Assessment of Spectral Vegetation Indices Performance for Post-Fire Monitoring of Different Forest Environments
Abstract
1. Introduction
2. Test Sites and Preliminary Assessment of the Character of the Fire Events
2.1. Boreal Mountain Forest (BMF)
2.2. Mediterranean Mountain Forest (MMF)
2.3. Mediterranean Hill Forest (MHF)
2.4. Preliminary Assessment of the Character of the Fire Events
3. Methodology and Data Used
3.1. Data and Data Processing
3.1.1. Classified Data
3.1.2. Reference Data
VHR Aerial and Satellite Data
Multispectral Landsat and Sentinel data
3.2. Spectral Indices Used for Post-Fire Monitoring
3.3. Accuracy Assessment Procedure (AAP)
3.3.1. Thematic Accuracy Assessment
3.3.2. Spatial Accuracy Assessment
3.4. Error Matrix and Accuracy Metrics
4. Results
4.1. Thematic Accuracy Assessment
4.2. Accuracy Metrics
5. Discussion
5.1. Baseline Principles for Assessment of Indices Performance
5.2. Performance of dNDVI, dNBR, and dDI for Post-Fire Monitoring
6. Conclusions
- dDI showed to be more appropriate to distinguish intermediate classes in less forested areas, with slow processes of forest vegetation regrowth (such as BMF test site).
- dDI had an optimal performance in monitoring post-fire disturbances. dDI showed to be suitable for studying disturbances in more difficult-to-be-differentiated classes in more forested areas (such as MHF).
- dNDVI showed to be more appropriate for assessing forest regrowth in more forested areas. This index had better performance in more difficult-to-be-differentiated regrowth classes (such as MHF).
Author Contributions
Funding
Institutional Review Board Statement
Informed Consent Statement
Data Availability Statement
Acknowledgments
Conflicts of Interest
Appendix A
| BMF | MMF | MHF | |
|---|---|---|---|
| Landsat 7 ETM+ & Landsat 8 OLI | 29/06/2012 | 16/05/2013 | 12/07/2013 |
| 19/08/2013 | 20/05/2017 | 21/08/2016 | |
| Sentinel 2A | 13/07/2016 | 15/07/2017 | 24/08/2017 |
| 03/08/2021 | 14/06/2022 |
| Aerial Images | SATELLITE DATA | ||||||||
|---|---|---|---|---|---|---|---|---|---|
| Test Site | Date of Fire | 2013 | 2016 | 2017 | 2011 | 2013 | 2018 | 2021 | 2022 |
| BMF | 1 July 2012 | ✓ | ✓ | 21 Nov. | 18 Sep. | ||||
| MMF | 29 July 2016 | ✓ | 19 May | 4 Aug. | |||||
| MHF | 21 Nov. 2015 | ✓ | ✓ | 17 June | |||||
| BMF | MMF | MHF | |
|---|---|---|---|
| Landsat ETM+ | 19/08/2013 | ||
| Landsat 8 OLI | 04/09/2016 | 18/07/2021 | |
| Landsat 9 OLI-2 | 04/07/2022 | ||
| Sentinel 2A | 15/07/2017 | 10/07/2016 | |
Appendix B
| Landsat 7 ETM+ | Landsat 8 OLI | Sentinel 2 | ||||
|---|---|---|---|---|---|---|
| Band | Spectral Resolution | Spatial Resolution | Spectral Resolution | Spatial Resolution | Spectral Resolution | Spatial Resolution |
| B1 | 0.45–0.52 | 30 | 0.443 | 60 | ||
| B2 | 0.52–0.60 | 30 | 0.45–0.51 | 30 | 0.49 | 10 |
| B3 | 0.63–0.69 | 30 | 0.53–0.59 | 30 | 0.56 | 10 |
| B4 | 0.77–0.90 | 30 | 0.64–0.67 | 30 | 0.665 | 10 |
