Abstract
In this paper, the acoustic characteristics of the most important rooms of the Royal Palace of Caserta are presented. The palace, built in the XVIII century as a residence for the King of Naples, consists of numerous rooms dedicated to court life. The acoustic properties of the rooms have been studied according to ISO 3382. For each room, the average values of reverberation time (T30), clarity (C80), definition (D50), and Speech Transmission Index (STI) are reported. The acoustic issues of the rooms are highlighted as the understanding of acoustics during the period in which the palace was constructed was limited. While the rudiments of Vitruvius’ theories were known, the good acoustics of the rooms resulted primarily from the intuition and experience of the architects who designed them. The building materials—marble and plaster—contribute to the long reverberation times in the rooms. Special attention was given to the elliptical vault where musicians were positioned, the Palatine Chapel, the theatre used for court entertainment, and the Royal Throne Room. The study applies methods and techniques already seen in the literature and already reported in other published papers.
1. Introduction
The study of architectural acoustics focuses on creating environments where speech can be easily understood or where there is an optimal listening experience for music. In Ancient Greece and the Roman Empire, numerous theatres were built for public performances. However, the only treatise on acoustics that has reached us is Vitruvius’ De Architectura, written in the 1st century BC. Book V of this work addresses the acoustic problems of theatres and offers suggestions for improving speech intelligibility [1,2,3,4,5]. De Architectura was rediscovered during the Renaissance and has since influenced generations of architects who designed buildings following Vitruvian principles. In the Renaissance, Athanasius Kircher explored how the geometric shape of a room could influence its acoustic properties. One of his most interesting studies focused on the elliptical shape of ceilings and how this geometry could reinforce voices. Kircher recognized that the ellipse could be used to construct rooms with elliptical vaults, where the foci of the ellipse could facilitate communication over larger distances. He also described how the echo in rooms with circular vaulted ceilings amplified sound, creating surprising acoustic effects [6,7]. During the Renaissance, architects designed buildings, churches, and theatres based on experience and analogy with rooms that were known for their good acoustics. Furthermore, in the 17th century, numerous studies on theatrical acoustics were conducted. At that time, people began to recognize that sound propagation could be compared to the propagation of light, drawing an analogy between light rays and sound rays. These observations laid the foundation for geometric acoustics, which was later applied to the design of theatres and other types of rooms, such as churches [8,9,10]. For example, after the Council of Trent (1545), preaching practices changed, prompting architectural adjustments in churches. Single-nave churches with flat wooden ceilings became more common as they facilitated better listening during sermons [11].
Acoustics, as a formal science, is relatively modern. The first systematic studies of room acoustics were conducted by C.W. Sabine at the end of the 19th century. Sabine’s writings were compiled in Collected Papers. Modern acoustics emerged from his work, particularly in improving the acoustics of the Fogg Art Museum’s auditorium [12]. This room initially had poor speech intelligibility due to its size and the materials used in its construction. Through a series of adjustments, including the addition of cushions, Sabine observed a reduction in the temporal length of reflections. These observations led to the definition of reverberation time as the time interval required for sound decay. This paper aims to analyze the acoustic characteristics of several rooms within the Royal Palace of Caserta. The acoustics of the following rooms have been studied, taking into account their historical and architectural features:
Court Theatre: The only architectural work completed by architect Luigi Vanvitelli, featuring columns and beam frames made of pasted paper.
Elliptical Vault: The room’s unique geometry creates an acoustic effect by positioning musicians between two vaulted ceilings, immersing them in sound within a reverberant staircase.
Palatine Chapel: Opened on Christmas Day in 1784 during a mass attended by King Ferdinando IV, this chapel is now used for various musical performances.
Throne Room: The largest room in the royal apartments, adorned with paintings and frescoes.
Various campaigns of acoustic measurements were carried out in each of these rooms using an omnidirectional sound source emitting a Maximum Length Sequence (MLS) signal. The signal was then recorded by microphones placed at various points in the rooms.
2. Historical Development on the Royal Palace of Caserta: Design, Construction, and Architectural Characteristics of Its Evolution
In 1750, King Charles Burbon acquired a piece of land from the Caetani Acquaviva family, located near the Tifatini mountains, north of Naples, with the intention of building a royal palace. This palace was to serve as the administrative and ministerial center of the city, which would include facilities for cultural and judicial institutions, establishing the new capital of the Spanish Kingdom. The ambitious project was designed by Luigi Vanvitelli, a Neapolitan architect of Dutch origin, who had significant experience working on grand architectural projects for the Vatican State. Vanvitelli, well versed in classical architecture and familiar with Vitruvius’ treatise, was also aware of architectural developments from the 15th century. From this knowledge, he developed an original vision, which he applied in the construction of the Royal Palace of Caserta. The architecture of the Royal Palace reflects Vanvitelli’s unique design personality, which, a few decades later, would be considered a cornerstone of the Neoclassical style. However, with Vanvitelli’s death, the construction of the Royal Palace and the urban planning of the city of Caserta remained unfinished. Despite this, the principles that Vanvitelli established for the city’s design would influence urban planning for centuries to come, as shown in Figure 1. The first stone of the Royal Palace was laid on 20 January 1752, marking the beginning of construction, which continued for the next 20 years under the supervision of Vanvitelli. By March 1773, the year of his death, the majority of the palace had been completed. The plan of the Royal Palace is rectangular, with sides measuring 247 m and 190 m, and a total perimeter of 874 m. The overall height of the building is 41 m. The entire surface area is divided into four parts along the main axes, creating four equal courtyards. The palace contains about 1200 rooms and 1742 windows. Based on Vanvitelli’s original vision, the palace was intended to be a multifunctional structure, incorporating not only the royal residence but also housing for soldiers, administrative offices, a chapel, and a theater. Only 134 rooms were designated for the royal family. Access to the palace from Naples was designed as a grand boulevard, now known as Viale Carlo III. Figure 2 shows the drawings of the Royal Palace of Caserta by Luigi Vanvitelli: the frontal view (a) and the principal elevation (b) [13,14]. The Royal Palace remained the property of the Burbon kings from 1752 to 1860, after which ownership passed to the House of Savoy. In 1919, the entire property was transferred to the public government. Around 1943, the palace served as the headquarters of the Italian Air Force Academy. During World War II, it also became a refuge for exiled individuals.
