Association of Meal Timing with Sleep Quality and Anxiety According to Chronotype: A Study of University Students
Abstract
1. Introduction
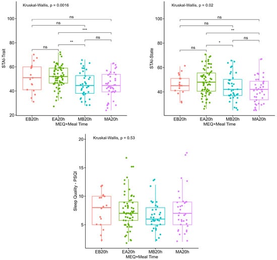
2. Results
3. Discussion
4. Materials and Methods
4.1. Ethics and Data Collection
4.2. Data Collection Instruments
4.3. Statistical Analysis
5. Conclusions
Author Contributions
Funding
Institutional Review Board Statement
Informed Consent Statement
Data Availability Statement
Conflicts of Interest
References
- Baehr, E.K.; Revelle, W.; Eastman, C.J. Individual Differences in the Phase and Amplitude of the Human Circadian Temperature Rhythm with Emphasis on Morningness-Eveningness. J. Sleep Res. 2000, 9, 117–127. [Google Scholar] [CrossRef]
- Bailey, S.L.; Heitkemper, M.M. Circadian Rhythmicity of Cortisol and Body Temperature: Morningness-Eveningness Effects. Chronobiol. Int. 2001, 18, 249–261. [Google Scholar] [CrossRef]
- Duarte, L.L.; Menna-Barreto, L. Chronotypes and Circadian Rhythms in University Students. Biol. Rhythm Res. 2022, 53, 1058–1072. [Google Scholar] [CrossRef]
- Tokur-Kesgin, M.; Kocoglu-Tanyer, D. Pathways to Adolescents’ Health: Chronotype, Bedtime, Sleep Quality and Mental Health. Chronobiol. Int. 2021, 38, 1441–1448. [Google Scholar] [CrossRef]
- Azevedo, C.V.M.; Sousa, I.; Paul, K.; Macleish, M.Y.; Mondéjar, M.T.; Sarabia, J.A.; Madrid, J.A. Teaching Chronobiology and Sleep Habits in School and University. Mind Brain Educ. 2008, 2, 34–47. [Google Scholar] [CrossRef]
- Giannotti, F.; Cortesi, F.; Sebastiani, T.; Ottaviano, S. Circadian Preference, Sleep and Daytime Behaviour in Adolescence. J. Sleep Res. 2002, 11, 191–199. [Google Scholar] [CrossRef]
- Merikanto, I.; Lahti, T.; Kronholm, E.; Peltonen, M.; Laatikainen, T.; Vartiainen, E.; Salomaa, V.; Partonen, T. Evening Types Are Prone to Depression. Chronobiol. Int. 2013, 30, 719–725. [Google Scholar] [CrossRef]
- Tan, M.N.; Mevsim, V.; Pozlu Cifci, M.; Sayan, H.; Ercan, A.E.; Ergin, O.F.; Oksuz, U.; Ensari, S. Who Is Happier among Preclinical Medical Students: The Impact of Chronotype Preference. Chronobiol. Int. 2020, 37, 1163–1172. [Google Scholar] [CrossRef]
- Silva, V.M.; Magalhaes, J.E.M.; Duarte, L.L. Quality of Sleep and Anxiety Are Related to Circadian Preference in University Students. PLoS ONE 2020, 15, e0238514. [Google Scholar] [CrossRef]
- Druiven, S.J.M.; Riese, H.; Kamphuis, J.; Haarman, B.C.M.; Antypa, N.; Penninx, B.W.J.H.; Schoevers, R.A.; Meesters, Y. Chronotype Changes with Age; Seven-Year Follow-up from the Netherlands Study of Depression and Anxiety Cohort. J. Affect. Disord. 2021, 295, 1118–1121. [Google Scholar] [CrossRef]
- Park, C.I.; An, S.K.; Kim, H.W.; Koh, M.J.; Namkoong, K.; Kang, J.I.; Kim, S.J. Relationships between Chronotypes and Affective Temperaments in Healthy Young Adults. J. Affect. Disord. 2015, 175, 256–259. [Google Scholar] [CrossRef]
