Soil De-Sealing and Recycled Aggregates Application: One Year of Monitoring
Abstract
1. Introduction
2. Materials and Methods
2.1. Study Area and Experimental Design
2.2. Soil Sampling and Analyses
2.3. Leaching Test and Percolation Water
2.4. Bacterial Community Characterisation
2.5. Data Processing and Analysis
3. Results
3.1. Pedoclimatic Factors
3.1.1. Soil Temperature
3.1.2. Soil Water Content
3.1.3. Oxygen Content in Soil Air
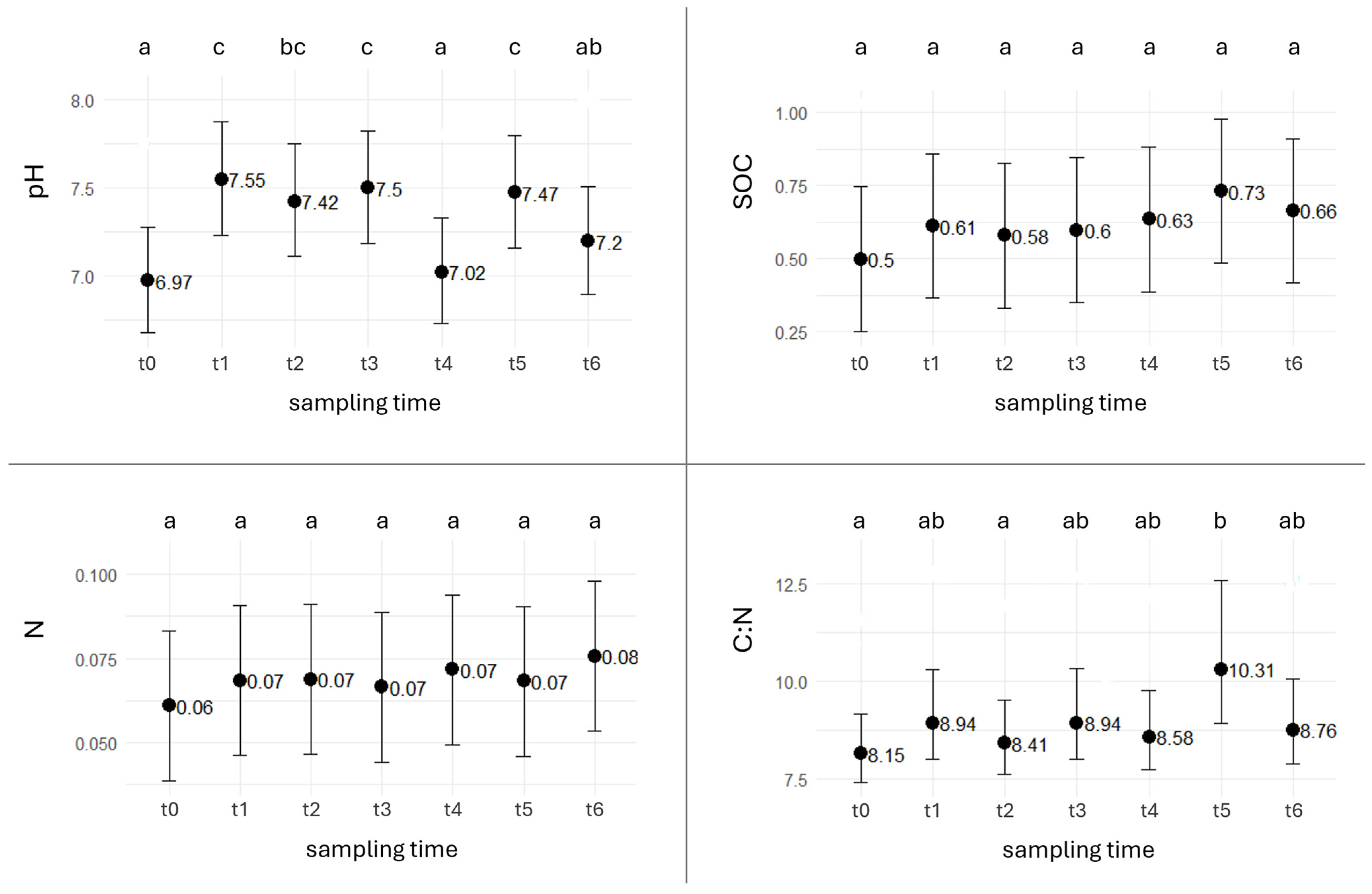
3.2. Soil Properties
3.3. Percolation Water
3.4. Bacterial Community Composition
3.5. Soil, Pedoclimate and Bacterial Communities
4. Discussion
4.1. De-Sealing Effects on Pedoclimate Factors
4.2. Temporal Changes in Soil Properties and RA Effects
4.3. Bacterial Community Composition and Evolution
5. Conclusions
Supplementary Materials
Author Contributions
Funding
Institutional Review Board Statement
Informed Consent Statement
Data Availability Statement
Acknowledgments
Conflicts of Interest
Appendix A. Sensor Data Processing
References
- Fabbri, D.; Pizzol, R.; Calza, P.; Malandrino, M.; Gaggero, E.; Padoan, E.; Ajmone-Marsan, F. Constructed Technosols: A Strategy toward a Circular Economy. Appl. Sci. 2021, 11, 3432. [Google Scholar] [CrossRef]
- European Environment Agency. The European Environment—State and Outlook 2020—Knowledge for Transition to a Sustainable Europe; Publications Office: Luxembourg, 2019; ISBN 9789294800909. [Google Scholar]
- European Commission and Directorate-General for Environment. Guidelines on Best Practice to Limit, Mitigate or Compensate Soil Sealing; Publications Office: Luxembourg, 2012. [Google Scholar]