| B5 | 1.55–1.75 | 30 | 0.85–0.88 | 30 | 0.705 | 20 |
| B6 | 1.57–1.65 | 30 | 0.74 | 20 | ||
| B7 | 2.08–2.35 | 30 | 2.11–2.29 | 30 | 0.783 | 20 |
| B8 | 0.842 | 10 | ||||
| B8a | 0.865 | 20 | ||||
| B9 | 0.94 | 60 | ||||
| B10 | 1.375 | 60 | ||||
| B11 | 1.61 | 20 | ||||
| B12 | 2.19 | 20 | ||||
References
- Tedim, F.; Leone, V.; Coughlan, M.; Bouillon, C.; Xanthopoulos, G.; Royé, D.; Correia, F.J.; Ferreira, C. Extreme wildfire events: The definition. In Extreme Wildfire Events and Disasters; Chapter 1; Elsevier: Amsterdam, The Netherlands, 2020; pp. 3–29. [Google Scholar]
- Stankova, N.; Nedkov, R.; Ivanova, I.; Avetisyan, D. Modeling of forest ecosystems recovery after fire based on orthogonalization of multispectral satellite data. In Proceedings of the SPIE, Earth Resources and Environmental Remote Sensing/GIS Applications IX, 10790, Berlin, Germany, 10–13 September 2018. [Google Scholar] [CrossRef]
- Kennedy, R.E.; Yang, Z.; Cohen, W.B.; Pfaff, E.; Braaten, J.; Nelson, P. Spatial and Temporal Patterns of Forest Disturbance and Regrowth within the Area of the Northwest Forest Plan. Remote Sens. Environ. 2012, 122, 117–133. [Google Scholar] [CrossRef]
- Pickell, P.D.; Hermosilla, T.; Frazier, R.J.; Coops, N.C.; Wulder, M.A. Forest recovery trends derived from Landsat time series for North American boreal forests. Int. J. Remote Sens. 2016, 37, 138–149. [Google Scholar] [CrossRef]
- Viedma, O.; Meliá, J.; García-Haro, J.; Segarra, D. Monitoring forest regeneration rates after fires with multitemporal Landsat TM imagery. EARSeL Adv. Remote Sens. 1996, 4, 146–154. [Google Scholar]
- Crabtree, R.; Potter, C.; Mullen, R.; Sheldon, J.; Huang, S.; Harmsen, J.; Rodman, A.; Jean, C. A modeling and spatio-temporal analysis framework for monitoring environmental change using NPP as an ecosystem indicator. Remote Sens. Environ. 2009, 113, 1486–1496. [Google Scholar] [CrossRef]
- Rouse, J.; Haas, R.; Schell, J.; Deering, D. Monitoring Vegetation Systems in the Great Plains with ERTS. In Proceedings of the Third Earth Resources Technology Satellite-1 Symposium, Greenbelt, MD, USA, March 1973; pp. 309–317. [Google Scholar]
- Tucker, C.J. Red and Photographic Infrared Linear Combinations for Monitoring Vegetation. Remote Sens. Environ. 1979, 8, 127–150. [Google Scholar] [CrossRef]
- Pérez-Cabello, F.; Montorio, R.; Borini Alves, D. Remote sensing techniques to assess post-fire vegetation recovery. Curr. Opin. Environ. Sci. Health 2021, 21, 100251. [Google Scholar] [CrossRef]
- Kim, Y.; Jeong, M.-H.; Youm, M.; Kim, J.; Kim, J. Recovery of Forest Vegetation in a Burnt Area in the Republic of Korea: A Perspective Based on Sentinel-2 Data. Appl. Sci. 2021, 11, 2570. [Google Scholar] [CrossRef]
- Key, C.; Benson, N. The Normalized Burn Ratio (NBR): A Landsat TM Radiometric Measure of Burn Severity. 2003. Available online: https://www.frames.gov/catalog/5860 (accessed on 28 July 2023).