- Fabbian, F.; Zucchi, B.; De Giorgi, A.; Tiseo, R.; Boari, B.; Salmi, R.; Cappadona, R.; Gianesini, G.; Bassi, E.; Signani, F.; et al. Chronotype, Gender and General Health. Chronobiol. Int. 2016, 33, 863–882. [Google Scholar] [CrossRef]
- Cheung, F.T.W.; Li, X.; Hui, T.K.; Chan, N.Y.; Chan, J.W.; Wing, Y.K.; Li, S.X. Circadian Preference and Mental Health Outcomes in Youth: A Systematic Review and Meta-Analysis. Sleep Med. Rev. 2023, 72, 101851. [Google Scholar] [CrossRef]
- Yusoff, M.S.; Abdul Rahim, A.F.; Baba, A.A.; Ismail, S.B.; Mat Pa, M.N.; Esa, A.R. Prevalence and Associated Factors of Stress, Anxiety and Depression among Prospective Medical Students. Asian J. Psychiatr. 2013, 6, 128–133. [Google Scholar] [CrossRef]
- Wehrens, S.M.T.; Christou, S.; Isherwood, C.; Middleton, B.; Gibbs, M.A.; Archer, S.N.; Skene, D.J.; Johnston, J.D. Meal Timing Regulates the Human Circadian System. Curr. Biol. 2017, 27, 1768–1775.e3. [Google Scholar] [CrossRef]
- Gamble, K.L.; Berry, R.; Frank, S.J.; Young, M.E. Circadian Clock Control of Endocrine Factors. Nat. Rev. Endocrinol. 2014, 10, 466–475. [Google Scholar] [CrossRef]
- Burke, T.M.; Markwald, R.R.; McHill, A.W.; Chinoy, E.D.; Snider, J.A.; Bessman, S.C.; Jung, C.M.; O’Neill, J.S.; Wright, K.P. Effects Oficaffeine on the Human Circadian Clock In Vivo and In Vitro. Sci. Transl. Med. 2015, 7, 305ra146. [Google Scholar] [CrossRef]
- Crispim, C.A.; Rinaldi, A.E.M.; Azeredo, C.M.; Skene, D.J.; Moreno, C.R.C. Is Time of Eating Associated with BMI and Obesity? A Population-Based Study. Eur. J. Nutr. 2023, 63, 527–537. [Google Scholar] [CrossRef]
- Marot, L.P.; Lopes, T.d.V.C.; Balieiro, L.C.T.; Crispim, C.A.; Moreno, C.R.C. Impact of Nighttime Food Consumption and Feasibility of Fasting during Night Work: A Narrative Review. Nutrients 2023, 15, 2570. [Google Scholar] [CrossRef]
- Teixeira, B.S.; Silva, C.M.; Silva, A.T.F.; Santos, L.L.D.; de Paiva Maia, Y.C.; Pedrazzoli, M.; Wright, K.P.; Crispim, C.A. Influence of Fasting during the Night Shift on next Day Eating Behavior, Hunger, and Glucose and Insulin Levels: A Randomized, Three-condition, Crossover Trial. Eur. J. Nutr. 2023, 62, 1281–1293. [Google Scholar] [CrossRef]
- Gupta, C.C.; Centofanti, S.; Dorrian, J.; Coates, A.M.; Stepien, J.M.; Kennaway, D.; Wittert, G.; Heilbronn, L.; Catcheside, P.; Noakes, M.; et al. Subjective Hunger, Gastric Upset, and Sleepiness in Response to Altered Meal Timing during Simulated Shiftwork. Nutrients 2019, 11, 1352. [Google Scholar] [CrossRef]
- Godos, J.; Grosso, G.; Castellano, S.; Galvano, F.; Caraci, F.; Ferri, R. Association between Diet and Sleep Quality: A Systematic Review. Sleep Med. Rev. 2021, 57, 101430. [Google Scholar] [CrossRef]
- Binks, H.; Vincent, G.E.; Gupta, C.; Irwin, C.; Khalesi, S. Effects of Diet on Sleep: A Narrative Review. Nutrients 2020, 12, 936. [Google Scholar] [CrossRef]