Figure 1.
View of the Reggia of Caserta by L. Vanvitelli: towards the mountain (a) and towards the river (b).

Figure 2.
Drawings of the Reggia of Caserta by Luigi Vanvitelli: frontal view (a); principal elevation with the rooms and Royal apartments (b).
3. From the Music of the XVIII Century to Burbon
In the 18th century, Europe experienced a movement known as the Enlightenment, which was active throughout this period. The Enlightenment thinkers aimed to engage the public in their innovative projects, often using simple language to make their ideas accessible to all social classes. Some view the 18th century as a transitional period, bridging the gap between the old and the modern age through significant political and economic revolutions. The aristocracy, as the political power, was spread uniformly across Europe, enjoying economic privileges, such as reservations for ceremonies and financial aid that allowed them to pay fewer taxes. Many noblemen were privileged not only in the political and economic spheres but also in the cultural world as they were the primary patrons of the masterpieces produced by artists and musicians. During the 18th century, music began to be performed outside the traditional cultural venues, thus reaching a middle-class audience. This period contributed to the development of public theatres, where people from all social classes could attend performances by simply purchasing a ticket. In addition to theatres, music was also performed in chapels, where choirs supported mass services in contrast to instrumental musicians who performed in churches and palaces. Since the 16th century, the term “chapel” had been used to refer to a group of voices and instruments performing at religious and civil events. In chapels, Latin replaced the vernacular language, and the biblical message was emphasized through choral music.
Within this context, musicians in the chapels were in the service of their Prince or the Court. This political environment led to a shift in the role of the “maestro di cappella”, who initially focused primarily on sacred music but also had to adapt to the secular performances favored by the aristocrats. In the 17th century, important figures from the chapel environment came to the Royal Palace of Caserta, including Alessandro and Domenico Scarlatti, Paisiello, and Cimarosa, who helped spread music and artistic expression directly connected to the Burbon court. The Burbon family’s commitment to music is evident in the establishment of the San Carlo Theatre in 1737 and the construction of the Court Theatre within the Royal Palace of Caserta. This theatre was not included in Vanvitelli’s original design but was added at the suggestion of King Charles Burbon. The Court Theatre was dedicated to official events, such as the dance performed at the wedding of King Ferdinando IV and Maria Carolina of Austria in 1769 [15].
4. Methodology and Acoustic Measurements
Several acoustic measurement campaigns were conducted in the Royal Palace of Caserta. The equipment used consisted of a dodecahedron sound source (Peecker Sound, Reggio Emilia, Italy) connected to an amplifier (Peecker Sound KT 150), which generated a Maximum Length Sequence (MLS) signal. This signal was recorded by an omnidirectional microphone (GRAS 40 AR, Skovlytoften, Denmark). The impulse response (IR) was then processed to obtain the acoustic parameters using Dirac software (Uppsala, Sweden). The acoustic measurements were conducted according to the ISO 3382-1 standard [16].
The acoustic parameters analyzed include EDT, T30, C80, D50, and STI. These parameters were defined to characterize how sound is perceived in a room [17,18,19]. A brief definition of each parameter is provided below:
- Early Decay Time (EDT): This refers to the time it takes for the acoustic pressure level to decrease by 10 dB after the sound source is turned off.
- Reverberation Time (T30): Defined in seconds, this is the time needed for the sound pressure level to decrease by 30 dB. It is a critical parameter used to characterize the acoustic properties of a room, providing insights into sound reflections, absorption, and the overall auditory environment.
- Clarity Index (C80): Expressed in decibels, this is the ratio between the energy that reaches the receiver within the first 80 milliseconds and the later energy that arrives after that. It is one of the criteria used to evaluate the suitability of a hall for musical performances.
- Definition (D50): This is a factor calculated based on the energy arriving within the first 50 milliseconds and the total energy of the sound source until its dissipation. It is used to assess the clarity and intelligibility of speech in a room or space.
- Speech Transmission Index (STI): This parameter is used to assess how much a voice signal is distorted by unwanted echoes, excessive reverberation, and/or high levels of background noise. STI values range from 0 to 1, indicating very poor and ideal speech intelligibility, respectively.
