Burn Severity Drivers in Italian Large Wildfires
Abstract
1. Introduction
2. Materials and Methods
2.1. The Study Area
2.2. Wildfire Selection and Burn Severity Assessment
2.3. Dataset Creation and Feature Description
2.4. Severity Modelling
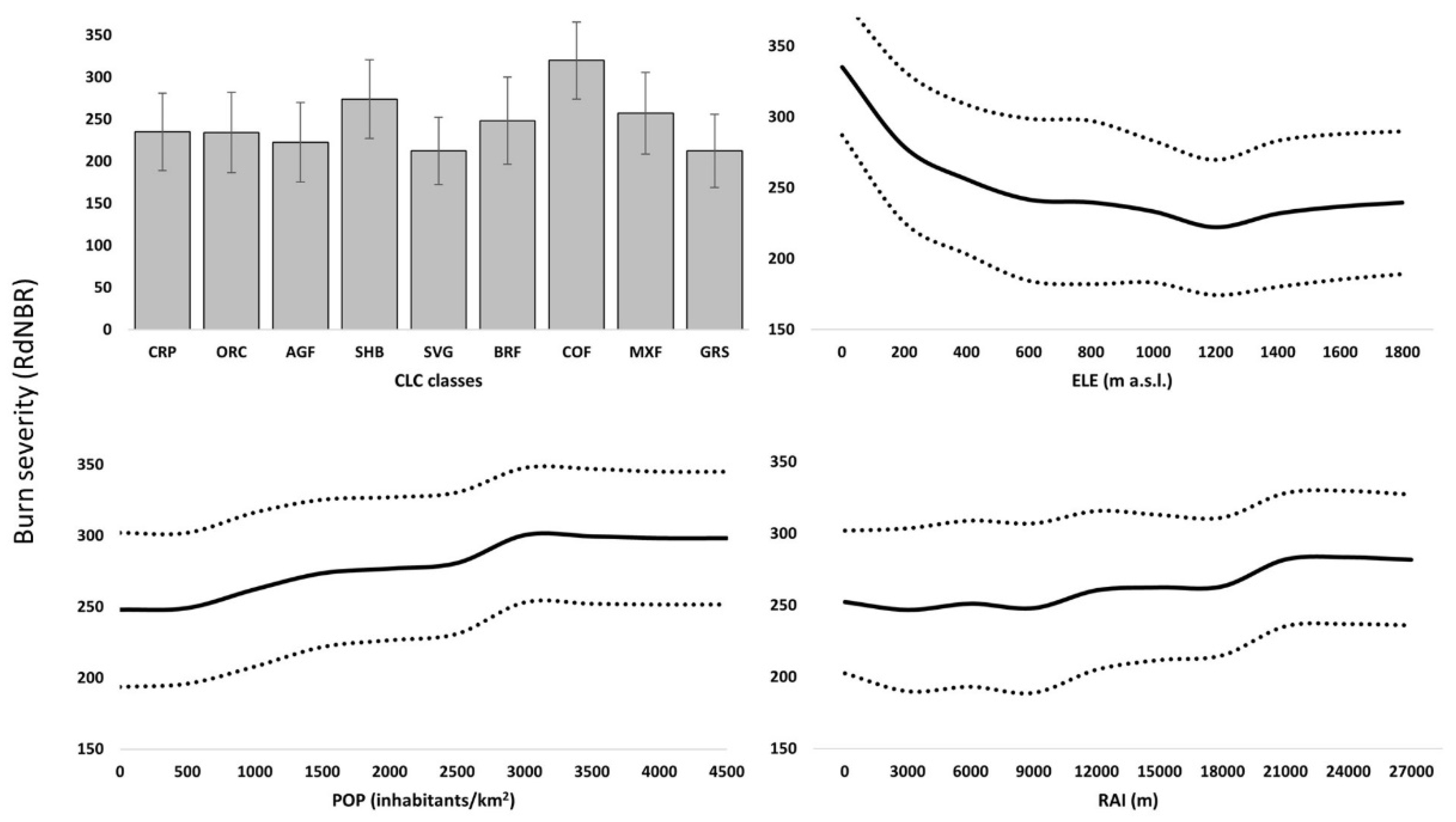
3. Results
4. Discussion
5. Conclusions
Supplementary Materials
Author Contributions
Funding
Institutional Review Board Statement
Data Availability Statement
Acknowledgments
Conflicts of Interest
References
- Pausas, J.G.; Keeley, J.E. A Burning Story: The Role of Fire in the History of Life. Bioscience 2009, 59, 593–601. [Google Scholar] [CrossRef]
- Marlon, J.R.; Bartlein, P.J.; Carcaillet, C.; Gavin, D.G.; Harrison, S.P.; Higuera, P.E.; Joos, F.; Power, M.J.; Prentice, I.C. Climate and human influences on global biomass burning over the past two millennia. Nat. Geosci. 2008, 1, 697–702. [Google Scholar] [CrossRef]
- Stephens, S.L.; Agee, J.K.; Fulé, P.Z.; North, M.P.; Romme, W.H.; Swetnam, T.W.; Turner, M.G. Managing forests and fire in changing climates. Science 2013, 342, 41–42. [Google Scholar] [CrossRef] [PubMed]
- Camia, A.; Amatulli, G. Weather Factors and Fire Danger in the Mediterranean. In Earth Observation ofWildland Fires in Mediterranean Ecosystems; Chuvieco, E., Ed.; Springer: Berlin/Heidelberg, Germany, 2009; pp. 71–82. ISBN 9783642017537. [Google Scholar]
- Pausas, J.G.; Fernández-Muñoz, S. Fire regime changes in the Western Mediterranean Basin: From fuel-limited to drought-driven fire regime. Clim. Change 2012, 110, 215–226. [Google Scholar] [CrossRef]
- Bajocco, S.; Pezzatti, G.B.; Mazzoleni, S.; Ricotta, C.; Boris, G.; Mazzoleni, S.; Ricotta, C. Wildfire seasonality and land use: When do wildfires prefer to burn? Environ. Monit. Assess. 2010, 164, 445–452. [Google Scholar] [CrossRef]
- Mantero, G.; Morresi, D.; Marzano, R.; Motta, R.; Mladenoff, D.J.; Garbarino, M. The influence of land abandonment on forest disturbance regimes: A global review. Landsc. Ecol. 2020, 35, 2723–2744. [Google Scholar] [CrossRef]
- Dimitrakopoulos, A.P.; Vlahou, M.; Anagnostopoulou, C.G.; Mitsopoulos, I.D. Impact of drought on wildland fires in Greece: Implications of climatic change? Clim. Change 2011, 109, 331–347. [Google Scholar] [CrossRef]
- Dupire, S.; Curt, T.; Bigot, S.; Fréjaville, T. Vulnerability of forest ecosystems to fire in the French Alps. Eur. J. For. Res. 2019, 138, 813–830. [Google Scholar] [CrossRef]
