Acoustic Conditions and Listening Performance in High-Stakes EFL Tests: An Observational Study of Real-World Data
Abstract
1. Introduction
1.1. Background
1.2. The Present Study
2. Material and Methods
2.1. Score Data
2.1.1. CEFR and CEFR-J Categorizations
2.1.2. Dataset Profile
2.2. Test Procedures
2.2.1. Test Rooms
2.2.2. Sound Sources
2.2.3. Seating Scheme
2.3. Acoustic Conditions
2.3.1. Background Noise Level
2.3.2. Reverberation Time
2.3.3. Speech Transmission Index
3. Results
3.1. Survey of the Score Data
3.2. Score Differences by Test Room
3.2.1. Exploratory Analysis of Room Differences
3.2.2. Statistical Analysis of Room Differences
3.3. Score Differences by STI
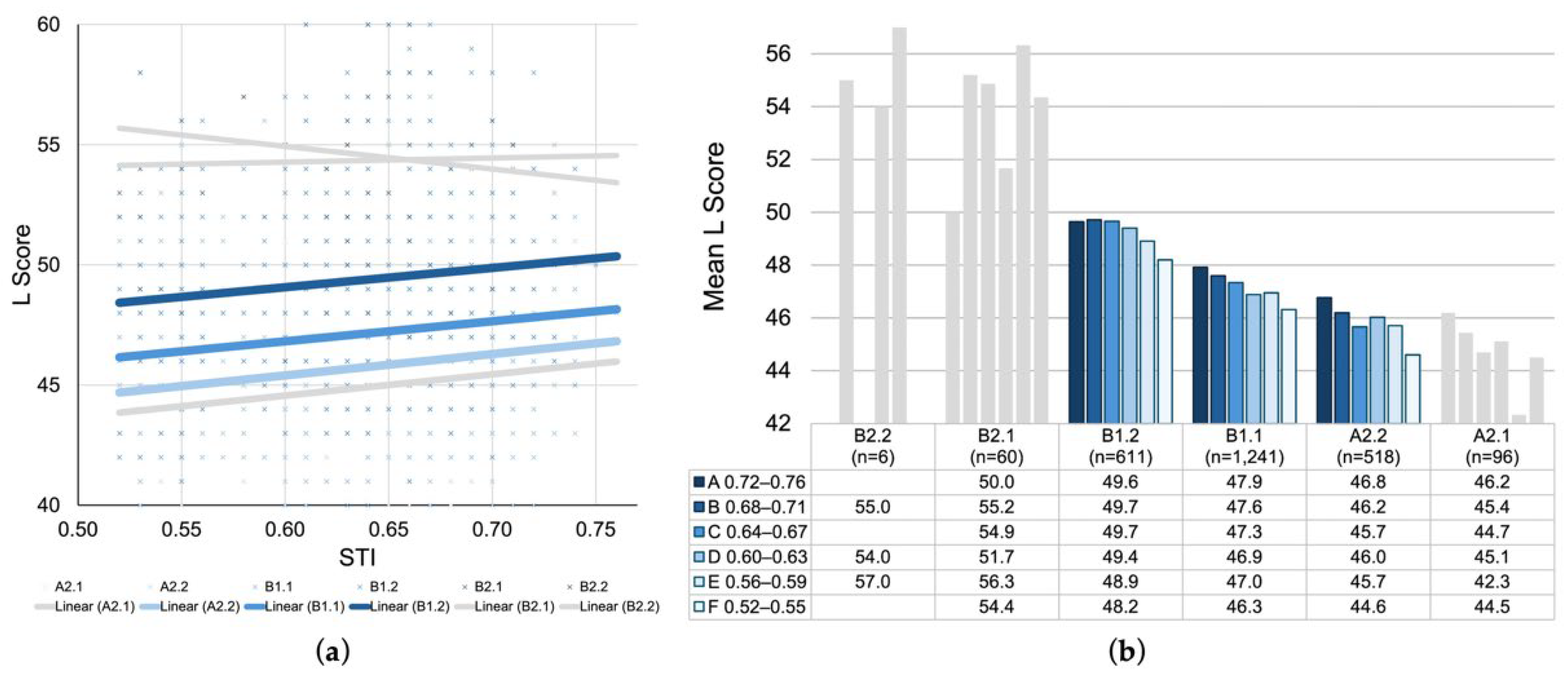
3.3.1. Exploratory Analysis of STI Variation
3.3.2. Statistical Analysis of STI Effects
3.4. Score Differences by CEFR-J
3.4.1. Exploratory Analysis
3.4.2. Statistical Analysis
4. Discussion
4.1. Interpretation of Score Differences by Test Room
4.2. Interpretation of Score Differences by STI
4.3. Interpretation of Score Differences by CEFR-J
4.4. Implications for Standardized L2 Listening Assessment
4.4.1. STI Recommendations
4.4.2. Score Implications
4.4.3. Loudspeaker Directivity and Maintenance
4.4.4. Room Volume
4.4.5. Test Methods
4.5. Limitations and Future Studies
4.5.1. The Data
4.5.2. Measurement Factors
4.5.3. Environmental Factors
4.5.4. Human and Psychological Factors
5. Conclusions
Author Contributions
Funding
Institutional Review Board Statement
Informed Consent Statement
Data Availability Statement
Acknowledgments
Conflicts of Interest
References
- Educational Testing Service. TOEIC Listening and Reading Test: Report on Test Takers Worldwide 2024; ETS: Princeton, NJ, USA, 2024. [Google Scholar]
- Educational Testing Service. TOEFL iBT Test and Score Data Summary 2023; ETS: Princeton, NJ, USA, 2024. [Google Scholar]
- Educational Testing Service. TOEFL ITP Test and Score Data Summary 2024; ETS: Princeton, NJ, USA, 2025. [Google Scholar]
- IELTS Test Partners. IELTS Guide for Teachers 2024; British Council: Manchester, UK, 2024. [Google Scholar]
- Eiken Foundation of Japan, Status of Eiken Exams. Available online: https://www.eiken.or.jp/eiken/about/situation/ (accessed on 12 July 2025).