- European Commission; Veerman, C.; Pinto Correia, T.; Bastioli, C.; Biro, B.; Bouma, J.; Cienciala, E.; Emmett, B.; Frison, E.A.; Grand, A.; et al. Caring for Soil Is Caring for Life—Ensure 75% of Soils Are Healthy by 2030 for Food, People, Nature and Climate—Report of the Mission Board for Soil Health and Food; Publications Office: Luxembourg, 2020; ISBN 9789276216032. [Google Scholar]
- Tobias, S.; Conen, F.; Duss, A.; Wenzel, L.M.; Buser, C.; Alewell, C. Soil Sealing and Unsealing: State of the Art and Examples. Land Degrad. Dev. 2018, 29, 2015–2024. [Google Scholar] [CrossRef]
- Maienza, A.; Ungaro, F.; Baronti, S.; Colzi, I.; Giagnoni, L.; Gonnelli, C.; Renella, G.; Ugolini, F.; Calzolari, C. Biological Restoration of Urban Soils after De-Sealing Interventions. Agriculture 2021, 11, 190. [Google Scholar] [CrossRef]
- Vieillard, C.; Vidal-Beaudet, L.; Dagois, R.; Lothode, M.; Vadepied, F.; Gontier, M.; Schwartz, C.; Ouvrard, S. Impacts of Soil De-Sealing Practices on Urban Land-Uses, Soil Functions and Ecosystem Services in French Cities. Geoderma Reg. 2024, 38, e00854. [Google Scholar] [CrossRef]
- Sintesi Di Norme, Linee Guida, Buone Pratiche, Casi Studio in Materia Di Limitazione Di Consumo Di Suolo e Resilienza Urbana al Cambiamento Climatico. Azione A1.3, SOS4LIFE—Save Our Soil for Life. 2017. Available online: https://www.sos4life.it/wp-content/uploads/SOS4Life_Sintesi_norme_buone-pratiche_consumo_suolo_A.1.3-4.pdf (accessed on 19 June 2025).
