EMG representing the baseline VAF expected from chance (random VAF). The slope of the random VAF is regarded as constant. The number of synergies is defined as the point on the original VAF whose slope is lower than a certain percentage of the slope of the random VAF. |
| Criteria | MAX | MED | AVE | UVA | UAM | |||||
|---|---|---|---|---|---|---|---|---|---|---|
| VAF | R2 | VAF | R2 | VAF | R2 | VAF | R2 | VAF | R2 | |
| GVAF | 0.94 | 0.93 | 0.98 | 0.96 | 0.95 | 0.95 | 0.93 | 0.92 | 0.96 | 0.76 |
| LVAF | 0.75 | 0.79 | 0.92 | 0.78 | 0.70 | 0.78 | 0.73 | 0.80 | −0.125 | 0.59 |
| MVAF | 0.96 | 0.97 | 0.87 | 0.65 | 0.94 | 0.97 | 0.91 | 0.94 | 0.97 | 0.43 |
| EVAF | 0.55 | 0.52 | 0.85 | 0.75 | 0.56 | 0.54 | 0.54 | 0.55 | 0.09 | −0.28 |
| RVAF | 0.72 | 0.77 | 0.91 | 0.66 | 0.76 | 0.75 | 0.69 | 0.75 | −0.14 | 0.42 |
Disclaimer/Publisher’s Note: The statements, opinions and data contained in all publications are solely those of the individual author(s) and contributor(s) and not of MDPI and/or the editor(s). MDPI and/or the editor(s) disclaim responsibility for any injury to people or property resulting from any ideas, methods, instructions or products referred to in the content. |
© 2025 by the authors. Licensee MDPI, Basel, Switzerland. This article is an open access article distributed under the terms and conditions of the Creative Commons Attribution (CC BY) license (https://creativecommons.org/licenses/by/4.0/).
Share and Cite
Zhao, K.; Jin, Y.; Feng, Y.; Li, J.; Zhou, Y. Standardizing EMG Pipelines for Muscle Synergy Analysis: A Large-Scale Evaluation of Filtering, Normalization and Criteria. Signals 2025, 6, 68. https://doi.org/10.3390/signals6040068
Zhao K, Jin Y, Feng Y, Li J, Zhou Y. Standardizing EMG Pipelines for Muscle Synergy Analysis: A Large-Scale Evaluation of Filtering, Normalization and Criteria. Signals. 2025; 6(4):68. https://doi.org/10.3390/signals6040068
Chicago/Turabian StyleZhao, Kunkun, Yaowei Jin, Yizhou Feng, Jianqing Li, and Yuxuan Zhou. 2025. "Standardizing EMG Pipelines for Muscle Synergy Analysis: A Large-Scale Evaluation of Filtering, Normalization and Criteria" Signals 6, no. 4: 68. https://doi.org/10.3390/signals6040068
APA StyleZhao, K., Jin, Y., Feng, Y., Li, J., & Zhou, Y. (2025). Standardizing EMG Pipelines for Muscle Synergy Analysis: A Large-Scale Evaluation of Filtering, Normalization and Criteria. Signals, 6(4), 68. https://doi.org/10.3390/signals6040068