- Benesse Corporation. GTEC CBT and GTEC for Students: Latest Information; Benesse Corporation: Tokyo, Japan, 2016. [Google Scholar]
- The Japan Institute for Educational Measurement, Inc.; CASEC Homepage. Available online: https://casec.evidus.com/ (accessed on 12 July 2025).
- Institute for International Business Communication (IIBC). TOEIC Program Data & Analysis 2024 (English Version); IIBC: Tokyo, Japan, 2024. [Google Scholar]
- TOEFL iBT Usage in University Entrance Exams. Available online: https://www.toefl-ibt.jp/educators/search/toefl_ibt/ (accessed on 12 July 2025).
- TOEFL ITP Usage in Japanese Universities (2023 Academic Year). Available online: https://www.toefl-ibt.jp/educators/search/toefl_itp/ (accessed on 12 July 2025).
- Eiken Foundation of Japan. IELTS Official Test Center Guidebook; Eiken Foundation of Japan and British Council: Tokyo, Japan, 2020. [Google Scholar]
- Cho, Y.; Rijmen, F.; Novák, J. Investigating the effects of prompt characteristics on the comparability of TOEFL iBT™ integrated writing tasks. Lang. Test. 2013, 30, 513–534. [Google Scholar] [CrossRef]
- Getman, D.; Liu, O.L.; Schnackenberg, H.L.; Zanetti, M. Effects of Printed Option Sets on Listening Item Performance Among Young English-as-a-Foreign-Language Learners; ETS Research Report No. RR-16-26; ETS: Princeton, NJ, USA, 2016. [Google Scholar]
- Livingston, S.A. Test Reliability—Basic Concepts; Research Memorandum No. RM-18-01; ETS: Princeton, NJ, USA, 2018. [Google Scholar]
- Educational Testing Service. TOEFL ITP Supervisors Manual; ETS: Princeton, NJ, USA, 2013. [Google Scholar]
- American Educational Research Association; American Psychological Association; National Council on Measurement in Education. Standards for Educational and Psychological Testing; AERA: Washington, DC, USA, 2014. [Google Scholar]
- Zumbo, B.D. Three generations of DIF analyses: Considering where it has been, where it is now, and where it is going. Lang. Assess. Q. 2007, 4, 223–233. [Google Scholar] [CrossRef]
- Kane, M. Validating the interpretations and uses of test scores. J. Educ. Meas. 2013, 50, 1–73. [Google Scholar] [CrossRef]
- IEC 60268-16:2020; Sound System Equipment—Part 16: Objective Rating of Speech Intelligibility by Speech Transmission Index, 5th ed. IEC: Geneva, Switzerland, 2020.
- ANSI/ASA S12.60-2010/Part 1 (R2020); Acoustical Performance Criteria, Design Requirements, and Guidelines for Schools. Acoustical Society of America: Melville, NY, USA, 2020.
- Bradley, J.S.; Sato, H. The intelligibility of speech in elementary school classrooms. J. Acoust. Soc. Am. 2008, 123, 2078–2086. [Google Scholar] [CrossRef]
- Mealings, K.; Buchholz, J.M. The effect of classroom acoustics and noise on preschool children’s listening, learning, and wellbeing: A scoping review. Build. Acoust. 2025, 32, 109–121. [Google Scholar] [CrossRef]
- Yang, W.; Bradley, J.S. Effects of room acoustics on the intelligibility of speech in classrooms for young children. J. Acoust. Soc. Am. 2009, 125, 922–933. [Google Scholar] [CrossRef]
- Seitz, J.; Loh, K.; Fels, J. Listening effort in children and adults in classroom noise. Sci. Rep. 2024, 14, 25200. [Google Scholar] [CrossRef] [PubMed]
- Nelson, P.; Kohnert, K.; Sabur, S.; Shaw, D. Classroom noise and children learning through a second language: Double jeopardy? Lang. Speech Hear. Serv. Sch. 2005, 36, 219–229. [Google Scholar] [CrossRef] [PubMed]
- Lam, A.; Hodgson, M.; Prodi, N.; Visentin, C. Effects of classroom acoustics on speech intelligibility and response time: A comparison between native and non-native listeners. Build. Acoust. 2018, 25, 35–42. [Google Scholar] [CrossRef]
- AIJES-S0001-2020; Academic Standards and Design Guidelines for Sound Environment in School Buildings. Architectural Institute of Japan: Tokyo, Japan, 2020.