- Caselli, B.; Ceci, M.; De Noia, I.; Garda, E.; Zazzi, M. Towards the Integration of Soil Desealing in the Urban Areas’ Transformation Processes. In Innovation in Urban and Regional Planing; Marucci, A., Zullo, F., Fiorini, L., Saganeiti, L., Eds.; Springer: Cham, Switzerland, 2024; pp. 286–298. [Google Scholar]
- ISTAT—Istituto Nazionale Di Statistica. Ambiente Urbano—Anno 2023; ISTAT—Istituto Nazionale Di Statistica: Rome, Italy, 2025. [Google Scholar]
- Aimar, F. Limiting Soil Sealing and Depaving: Local Actions for Regenerating Public Spaces to Build Green Infrastructures. In Green Infrastructure, Planning Strategies and Environmental Design; Giudice, B., Novarina, G., Voghera, A., Eds.; Springer: Cham, Switzerland, 2023; pp. 127–137. [Google Scholar]
- Renella, G. Evolution of Physico-Chemical Properties, Microbial Biomass and Microbial Activity of an Urban Soil after de-Sealing. Agriculture 2020, 10, 596. [Google Scholar] [CrossRef]
- Fierer, N. Embracing the Unknown: Disentangling the Complexities of the Soil Microbiome. Nat. Rev. Microbiol. 2017, 15, 579–590. [Google Scholar] [CrossRef]
- Le Guern, C.; Prézeau, F.; Clozel, B.; Leduc, T.; Musy, M.; Rodler, A.; Tasca-Guernouti, S.; Béchet, B.; Dufrasnes, E.; Stabile, O.; et al. Soil Properties and Desealing Strategies: Feedback from the DésiVille Project (France). In Proceedings of the SUITMA 11 Conference on Soils of Urban, Industrial, Traffic and Mining Areas, Berlin, Germany, 5–9 September 2022. [Google Scholar]
- Adobati, F.; Garda, E. Soil Releasing as Key to Rethink Water Spaces in Urban Planning. City Territ. Archit. 2020, 7, 9. [Google Scholar] [CrossRef]
- European Commission. Commission Decision of 18 December 2014 Amending Decision 2000/532/EC on the List of Waste Pursuant to Directive 2008/98/EC of the European Parliament and of the Council. Off. J. Eur. Union 2014, 950, 3–24. [Google Scholar]
- Pacheco, J.; De Brito, J.; Lamperti Tornaghi, M. Use of Recycled Aggregates in Concrete: Opportunities for Upscaling in Europe; Publications Office of the European Union: Luxembourg, 2023. [Google Scholar]
- European Commission; Directorate-General for Internal Market, Industry, Entrepreneurship and SMEs. EU Construction & Demolition Waste Management Protocol Including Guidelines for Pre-Demolition and Pre-Renovation Audits of Construction Works—Updated Edition 2024; Publications Office of the European Union: Luxembourg, 2024. [Google Scholar]
- Coull, M.; Butler, B.; Hough, R.; Beesley, L. A Geochemical and Agronomic Evaluation of Technosols Made from Construction and Demolition Fines Mixed with Green Waste Compost. Agronomy 2021, 11, 649. [Google Scholar] [CrossRef]
- Morel, A.; Vidal-Beaudet, L.; Brialix, L.; Lemesle, D.; Bulot, A.; Herpin, S. Evolution of Microclimate Following Small Patch De-Sealing and Revegetation in Urban Context. Urban Clim. 2025, 61, 102371. [Google Scholar] [CrossRef]
- IUSS Working Group WRB. World Reference Base for Soil Resources. International Soil Classification System for Naming Soils and Creating Legends for Soil Maps, 4th ed.; International Union of Soil Sciences (IUSS): Vienna, Austria, 2022. [Google Scholar]
- Abreu, L.; Lutes, C.C.; Nichols, E.M. 3-D Modeling of Aerobic Biodegradation of Petroleum Vapors: Effect of Building Area Size on Oxygen Concentration Below the Slab; EPA 510-R-13-002; EPA: Washington, DC, USA, 2013. [Google Scholar]
- Verginelli, I.; Yao, Y.; Wang, Y.; Ma, J.; Suuberg, E.M. Estimating the Oxygenated Zone beneath Building Foundations for Petroleum Vapor Intrusion Assessment. J. Hazard. Mater. 2016, 312, 84–96. [Google Scholar] [CrossRef]
- U.S. Environmental Protection Agency. Technical Guide For Addressing Petroleum Vapor Intrusion at Leaking Underground Storage Tank Sites. U.S.; EPA 510-R-15-001; EPA: Washington, DC, USA, 2015. [Google Scholar]
- Ministro Dell’Ambiente e Della Tutela Del Territorio. Regolamento Recante Modifiche al Decreto Ministeriale 5 Febbraio 1998 Individuazione Dei Rifiuti Non Pericolosi Sottoposti Alle Procedure Semplificate Di Recupero, Ai Sensi Degli Articoli 31 e 33 Del Decreto Legislativo 5 Febbraio 1997, n. 22. D.M. 186/2006. Gazz. Uff. 2006, 115. Available online: https://www.gazzettaufficiale.it/atto/serie_generale/caricaDettaglioAtto/originario?atto.dataPubblicazioneGazzetta=2006-05-19&atto.codiceRedazionale=006G0202&elenco30giorni=false (accessed on 17 September 2025).