The acoustic analysis was conducted using Dirac 4.0 software. Each room or theatre, depending on its intended use, requires specific acoustic parameters, such as optimal reverberation time, clarity, and definition. Rooms intended for speech require short reverberation times, while those intended for music require longer reverberation times as reverberation enriches the music with reflections and enhances the sense of audience participation. Therefore, a room designed for music may not be suitable for speech unless appropriate acoustic corrections are made. Table 1 presents indicative values for the acoustic parameters in different musical listening conditions and speech intelligibility settings [20,21,22,23,24,25,26,27].
Table 1.
Acoustic indicative parameters for the different listening conditions.
The main acoustic parameters were analyzed in octave bands as a function of frequency, ranging from 125 Hz to 4 kHz. The results were averaged across all measurement points, and the standard deviation values are also presented in the frequency function graphs. If the standard deviation values are close to the mean value, it indicates that there are minimal variations in the measured parameters between points. Conversely, if the standard deviation values differ significantly from the mean value, it suggests large variations between the measurement points. The acoustic parameters were measured in an empty room, with no audience present, and with negligible background noise, always below 35 dBA.
4.1. Court Theatre
The small and exquisite Court Theatre, located on the west side of the palace, was not part of the original project. Vanvitelli began designing this new room in 1756, three years after the start of the construction of the Royal Palace of Caserta, as requested by King Charles. The Court Theatre, which closely resembles the San Carlo Theatre in Naples, opened in 1769 during the Carnival, in the presence of King Ferdinando and Maria Carolina. It represents the only room fully completed by Vanvitelli. The Court Theatre has three entrances: one reserved for the king, providing direct access to the royal balcony, and two side entrances for the guests. The layout is typical of a horseshoe shape, with 42 boxes arranged over five levels, decorated with statues and floral motifs, each distinct from the others. The dimensions of the theatre are 25 m in length, 12 m in width, and an average height of 15 m, with a volume of 4700 m3. The theatre does not have an orchestra pit. The royal balcony is three levels high, surmounted by a large crown and Baroque drapery made of pasted paper. The vault is subdivided into different segments, accentuated by edges and supported by alabaster pillars and columns. In the central medallion, there is an image of Apollo walking on a serpent, symbolizing King Ferdinand’s victory over vice. The stage is dominated by statues of Music and Tragedy, with a scenic arch created in 1770 for the performance of Didone by Metastasio. This scenic arch created an effect resembling a fire during the final dinner scene. The Burbon family used the theatre primarily for Baroque opera performances, while today it serves as a venue for conferences and musical shows. Figure 3 shows Vanvitelli’s drawing of the transversal section, while Figure 4 shows an interior view of the Court Theatre. Figure 5 illustrates the theatre’s horseshoe-shaped layout. Figure 6 presents the average values of the acoustic parameters and the standard deviation. If the standard deviation is large, the measured values are scattered; conversely, if the standard deviation is small, the measured values are concentrated near the mean of measured values. The average STI value of 0.60 [28,29,30,31,32,33,34,35].
Figure 3.
Drawing of the transversal section by Vanvitelli.
Figure 4.
Internal view of the Court Theatre.
Figure 5.
Court Theatre: horseshoe-shaped plant.
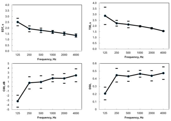
Figure 6.
Average values of the acoustic parameters and the values of the standard deviation.
The acoustic measurements were carried out in an empty room condition. The average T30 value is approximately 2 s, which corresponds to a non-optimal condition for speech understanding but is well configured for listening to music since the C80 value is between −2 and 2 dB. For example, the balustrades of the boxes are made of plywood, and the decorations are made of papier-mâché; these materials have high sound absorption. This was Vanvitelli’s choice, the plywood balustrades and papier-mâché reduced the weight of the structure. Table 2 and Table 3 show the average value of EDT and T30 of two theatres like the Court Theatre. The theatres considered are the Theatre Mercadante in Naples and the Comunale Theatre in Benevento. The theatres have comparable volumes between them. There are variations of EDT, but the values of T30 are comparable between them [36].
Table 2.
EDT average measured values.
Table 3.
T30 average measured values.