- Department for Education. Building Bulletin 93 (BB93), Acoustic Design of Schools: Performance Standards; Department for Education: London, UK, 2015.
- DIN 18041:2016-03; Acoustic Quality in Rooms—Requirements, Recommendations and Instructions for Planning. Beuth Verlag: Berlin, Germany, 2016.
- Mikulski, W.; Radosz, J. Acoustics of classrooms in primary schools—Results of the reverberation time and the Speech Transmission Index assessments in selected buildings. Arch. Acoust. 2011, 36, 777–793. [Google Scholar] [CrossRef]
- Mealings, K. Classroom acoustic conditions: Understanding what is suitable through a review of national and international standards, recommendations, and live classroom measurements. In Proceedings of the ACOUSTICS 2016: ACOUSTICS Creating Sound Connections, Brisbane, Australia, 9–11 November 2016; pp. 1047–1056. [Google Scholar]
- Lecumberri, M.L.G.; Cooke, M.; Cutler, A. Non-native speech perception in adverse conditions: A review. Speech Commun. 2010, 52, 864–886. [Google Scholar] [CrossRef]
- Scharenborg, O.; Van Os, M. Why listening in background noise is harder in a non-native language than in a native language: A review. Speech Commun. 2019, 108, 53–64. [Google Scholar] [CrossRef]
- Sörqvist, P.; Hurtig, A.; Ljung, R.; Rönnberg, J. High second-language proficiency protects against the effects of reverberation on listening comprehension. Scand. J. Psychol. 2014, 55, 91–96. [Google Scholar] [CrossRef]
- Peng, Z.E.; Wang, L.M. Effects of noise, reverberation and foreign accent on native and non-native listeners’ performance of English speech comprehension. J. Acoust. Soc. Am. 2016, 139, 2772–2783. [Google Scholar] [CrossRef] [PubMed]
- Prodi, N.; Visentin, C. A slight increase in reverberation time in the classroom affects performance and behavioral listening effort. Ear Hear. 2022, 43, 460–476. [Google Scholar] [CrossRef]
- Yang, D.; Mak, C.M. An investigation of speech intelligibility for second language students in classrooms. Appl. Acoust. 2018, 134, 54–59. [Google Scholar] [CrossRef]
- Minelli, G.; Puglisi, G.E.; Astolfi, A. Acoustical parameters for learning in classroom: A review. Build. Environ. 2022, 208, 108582. [Google Scholar] [CrossRef]
- Escobar, V.G.; Morillas, J.M.B. Analysis of intelligibility and reverberation time recommendations in educational rooms. Appl. Acoust. 2015, 96, 1–10. [Google Scholar] [CrossRef]
- Choi, Y.J. Effect of occupancy on acoustical conditions in university classrooms. Appl. Acoust. 2016, 114, 36–43. [Google Scholar] [CrossRef]
- Mealings, K. A scoping review of the effect of classroom acoustic conditions on university Students’ Listening, learning, and Well-Being. J. Speech Lang. Hear. Res. 2023, 66, 4653–4672. [Google Scholar] [CrossRef]
- Kawata, M.; Sato, K.; Tsuruta-Hamamura, M.; Hasegawa, H. Analysis of standardized foreign language listening test scores and their relationship to Speech Transmission Index and reverberation time in test rooms. In Proceedings of the 27th International Congress on Sound and Vibration (ICSV27), Virtual, 11–16 July 2021. [Google Scholar]
- Kawata, M.; Tsuruta-Hamamura, M.; Hasegawa, H. Assessment of speech transmission index and reverberation time in standardized English as a foreign language test rooms. Appl. Acoust. 2022, 202, 109093. [Google Scholar] [CrossRef]
- Kawata, M.; Tsuruta-Hamamura, M.; Hasegawa, H. Influence of test room acoustics on non-native listeners’ standardized test performance. Acoustics 2023, 5, 1161–1179. [Google Scholar] [CrossRef]
- Council of Europe. Common European Framework of Reference for Languages: Learning, Teaching, Assessment. Companion Volume; Council of Europe Publishing: Strasbourg, France, 2020; Available online: www.coe.int/lang-cefr (accessed on 1 November 2023).
- CEFR-J. European Language Portfolio: CAN-DO Descriptors. 2012. Available online: http://www.cefr-j.org/index.html (accessed on 1 November 2023).