- Nava, V.; Leoni, B.; Arienzo, M.M.; Hogan, Z.S.; Gandolfi, I.; Tatangelo, V.; Carlson, E.; Chea, S.; Soum, S.; Kozloski, R.; et al. Plastic Pollution Affects Ecosystem Processes Including Community Structure and Functional Traits in Large Rivers. Water Res. 2024, 259, 121849. [Google Scholar] [CrossRef]
- Gandolfi, I.; Canedoli, C.; Rosatelli, A.; Covino, S.; Cappelletti, D.; Sebastiani, B.; Tatangelo, V.; Corengia, D.; Pittino, F.; Padoa-Schioppa, E.; et al. Microbiomes of Urban Trees: Unveiling Contributions to Atmospheric Pollution Mitigation. Front. Microbiol. 2024, 15, 1470376. [Google Scholar] [CrossRef]
- Nwakaire, C.M.; Onn, C.C.; Yap, S.P.; Yuen, C.W.; Onodagu, P.D. Urban Heat Island Studies with Emphasis on Urban Pavements: A Review. Sustain. Cities Soc. 2020, 63, 102476. [Google Scholar] [CrossRef]
- Nimmo, J.R. The Processes of Preferential Flow in the Unsaturated Zone. Soil Sci. Soc. Am. J. 2021, 85, 1–27. [Google Scholar] [CrossRef]
- Fini, A.; Frangi, P.; Mori, J.; Donzelli, D.; Ferrini, F. Nature Based Solutions to Mitigate Soil Sealing in Urban Areas: Results from a 4-Year Study Comparing Permeable, Porous, and Impermeable Pavements. Environ. Res. 2017, 156, 443–454. [Google Scholar] [CrossRef] [PubMed]
- Tóth, G.; Ivits, E.; Prokop, G.; Gregor, M.; Fons-Esteve, J.; Milego Agràs, R.; Mancosu, E. Impact of Soil Sealing on Soil Carbon Sequestration, Water Storage Potentials and Biomass Productivity in Functional Urban Areas of the European Union and the United Kingdom. Land 2022, 11, 840. [Google Scholar] [CrossRef]
- Recanatesi, F.; Petroselli, A. Land Cover Change and Flood Risk in a Peri-Urban Environment of the Metropolitan Area of Rome (Italy). Water Resour. Manag. 2020, 34, 4399–4413. [Google Scholar] [CrossRef]
- Morgenroth, J.; Buchan, G. Soil Moisture and Aeration Beneath Pervious and Impervious Pavements. Arboric. Urban For. 2009, 35, 135–141. [Google Scholar] [CrossRef]
- Owens, P.R.; Wilding, L.P.; Miller, W.M.; Griffin, R.W. Using Iron Metal Rods to Infer Oxygen Status in Seasonally Saturated Soils. CATENA 2008, 73, 197–203. [Google Scholar] [CrossRef]
- Schnecker, J.; Baldaszti, L.; Gündler, P.; Pleitner, M.; Sandén, T.; Simon, E.; Spiegel, F.; Spiegel, H.; Urbina Malo, C.; Zechmeister-Boltenstern, S.; et al. Seasonal Dynamics of Soil Microbial Growth, Respiration, Biomass, and Carbon Use Efficiency in Temperate Soils. Geoderma 2023, 440, 116693. [Google Scholar] [CrossRef]
- Leyrer, V.; Poll, C.; Wirsching, J.; Kandeler, E.; Marhan, S. Warming Persistently Stimulates Respiration from an Arable Soil over a Decade, Regardless of Reduced Summer Precipitation. Soil Biol. Biochem. 2024, 194, 109439. [Google Scholar] [CrossRef]