- Kafeshani, M.; Feizi, A.; Esmaillzadeh, A.; Keshteli, A.H.; Afshar, H.; Roohafza, H.; Adibi, P. Higher Vitamin B6 Intake Is Associated with Lower Depression and Anxiety Risk in Women but Not in Men: A Large Cross-Sectional Study. Int. J. Vitam. Nutr. Res. 2020, 90, 484–492. [Google Scholar] [CrossRef]
- Chong, H.X.; Yusoff, N.A.A.; Hor, Y.Y.; Lew, L.C.; Jaafar, M.H.; Choi, S.B.; Yusoff, M.S.B.; Wahid, N.; Abdullah, M.; Zakaria, N.; et al. Lactobacillus Plantarum DR7 Alleviates Stress and Anxiety in Adults: A Randomised, Double-Blind, Placebo-Controlled Study. Benef. Microbes 2019, 10, 355–373. [Google Scholar] [CrossRef]
- Aparecida Crispim, C.; Mota, C. New Perspectives on Chrononutrition. Biol. Rhythm Res. 2019, 50, 63–77. [Google Scholar] [CrossRef]
- Budkevich, R.O.; Bakumenko, O.E.; Evdokimov, I.A.; Budkevich, E. V Effects of Nighttime Snacking in Students on Their Physiological Parameters. Vopr. Pitan. 2014, 83, 17–24. [Google Scholar]
- Tahara, Y.; Makino, S.; Suiko, T.; Nagamori, Y.; Iwai, T.; Aono, M.; Shibata, S. Association between Irregular Meal Timing and the Mental Health of Japanese Workers. Nutrients 2021, 13, 2775. [Google Scholar] [CrossRef]
- Dashti, H.S.; Gómez-Abellán, P.; Qian, J.; Esteban, A.; Morales, E.; Scheer, F.; Garaulet, M. Late Eating Is Associated with Cardiometabolic Risk Traits, Obesogenic Behaviors, and Impaired Weight Loss. Am. J. Clin. Nutr. 2021, 113, 154–161. [Google Scholar] [CrossRef]
- Al-Khani, A.M.; Sarhandi, M.I.; Zaghloul, M.S.; Ewid, M.; Saquib, N. A Cross-Sectional Survey on Sleep Quality, Mental Health, and Academic Performance among Medical Students in Saudi Arabia. BMC Res. Notes 2019, 12, 665. [Google Scholar] [CrossRef]
- Bugueño, M.; Curihual, C.; Olivares, P.; Wallace, J.; López-Alegría, F.; Rivera-López, G.; Oyanedel, J.C. Calidad de Sueño y Rendimiento Académico En Alumnos de Educación Secundaria [Quality of Sleep and Academic Performance in High School Students]. Rev. Med. Chil. 2017, 145, 1106–1114. [Google Scholar] [CrossRef] [PubMed]
- Piscoya-Tenorio, J.L.; Heredia-Rioja, W.V.; Morocho-Alburqueque, N.; Zeña-Ñañez, S.; Hernández-Yépez, P.J.; Díaz-Vélez, C.; Failoc-Rojas, V.E.; Valladares-Garrido, M.J. Prevalence and Factors Associated with Anxiety and Depression in Peruvian Medical Students. Int. J. Environ. Res. Public Health 2023, 20, 2907. [Google Scholar] [CrossRef] [PubMed]
- Coelho, L.D.S.; Tony, A.C.C.; Laguardia, G.C.A.; Santos, K.B.D.; Friedrich, D.B.C.; Cavalcante, R.B.; Carbogim, F.D.C. Are Symptoms of Depression and Anxiety in Nursing Students Associated with Their Sociodemographic Characteristics? Rev. Bras. Enferm. 2021, 74, e20200503. [Google Scholar] [CrossRef] [PubMed]
- Wahed, W.Y.A.; Hassan, S.K. Prevalence and Associated Factors of Stress, Anxiety and Depression among Medical Fayoum University Students. Alex. J. Med. 2017, 53, 77–84. [Google Scholar]