- Sawaki, Y.; Sinharay, S. Investigating the value of section scores for the TOEFL iBT® test. ETS Res. Rep. Ser. 2013, 2013, i-113. [Google Scholar] [CrossRef]
- Safitri, M.; Wulyani, A.N.; Suharyadi, S. The correlation between students’ reading and listening score in a standardized test of TOEFL. J. Penelit. Pengkaj. Ilmu Pendidik. E-Saintika 2021, 5, 127–138. [Google Scholar] [CrossRef]
- Kanzaki, M. TOEIC listening and reading test and overall English ability. In Teacher Efficacy, Learner Agency; JALT: Tokyo, Japan, 2020. [Google Scholar] [CrossRef]
- TOEFL ITP Scoring. Available online: https://www.ets.org/toefl/itp/scoring.html (accessed on 12 July 2025).
- Kawata, M. A Study on the Role of Room Acoustics in English as a Foreign Language Listening Comprehension Assessment. Ph.D. Dissertation, Utsunomiya University, Utsunomiya, Japan, 2025. Available online: https://uuair.repo.nii.ac.jp/record/2000862/files/DT_ENG_000542_1_Full.pdf (accessed on 12 July 2025).
- ISO 3382-2:2008(E); Acoustics—Measurement of Room Acoustic Parameters—Part 2: Reverberation Time in Ordinary Rooms. ISO: Geneva, Switzerland, 2008.
- Bradley, J.S.; Reich, R.; Norcross, S.G. A just noticeable difference in C50 for speech. Appl. Acoust. 1999, 58, 99–108. [Google Scholar] [CrossRef]
- Uchida, T.; Otsu, K. The historical background of English listening comprehension tests in the National Center Test and their evaluation. Jpn. Assoc. Res. Test. 2013, 9, 77–84. [Google Scholar]
- Mealings, K.; Miles, K.; Matthews, N.; Buchholz, J.M. Towards an acoustically accessible campus: A case study of the acoustic conditions of an Australian university. Acoust. Aust. 2024, 52, 273–278. [Google Scholar] [CrossRef]
- Kennedy, S.M.; Hodgson, M.; Edgett, L.D.; Lamb, N.; Rempel, R. Subjective assessment of listening environments in university classrooms: Perceptions of students. J. Acoust. Soc. Am. 2006, 119, 299–309. [Google Scholar] [CrossRef]
- Kilman, L.; Zekveld, A.; Hällgren, M.; Rönnberg, J. The influence of non-native language proficiency on speech perception performance. Front. Psychol. 2014, 5, 651. [Google Scholar] [CrossRef]
- MacCutcheon, D.; Hurtig, A.; Pausch, F.; Hygge, S.; Fels, J.; Ljung, R. Second language vocabulary level is related to benefits for second language listening comprehension under lower reverberation time conditions. J. Cogn. Psychol. 2019, 31, 175–185. [Google Scholar] [CrossRef]
- Educational Testing Service. TOEFL ITP Test Taker Handbook; ETS: Princeton, NJ, USA, 2025. [Google Scholar]
- Millett, P. Sound Field Amplification Research Summary; York University: North York, ON, Canada, 2015; Available online: https://simeoncanada.com/wp-content/uploads/2018/12/Soundfield-Amplification-Research-Summary.pdf (accessed on 16 July 2025).
- Lafargue, C.; Lafargue, D. Sound Field Systems in New Brunswick Classrooms: Let’s Enhance Their Use; Department of Education and Early Childhood Development: Fredericton, NB, Canada, 2012. Available online: https://journals.lib.unb.ca/index.php/antistasis/article/download/19591/21123 (accessed on 16 July 2025).