- Lak, Z.A.; Sandén, H.; Mayer, M.; Rewald, B. Specific Root Respiration of Three Plant Species as Influenced by Storage Time and Conditions. Plant Soil 2020, 453, 615–626. [Google Scholar] [CrossRef]
- Wuest, S. Seasonal Variation in Soil Organic Carbon. Soil Sci. Soc. Am. J. 2014, 78, 1442–1447. [Google Scholar] [CrossRef]
- Ekström, T. Leaching of Concrete: The Leaching Process and Its Effects. Ph.D. Thesis, Lund University, Lund, Sweden, 2003. [Google Scholar]
- Bouzar, B.; Mamindy-Pajany, Y. Manufacture and Characterization of Carbonated Lightweight Aggregates from Waste Paper Fly Ash. Powder Technol. 2022, 406, 117583. [Google Scholar] [CrossRef]
- Yu, D.; Duan, H.; Song, Q.; Li, X.; Zhang, H.; Zhang, H.; Liu, Y.; Shen, W.; Wang, J. Characterizing the Environmental Impact of Metals in Construction and Demolition Waste. Environ. Sci. Pollut. Res. 2018, 25, 13823–13832. [Google Scholar] [CrossRef]
- Perry, P.M.; Pavlik, J.W.; Sheets, R.W.; Biagioni, R.N. Lead, Cadmium, and Zinc Concentrations in Plaster and Mortar from Structures in Jasper and Newton Counties, Missouri (Tri-State Mining District). Sci. Total Environ. 2005, 336, 275–281. [Google Scholar] [CrossRef] [PubMed]
- Diotti, A.; Perèz Galvin, A.; Piccinali, A.; Plizzari, G.; Sorlini, S. Chemical and Leaching Behavior of Construction and Demolition Wastes and Recycled Aggregates. Sustainability 2020, 12, 10326. [Google Scholar] [CrossRef]
- Madigan, M.T.; Bender, K.S.; Buckley, D.H.; Sattley, W.M.; Stahl, D.A. Brock Biology of Microorganisms, 16th ed.; Pearson: London, UK, 2020. [Google Scholar]
- Philippot, L.; Chenu, C.; Kappler, A.; Rillig, M.C.; Fierer, N. The Interplay between Microbial Communities and Soil Properties. Nat. Rev. Microbiol. 2024, 22, 226–239. [Google Scholar] [CrossRef]
- Bai, S.; Fan, M.; Wu, M.; Sui, X.; Song, Y.; Jiang, Y.; Meng, H.; Liu, Y.; Wang, X.; Hao, X.; et al. Crop Rotation and Organic Fertilizer Maintains Diversity and Activity of CbbL-Carrying CO2-Fixing Bacteria in Reclaimed Coal Mining Soils. Eur. J. Soil Biol. 2025, 126, 103759. [Google Scholar] [CrossRef]
- Zhang, Z.; Sun, J.; Wang, D.; Lin, T.; Yin, Y.; Wang, W.; Wang, Y.; Wang, Z.; Fan, L.; Jiao, X. Effects of Rotation Corn on Potato Yield, Quality, and Soil Microbial Communities. Front. Microbiol. 2025, 16, 1493333. [Google Scholar] [CrossRef]
- DeBruyn, J.M.; Nixon, L.T.; Fawaz, M.N.; Johnson, A.M.; Radosevich, M. Global Biogeography and Quantitative Seasonal Dynamics of Gemmatimonadetes in Soil. Appl. Environ. Microbiol. 2011, 77, 6295–6300. [Google Scholar] [CrossRef]
- Feng, Y.; Chen, H.; Fu, L.; Yin, M.; Wang, Z.; Li, Y.; Cao, W. Green Manuring Enhances Soil Multifunctionality in Tobacco Field in Southwest China. Microorganisms 2024, 12, 949. [Google Scholar] [CrossRef] [PubMed]