- García-Llamas, P.; Suárez-Seoane, S.; Fernández-Manso, A.; Quintano, C.; Calvo, L. Evaluation of fire severity in fire prone-ecosystems of Spain under two different environmental conditions. J. Environ. Manage. 2020, 271, 110706. [Google Scholar] [CrossRef]
- San-Miguel-Ayanz, J.; Moreno, J.M.; Camia, A. Analysis of large fires in European Mediterranean landscapes: Lessons learned and perspectives. For. Ecol. Manag. 2013, 294, 11–22. [Google Scholar] [CrossRef]
- Eatock, D. Demographic Outlook for the European Union 2019. EPRS European Parliamentary Research Service. 2019. Available online: https://www.europarl.europa.eu/thinktank/en/document.html?reference=EPRS_IDA(2019)637955#:~:text=The%20EU%20has%20seen%20its,the%20middle%20of%20the%20century (accessed on 1 September 2022). [CrossRef]
- Malandra, F.; Vitali, A.; Urbinati, C.; Garbarino, M. 70 Years of Land Use/Land Cover Changes in the Apennines (Italy): A Meta-Analysis. Forests 2018, 9, 551. [Google Scholar] [CrossRef]
- Garbarino, M.; Morresi, D.; Urbinati, C.; Malandra, F.; Motta, R.; Sibona, E.M.; Vitali, A.; Weisberg, P.J. Contrasting land use legacy effects on forest landscape dynamics in the Italian Alps and the Apennines. Landsc. Ecol. 2020, 35, 2679–2694. [Google Scholar] [CrossRef]
- Malandra, F.; Vitali, A.; Urbinati, C.; Weisberg, P.J.; Garbarino, M. Patterns and drivers of forest landscape change in the Apennines. Reg. Environ. Chang. 2019, 19, 1973–1985. [Google Scholar] [CrossRef]
- de Rigo, D.; Libertà, G.; Houston Durrant, T.; Artès Vivancos, T.; San-Miguel-Ayanz, J. Forest Fire Danger Extremes in Europe under Climate Change: Variability and Uncertainty; EUR 28926 EN; Publications Office of the European Union: Luxembourg, 2017; ISBN 978-92-79-77046-3. Available online: https://ec.europa.eu/jrc/en/publication/forest-fire-danger-extremes-europe-under-climate-change-variability-and-uncertainty (accessed on 1 September 2020). [CrossRef]
- Ascoli, D.; Moris, J.V.; Marchetti, M.; Sallustio, L. Land use change towards forests and wooded land correlates with large and frequent wildfires in Italy. Ann. Silvic. Res. 2021, 46, 177–188. [Google Scholar] [CrossRef]
- Flannigan, M.; Stocks, B.; Turetsky, M.; Wotton, M. Impacts of climate change on fire activity and fire management in the circumboreal forest. Glob. Chang. Biol. 2009, 15, 549–560. [Google Scholar] [CrossRef]
- Rothermel, R. A Mathematical Model for Predicting Fire Spread. Intermountain Forest & Range Experiment Station, Forest Service; US Department of Agriculture: Washington, DC, USA, 1972; pp. 1–48. [Google Scholar]