- Prodeus, A.; Didkovska, M. Assessment of speech intelligibility in university lecture rooms of different sizes using objective and subjective methods. East.-Eur. J. Enterp. Technol. 2021, 3, 47–56. [Google Scholar] [CrossRef]
- Razali, A.W.; Din, N.C.; Hamdan, S. Investigation of the acoustics performance of the university’s lecture rooms by using economical and feasible design improvement strategies. J. Des. Built Environ. 2023, 23, 1–25. [Google Scholar] [CrossRef]
- Zhu, P.; Tao, W.; Lu, X.; Mo, F.; Guo, F.; Zhang, H. Optimisation design and verification of the acoustic environment for multimedia classrooms in universities based on simulation. Build. Simul. 2021, 15, 1419–1436. [Google Scholar] [CrossRef]
- Hakim, C.J.A.; Jonathan, M.; Indrani, H.C. Assessment of indoor acoustic performance: Impact of interior materials on classrooms in higher education buildings. Int. J. Sustain. Dev. Future Soc. 2024, 2, 84–98. [Google Scholar] [CrossRef]
- Langenfeld, T. Internet-based proctored assessment: Security and fairness issues. Educ. Meas. Issues Pract. 2020, 39, 24–27. [Google Scholar] [CrossRef]
- Yao, D. Examining the subjective fairness of at-home and online tests: Taking Duolingo English Test as an example. PLoS ONE 2023, 18, e0291629. [Google Scholar] [CrossRef]
- Maleki, A. Towards a more equitable education: A lens into EFL teachers’ pedagogical barriers in online assessments. Int. J. Lifelong Educ. 2024, 44, 186–205. [Google Scholar] [CrossRef]
- Valente, D.L.; Plevinsky, H.M.; Franco, J.M.; Heinrichs-Graham, E.C.; Lewis, D.E. Experimental investigation of the effects of the acoustical conditions in a simulated classroom on speech recognition and learning in children. J. Acoust. Soc. Am. 2012, 131, 232–246. [Google Scholar] [CrossRef] [PubMed]
- Yang, D.; Mak, C.M. Effects of acoustical descriptors on speech intelligibility in Hong Kong classrooms. Appl. Acoust. 2021, 171, 107678. [Google Scholar] [CrossRef]
- Visentin, C.; Prodi, N.; Cappelletti, F.; Torresin, S.; Gasparella, A. Using lis-tening effort assessment in the acoustical design of rooms for speech. Build. Environ. 2018, 136, 38–53. [Google Scholar] [CrossRef]
- Choi, Y.J. Evaluation of acoustical conditions for speech communication in active university classrooms. Appl. Acoust. 2020, 159, 107089. [Google Scholar] [CrossRef]
- Fratoni, G.; D’Orazio, D.; De Salvio, D.; Garai, M. Predicting speech intelligibility in university classrooms using geometrical acoustic simulations. In Proceedings of the 16th Conference of International Building Performance Simulation Association (IBPSA), Rome, Italy, 2–4 September 2019; pp. 4305–4312. [Google Scholar]
- Bistafa, S.R.; Bradley, J.S. Reverberation time and maximum background-noise level for classrooms from a comparative study of speech intelligibility metrics. J. Acoust. Soc. Am. 2000, 107, 861–875. [Google Scholar] [CrossRef] [PubMed]
- Chen, Q.; Ou, D. The effects of classroom reverberation time and traffic noise on English listening comprehension of Chinese university students. Appl. Acoust. 2021, 179, 108082. [Google Scholar] [CrossRef]
- Mercugliano, A.; Corbani, A.; Bigozzi, L.; Vettori, G.; Incognito, O. The effects of classroom acoustic quality on student perception and well-being: A systematic review across educational levels. Front. Psychol. 2025, 16, 1586997. [Google Scholar] [CrossRef] [PubMed]









| Score Range | A1 | A2 | B1 | B2 | C1 | C2 | |