- Jiang, Y.; Zhou, C.; Khan, A.; Zhang, X.; Mamtimin, T.; Fan, J.; Hou, X.; Liu, P.; Han, H.; Li, X. Environmental Risks of Mask Wastes Binding Pollutants: Phytotoxicity, Microbial Community, Nitrogen and Carbon Cycles. J. Hazard Mater. 2024, 476, 135058. [Google Scholar] [CrossRef] [PubMed]
- Jia, R.; Qu, X.; Chen, M.; Xu, Y.; Liu, Z.; Peixoto, L.; Lin, Y.; Guo, Y.; Kumar, A.; Chen, J.; et al. Soil Microbial Variability in Contrasting Grown Flue-cured Tobacco under Long-term Continuous Cropping. Soil. Use Manag. 2025, 41, e70063. [Google Scholar] [CrossRef]
- Mandic-Mulec, I.; Stefanic, P.; van Elsas, J.D. Ecology of Bacillaceae. Microbiol. Spectr. 2015, 3, 59–85. [Google Scholar] [CrossRef] [PubMed]
- Zhu, K.; Jia, W.; Mei, Y.; Wu, S.; Huang, P. Shift from Flooding to Drying Enhances the Respiration of Soil Aggregates by Changing Microbial Community Composition and Keystone Taxa. Front. Microbiol. 2023, 14, 1167353. [Google Scholar] [CrossRef]
- Kanjanasuntree, R.; Kim, J.-H.; Yoon, J.-H.; Sukhoom, A.; Kantachote, D.; Kim, W. Arenimonas halophila sp. nov., Isolated from Soil. Int. J. Syst. Evol. Microbiol. 2018, 68, 2188–2193. [Google Scholar] [CrossRef]
- Xu, L.; Sun, J.-Q.; Liu, X.; Liu, X.-Z.; Qiao, M.-Q.; Wu, X.-L. Arenimonas Soli sp. Nov., Isolated from Saline–Alkaline Soil. Int. J. Syst. Evol. Microbiol. 2017, 67, 2829–2833. [Google Scholar] [CrossRef]
- Zhao, J.; Wang, J.; Cui, B.; Zhai, B.; Hu, C.; Liu, Y.; Xia, L.; Liu, C.; Li, Z. Mixed Irrigation Affects the Composition and Diversity of the Soil Bacterial Community. Open Geosci. 2024, 16, 20220659. [Google Scholar] [CrossRef]
- Gómez Expósito, R.; Postma, J.; Raaijmakers, J.M.; De Bruijn, I. Diversity and Activity of Lysobacter Species from Disease Suppressive Soils. Front. Microbiol. 2015, 6, 1243. [Google Scholar] [CrossRef] [PubMed]





| Parameter | Period | D10 | D30 | S1 | S2 |
|---|---|---|---|---|---|
| T (°C) | Winter | 6.6 ± 1.7 | 7.3 ± 1.3 | 6.9 ± 2 | 6.6 ± 2 |
| Spring | 15.2 ± 3.6 | 14.8 ± 3.3 | 17.5 ± 4.3 | 16.5 ± 3.9 | |
| Summer | 25.1 ± 1.8 | 24.4 ± 1.8 | 31.6 ± 3.4 | 30.4 ± 3.5 | |
| Autumn | 16 ± 5.6 | 16.9 ± 5.2 | 18.6 ± 6.2 | 17.8 ± 6 | |
| Annual | 15.7 ± 7.4 | 15.9 ± 6.9 | 18.7 ± 9.7 | 17.8 ± 9.4 | |
| SWC (%) | Winter | 27.1 ± 1.3 | 26.8 ± 1.4 | 22.4 ± 2.1 | 28.4 ± 4.9 |
| Spring | 28.2 ± 1.7 | 28.2 ± 1.7 | 19.3 ± 0.4 | 31.9 ± 1.8 | |
| Summer | 20.8 ± 4.7 | 21.5 ± 4.7 | 18.3 ± 0.2 | 27.8 ± 1.6 | |
| Autumn | 25.8 ± 2.8 | 26.4 ± 2.9 | 21.8 ± 5.2 | 30.1 ± 4.4 | |
| Annual | 25.5 ± 4 | 25.7 ± 3.9 | 20.4 ± 3.3 | 29.6 ± 3.9 | |
| O2 (%) | Winter | - | 17.4 ± 0.9 | 1 * | 14.5 ± 1.8 |