4.2. Palatine Chapel
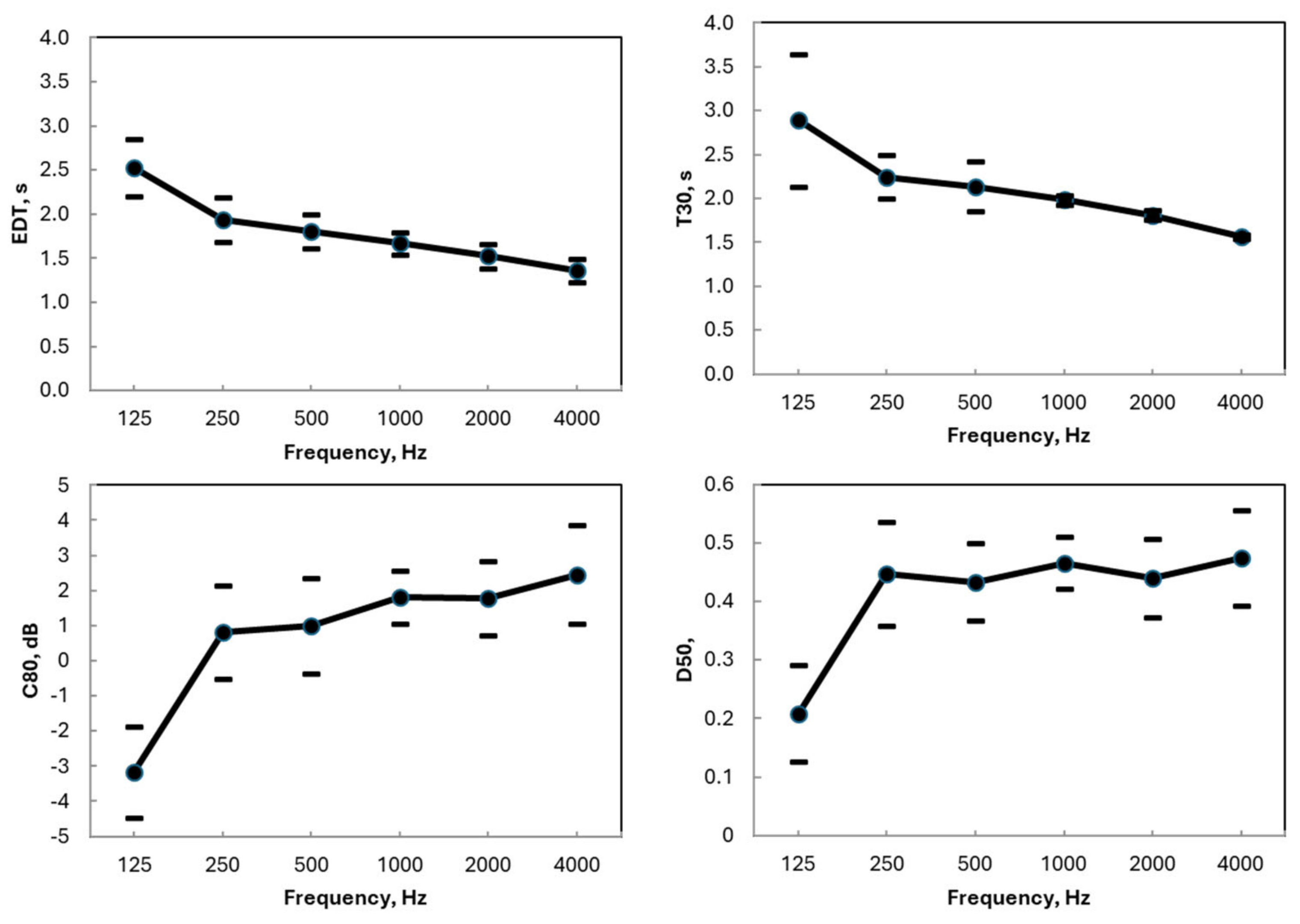
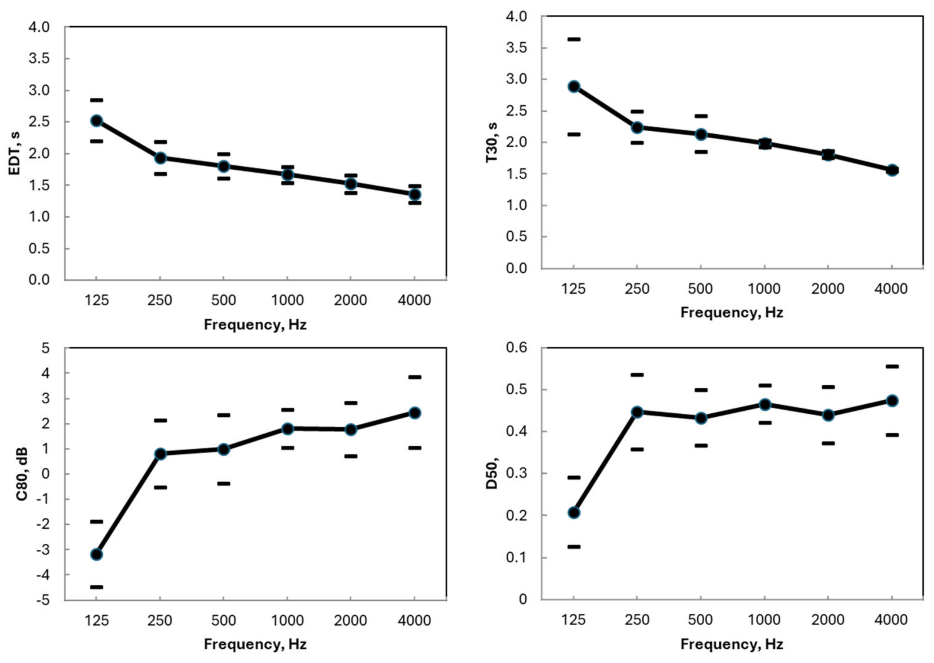
The Palatine Chapel is located on the first floor and was inaugurated on Christmas Day in 1784 during the midnight mass. Geometrically, it is inspired by the Chapel of the Palace of Versailles, with its rectangular hall and semicircular apse. Above the main entrance is the royal tribune. Both sides are characterized by two galleries, with double-height Corinthian columns supporting a barrel-vaulted ceiling adorned with golden coffered motifs. The chapel’s walls are lined with polychrome marbles. The ceiling is barrel-vaulted and made of wood with large reliefs; this geometry helps to diffuse the incident sound. Figure 7 shows the interior view of the chapel, while Figure 8 illustrates the floor plan with the main dimensions. The chapel is used to host musical concerts, including opera performances, such as the New Year’s concert. The surface area of the palatine Chapel is about 1000 m2, and its volume is 22,860 m3. Figure 9 presents the average values of the acoustic parameters and the standard deviation, with an average STI value of 0.25. The acoustic characteristics of the palatine Chapel include a reverberation time of 5 s at mid-frequencies. Considering the geometry and materials of the chapel, it can be said that the values of EDT and T30 measured in unoccupied conditions are relatively low for a volume of 22,000 m3. The large windows on the side walls and the wooden ceiling contribute to the absorption of reflected sound, reducing the reverberation time. The side galleries and reflective materials create a diffuse sound field throughout the space, resulting in small standard deviations for the EDT and T30 values. However, the values for D50 and C80 show large standard deviations, with significant variation across the different measurement points [37,38,39].