- Morgan, P.; Keane, R.E.; Dillon, G.K.; Jain, T.B.; Hudak, A.T.; Karau, E.C.; Sikkink, P.G.; Holden, Z.A.; Strand, E.K. Challenges of assessing fire and burn severity using field measures, remote sensing and modelling. Int. J. Wildl. Fire 2014, 23, 1045–1060. [Google Scholar] [CrossRef]
- Key, C.H.; Benson, N.C. Landscape Assessment (LA) Sampling and Analysis Methods. In FIREMON: Fire Effects Monitoring and Inventory System; General Technical Report; RMRS-GTR-164-CD; USDA Forest Service: Washington, DC, USA; Rocky Mountain Research Station: Fort Collins, CO, USA, 2006. [Google Scholar]
- Parks, S.A.; Holsinger, L.M.; Panunto, M.H.; Jolly, W.M.; Dobrowski, S.Z.; Dillon, G.K. High-severity fire: Evaluating its key drivers and mapping its probability across western US forests. Environ. Res. Lett. 2018, 13, 044037. [Google Scholar] [CrossRef]
- Birch, D.S.; Morgan, P.; Kolden, C.A.; Abatzoglou, J.T.; Dillon, G.K.; Hudak, A.T.; Smith, A.M.S. Vegetation, topography and daily weather influenced burn severity in central Idaho and western Montana forests. Ecosphere 2015, 6, 1–23. [Google Scholar] [CrossRef]
- Dillon, G.K.; Holden, Z.A.; Morgan, P.; Crimmins, M.A.; Heyerdahl, E.K.; Luce, C.H. Both topography and climate affected forest and woodland burn severity in two regions of the western US, 1984 to 2006. Ecosphere 2011, 2, 130. [Google Scholar] [CrossRef]
- Fang, L.; Yang, J.; Zu, J.; Li, G.; Zhang, J. Quantifying influences and relative importance of fire weather, topography, and vegetation on fire size and fire severity in a Chinese boreal forest landscape. For. Ecol. Manage. 2015, 356, 2–12. [Google Scholar] [CrossRef]
- Nolè, A.; Rita, A.; Spatola, M.F.; Borghetti, M. Biogeographic variability in wildfire severity and post-fire vegetation recovery across the European forests via remote sensing-derived spectral metrics. Sci. Total Environ. 2022, 823, 153807. [Google Scholar] [CrossRef] [PubMed]
- Michetti, M.; Pinar, M. Forest Fires Across Italian Regions and Implications for Climate Change: A Panel Data Analysis. Environ. Resour. Econ. 2019, 72, 207–246. [Google Scholar] [CrossRef]
- Harris, L.; Taylor, A.H. Topography, Fuels, and Fire Exclusion Drive Fire Severity of the Rim Fire in an Old-Growth Mixed-Conifer Forest, Yosemite National Park, USA. Ecosystems 2015, 18, 1192–1208. [Google Scholar] [CrossRef]
- Kganyago, M.; Shikwambana, L. Assessment of the characteristics of recent major wildfires in the USA, Australia and Brazil in 2018-2019 using multi-source satellite products. Remote Sens. 2020, 12, 1803. [Google Scholar] [CrossRef]