| Spring | - | 15.7 ± 1.9 | 1 * | 10.6 ± 2.4 | |
| Summer | - | 12.8 ± 1.9 | 1 * | 12.5 ± 1.2 | |
| Autumn | - | 14.3 ± 1.9 | 1 * | 12.6 ± 2.4 | |
| Annual | - | 15.1 ± 2.4 | 1 * | 12.6 ± 2.4 |
| Parameter | Period | D30—S1 | D30—S2 | S2—S1 | ||||||
|---|---|---|---|---|---|---|---|---|---|---|
| Effect Size | Cliff’s δ | Interpretation | Effect Size | Cliff’s δ | Interpretation | Effect Size | Cliff’s δ | Interpretation | ||
| T (°C) | Winter | 0.4 | 0.139 | Negligible | 0.8 | 0.235 | Small | −0.3 | −0.104 | Negligible |
| Spring | −2.7 | −0.359 | Medium | −1.7 | −0.251 | Small | −1 | −0.149 | Small | |
| Summer | −7.2 | −0.932 | Large | −5.9 | −0.829 | Large | −1.2 | −0.220 | Small | |
| Autumn | −1.7 | −0.145 | Negligible | −0.9 | −0.057 | Negligible | −0.8 | −0.097 | Negligible | |
| Annual | −2.8 | −0.144 | Negligible | −1.9 | −0.093 | Negligible | −0.8 | −0.052 | Negligible | |
| SWC (%) | Winter | 4.5 | 0.993 | Large | −1.6 | −0.146 | Negligible | 6 | 0.805 | Large |
| Spring | 8.8 | 1 | Large | −3.8 | −0.877 | Large | 12.6 | 1 | Large | |
| Summer | 3.2 | 0.432 | Medium | −6.3 | −0.845 | Large | 9.5 | 1 | Large | |
| Autumn | 4.6 | 0.547 | Large | −3.8 | −0.568 | Large | 8.3 | 0.762 | Large | |
| Annual | 5.2 | 0.706 | Large | −3.9 | −0.525 | Large | 9.1 | 0.914 | Large | |
| O2 (%) | Winter | 16.4 * | 1 * | Large * | 2.9 | 0.914 | Large | 13.5 * | 1 * | Large * |
| Spring | 14.7 * | 1 * | Large * | 5.1 | 0.893 | Large | 9.6 * | 1 * | Large * | |
| Summer | 11.8 * | 1 * | Large * | 0.3 | 0.025 | Negligible | 11.5 * | 1 * | Large * | |
| Autumn | 13.3 * | 1 * | Large * | 1.8 | 0.360 | Medium | 11.6 * | 1 * | Large * | |
| Annual | 14.1 * | 1 * | Large * | 2.5 | 0.530 | Large | 11.6 * | 1 * | Large * | |
| Parameter | Treatment | Effect Size | Cliffs_Delta | Interpretation |
|---|---|---|---|---|
| T (°C) | CoA | 0.1 | 0.019 | Negligible |
| VgT | −0.2 | −0.031 | Negligible | |
| SWC (%) | CoA | −0.5 | −0.016 | Negligible |
| VgT | 1.2 | 0.057 | Negligible | |
| O2 (%) | CoA | 0.1 | 0.047 | Negligible |
| VgT | −3.9 | −0.824 | Large |
| Sampling Days | Control Values (mg L−1) | From RAs (mg L−1) | ||||||||
|---|---|---|---|---|---|---|---|---|---|---|
| Pb | Cu | Ni | Cr | Zn | Pb | Cu | Ni | Cr | Zn | |
| 6 November 2023 | 0.07 | 0.03 | 0.09 | 0.00 | 0.02 | 0.14 ± 0.13 | 0.03 ± 0.02 | 0.13 ± 0.06 | 0.00 ± 0.00 | 0.02 ± 0.00 |
| 31 January 2024 | 0.06 | 0.01 | 0.03 | 0.00 | 0.01 | 0.02 ± 0.02 | 0.07 ± 0.04 | 0.09 ± 0.08 | 0.00 ± 0.00 | 0.02 ± 0.03 |
| 7 March 2024 | 0.24 | 0.04 | 0.02 | 0.06 | 0.01 | −0.03 ± 0.05 | 0.03 ± 0.02 | 0.03 ± 0.06 | 0.02 ± 0.02 | 0.03 ± 0.05 |
| 11 April 2024 | 0.00 | 0.04 | 0.04 | 0.04 | 0.02 | 0.00 ± 0.00 | 0.03 ± 0.02 | 0.05 ± 0.06 | 0.00 ± 0.01 | 0.02 ± 0.04 |