- McKenna, P.; Phinn, S.; Erskine, P.D. Fire Severity and Vegetation Recovery on Mine Site Rehabilitation Using WorldView-3 Imagery. Fire 2018, 1, 22. [Google Scholar] [CrossRef]
- Key, C.H.; Benson, N.C. Landscape Assessment (LA): Sampling and Analysis Methods. In FIREMON: Fire Effects and Monitoring Inventory System; Lutes, D.C., Keane, R.E., Caratti, C.H., Key, C.H., Sutherland, S., Eds.; USDA Forest Service: Fort Collins, CO, USA, 2006; pp. LA-1–LA-55. [Google Scholar]
- Dimitrov, P.; Gikov, A. Identification and evaluation of traces of fires in Rila mountain using spectral indices from Landsat data. In Proceedings of the SENS, Fifth Scientific Conference with International Participation, Sofia, Bularia, 2–4 November 2009; pp. 142–149. [Google Scholar]
- Gupta, V.; Reinke, K.; Jones, S. Changes in the Spectral Features of Fuel Layers of an Australian Dry Sclerophyll Forest in Response to Prescribed Burning. Int. J. Wildland Fire 2013, 22, 862–868. [Google Scholar] [CrossRef]
- Jensen, J.R. Remote Sensing of the Environment an Earth Perspective, 2nd ed.; Pearson Education Limited: London, UK, 2014. [Google Scholar]
- Stankova, N.; Nedkov, R. Monitoring forest regrowth with different burn severity using aerial and Landsat data. In Proceedings of the Geoscience and Remote Sensing Symposium (IGARSS), 2015 IEEE International, Milano, Italy, 26–31 July 2015; pp. 2166–2169. [Google Scholar] [CrossRef]
- Robichaud, P.R.; Lewis, S.A.; Laes, D.Y.M.; Hudak, A.T.; Kokaly, R.F.; Zamudio, J.A. Postfire Soil Burn Severity Mapping with Hyperspectral Image Unmixing. Remote Sens. Environ. 2007, 108, 467–480. [Google Scholar] [CrossRef]
- White, J.C.; Wulder, M.A.; Hermosilla, T.; Coops, N.C.; Hobart, G.W. A nationwide annual characterization of 25 years of forest disturbance and recovery for Canada using Landsat time series. Remote Sens. Environ. 2017, 194, 303–321. [Google Scholar] [CrossRef]
- French, N.H.F.; Kasischke, E.S.; Hall, R.J.; Murphy, K.A.; Verbyla, D.L.; Hoy, E.E.; Allen, J.L. Using Landsat Data to Assess Fire and Burn Severity in the North American Boreal Forest Region: An Overview and Summary of Results. Int. J. Wildl. Fire 2008, 17, 443–462. [Google Scholar] [CrossRef]
- Chen, W.; Moriya, K.; Sakai, T.; Koyama, L.; Cao, C. Monitoring of post-fire forest recovery under different restoration modes based on time series Landsat data. Eur. J. Remote Sens. 2014, 47, 153–168. [Google Scholar] [CrossRef]
- Qiu, J.; Wang, H.; Chen, W.; Zhang, Y.; Su, H.; Li, M. Quantifying Forest Fire and Post-Fire Vegetation Recovery in the Daxin’anling Area of Northeastern China Using Landsat Time-Series Data and Machine Learning. Remote Sens. 2021, 13, 792. [Google Scholar] [CrossRef]
- Fornacca, D.; Ren, G.; Xiao, W. Evaluating the Best Spectral Indices for the Detection of Burn Scars at Several Post-Fire Dates in a Mountainous Region of Northwest Yunnan, China. Remote Sens. 2018, 10, 1196. [Google Scholar] [CrossRef]
- Healey, S.; Cohen, W.; Yang, Z.; Krankina, O. Comparison of Tasseled Cap-based Landsat data structures for use in forest disturbance detection. Remote Sens. Environ. 2005, 97, 301–310. [Google Scholar] [CrossRef]
- Thayn, J.B. Using a remotely sensed optimized Disturbance Index to detect insect defoliation in the Apostle Islands, Wisconsin, USA. Remote Sens. Environ. 2013, 136, 210–217. [Google Scholar] [CrossRef]
- Avetisyan, D.; Velizarova, E.; Filchev, L. Post-Fire Forest Vegetation State Monitoring through Satellite Remote Sensing and In Situ Data. Remote Sens. 2022, 14, 6266. [Google Scholar] [CrossRef]