- Lund, H.G.; Reider, B.D.; Whiting, A.B.; Prichard, J.R. Sleep Patterns and Predictors of Disturbed Sleep in a Large Population of College Students. J. Adolesc. Health 2010, 46, 124–132. [Google Scholar] [CrossRef] [PubMed]
- El Hangouche, A.J.; Jniene, A.; Aboudrar, S.; Errguig, L.; Rkain, H.; Cherti, M.; Dakka, T. Relationship between Poor Quality Sleep, Excessive Daytime Sleepiness and Low Academic Performance in Medical Students. Adv. Med. Educ. Pract. 2018, 9, 631–638. [Google Scholar] [CrossRef]
- Gangwar, A.; Tiwari, S.; Rawat, A.; Verma, A.; Singh, K.; Kant, S.; Garg, R.K.; Singh, P.K. Circadian Preference, Sleep Quality, and Health-Impairing Lifestyles Among Undergraduates of Medical University. Cureus 2018, 10, e2856. [Google Scholar] [CrossRef]
- Cahill, L.E.; Chiuve, S.E.; Mekary, R.A.; Jensen, M.K.; Flint, A.J.; Hu, F.B.; Rimm, E.B. Prospective Study of Breakfast Eating and Incident Coronary Heart Disease in a Cohort of Male US Health Professionals. Circulation 2013, 128, 337–343. [Google Scholar] [CrossRef]
- Mirghani, H. The Effect of Breakfast Skipping and Late Night Eating on Body Mass Index and Glycemic Control among Patients With Type 2 Diabetes Mellitus. Cureus 2021, 13, e15853. [Google Scholar] [CrossRef]
- Voss, C.; Shorter, P.; Weatrowski, G.; Mueller-Coyne, J.; Turner, K. A Comparison of Anxiety Levels before and during the COVID-19 Pandemic. Psychol. Rep. 2022, 126, 332941221093250. [Google Scholar] [CrossRef]
- Tahara, Y.; Shibata, S. Chronobiology and Nutrition. Neuroscience 2013, 253, 78–88. [Google Scholar] [CrossRef] [PubMed]
- Horne, J.A.; Ostberg, O. A Self-Assessment Questionnaire to Determine Morningness-Eveningness in Human Circadian Rhythms. Int. J. Chronobiol. 1976, 4, 97–110. [Google Scholar] [PubMed]
- Ceolim, M.F.; Menna-Barreto, L. Sleep/Wake Cycle and Physical Activity in Healthy Elderly People. Sleep Res. Online 2000, 3, 87–95. [Google Scholar] [PubMed]
- Buysse, D.J.; Reynolds, C.F.; Monk, T.H.; Berman, S.R.; Kupfer, D.J. The Pittsburgh Sleep Quality Index: A New Instrument for Psychiatric Practice and Research. Psychiatry Res. 1989, 28, 193–213. [Google Scholar] [CrossRef]
- Spielberger, C.D.; Gorsuch, R.L.; Lushene, R.E. Manual for the State-Trait Anxiety Inventory; Consulting Psychologists Press: Palo Alto, CA, USA, 1970. [Google Scholar]
- Biaggio, A.M.B.; Nataíicio, L.; Spielberger, C.D. Desenvolvimento Da Forma Experimental Em Português Do Inventário de Ansiedade Traço-Estado (IDATE) de Spielberger. Arq. Bras. Psicol. Apl. 1977, 29, 31–44. [Google Scholar]
- Borine, M.S. Ansiedade, Neuroticismo e Suporte Familiar: Evidência de Validade Do Inventário de Ansiedade Traço-Estado (IDATE); Universidade São Franscisco: Itatiba, Brazil, 2011. [Google Scholar]
- Spielberger, C.D. Manual for the State-Trait Inventory STAI (Form Y); Mind Garden: Palo Alto, CA, USA, 1983. [Google Scholar]