|---|---|---|---|---|---|---|---|
| Listening | 31–68 | n/a | 38 | 46 | 55 | 62 | n/a |
| Grammar | 31–68 | n/a | 32 | 43 | 53 | 64 | n/a |
| Reading | 31–67 | n/a | 33 | 41 | 55 | 60 | n/a |
| GR 1 | 62–135 | n/a | 65 | 84 | 108 | 124 | n/a |
| Room | Building | Height 1 (m) | Area (m2) | Volume (m3) | Capacity 2 (All Seats) | Capacity (Test Day) | Capacity (Test Day %) | Seating Style 3 | Floor Type |
|---|---|---|---|---|---|---|---|---|---|
| 11 | E | 4.4 | 476 | 2033 | 288 | 156 | 54.2 | Stadium | Tiered |
| 12 | E | 3.3 | 176 | 585 | 150 | 90 | 60.0 | Traditional | Tiered |
| 13 | F | 4.0 | 258 | 1040 | 250 | 144 | 57.6 | Stadium | Sloped/Tiered |
| Power Amplifier | Loudspeaker | |||||
|---|---|---|---|---|---|---|
| Room | Brand & Model Number | Output Power (W) | Brand & Model Number | Type | Components | Units |
| 11 | Yamaha 1 XMV4280 | 280 W | Yamaha VXL1W-24 | 24-way | 3.75 cm full range × 24 | 2 |
| 12 | Panasonic 2 WA-HA061 | 60 W | Panasonic WS-AT75H | 2-way | 20 cm woofer + SCWG horn tweeter | 2 |
| 13 | Yamaha XMV4280 | 280 W | Panasonic WS-AT80 | 2-way | 20 cm woofer + SCWG horn tweeter | 2 |
| Room | BNL (dBA) | BNL + HVAC (dBA) | AC | Ventilation |
|---|---|---|---|---|
| 11 | 33.2 | 40.0 | [ON] OFF | Integrated with AC 1 |
| 12 | 28.2 | 39.6 | [W] S P | OFF [W] S |
| 13 | 27.7 | 39.8 | [ON] OFF | Integrated with AC 1 |
| Room | Decay Range | RT125Hz | RT250Hz | RT500Hz | RT1kHz | RT2kHz | RT4kHz | RT8kHz | RT0.5–1kHz | RT0.5–2kHz |
|---|---|---|---|---|---|---|---|---|---|---|
| 11 | T20 | 1.42 | 1.47 | 1.66 | 1.51 | 1.35 | 1.26 | 0.93 | 1.58 (0.10) | 1.51 (0.13) |
| 12 | T20 | 0.57 | 0.63 | 0.67 | 0.82 | 1.32 | 1.43 | 0.82 | 0.74 (0.09) | 0.93 (0.29) |
| 13 | T20 | 1.20 | 1.02 | 0.81 | 0.81 | 0.75 | 0.69 | 0.58 | 0.81 (0.04) | 0.79 (0.05) |
| Room | n | Min | Max | Range | Mean | SD |
|---|---|---|---|---|---|---|
| 11 | 36 | 0.52 | 0.67 | 0.15 | 0.60 | 0.04 |
| 12 | 30 | 0.61 | 0.76 | 0.15 | 0.69 | 0.03 |
| 13 | 32 | 0.60 | 0.73 | 0.13 | 0.67 | 0.03 |
| Listening | Grammar | Reading | Total | ||||||
|---|---|---|---|---|---|---|---|---|---|
| Room | n | Mean | SD | Mean | SD | Mean | SD | Mean | SD |
| 11 | 1318 | 47.28 | 3.81 | 45.70 | 5.38 | 44.91 | 5.30 | 459.59 | 38.82 |
| 12 | 356 | 48.33 | 4.39 | 45.00 | 5.98 | 45.07 | 5.52 | 461.35 | 43.72 |
| 13 | 864 | 47.52 | 3.59 | 44.34 | 4.97 | 44.11 | 4.77 | 453.24 | 34.73 |
| Total | 2538 | 47.51 | 3.84 | 45.14 | 5.37 | 44.66 | 5.17 | 457.68 | 38.35 |
| Room 11 | Room 12 | Room 13 | Total | |||||
|---|---|---|---|---|---|---|---|---|
| n | % | n | % | n | % | n | % | |
| CEFR | ||||||||
| C1 | 1 | 0.04 | 1 | 0.04 | 0 | n/a | 2 | 0.08 |
| B2 | 44 | 1.73 | 14 | 0.55 | 8 | 0.32 | 66 | 2.60 |
| B1 | 976 | 38.46 | 246 | 9.69 | 630 | 24.82 | 1852 | 72.97 |
| A2 | 295 | 11.62 | 94 | 3.70 | 225 | 8.87 | 614 | 24.19 |
| A1 | 2 | 0.08 | 1 | 0.04 | 1 | 0.04 | 4 | 0.16 |
| CEFR-J | ||||||||
| C1 | 1 | 0.04 | 1 | 0.04 | 0 | n/a | 2 | 0.08 |
| B2.2 | 5 | 0.20 | 1 | 0.04 | 0 | n/a | 6 | 0.24 |
| B2.1 | 39 | 1.54 | 13 | 0.51 | 8 | 0.32 | 60 | 2.36 |
| B1.2 | 348 | 13.71 | 91 | 3.59 | 172 | 6.78 | 611 | 24.07 |
| B1.1 | 628 | 24.74 | 155 | 6.11 | 458 | 18.05 | 1241 | 48.90 |
| A2.2 | 254 | 10.01 | 77 | 3.03 | 187 | 7.37 | 518 | 20.41 |
| A2.1 | 41 | 1.62 | 17 | 0.67 | 38 | 1.50 | 96 | 3.78 |
| A1.3 | 2 | 0.08 | 1 | 0.04 | 1 | 0.04 | 4 | 0.16 |
| Total | 1318 | 51.93 | 356 | 14.03 | 864 | 34.04 | 2538 | 100 |
| Room 11 | Room 12 | Room 13 | Total | |||||