- Chen, X.; Chen, W.; Xu, M. Remote-Sensing Monitoring of Postfire Vegetation Dynamics in the Greater Hinggan Mountain Range Based on Long Time-Series Data: Analysis of the Effects of Six Topographic and Climatic Factors. Remote Sens. 2022, 14, 2958. [Google Scholar] [CrossRef]
- Velizarova, E.; Radeva, K.; Stoyanov, A.; Georgiev, N.; Gigova, I. Post-fire forest disturbance monitoring using remote sensing data and spectral indices. In Proceedings of the SPIE, Seventh International Conference on Remote Sensing and Geoinformation of the Environment (RSCy2019), Paphos, Cyprus, 18–21 March 2019; Volume 11174. [Google Scholar]
- Kauth, R.; Thomas, G. The Tasseled Cap—A graphic description of the spectral-temporal development of agricultural crops as seen by Landsat. In Symposium on Machine Processing of Remotely Sensed Data; West Lafayette’ Purdue University Lab.: West Lafayette, IN, USA, 1976. [Google Scholar]
- Crist, E.; Cicone, R. A physicaly-based transformation of Thematic Mapper data—The TM Tasseled Cap. IEEE Trans. Geosci. Remote Sens. 1984, 22, 256–263. [Google Scholar] [CrossRef]
- Crist, E.; Kauth, R. The Tasseled Cap de-mystified. Photogramm. Eng. Remote Sens. 1986, 52, 81–86. [Google Scholar]
- Nedkov, R. Orthogonal transformation of segmented images from the satellite Sentinel-2. C. R. L’acad’emie Bulg. Sci. 2017, 70, 687–692. [Google Scholar]
- Huang, C.; Wylie, B.; Homer, C.; Zylstra, G. Derivation of a tasseled cap transformation based on Landsat 7 at-satellite reflectance. Int. J. Remote Sens. 2002, 23, 1741–1748. [Google Scholar] [CrossRef]
- Baig, M.; Zhang, L.; Shuai, T.; Tong, Q. Derivation of a tasseled cap transformation based on Landsat 8 at-satellite reflectance. Remote Sens. Lett. 2014, 5, 423–431. [Google Scholar] [CrossRef]
- Google Earth. Available online: https://earth.google.com/ (accessed on 15 May 2021).
- Executive Environment Agency (ExEA). Register of Protected Areas in Bulgaria. Available online: http://pdbase.government.bg/zpo/en/index.jsp (accessed on 15 May 2021).
- Topliisky, D. Climate of Bulgaria; Amstels: Sofia, Bulgaria, 2006; pp. 298–309. (In Bulgarian) [Google Scholar]
- Assenov, A. Biogeography and Natural Capital of Bulgaria; University Press St. Kliment Ohridski: Sofia, Bulgaria, 2021. (In Bulgarian) [Google Scholar]
- Avetisyan, D.; Velizarova, E.; Nedkov, R.; Borisova, D. Assessment and mapping of the current state of the landscapes in Haskovo region (Southeastern Bulgaria) in relation to ecosystem services using remote sensing and GIS. In Proceedings of the SPIE, Sixth International Conference on Remote Sensing and Geoinformation of the Environment (RSCy2018), Paphos, Cyprus, 26–29 March 2018; Volume 10073. [Google Scholar] [CrossRef]
- Avetisyan, D.; Nedkov, R. Application of remote sensing and GIS for determination of predicted status of the ecosystem/landscape services in changing environmental conditions. In Proceedings of the SPIE, Seventh International Conference on Remote Sensing and Geoinformation of the Environment (RSCy2019), Paphos, Cyprus, 18–21 March 2019. [Google Scholar] [CrossRef]
- USGS. Available online: https://www.usgs.gov/landsat-missions/ (accessed on 22 October 2022).
- USGS. Earth Explorer. Available online: https://earthexplorer.usgs.gov/ (accessed on 22 October 2022).
- Copernicus Open Access Hub. Available online: https://scihub.copernicus.eu/ (accessed on 22 October 2022).
- Mazek, J.G.; Huang, C.; Wolf, R.; Cohen, W.; Hall, F.; Kutler, J.; Nelson, P. North American forest disturbance mapped from a decadal Landsat record. Remote Sens. Environ. 2008, 112, 2914–2926. [Google Scholar] [CrossRef]
- Copernicus Land Monitoring Services. Available online: https://land.copernicus.eu/pan-european/high-resolution-layers (accessed on 2 November 2022).