- Farsijani, S.; Mao, Z.; Cauley, J.A.; Newman, A.B. Comprehensive Assessment of Chrononutrition Behaviors among Nationally Representative Adults: Insights from National Health and Nutrition Examination Survey (NHANES) Data. Clin. Nutr. 2023, 42, 1910–1921. [Google Scholar] [CrossRef]
- Longo-Silva, G.; Bezerra de Oliveira, P.M.; Pedrosa, A.K.P.; Ribeiro da Silva, J.; Bernardes, R.S.; Egito de Menezes, R.C.; Marinho, P.d.M. Breakfast Skipping and Timing of Lunch and Dinner: Relationship with BMI and Obesity. Obes. Res. Clin. Pract. 2022, 16, 507–513. [Google Scholar] [CrossRef]



| Course Study Period | Wake-Up Time (Work/Study Time Days) | First Class Start Time | Main Meal Time | Last Meal Time |
|---|---|---|---|---|
| Morning | 06:42 h ± 50 min | 07:42 h ± 21 min | 11:42 h ± 115 min | 20:36 h ± 75 min |
| Afternoon | 07:00 h ± 66 min | 13:48 h ± 30 min | 13:48 h ± 284 min | 20:42 h ± 48 min |
| Evening | 07:06 h ± 72 min | 18:54 h ± 17 min | 11:54 h ± 177 min | 20:00 h ± 98 min |
| Variables | Trait Anxiety (%) | ||||
|---|---|---|---|---|---|
| Low | Moderate | High | X2 | p | |
| Gender | |||||
| Female | 15.7 | 66.4 | 17.8 | 15.67 | 0.004 * |
| Male | 57.1 | 28.6 | 14.3 | ||
| Age | |||||
| 17–20 years | 20.8 | 54.2 | 25.0 | 10.00 | 0.04 * |
| 21–25 years | 12.7 | 74.6 | 12.7 | ||
| >25 years | 29.6 | 63.0 | 7.4 | ||
| Physical Activity | |||||
| Yes | 25.9 | 61.1 | 13.0 | 11.62 | 0.003 * |
| No | 5.6 | 68.5 | 25.9 | ||
| BMI | |||||
| <18.6 | 0.0 | 63.6 | 36.4 | 10.00 | 0.12 |
| 18.6–24.9 | 24.3 | 60.4 | 15.3 | ||
| 25–29.9 | 14.3 | 71.4 | 14.3 | ||
| >30 | 0.0 | 72.7 | 27.3 | ||
| Chronotype (tertiles) | |||||
| Evening | 10.3 | 70.7 | 19.0 | 7.25 | 0.12 |
| Intermediate | 18.9 | 60.4 | 20.7 | ||
| Morning | 29.4 | 58.8 | 11.8 | ||
| Last Meal Time | |||||
| Before 20:00 h | 28.3 | 52.8 | 18.9 | 5.00 | 0.08 |
| After 20:00 h | 14.7 | 68.8 | 16.5 | ||
| Main Meal Time | |||||
| Breakfast | 19.1 | 69.0 | 11.9 | 1.12 | 0.57 |
| Lunch/Dinner | 20.4 | 61.1 | 18.5 | ||
| Bedtime | |||||
| 20:00–21:59 h | 40.0 | 53.3 | 6.7 | 13.86 | 0.03 * |
| 22:00–23:59 h | 18.1 | 66.0 | 15.9 | ||
| 00:00–01:59 h | 20.5 | 64.1 | 15.4 | ||
| 02:00–04:00 h | 0.0 | 53.8 | 46.2 | ||
| Wake-up Time | |||||
| 03:00–05:59 h | 21.1 | 68.4 | 10.5 | 7.12 | 0.31 |
| 06:00–07:59 h | 21.9 | 62.5 | 15.6 | ||
| 08:00–09:59 h | 13.3 | 70.0 | 16.7 | ||
| 10:00–15:00 h | 8.3 | 50.0 | 41.7 | ||
| Sleep Quality | |||||
| Good | 36.0 | 48.0 | 16.0 | 7.00 | 0.03 * |
| Poor | 14.0 | 67.2 | 18.8 | ||
| Variables | State Anxiety (%) | ||||
|---|---|---|---|---|---|
| Low | Moderate | High | X2 | p | |
| Gender | |||||
| Female | 30.1 | 56.8 | 13.0 | 6.44 | 0.17 |
| Male | 57.1 | 28.6 | 14.3 | ||
| Age | |||||
| 17–20 years | 30.5 | 52.8 | 16.7 | 1.62 | 0.80 |
| 21–25 years | 33.3 | 57.1 | 9.5 | ||
| >25 years | 33.3 | 55.6 | 11.1 | ||
| Physical Activity | |||||
| Yes | 37.0 | 55.6 | 7.4 | 10.19 | 0.006 * |
| No | 22.2 | 53.7 | 24.1 | ||
| BMI | |||||
| <18.6 | 9.1 | 63.6 | 27.3 | 7.49 | 0.28 |