Figure 7.
Internal view of the Chapel.
Figure 8.
Plant of the Chapel with main dimensions.
Figure 9.
Average values of the acoustic parameters and the values of the standard deviation.
The average value of C80 is equal to −5 dB, which means that the chapel does not have good musical listening conditions; similarly, the average value of D50 is equal to 0.2, which means that the chapel does not have good speech listening conditions.
4.3. Double Elliptical Vault
During the Renaissance period, circular and vaulted structures were built and used for aesthetic and structural purposes in places of worship, monumental buildings, and courtyards. In vaulted environments, sound reflection focuses on the central area due to the convergence of multiple reflections, generating unique acoustic experiences for visitors exposed to these phenomena. In the central area, beneath the highest point of the vault, repeated echoes occur. Echoes are defined as the delayed repetition of sounds. Focusing effects can result in high sound pressure levels, echoes, and tonal coloration. Concave surfaces create a convergence of sound energy, amplifying sound near the focal point (compared to a flat surface) while attenuating sound in other areas (far from the focal point). Despite their complexity and the acoustic risks associated with irregular sound distribution, fluctuating echoes, and tonal coloration, focusing effects can often lead to positive acoustic outcomes. These phenomena are frequently excluded from the acoustic design of halls, though, in some cases, they enhance the acoustic experience. The monumental staircase is one of the most complex structures in the Reggia of Caserta. It consists of a central ramp of steps that parallel each other after the first landing, which has a width of 5 m, continuing to the upper vestibule. The staircase is connected to a long corridor leading to the entrance of the palace. The total area of the staircase covers 600 m2, with a height of 42 m. The elliptical hole has main axes measuring 10.9 m and 14.6 m. From the first level of the vault, it is possible to view the second vault above, decorated with frescoes representing the four seasons and the throne of Apollo, as shown in Figure 10 and Figure 11 [40].
Figure 10.
Double elliptical vault.
Figure 11.
Double elliptical vault seen from the below Vestibule.
The double elliptical vault creates an impressive effect, such that, originally, musicians were placed around the void and would perform as the king and his guests ascended the stairs during ceremonies. A similar acoustic effect was realized in the dome of St. Paul’s Cathedral in London, designed by Sir Christopher Wren, and in the dome of Les Invalides in Paris, designed by Jules Hardouin-Mansart in 1680. When constructing the staircase and the double elliptical vault, Vanvitelli was unaware of the acoustic properties related to large volumes as acoustic theories were developed in the following decades by W.C. Sabine. Vanvitelli’s focus was more on the sensory perception of architectural space—light, color, and sound moving freely throughout the space, undisturbed by obstacles. In a letter to his brother Urbano, Vanvitelli expressed his satisfaction with the Royal Palace’s design. Acoustic measurements of the monumental staircase were conducted by placing the sound source at the top of the elliptical vault, while the microphone was moved across the steps, as shown in Figure 12. Figure 13 presents the average values of the acoustic parameters and the standard deviation, with an average STI value of 0.20. The average T30 value is approximately 6 s, which is long enough for the large volume and the presence of acoustically reflective materials. The standard deviation values are high at low frequencies, while at medium to high frequencies, the standard deviation values are negligible. The greatest differences between measurement points occur at low frequencies. The average C80 value is −10 dB, which is a result of the relatively long T30. Both the C80 and D50 values show high standard deviations, with notable differences between the measured points. The results highlight that the reverberation tail is very long, as shown in Figure 13.
Figure 12.
Measuring points in the monumental staircase of the Royal Palace in Caserta.
Figure 13.
Average values of the acoustic parameters and the values of the standard deviation.
The need to design the double vault arose from structural reasons. If the vault had been built at a height of 30 m, the lateral forces on the walls would have been too strong to be absorbed by the thickness of the walls. However, by using the double elliptical vault, these forces are contained by the oval ring of the oculus. Vanvitelli was able to find a compromise between the structural requirements and the scenic effect, anticipating the concept of stereophonic music, where the sound seems to come from a hidden source and immerses the audience in a spatial sound experience. Vanvitelli’s decision to build a dome with a double elliptical vault was driven by both structural needs and scenographic considerations. The cornice running along the vault provided a place for music maestros during receptions. As the royal procession ascended the wide staircase and stood in the vestibule on the first floor, they could hear the music without being able to see where it was coming from. The decision to place the musicians in the vault created a significant scenic and artistic effect.