- Duporge, I.; Isupova, O.; Reece, S.; Macdonald, D.W.; Wang, T. Using very-high-resolution satellite imagery and deep learning to detect and count African elephants in heterogeneous landscapes. Remote Sens. Ecol. Conserv. 2020, 7, 369–381. [Google Scholar] [CrossRef]
- Höschle, C.; Cubaynes, H.C.; Clarke, P.J.; Humphries, G.; Borowicz, A. The Potential of Satellite Imagery for Surveying Whales. Sensors 2021, 21, 963. [Google Scholar] [CrossRef] [PubMed]
- Curtis, P.G.; Slay, C.M.; Harris, N.L. Classifying drivers of global forest loss. Science 2018, 361, 1108–1111. [Google Scholar] [CrossRef] [PubMed]
- Schepaschenko, D.; See, L.; Lesiv, M. Recent Advances in Forest Observation with Visual Interpretation of Very High-Resolution Imagery. Surv. Geophys. 2019, 40, 839–862. [Google Scholar] [CrossRef]
- Olofsson, P.; Foody, G.M.; Herold, M.; Stehman, S.V.; Woodcock, C.E.; Wulder, M.A. Good practices for estimating area and assessing accuracy of land change. Remote Sens. Environ. 2014, 148, 42–57. [Google Scholar] [CrossRef]
- Adagbasa, E.G.; Adelabu, S.A.; Okello, T.W. Development of post-fire vegetation response-ability model in grassland mountainous ecosystem using GIS and remote sensing. ISPRS J. Photogramm. Remote Sens. 2020, 164, 173–183. [Google Scholar] [CrossRef]
- Tempfli, K.; Kerle, N.; Huurneman, G.C.; Janssen, L.L.F. (Eds.) Principles of Remote Sensing, 4th ed.; ITC Educational Textbook Series, 2; The International Institute for Geo-Information Science and Earth Observation (ITC): Enschede, The Netherlands, 2009. [Google Scholar]
- Tran, B.N.; Tanase, M.A.; Bennett, L.T.; Aponte, C. Evaluation of Spectral Indices for Assessing Fire Severity in Australian Temperate Forests. Remote Sens. 2018, 10, 1680. [Google Scholar] [CrossRef]
- Picotte, J.J.; Robertson, K. Timing constraints on remote sensing of wildland fire burned area in the southeastern US. Remote Sens. 2011, 3, 1680–1690. [Google Scholar] [CrossRef]
- Hislop, S.; Jones, S.; Soto-Berelov, M.; Skidmore, A.K.; Haywood, A.; Nguyen, T. Using Landsat Spectral Indices in Time-Series to Assess Wildfire Disturbance and Recovery. Remote Sens. 2018, 10, 460. [Google Scholar] [CrossRef]
- Kennedy, R.E.; Yang, Z.; Cohen, W.B. Detecting trends in forest disturbance and recovery using yearly Landsat time series: 1. LandTrendr-Temporal segmentation algorithms. Remote Sens. Environ. 2010, 114, 2897–2910. [Google Scholar] [CrossRef]
- Mbow, C.; Goïta, K.; Bénié, G.B. Spectral indices and fire behavior simulation for fire risk assessment in savanna ecosystems. Remote Sens. Environ. 2004, 91, 1–13. [Google Scholar] [CrossRef]
- De Carvalho Júnior, O.A.; Guimarães, R.F.; Silva, C.R.; Gomes, R.A.T. Standardized Time-Series and Interannual Phenological Deviation: New Techniques for Burned-Area Detection Using Long-Term MODIS-NBR Dataset. Remote Sens. 2015, 7, 6950–6985. [Google Scholar] [CrossRef]
- Chu, T.; Guo, X. Remote sensing techniques in monitoring post-fire effects and patterns of forest recovery in boreal forest regions: A review. Remote Sens. 2014, 6, 470–520. [Google Scholar] [CrossRef]
- Loboda, T.; O’Neal, K.J.; Csiszar, I. Regionally adaptable dNBR-based algorithm for burned area mapping from MODIS data. Remote Sens. Environ. 2007, 109, 429–442. [Google Scholar] [CrossRef]
- Sentinel Online. Available online: https://sentinels.copernicus.eu/web/sentinel/user-guides/sentinel-2-msi/resolutions/spatial (accessed on 2 November 2022).