| 18.6–24.9 | 36.1 | 53.1 | 10.8 | ||
| 25–29.9 | 28.6 | 60.7 | 10.7 | ||
| >30 | 18.2 | 54.5 | 27.3 | ||
| Chronotype (tertiles) | |||||
| Evening | 20.7 | 63.8 | 15.5 | 6.53 | 0.16 |
| Intermediate | 34.0 | 54.7 | 11.3 | ||
| Morning | 43.1 | 45.1 | 11.8 | ||
| Last Meal Time | |||||
| Before 20:00 h | 35.9 | 52.8 | 11.3 | 0.57 | 0.75 |
| After 20:00 h | 30.3 | 56.0 | 13.7 | ||
| Main Meal Time | |||||
| Breakfast | 35.7 | 57.1 | 7.2 | 1.30 | 0.52 |
| Lunch/Dinner | 33.3 | 52.8 | 13.9 | ||
| Bedtime | |||||
| 20:00–21:59 h | 46.7 | 33.3 | 20.0 | 7.80 | 0.26 |
| 22:00–23:59 h | 33.0 | 57.4 | 9.6 | ||
| 00:00–01:59 h | 28.2 | 59.0 | 12.8 | ||
| 02:00–04:00 h | 23.1 | 46.1 | 30.8 | ||
| Wake-up Time | |||||
| 03:00–05:59 h | 31.6 | 57.9 | 10.5 | 7.26 | 0.30 |
| 06:00–07:59 h | 34.4 | 56.2 | 9.4 | ||
| 08:00–09:59 h | 26.7 | 53.3 | 20.0 | ||
| 10:00–15:00 h | 16.7 | 50.0 | 33.3 | ||
| Sleep Quality | |||||
| Good | 36.0 | 52.0 | 12.0 | 0.53 | 0.77 |
| Poor | 28.7 | 57.4 | 13.9 | ||
Disclaimer/Publisher’s Note: The statements, opinions and data contained in all publications are solely those of the individual author(s) and contributor(s) and not of MDPI and/or the editor(s). MDPI and/or the editor(s) disclaim responsibility for any injury to people or property resulting from any ideas, methods, instructions or products referred to in the content. |
© 2024 by the authors. Licensee MDPI, Basel, Switzerland. This article is an open access article distributed under the terms and conditions of the Creative Commons Attribution (CC BY) license (https://creativecommons.org/licenses/by/4.0/).
Share and Cite
Luz, C.S.d.S.; Fonseca, A.E.T.P.d.; Santos, J.S.; Araujo, J.F.; Duarte, L.L.; Moreno, C.R.d.C. Association of Meal Timing with Sleep Quality and Anxiety According to Chronotype: A Study of University Students. Clocks & Sleep 2024, 6, 156-169. https://doi.org/10.3390/clockssleep6010011
Luz CSdS, Fonseca AETPd, Santos JS, Araujo JF, Duarte LL, Moreno CRdC. Association of Meal Timing with Sleep Quality and Anxiety According to Chronotype: A Study of University Students. Clocks & Sleep. 2024; 6(1):156-169. https://doi.org/10.3390/clockssleep6010011
Chicago/Turabian StyleLuz, Cristina Souza da Silva, Ana Elizabeth Teixeira Pimentel da Fonseca, Jefferson Souza Santos, John Fontenele Araujo, Leandro Lourenção Duarte, and Claudia Roberta de Castro Moreno. 2024. "Association of Meal Timing with Sleep Quality and Anxiety According to Chronotype: A Study of University Students" Clocks & Sleep 6, no. 1: 156-169. https://doi.org/10.3390/clockssleep6010011
APA StyleLuz, C. S. d. S., Fonseca, A. E. T. P. d., Santos, J. S., Araujo, J. F., Duarte, L. L., & Moreno, C. R. d. C. (2024). Association of Meal Timing with Sleep Quality and Anxiety According to Chronotype: A Study of University Students. Clocks & Sleep, 6(1), 156-169. https://doi.org/10.3390/clockssleep6010011