|---|---|---|---|---|---|---|---|---|
| Mean | SD | Mean | SD | Mean | SD | Mean | SD | |
| CEFR | ||||||||
| C1 | 60.00 | n/a | 64.00 | n/a | n/a | n/a | 62.00 | 2.83 |
| B2 | 53.73 | 4.37 | 56.29 | 4.41 | 54.38 | 5.07 | 54.35 | 4.51 |
| B1 | 47.55 | 3.49 | 48.82 | 3.57 | 48.00 | 3.44 | 47.88 | 3.51 |
| A2 | 45.38 | 3.33 | 45.73 | 4.18 | 45.91 | 3.26 | 45.63 | 3.45 |
| A1 | 46.00 | 1.41 | 43.00 | n/a | 46.00 | n/a | 45.25 | 1.71 |
| CEFR-J | ||||||||
| B2.2 | 54.60 | 1.82 | 55.00 | n/a | n/a | n/a | 54.67 | 1.63 |
| B2.1 | 53.62 | 4.60 | 56.38 | 4.57 | 54.38 | 5.07 | 54.32 | 4.71 |
| B1.2 | 49.01 | 3.33 | 50.26 | 3.62 | 49.55 | 3.50 | 49.35 | 3.44 |
| B1.1 | 46.75 | 3.32 | 47.97 | 3.26 | 47.43 | 3.24 | 47.15 | 3.31 |
| A2.2 | 45.47 | 3.39 | 45.86 | 4.47 | 46.07 | 3.19 | 45.74 | 3.50 |
| A2.1 | 44.80 | 2.98 | 45.18 | 2.51 | 45.11 | 3.53 | 44.99 | 3.11 |
| Total | 47.28 | 3.81 | 48.33 | 4.39 | 47.52 | 3.59 | 47.51 | 3.84 |
| Room 11 | Room 12 | Room 13 | Total | |||||
|---|---|---|---|---|---|---|---|---|
| Mean | SD | Mean | SD | Mean | SD | Mean | SD | |
| CEFR | ||||||||
| C1 | 126.00 | n/a | 124.00 | n/a | n/a | n/a | 125.00 | 1.41 |
| B2 | 111.32 | 3.67 | 110.43 | 2.62 | 109.88 | 1.73 | 110.95 | 3.30 |
| B1 | 93.49 | 5.76 | 93.73 | 5.96 | 92.08 | 5.43 | 93.04 | 5.72 |
| A2 | 78.00 | 4.03 | 77.40 | 4.49 | 77.65 | 4.19 | 77.78 | 4.16 |
| A1 | 63.50 | 0.71 | 62.00 | n/a | 62.00 | n/a | 62.75 | 0.96 |
| CEFR-J | ||||||||
| B2.2 | 119.00 | 2.12 | 116.00 | n/a | n/a | n/a | 118.50 | 2.26 |
| B2.1 | 110.33 | 2.45 | 110.00 | 2.16 | 109.88 | 1.73 | 110.20 | 2.28 |
| B1.2 | 99.83 | 3.22 | 100.24 | 3.14 | 99.34 | 2.91 | 99.75 | 3.13 |
| B1.1 | 89.98 | 3.34 | 89.91 | 3.33 | 89.35 | 3.18 | 89.74 | 3.29 |
| A2.2 | 79.21 | 2.76 | 79.16 | 2.61 | 79.07 | 2.88 | 79.15 | 2.78 |
| A2.1 | 70.54 | 2.27 | 69.47 | 1.84 | 70.68 | 2.14 | 70.41 | 2.17 |
| Total | 90.60 | 9.31 | 90.07 | 10.18 | 88.45 | 8.44 | 89.80 | 9.20 |
| Room 11 | Room 12 | Room 13 | Total | |||||
|---|---|---|---|---|---|---|---|---|
| n | % | n | % | n | % | n | % | |
| Gender | ||||||||
| Male | 403 | 15.92 | 92 | 3.63 | 242 | 9.56 | 737 | 29.11 |
| Female | 912 | 36.02 | 262 | 10.35 | 621 | 24.53 | 1795 | 70.89 |
| Age | ||||||||
| 18 | 129 | 5.09 | 27 | 1.07 | 114 | 4.50 | 270 | 10.66 |
| 19 | 398 | 15.72 | 118 | 4.66 | 318 | 12.56 | 834 | 32.94 |
| 20 | 423 | 16.71 | 113 | 4.46 | 296 | 11.69 | 832 | 32.86 |
| 21 | 187 | 7.39 | 60 | 2.37 | 108 | 4.27 | 355 | 14.02 |
| 22 | 122 | 4.82 | 19 | 0.75 | 19 | 0.75 | 160 | 6.32 |
| 23+ | 56 | 2.21 | 17 | 0.67 | 8 | 0.32 | 81 | 3.20 |
| Year | ||||||||
| 1st | 544 | 21.48 | 184 | 7.27 | 479 | 18.92 | 1207 | 47.67 |
| 2nd | 404 | 15.96 | 112 | 4.42 | 301 | 11.89 | 817 | 32.27 |
| 3rd | 229 | 9.04 | 18 | 0.71 | 77 | 3.04 | 324 | 12.80 |
| 4th | 138 | 5.45 | 40 | 1.58 | 6 | 0.24 | 184 | 7.27 |
| Nationality | ||||||||
| Japan | 1277 | 50.43 | 347 | 13.70 | 847 | 33.45 | 2471 | 97.59 |
| Foreign | 38 | 1.50 | 7 | 0.28 | 16 | 0.63 | 61 | 2.41 |
| Pairwise Comparisons 1 (p) | |||||
|---|---|---|---|---|---|
| Room | n | Estimated Mean | Std. Error | Room 11 | Room 12 |
| 11 | 1315 | 48.14 | 0.47 | ||
| 12 | 354 | 48.89 | 0.50 | <0.001 *** | |
| 13 | 863 | 48.72 | 0.48 | <0.001 *** | 1.000 |
| IEC-Based STI Category | ||||||
|---|---|---|---|---|---|---|
| Room | F 0.52–0.55 | E 0.56–0.59 | D 0.60–0.63 | C 0.64–0.67 | B 0.68–0.71 | A 0.72–0.76 |
| 11 | 350 | 123 | 551 | 291 | ||