| Spectral Index | Abbreviation | Formula | References |
|---|---|---|---|
| Normalized Difference Vegetation Index | NDVI | [7] | |
| Differenced Normalized Difference Vegetation Index | dNDVI | NDVI post-fire − NDVI pre-fire | [12] |
| Normalized Burn Ratio | NBR | [11] | |
| Differenced Normalized Burn Ratio | dNBR | NBR pre-fire − NBR post-fire | [13] |
| Disturbance Index | DI | [24] | |
| Differenced Disturbance Index | dDI | DI post-fire − DI pre-fire | [44] |
| Post-Fire Disturbance | ||||||||||
|---|---|---|---|---|---|---|---|---|---|---|
| BMF (70 ha) | MMF (100 ha) | MHF (30 ha) | ||||||||
| VA | NVA | UA | SA | MA | HA | UA | SA | MA | HA | |
| Sample points (num) | 10 | 10 | 10 | 8 | 10 | 14 | 6 | 6 | 7 | 8 |
| Sample polygons (ha) | 6.62 | 3.87 | 5.14 | 3.83 | 3.17 | 3.62 | 3.2 | 2.74 | 3.67 | 2.3 |
| Post-Fire Regrowth | |||||||||
|---|---|---|---|---|---|---|---|---|---|
| BMF (70 ha) | MMF (100 ha) | MHF (30 ha) | |||||||
| LRI | MRI | HRI | LRI | MRI | HRI | LRI | MRI | HRI | |
| Sample points (num) | 10 | 10 | 10 | 19 | 18 | 18 | 12 | 10 | 13 |
| Sample polygons(ha) | 2.38 | 3.77 | 2.29 | 20.94 | 5.64 | 7.64 | 2.11 | 2.73 | 9.16 |
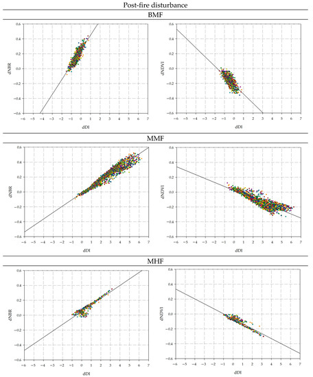
| dDI BMF | dDI MMF | dDI MHF | |||||||
|---|---|---|---|---|---|---|---|---|---|
| SEE | Rsqr | N | SEE | Rsqr | N | SEE | Rsqr | N | |
| Post-fire disturbance | |||||||||
| dNBR | 0.19 | 0.77 | 779 | 0.39 | 0.93 | 4740 | 0.34 | 0.84 | 330 |
| dNDVI | 0.274 | 0.53 | 779 | 0.66 | 0.8 | 4740 | 0.345 | 0.84 | 330 |
| Post-fire regrowth | |||||||||
| dNBR | 0.291 | 0.34 | 7020 | 0.67 | 0.78 | 4740 | 0.52 | 0.66 | 2989 |
| dNDVI | 0.326 | 0.17 | 7020 | 0.89 | 0.6 | 4740 | 0.694 | 0.39 | 2989 |
| BMF Post-Fire Disturbance | |||||||||||||
|---|---|---|---|---|---|---|---|---|---|---|---|---|---|
| OA | EO VA | EO NVA | EC VA | EC NVA | PA VA | PA NVA | UA VA | UA NVA | |||||
| Entire Area of the Fire | |||||||||||||
| dDI | 55 | 49 | 42 | 44 | 46 | 51 | 58 | 56 | 54 | ||||
| dNBR | 62 | 47 | 28 | 34 | 40 | 53 | 72 | 66 | 60 | ||||
| dNDVI | 72 | 40 | 16 | 21 | 33 | 60 | 84 | 79 | 67 | ||||
| Key Areas of the Fire | |||||||||||||
| dDI | 75 | 29 | 22 | 29 | 22 | 71 | 78 | 71 | 78 | ||||
| dNBR | 85 | 18 | 14 | 18 | 14 | 82 | 86 | 82 | 86 | ||||
| dNDVI | 91 | 11 | 8 | 11 | 8 | 89 | 92 | 89 | 92 | ||||
| BMF Post-fire Regrowth | |||||||||||||
| OA | EO LRI | EO MRI | EO HRI | EC LRI | EC MRI | EC HRI | PA LRI | PA MRI | PA HRI | UA LRI | UA MRI | UA HRI | |