- Filipponi, F. Exploitation of Sentinel-2 Time Series to Map Burned Areas at the National Level: A Case Study on the 2017 Italy Wildfires. Remote Sens. 2019, 11, 622. [Google Scholar] [CrossRef]
- Giglio, L.; Boschetti, L.; Roy, D.P.; Humber, M.L.; Justice, C.O. The Collection 6 MODIS burned area mapping algorithm and product. Remote Sens. Environ. 2018, 217, 72–85. [Google Scholar] [CrossRef]
- Oliva, P.; Schroeder, W. Remote Sensing of Environment Assessment of VIIRS 375 m active fi re detection product for direct burned area mapping. Remote Sens. Environ. 2015, 160, 144–155. [Google Scholar] [CrossRef]
- Roteta, E.; Bastarrika, A.; Padilla, M.; Storm, T.; Chuvieco, E. Development of a Sentinel-2 burned area algorithm: Generation of a small fire database for sub-Saharan Africa. Remote Sens. Environ. 2019, 222, 1–17. [Google Scholar] [CrossRef]
- Boschetti, L.; Roy, D.P.; Justice, C.O.; Humber, M.L. MODIS–Landsat fusion for large area 30 m burned area mapping. Remote Sens. Environ. 2015, 161, 27–42. [Google Scholar] [CrossRef]
- Cardil, A.; Mola-Yudego, B.; Blázquez-Casado, Á.; González-Olabarria, J.R. Fire and burn severity assessment: Calibration of Relative Differenced Normalized Burn Ratio (RdNBR) with field data. J. Environ. Manag. 2019, 235, 342–349. [Google Scholar] [CrossRef]
- Morresi, D.; Vitali, A.; Urbinati, C.; Garbarino, M. Forest Spectral Recovery and Regeneration Dynamics in Stand-Replacing Wildfires of Central Apennines Derived from Landsat Time Series. Remote Sens. 2019, 11, 308. [Google Scholar] [CrossRef]
- Tucker, C.J. Red and Photographic Infrared Linear Combinations for Monitoring Vegetation. Remote Sens. Environ. 1979, 8, 127–150. [Google Scholar] [CrossRef]
- Chen, X.; Vogelmann, J.E.; Rollins, M.; Ohlen, D.; Key, C.H.; Yang, L.; Huang, C.; Shi, H. Detecting post-fire burn severity and vegetation recovery using multitemporal remote sensing spectral indices and field-collected composite burn index data in a ponderosa pine forest. Int. J. Remote Sens. 2011, 32, 7905–7927. [Google Scholar] [CrossRef]
- Benson, N.; Key, C.H. Measuring and remote sensing of burn severity; the CBI and NBR. In Proceedings of the Joint Fire Science Conference and Workshop, Boise, ID, USA, 15–17 June 1999; Volume II. [Google Scholar]
- Miller, J.D.; Thode, A.E. Quantifying burn severity in a heterogeneous landscape with a relative version of the delta Normalized Burn Ratio (dNBR). Remote Sens. Environ. 2007, 109, 66–80. [Google Scholar] [CrossRef]
- Parks, S.A.; Dillon, G.K.; Miller, C. A new metric for quantifying burn severity: The relativized burn ratio. Remote Sens. 2014, 6, 1827–1844. [Google Scholar] [CrossRef]