Figure 14 shows the spatial distribution of T30 in octave bands at a frequency of 1000 Hz. The spatial distribution of T30 is uniform throughout the space, with sound being evenly spread across the room and no noticeable variations.
Figure 14.
Spatial distribution of T30 in octave band at the frequency of 1000 Hz, obtained with the Ramsete software (Parma Italy, http://pcfarina.eng.unipr.it/ramsete/ (accessed on 3 February 2025)).
4.4. Throne Room
The Throne Room is the largest room in the entire complex, located after the Astrea Room. For several decades, this room was left undecorated as it was not desired by Ferdinando IV upon his return from the Restoration. Francesco I assigned architect P. Bianchi to design its decoration, but only a wooden model of the design survived. This project was never realized as the niches in the side walls would have compromised the structural stability of the building. As a result, the work that began in 1827 was interrupted and completed after the death of King Francesco I in 1845 by architect G. Genovese. Corinthian pillars were placed along the walls, while the beams were decorated with portraits of the Burbon Kings, from Ruggero the Norman to Ferdinando II. Acoustic measurements were carried out by placing the spherical sound source in the position of the King’s throne, and twenty-five microphones were spaced equally throughout the room. Figure 15 shows the drawing of the Royal Throne Room, indicating the positions of the sound source and the microphone points. Figure 16 shows the sections of the Throne Room. Figure 17 shows the internal view of the room. In the center of the vault, there is a depiction of the opening ceremony of the Royal Palace, marking the event when Vanvitelli placed the first stone in 1752. On the wall, there was supposed to be a statue of the king dressed in Roman military uniform, but ultimately only two statues representing trophies were created. Artists who visited Naples were eager to decorate this room due to the perfection of the architecture and the harmony in its proportions. The decorations also include the heraldic shields of the 12 provinces of the kingdom. The lighting consists of 14 bronze chandeliers decorated with Bohemian crystal. The throne is placed on an elevated platform and is made of carved wood, with armrests shaped like lion heads.
Figure 15.
Plant of the Throne Room with the position of measurements points.
Figure 16.
Section of the Throne Rooms.
Figure 17.
Royal Throne Room images.
In terms of interior design, the primary materials used are glass, wood, floor tiles, stucco, and plaster. These materials are highly reflective, resulting in a reverberation time that is quite high and unsuitable for speech-based functions. A significant contribution to this effect comes from the large windows along the side walls, as well as the presence of solid timber panels. The main dimensions of the room are as follows: length: 35.0 m, width: 13.0 m, height: 16 m, volume: 6500 m3, and floor area: 468 m2. Figure 18 reports the average values of the acoustic characteristics measured in accordance with ISO 3382 and the standard deviation [41]. It is observed that the room does not have good conditions for listening to speech. In fact, the value of the STI is equal to 0.4, the value of T30 is equal to 3.0 s, and the value of D50 is equal to 0.2. The value of the standard deviation for T30 is negligible, which indicates that there are no variations of the T30 parameter measured from point to point. Strong variations are observed for D50 and C80; these parameters differ from point to point. The analysis of the response to the impulse does not highlight the presence of a flutter echo despite the environment being flat and parallel walls. The presence of large windows and walls covered with drapes and grooves introduces a diffusion of the sound that avoids the unwanted effects of a flutter echo. From the observation of the value of C80, the room could be used optimally for listening to music.
Figure 18.
Average values of the acoustic parameters and the values of the standard deviation.
5. Conclusions
When the Royal Palace was built in the 18th century, there was no formal knowledge of acoustics; only the treatises of the Roman architect Vitruvius were known. If a room had good acoustic characteristics, it was due to the experience of the designer, who, in conjunction with the design of other rooms, guided the construction of the building, as well as the use of embellishments such as fabrics, paintings, or papier-mâché. This paper presents the acoustic characteristics of the most important rooms of the Royal Palace of Caserta. The Royal Palace, constructed in the 18th century as a residence for the King of Naples, features several notable rooms, including the courtyard, the Throne Room, the elliptical vault, and the theatre. The acoustic characteristics of these rooms were studied in accordance with ISO 3382-1. For each room, the average values of reverberation time (T30), clarity (C80), definition (D50), and STI were reported. Particular attention was given to the elliptical vault, where musicians were positioned, and to the theatre, which was used for the entertainment of the Court. The acoustic challenges of these rooms were highlighted, especially considering that when the palace was built, there was no in-depth knowledge of acoustics. Since the classical world was highly influential at the time, Vitruvius’ theories were applied, and much of the design relied on experience and the observation of natural phenomena. Some scholars attempted to draw analogies between the propagation of sound and light, attempting to adapt the principles of geometric optics to acoustics. Additionally, the building materials—marble and plaster—contributed to the rooms’ long reverberation times.