| 08 May 2024 | 0.00 | 0.04 | 0.06 | 0.03 | 0.02 | 0.00 ± 0.00 | 0.03 ± 0.02 | 0.05 ± 0.05 | 0.00 ± 0.01 | 0.00 ± 0.01 |
| 05 June 2024 | 0.00 | 0.04 | 0.04 | 0.00 | 0.01 | 0.00 ± 0.00 | 0.03 ± 0.02 | 0.05 ± 0.03 | 0.00 ± 0.00 | 0.02 ± 0.03 |
| 24 July 2024 | 0.00 | 0.03 | 0.05 | 0.00 | 0.01 | 0.00 ± 0.00 | 0.01 ± 0.01 | 0.01 ± 0.01 | 0.00 ± 0.00 | 0.00 ± 0.01 |
| Order | Day | pH | CaCO3 | SOC | N | CN | T | SWC | O2 | R2m | R2c |
|---|---|---|---|---|---|---|---|---|---|---|---|
| Caryophanales | 0.059 | 0.14 | 0.31 | ||||||||
| Gemmatimonadales | 0.031 * | 0.22 | 0.47 | ||||||||
| Micromonosporales | 0.374 | 0.732 | 0.05 | 0.57 | |||||||
| Hyphomicrobiales | 0.020 * | 0.016 * | 0.031 * | 0.051 | 0.098 | 0.35 | 0.35 | ||||
| Burkholderiales | 0.097 | 0.09 | 0.49 | ||||||||
| Xanthomonadales | 0.103 | 0.207 | 0.113 | 0.011 * | 0.52 | 0.52 | |||||
| Solirubrobacterales | 0.015 * | 0.055 | 0.25 | 0.25 | |||||||
| Cytophagales | 0.052 | 0.065 | 0.070 | 0.257 | 0.19 | 0.39 | |||||
| Eubacteriales | 0.049 * | 0.002 * | 0.38 | 0.38 | |||||||
| Micrococcales | 0.023 * | 0.003 * | 0.012 * | 0.47 | 0.47 |
Disclaimer/Publisher’s Note: The statements, opinions and data contained in all publications are solely those of the individual author(s) and contributor(s) and not of MDPI and/or the editor(s). MDPI and/or the editor(s) disclaim responsibility for any injury to people or property resulting from any ideas, methods, instructions or products referred to in the content. |
© 2025 by the authors. Licensee MDPI, Basel, Switzerland. This article is an open access article distributed under the terms and conditions of the Creative Commons Attribution (CC BY) license (https://creativecommons.org/licenses/by/4.0/).
Share and Cite
Mascetti, G.; Comolli, R.; Pittino, F.; Gandolfi, I.; Ferré, C. Soil De-Sealing and Recycled Aggregates Application: One Year of Monitoring. Soil Syst. 2025, 9, 128. https://doi.org/10.3390/soilsystems9040128
Mascetti G, Comolli R, Pittino F, Gandolfi I, Ferré C. Soil De-Sealing and Recycled Aggregates Application: One Year of Monitoring. Soil Systems. 2025; 9(4):128. https://doi.org/10.3390/soilsystems9040128
Chicago/Turabian StyleMascetti, Gaia, Roberto Comolli, Francesca Pittino, Isabella Gandolfi, and Chiara Ferré. 2025. "Soil De-Sealing and Recycled Aggregates Application: One Year of Monitoring" Soil Systems 9, no. 4: 128. https://doi.org/10.3390/soilsystems9040128
APA StyleMascetti, G., Comolli, R., Pittino, F., Gandolfi, I., & Ferré, C. (2025). Soil De-Sealing and Recycled Aggregates Application: One Year of Monitoring. Soil Systems, 9(4), 128. https://doi.org/10.3390/soilsystems9040128