- Morresi, D.; Marzano, R.; Lingua, E.; Motta, R.; Garbarino, M. Mapping burn severity in the western Italian Alps through phenologically coherent reflectance composites derived from Sentinel-2 imagery. Remote Sens. Environ. 2022, 269, 112800. [Google Scholar] [CrossRef]
- Filipponi, F. BAIS2: Burned Area Index for Sentinel-2. Proceedings 2018, 2, 364. [Google Scholar] [CrossRef]
- San-Miguel-Ayanz, J.; Houston Durrant, T.; Boca, R.; Libertà, G.; Branco, A.; de Rigo, D.; Ferrari, D.; Maianti, P.; Vivancos, T.A.; Costa, H.; et al. Forest Fires in Europe, Middle East and North Africa 2017. EUR 29318 EN; ISBN 978-92-79-92831-4. 2018; Available online: https://ec.europa.eu/jrc/en/publication/forest-fires-europe-milddle-east-and-north-africa-2017 (accessed on 2 September 2020). [CrossRef]
- Moriondo, M.; Good, P.; Durao, R.; Bindi, M.; Giannakopoulos, C.; Corte-Real, J. Potential impact of climate change on fire risk in the Mediterranean area. Clim. Res. 2006, 31, 85–95. [Google Scholar] [CrossRef]
- Bartolucci, A.; Marconi, M.; Magni, M.; Pierdicca, R.; Malandra, F.; Ho, T.C.; Vitali, A.; Urbinati, C. Combining Participatory Mapping and Geospatial Analysis Techniques to Assess Wildfire Risk in Rural North Vietnam. Environ. Manage. 2022, 69, 466–479. [Google Scholar] [CrossRef]
- Elia, M.; D’Este, M.; Ascoli, D.; Giannico, V.; Spano, G.; Ganga, A.; Colangelo, G.; Lafortezza, R.; Sanesi, G. Estimating the probability of wildfire occurrence in Mediterranean landscapes using Artificial Neural Networks. Environ. Impact Assess. Rev. 2020, 85, 106474. [Google Scholar] [CrossRef]
- Mancini, L.D.; Barbati, A.; Corona, P. Geospatial analysis of woodland fire occurrence and recurrence in Italy. Ann. Silvic. Res. 2017, 41, 41–47. [Google Scholar] [CrossRef]
- ISTAT. Annuario Statistico Italiano (Vol. 1). In Annuario Statistico Italiano, 2005. Available online: https://ebiblio.istat.it/SebinaOpac/resource/annuario-statistico-italiano/IST0010812?tabDoc=taboggd49 (accessed on 1 September 2020)ISSN 00664545.
- Blasi, C.; Capotorti, G.; Copiz, R.; Guida, D.; Mollo, B.; Smiraglia, D.; Zavattero, L. Classification and mapping of the ecoregions of Italy. Plant Biosyst. 2014, 148, 1255–1345. [Google Scholar] [CrossRef]
- Rapporto Sullo Stato Delle Foreste e Del Settore Forestale in Italia, RaFITALIA 2017–2018; 2019; ISBN 9788898850341. Available online: https://www.reterurale.it/flex/cm/pages/ServeBLOB.php/L/IT/IDPagina/19231 (accessed on 1 September 2020).