| Entire Area of the Fire | |||||||||||||
| dDI | 43 | 59 | 44 | 75 | 76 | 32 | 60 | 41 | 56 | 25 | 24 | 68 | 40 |
| dNBR | 51 | 30 | 59 | 68 | 23 | 43 | 68 | 70 | 41 | 50 | 77 | 57 | 32 |
| dNDVI | 50 | 36 | 59 | 58 | 43 | 49 | 58 | 64 | 41 | 50 | 57 | 51 | 42 |
| Key Areas of the Fire | |||||||||||||
| dDI | 54 | 62 | 23 | 67 | 70 | 21 | 56 | 38 | 77 | 33 | 30 | 79 | 44 |
| dNBR | 65 | 13 | 35 | 60 | 13 | 31 | 60 | 87 | 65 | 43 | 87 | 69 | 40 |
| dNDVI | 55 | 13 | 65 | 61 | 23 | 46 | 61 | 87 | 35 | 56 | 77 | 54 | 39 |
| MMF Post-Fire Disturbance | |||||||||||||||||
|---|---|---|---|---|---|---|---|---|---|---|---|---|---|---|---|---|---|
| OA | EO UA | EO SA | EO MA | EO HA | EC UA | EC SA | EC MA | EC HA | PA UA | PA SA | PA MA | PA HA | UA UA | UA SA | UA MA | UA HA | |
| Entire Area of the Fire | |||||||||||||||||
| dDI | 61 | 17 | 51 | 58 | 34 | 33 | 44 | 64 | 23 | 83 | 49 | 42 | 66 | 67 | 56 | 36 | 77 |
| dNBR | 58 | 17 | 57 | 68 | 31 | 35 | 47 | 70 | 27 | 83 | 43 | 32 | 69 | 65 | 53 | 30 | 73 |
| dNDVI | 58 | 17 | 57 | 68 | 31 | 35 | 47 | 70 | 27 | 83 | 43 | 32 | 69 | 65 | 53 | 30 | 73 |
| Key Areas of the Fire | |||||||||||||||||
| dDI | 76 | 12 | 42 | 43 | 8 | 18 | 38 | 28 | 20 | 88 | 58 | 57 | 92 | 82 | 62 | 72 | 80 |
| dNBR | 72 | 12 | 42 | 62 | 5 | 19 | 43 | 30 | 26 | 88 | 58 | 38 | 95 | 81 | 57 | 70 | 74 |
| dNDVI | 72 | 12 | 42 | 62 | 5 | 19 | 43 | 30 | 26 | 88 | 58 | 38 | 95 | 81 | 57 | 70 | 74 |
| MHF Post-fire Disturbance | |||||||||||||||||
| Entire Area of the Fire | |||||||||||||||||
| dDI | 50 | 16 | 62 | 72 | 43 | 42 | 63 | 66 | 52 | 84 | 38 | 28 | 57 | 58 | 37 | 34 | 66 |
| dNBR | 35 | 66 | 69 | 75 | 52 | 69 | 78 | 68 | 69 | 34 | 31 | 25 | 48 | 31 | 22 | 32 | 59 |
| dNDVI | 36 | 34 | 75 | 81 | 58 | 69 | 68 | 72 | 44 | 66 | 25 | 19 | 42 | 31 | 32 | 28 | 56 |
| Key Areas of the Fire | |||||||||||||||||
| dDI | 56 | 10 | 72 | 74 | 14 | 42 | 64 | 44 | 45 | 90 | 28 | 26 | 88 | 58 | 36 | 56 | 69 |
| dNBR | 36 | 69 | 75 | 79 | 16 | 66 | 83 | 58 | 57 | 31 | 25 | 21 | 84 | 34 | 17 | 42 | 64 |
| dNDVI | 47 | 31 | 69 | 82 | 20 | 48 | 71 | 59 | 70 | 67 | 31 | 18 | 80 | 52 | 29 | 41 | 59 |
| MMF Post-Fire Regrowth | |||||||||||||
|---|---|---|---|---|---|---|---|---|---|---|---|---|---|
| OA | EO LRI | EO MRI | EO HRI | EC LRI | EC MRI | EC HRI | PA LRI | PA MRI | PA HRI | UA LRI | UA MRI | UA HRI | |
| Entire Area of the Fire | |||||||||||||
| dDI | 55 | 53 | 59 | 33 | 48 | 68 | 26 | 47 | 41 | 67 | 52 | 32 | 74 |