| 12 | 10 | 135 | 138 | 71 | ||
| 13 | 44 | 367 | 429 | 23 | ||
| Total | 350 | 123 | 605 | 793 | 567 | 94 |
| JND-Based STI Category | ||||||||
|---|---|---|---|---|---|---|---|---|
| Room | F 0.52–0.54 | E 0.55–0.57 | E+ 0.58–0.60 | D 0.61–0.63 | C 0.64–0.66 | C+ 0.67–0.69 | B 0.70–0.72 | A 0.73–0.76 |
| 11 | 170 | 249 | 131 | 474 | 264 | 27 | ||
| 12 | 10 | 96 | 105 | 95 | 48 | |||
| 13 | 22 | 22 | 200 | 410 | 200 | 9 | ||
| Total | 170 | 249 | 153 | 506 | 560 | 542 | 295 | 57 |
| Pairwise Comparisons (p) | |||||||||
|---|---|---|---|---|---|---|---|---|---|
| STI Category (IEC) | STI | n | Estimated Mean | Std. Error | A 0.72–0.76 | B 0.68–0.71 | C 0.64–0.67 | D 0.60–0.63 | E 0.56–0.59 |
| A | 0.72–0.76 | 94 | 49.25 | 0.41 | |||||
| B | 0.68–0.71 | 567 | 49.04 | 0.26 | 1.000 | ||||
| C | 0.64–0.67 | 793 | 48.67 | 0.25 | 1.000 | 0.696 | |||
| D | 0.60–0.63 | 605 | 48.32 | 0.25 | 0.177 | 0.004 ** | 0.714 | ||
| E | 0.56–0.59 | 123 | 48.10 | 0.37 | 0.184 | 0.076 | 1.000 | 1.000 | |
| F | 0.52–0.55 | 350 | 47.57 | 0.27 | <0.001 *** | <0.001 *** | <0.001 *** | 0.013 * | 1.000 |
| Pairwise Comparisons (p) | |||||||||||
|---|---|---|---|---|---|---|---|---|---|---|---|
| STI Category (JND) | STI | n | Estimated Mean | Std. Error | A 0.73–0.76 | B 0.70–0.72 | C+ 0.67–0.69 | C 0.64–0.66 | D 0.61–0.63 | E+ 0.58–0.60 | E 0.55–0.57 |
| A | 0.73–0.76 | 57 | 49.44 | 0.49 | |||||||
| B | 0.70–0.72 | 295 | 49.00 | 0.30 | 1.000 | ||||||
| C+ | 0.67–0.69 | 542 | 49.00 | 0.26 | 1.000 | 1.000 | |||||
| C | 0.64–0.66 | 560 | 48.61 | 0.26 | 1.000 | 1.000 | 1.000 | ||||
| D | 0.61–0.63 | 506 | 48.37 | 0.26 | 0.628 | 0.322 | 0.079 | 1.000 | |||
| E+ | 0.58–0.60 | 153 | 47.96 | 0.34 | 0.123 | 0.056 | 0.022 * | 0.985 | 1.000 | ||
| E | 0.55–0.57 | 249 | 47.96 | 0.30 | 0.071 | 0.009 ** | 0.002 ** | 0.315 | 1.000 | 1.000 | |
| F | 0.52–0.54 | 170 | 47.33 | 0.33 | 0.001 ** | <0.001 *** | <0.001 *** | <0.001 *** | 0.013 * | 1.000 | 1.000 |
Disclaimer/Publisher’s Note: The statements, opinions and data contained in all publications are solely those of the individual author(s) and contributor(s) and not of MDPI and/or the editor(s). MDPI and/or the editor(s) disclaim responsibility for any injury to people or property resulting from any ideas, methods, instructions or products referred to in the content. |
© 2025 by the authors. Licensee MDPI, Basel, Switzerland. This article is an open access article distributed under the terms and conditions of the Creative Commons Attribution (CC BY) license (https://creativecommons.org/licenses/by/4.0/).
Share and Cite
Kawata, M.; Hasegawa, H. Acoustic Conditions and Listening Performance in High-Stakes EFL Tests: An Observational Study of Real-World Data. Acoustics 2025, 7, 80. https://doi.org/10.3390/acoustics7040080
Kawata M, Hasegawa H. Acoustic Conditions and Listening Performance in High-Stakes EFL Tests: An Observational Study of Real-World Data. Acoustics. 2025; 7(4):80. https://doi.org/10.3390/acoustics7040080
Chicago/Turabian StyleKawata, Makito, and Hiroshi Hasegawa. 2025. "Acoustic Conditions and Listening Performance in High-Stakes EFL Tests: An Observational Study of Real-World Data" Acoustics 7, no. 4: 80. https://doi.org/10.3390/acoustics7040080
APA StyleKawata, M., & Hasegawa, H. (2025). Acoustic Conditions and Listening Performance in High-Stakes EFL Tests: An Observational Study of Real-World Data. Acoustics, 7(4), 80. https://doi.org/10.3390/acoustics7040080