- Lovreglio, R.; Leone, V.; Giaquinto, P.; Notarnicola, A. Wildfire cause analysis: Four case-studies in southern Italy. IForest 2010, 3, 8–15. [Google Scholar] [CrossRef]
- Baffo, F.; Desiato, F.; Fioravanti, G.; Frascehtti, P.; Perconti, W.; Toreti, A.; Morucci, S.; Pavan, V.; Cacciamani, C.; Stel, F.; et al. Gli Indicatori del Clima in Italia nel 2007; Agenzia per la Protezione Dell’ambiente e per i Servizi Tecnici: Roma, Italy, 2007. [Google Scholar]
- Desiato, F.; Fioravanti, G.; Fraschetti, P.; Perconti, W.; Piervitali, E.; Pavan, V. Gli indicatori del Clima in Italia 2017; ISPRA—Istituto Superiore per la Protezione e la Ricerca Ambientale: Roma, Italy, 2018; ISBN 978-88-448-0904-1. [Google Scholar]
- Masek, J.G.; Vermote, E.F.; Saleous, N.E.; Wolfe, R.; Hall, F.G.; Huemmrich, K.F.; Gao, F.; Kutler, J.; Lim, T.K. A landsat surface reflectance dataset for North America, 1990-2000. IEEE Geosci. Remote Sens. Lett. 2006, 3, 68–72. [Google Scholar] [CrossRef]
- Vermote, E.; Justice, C.; Claverie, M.; Franch, B. Preliminary analysis of the performance of the Landsat 8/OLI land surface reflectance product. Remote Sens. Environ. 2016, 185, 46–56. [Google Scholar] [CrossRef]
- Zhu, Z.; Wang, S.; Woodcock, C.E. Improvement and expansion of the Fmask algorithm: Cloud, cloud shadow, and snow detection for Landsats 4-7, 8, and Sentinel 2 images. Remote Sens. Environ. 2015, 159, 269–277. [Google Scholar] [CrossRef]
- European Environment Agency (EEA). CLC2006 Technical Guidelines. EEA TECHNICAL Report No 17. 2007. Available online: https://www.eea.europa.eu/publications/technical_report_2007_17 (accessed on 1 September 2020).
- European Environment Agency (EEA). CLC2012 Addendum to CLC2006. Technical Guidelines. 2014. Available online: https://land.copernicus.eu/user-corner/technical-library/Addendum_finaldraft_v2_August_2014.pdf59 (accessed on 1 September 2020).
- McCune, B.; Keon, D. Equations for potential annual direct incident radiation and heat load. J. Veg. Sci. 2002, 13, 603–606. [Google Scholar] [CrossRef]
- Sørensen, R.; Zinko, U.; Seibert, J. On the calculation of the topographic wetness index: Evaluation of different methods based on field observations. Hydrol. Earth Syst. Sci. 2006, 10, 101–112. [Google Scholar] [CrossRef]
- Land.copernicus.eu. Available online: https://land.copernicus.eu/pan-european/corine-land-cover (accessed on 1 October 2020).
- PCN.miniambiente.it. Available online: http://www.pcn.minambiente.it/mattm/ (accessed on 1 October 2020).
- ISTAT. 14° Censimento Generale della Popolazione e delle Abitazioni; 2001; ISBN IST0047379. Available online: https://www.istat.it/it/censimenti-permanenti/censimenti-precedenti/popolazione-e-abitazioni/popolazione-2001#:~:text=Popolazione%202001-,14%C2%B0%20Censimento%20della%20popolazione%20e%20delle%20abitazioni%202001,e%2027%20milioni%20di%20abitazioni (accessed on 1 September 2020).
- ISTAT. 15° Censimento Generale Della Popolazione e Delle Abitazioni. 2011. Available online: https://www.istat.it/it/censimenti-permanenti/censimenti-precedenti/popolazione-e-abitazioni/popolazione-2011 (accessed on 1 September 2020).
- Breiman, L. Random Forests. Mach. Learn. 2001, 45, 5–32. [Google Scholar] [CrossRef]
- Diggle, P.J.; Tawn, J.A. Model-based geostatistics. J. R. Stat. Soc. Ser. C Appl. Stat. 1998, 47, 299–350. [Google Scholar] [CrossRef]
- Wright, M.N.; Ziegler, A. Ranger: A fast implementation of random forests for high dimensional data in C++ and R. J. Stat. Softw. 2017, 77, 1–17. [Google Scholar] [CrossRef]
- R Core Team. R: A Language and Environment for Statistical Computing; R Foundation for Statistical Computing: Vienna, Austria, 2021; Available online: https://www.r-project.org/ (accessed on 1 September 2022).