Author Contributions
Conceptualization, A.T., G.I., E.S. and I.L.; methodology, A.T., G.I., E.S. and I.L.; validation, A.T., G.I., E.S. and I.L.; formal analysis, A.T., G.I. and E.S.; investigation A.T., G.I., E.S. and I.L.; resources, A.T., G.I., E.S. and I.L.; data curation, A.T., G.I., E.S. and I.L.; writing—original draft preparation, A.T., G.I., E.S. and I.L.; writing—review and editing, A.T., G.I., E.S. and I.L.; visualization, A.T., G.I., E.S. and I.L.; supervision, G.I.; project administration, A.T. and E.S.; funding acquisition, I.L. All authors have read and agreed to the published version of the manuscript.
Funding
This research received no external funding.
Data Availability Statement
The original data presented in the study are openly available. All data can be requested from the authors.
Conflicts of Interest
The authors declare no conflicts of interest.
References
- Guarini, G. Civil Architecture; Il Polifilo: Milan, Italy, 1968. (In Italian) [Google Scholar]
- Villani, M. La più nobil parte. In L’architettura Delle Cupole a Roma 1580–1670; Gangemi Editore: Rome, Italy, 2009. [Google Scholar]
- Cox, T. Sonic Wonderland: A Scientific Odyssey of Sound; Bodley Head: Oxford, UK, 2014. [Google Scholar]
- Bellia, A. Listening in Ancient Spaces: Towards an Aural Architecture in the Past. In Proceedings of the 2023 Immersive and 3D Audio: From Architecture to Automotive (I3DA), Bologna, Italy, 5–7 September 2023; pp. 1–3. [Google Scholar] [CrossRef]
- Vitruvio, M.P. De Architectura; Giulio Einaudi: Turin, Italy, 1997. [Google Scholar]
- Kircher, A. Phonurgia Nova; Rudolph Dreherr: Kempten, Germany, 1673. [Google Scholar]
- Tronchin, L. The ‘Phonurgia Nova’ of Athanasius Kircher: The Marvellous sound world of 17th century. Proc. Mtgs. Acoust. 2008, 4, 015002. [Google Scholar] [CrossRef]
- Briatore, S. Suono e acustica nella trattatistica gesuitica del Seicento. Il caso di Mario Bettini. Forum Ital. 2015, 49, 322–337. [Google Scholar] [CrossRef]
- Gozza, P. La Musica nella Rivoluzione Scientifica del Seicento; Il Mulino: Bologna, Italy, 1989. [Google Scholar]
- Mersenne, M. Harmonie Universelle Contenant la The’orie et la Pratique de la Musique; 2. vols. A Paris, Chez Sebastian Cramoisy; CNRS: Paris, France, 1963.
- Catholic eBooks Project~Legal, Free, & Faithful. Available online: https://catholicebooks.wordpress.com/2020/03/28/online-text-instruction-for-ecclesiastical-buildings-furnishings-by-saint-charles-borromeo/ (accessed on 8 March 2025).
- Sabine, W. Collected Papers on Acoustics; Harvard University Press: Cambridge, MA, USA, 1922. [Google Scholar]
- Guide to the Royal Palace of Caserta. Available online: https://reggiadicaserta.cultura.gov.it/ (accessed on 8 March 2025). (In Italian)
- United Nations Educational. Scientific and Cultural Organization (UNESCO) World Heritage Sites; United Nations Educational: Paris, France, 2015. [Google Scholar]
- Howard, D.; Moretti, L. (Eds.) Architettura e Musica nella Venezia del Rinascimento; Mondadori: Milan, Italy, 2006. [Google Scholar]
- ISO 3382-1; Acoustics-Measurement of Room Acoustic Parameters—Part 1: Performance Space. ISO: Geneva, Switzerland, 2009.
- Barron, M. Auditorium Acoustics and Architectural Design; E. & F.N. Spon: London, UK, 1993. [Google Scholar]
- Adelman-Larsen, N.W. Possible Acoustic Design Goals in very large Venues hosting Live Music Concerts. Audit. Acoust. IOA 2015, 37 Pt 3, 308–316. [Google Scholar] [CrossRef]
- Marshall, L. Architectural Acoustics, 2nd ed.; Academic Press: Cambridge, MA, USA, 2014. [Google Scholar]
- Beranek, L.L. Concert Halls and Opera Houses: Music, Acoustics, and Architecture. J. Acoust. Soc. Am. 2005, 117, 987–988. [Google Scholar] [CrossRef]
- Barron, M. Objective assessment of concert hall acoustics. Proc. Inst. Acoust. 2006, 28 Pt 2, 70–78. [Google Scholar]
- Cremer, L.; Müller, H.A. Principles and Applications of Room Acoustics; Schultz, T.J., Translator; Applied Science: London, UK, 1982; Volume 1. [Google Scholar]
- Di Loreto, S.; Cantarini, M.; Squartini, S.; Lori, V.; Serpilli, F.; Di Perna, C. Assessment of speech intelligibility in scholar classrooms by measurements and prediction methods. Build. Acoust. 2023, 30, 165–202. [Google Scholar] [CrossRef]
- Beranek, L.L. Concert Halls and Opera Houses: Music, Acoustics and Architecture; Springer: New York, NY, USA, 1996. [Google Scholar]
- Hidaka, T.; Beranek, L.L. Objective and subjective evaluations of twenty-three opera houses in Europe, Japan, and the Americas. J. Acoust. Soc. Am. 2000, 107, 368–383. [Google Scholar] [CrossRef] [PubMed]