| dNBR | 58 | 67 | 50 | 17 | 57 | 44 | 33 | 33 | 50 | 83 | 43 | 56 | 67 |
| dNDVI | 58 | 70 | 43 | 21 | 56 | 44 | 35 | 30 | 57 | 79 | 44 | 56 | 65 |
| Key Areas of the Fire | |||||||||||||
| dDI | 53 | 21 | 80 | 53 | 47 | 66 | 34 | 79 | 20 | 47 | 53 | 34 | 66 |
| dNBR | 50 | 65 | 35 | 20 | 21 | 74 | 44 | 35 | 65 | 80 | 79 | 26 | 56 |
| dNDVI | 44 | 73 | 40 | 21 | 24 | 76 | 52 | 27 | 60 | 79 | 76 | 24 | 48 |
| MHF Post-fire Regrowth | |||||||||||||
| Entire Area of the Fire | |||||||||||||
| dDI | 52 | 39 | 74 | 36 | 59 | 66 | 32 | 61 | 26 | 64 | 41 | 34 | 68 |
| dNBR | 55 | 67 | 65 | 24 | 63 | 61 | 30 | 33 | 35 | 76 | 37 | 39 | 70 |
| dNDVI | 59 | 77 | 48 | 21 | 53 | 57 | 27 | 23 | 52 | 79 | 47 | 43 | 73 |
| Key Areas of the Fire | |||||||||||||
| dDI | 54 | 33 | 76 | 39 | 61 | 82 | 18 | 67 | 24 | 61 | 39 | 18 | 82 |
| dNBR | 64 | 66 | 55 | 23 | 59 | 70 | 13 | 34 | 45 | 77 | 41 | 30 | 87 |
| dNDVI | 69 | 73 | 38 | 20 | 49 | 64 | 10 | 27 | 62 | 80 | 51 | 36 | 90 |
Disclaimer/Publisher’s Note: The statements, opinions and data contained in all publications are solely those of the individual author(s) and contributor(s) and not of MDPI and/or the editor(s). MDPI and/or the editor(s) disclaim responsibility for any injury to people or property resulting from any ideas, methods, instructions or products referred to in the content. |
© 2023 by the authors. Licensee MDPI, Basel, Switzerland. This article is an open access article distributed under the terms and conditions of the Creative Commons Attribution (CC BY) license (https://creativecommons.org/licenses/by/4.0/).
Share and Cite
Avetisyan, D.; Stankova, N.; Dimitrov, Z. Assessment of Spectral Vegetation Indices Performance for Post-Fire Monitoring of Different Forest Environments. Fire 2023, 6, 290. https://doi.org/10.3390/fire6080290
Avetisyan D, Stankova N, Dimitrov Z. Assessment of Spectral Vegetation Indices Performance for Post-Fire Monitoring of Different Forest Environments. Fire. 2023; 6(8):290. https://doi.org/10.3390/fire6080290
Chicago/Turabian StyleAvetisyan, Daniela, Nataliya Stankova, and Zlatomir Dimitrov. 2023. "Assessment of Spectral Vegetation Indices Performance for Post-Fire Monitoring of Different Forest Environments" Fire 6, no. 8: 290. https://doi.org/10.3390/fire6080290
APA StyleAvetisyan, D., Stankova, N., & Dimitrov, Z. (2023). Assessment of Spectral Vegetation Indices Performance for Post-Fire Monitoring of Different Forest Environments. Fire, 6(8), 290. https://doi.org/10.3390/fire6080290