- Bischl, B.; Richter, J.; Bossek, J.; Horn, D.; Thomas, J.; Lang, M. mlrMBO: A Modular Framework for Model-Based Optimization of Expensive Black-Box Functions. arXiv 2017, arXiv:1703.03373. [Google Scholar]
- Schratz, P.; Muenchow, J.; Iturritxa, E.; Richter, J.; Brenning, A. Hyperparameter tuning and performance assessment of statistical and machine-learning algorithms using spatial data. Ecol. Modell. 2019, 406, 109–120. [Google Scholar] [CrossRef]
- Friedman, J.H. Greedy function approximation: A gradient boosting machine. Ann. Stat. 2001, 29, 1189–1232. [Google Scholar] [CrossRef]
- Goldstein, A.; Kapelner, A.; Bleich, J.; Pitkin, E. Peeking Inside the Black Box: Visualizing Statistical Learning With Plots of Individual Conditional Expectation. J. Comput. Graph. Stat. 2015, 24, 44–65. [Google Scholar] [CrossRef]
- Gorbatenko, V.P.; Volkova, M.A.; Nosyreva, O.V.; Zhuravlev, G.G.; Kuzhevskaia, I.V. Influence of Climatic Conditions on Western Siberian Forest Fires. In Predicting, Monitoring, and Assessing Forest Fire Dangers and Risks; IGI Global: Hershey, PA, USA, 2019; pp. 269–293. ISBN 9781799818670. [Google Scholar]
- Lizundia-Loiola, J.; Pettinari, M.L.; Chuvieco, E. Temporal Anomalies in Burned Area Trends: Satellite Estimations of the Amazonian 2019 Fire Crisis. Remote Sens. 2020, 12, 151. [Google Scholar] [CrossRef]
- Agriregionieuropa.univpm.it. Available online: https://agriregionieuropa.univpm.it/ (accessed on 1 September 2020).
- Schmuck, G.; San-Miguel-Ayanz, J.; Camia, A.; Kucera, J.; Libertá, G.; Boca, R.; Durrant, T.; Amatulli, G.; Schulte, E.; Bucki, M. Forest Fires in Europe 2007—JRC Scientific and Technical Reports; Office for Official Publications of the European Communities: Luxembourg, 2008. [Google Scholar]
- Gartzia, M.; Alados, C.L.; Perez-Cabello, F. Assessment of the effects of biophysical and anthropogenic factors on woody plant encroachment in dense and sparse mountain grasslands based on remote sensing data. Prog. Phys. Geogr. 2014, 38, 201–217. [Google Scholar] [CrossRef]
- Barros, A.M.G.; Pereira, J.M.C. Wildfire selectivity for land cover type: Does size matter? PLoS ONE 2014, 9, e84760. [Google Scholar] [CrossRef]
- Moreira, F.; Vaz, P.; Catry, F.; Silva, J.S. Regional variations in wildfire susceptibility of land-cover types in Portugal: Implications for landscape management to minimize fire hazard. Int. J. Wildl. Fire 2009, 18, 563. [Google Scholar] [CrossRef]
- Amos, C.; Petropoulos, G.P.; Ferentinos, K.P. Determining the use of Sentinel-2A MSI for wildfire burning & severity detection. Int. J. Remote Sens. 2019, 40, 905–930. [Google Scholar] [CrossRef]
- Hawbaker, T.J.; Vanderhoof, M.K.; Schmidt, G.L.; Beal, Y.J.; Picotte, J.J.; Takacs, J.D.; Falgout, J.T.; Dwyer, J.L. The Landsat Burned Area algorithm and products for the conterminous United States. Remote Sens. Environ. 2020, 244, 111801. [Google Scholar] [CrossRef]
- Parks, S.A.; Holsinger, L.M.; Voss, M.A.; Loehman, R.A.; Robinson, N.P. Mean composite fire severity metrics computed with google earth engine offer improved accuracy and expanded mapping potential. Remote Sens. 2018, 10, 879. [Google Scholar] [CrossRef]