- Hidaka, T.; Nishihara, N. Objective evaluation of chamber-music halls in Europe and Japan. J. Acoust. Soc. Am. 2004, 35, 357–372. [Google Scholar] [CrossRef] [PubMed]
- Prodi, N. Acoustics of historical opera houses in Italy: Past, present and future. In Proceedings of the AIA-DAGA 2013 International Conference on Acoustics EAA Euroregio, Merano, Italy, 18–21 March 2013. [Google Scholar]
- Garai, F.; Morandi, F.; D’Orazio, D.; De Cesaris, S.; Loreti, L. Acoustic measurements in eleven Italian opera houses: Correlations between room criteria and considerations on the local evolution of a typology. Build. Environ. 2015, 94, 900–912. [Google Scholar] [CrossRef]
- Merli, F.; Bevilacqua, A.; Tronchin, L. The “Real Teatro di Corte” of “Reggia di Caserta”.Spatial sound propagation. In Proceedings of the 2021 Immersive and 3D Audio: From Architecture to Automotive (I3DA), Bologna, Italy, 8–10 September 2021; pp. 1–5. [Google Scholar] [CrossRef]
- Bevilacqua, A.; Merli, F.; Tronchin, L. Verdi theatre of Salerno: A deepening acoustic research. In Proceedings of the 2021 Immersive and 3D Audio: From Architecture to Automotive (I3DA), Bologna, Italy, 8–10 September 2021; pp. 1–5. [Google Scholar] [CrossRef]
- Cairoli, M. The Architectural Acoustic Design for a Circus: The case study of Rigas Cirks. Appl. Acoust. 2021, 173, 107726. [Google Scholar] [CrossRef]
- Cairoli, M. The architectural acoustic design for a multipurpose auditorium: Le Serre Hall in the Villa Erba Convention Center. Appl. Acoust. 2021, 173, 107695. [Google Scholar] [CrossRef] [PubMed]
- Cairoli, M.; Iannace, G. A Single Acoustic Quantity Index as Part of an Early-Stage Digitalized Procedure for the Restoration of Baroque Theatres to Be Used as Multipurpose Spaces. Heritage 2024, 7, 6749–6771. [Google Scholar] [CrossRef]
- Saidane, F.; Benzineb, O.; Chergui, S.; Ciaburro, G.; Iannace, G. Acoustic properties of two emblematic theaters in Algeria: The case of the National Theater of Algiers TNA and the Regional Theater of Bejaia TRB. Build. Acoust. 2024, 31, 289–306. [Google Scholar] [CrossRef]
- Merli, F.; Bevilacqua, A.; Tronchin, L. Acoustic response of the Goldoni theater of Bagnacavallo. In Proceedings of the 2021 Immersive and 3D Audio: From Architecture to Automotive (I3DA), Bologna, Italy, 8–10 September 2021; pp. 1–5. [Google Scholar] [CrossRef]
- Bevilacqua, A.; Sukaj, S.; Ciaburro, G.; Iannace, G.; Lombardi, I.; Trematerra, A. How a quartet of theatres plays under an acoustic perspective: A comparison between horseshoe shaped plans in Campania. Build. Acoust. 2022, 29, 317–329. [Google Scholar] [CrossRef]
- Sukaj, S.; Amadasi, G.; Lombardi, I.; Trematerra, A. Acoustic evaluation of some churches located in south of Italy. In Proceedings of the 2023 Immersive and 3D Audio: From Architecture to Automotive (I3DA), Bologna, Italy, 5–7 September 2023; pp. 1–6. [Google Scholar] [CrossRef]
- Merli, F.; Bevilacqua, A.; Tronchin, L. The acoustic study of the palatine chapel inside the Reggia of Caserta. In Proceedings of the 2021 Immersive and 3D Audio: From Architecture to Automotive (I3DA), Bologna, Italy, 8–10 September 2021; pp. 1–4. [Google Scholar] [CrossRef]
- Berardi, U.; Iannace, G.; Ianniello, C. Acoustic Intervention in a Cultural Heritage: The Chapel of the Royal Palace in Caserta, Italy. Buildings 2016, 6, 1. [Google Scholar] [CrossRef]
- Berardi, U.; Iannace, G.; Trematerra, A. The Acoustics of the Double Elliptical Vault of the Royal Palace of Caserta (Italy). Buildings 2017, 7, 18. [Google Scholar] [CrossRef]
- Di Loreto, S.; Serpilli, F.; Lori, V.; Di Perna, C. Intelligibility Prediction in Scholar Classrooms. In Proceedings of the Building Simulation Applications, Bozen-Bolzano, Italy, 29 June–1 July 2022. [Google Scholar] [CrossRef]
Disclaimer/Publisher’s Note: The statements, opinions and data contained in all publications are solely those of the individual author(s) and contributor(s) and not of MDPI and/or the editor(s). MDPI and/or the editor(s) disclaim responsibility for any injury to people or property resulting from any ideas, methods, instructions or products referred to in the content. |
© 2025 by the authors. Licensee MDPI, Basel, Switzerland. This article is an open access article distributed under the terms and conditions of the Creative Commons Attribution (CC BY) license (https://creativecommons.org/licenses/by/4.0/).


