- Key, C.H. Ecological and Sampling Constraints on Defining Landscape Fire Severity. Fire Ecol. 2006, 2, 34–59. [Google Scholar] [CrossRef]
- Vogelmann, J.E.; Kost, J.R.; Tolk, B.; Howard, S.; Short, K.; Chen, X.; Huang, C.; Pabst, K.; Rollins, M.G. Monitoring landscape change for LANDFIRE using multi-temporal satellite imagery and ancillary data. IEEE J. Sel. Top. Appl. Earth Obs. Remote Sens. 2011, 4, 252–264. [Google Scholar] [CrossRef]
- García-Llamas, P.; Suárez-Seoane, S.; Taboada, A.; Fernández-Manso, A.; Quintano, C.; Fernández-García, V.; Fernández-Guisuraga, J.M.; Marcos, E.; Calvo, L. Environmental drivers of fire severity in extreme fire events that affect Mediterranean pine forest ecosystems. For. Ecol. Manage. 2019, 433, 24–32. [Google Scholar] [CrossRef]
- Whitman, E.; Parisien, M.A.; Thompson, D.K.; Hall, R.J.; Skakun, R.S.; Flannigan, M.D. Variability and drivers of burn severity in the northwestern Canadian boreal forest. Ecosphere 2018, 9, e02128. [Google Scholar] [CrossRef]
- Viana-Soto, A.; Aguado, I.; Martínez, S. Assessment of Post-Fire Vegetation Recovery Using Fire Severity and Geographical Data in the Mediterranean Region (Spain). Environments 2017, 4, 90. [Google Scholar] [CrossRef]
- Fernandes, P.M.; Luz, A.; Loureiro, C. Changes in wildfire severity from maritime pine woodland to contiguous forest types in the mountains of northwestern Portugal. For. Ecol. Manage. 2010, 260, 883–892. [Google Scholar] [CrossRef]
- Viedma, O.; Quesada, J.; Torres, I.; De Santis, A.; Moreno, J.M. Fire Severity in a Large Fire in a Pinus pinaster Forest is Highly Predictable from Burning Conditions, Stand Structure, and Topography. Ecosystems 2015, 18, 237–250. [Google Scholar] [CrossRef]
- Estes, B.L.; Knapp, E.E.; Skinner, C.N.; Miller, J.D.; Preisler, H.K. Factors influencing fire severity under moderate burning conditions in the Klamath Mountains, northern California, USA. Ecosphere 2017, 8, e01794. [Google Scholar] [CrossRef]
- Catry, F.X.; Rego, F.C.; Bação, F.L.; Moreira, F. Modeling and mapping wildfire ignition risk in Portugal. Int. J. Wildl. Fire 2009, 18, 921–931. [Google Scholar] [CrossRef]
- Peris-Llopis, M.; González-Olabarria, J.R.; Mola-Yudego, B. Size dependency of variables influencing fire occurrence in Mediterranean forests of Eastern Spain. Eur. J. For. Res. 2020, 139, 525–537. [Google Scholar] [CrossRef]
- Ricotta, C.; Bajocco, S.; Guglietta, D.; Conedera, M. Assessing the Influence of Roads on Fire Ignition: Does Land Cover Matter? Fire 2018, 1, 24. [Google Scholar] [CrossRef]
- Romero-Calcerrada, R.; Novillo, C.J.; Millington, J.D.A.; Gomez-Jimenez, I. GIS analysis of spatial patterns of human-caused wildfire ignition risk in the SW of Madrid (Central Spain). Landsc. Ecol. 2008, 23, 341–354. [Google Scholar] [CrossRef]
- Syphard, A.D.; Radeloff, V.C.; Keuler, N.S.; Taylor, R.S.; Hawbaker, T.J.; Stewart, S.I.; Clayton, M.K. Predicting spatial patterns of fire on a southern California landscape. Int. J. Wildl. Fire 2008, 17, 602–613. [Google Scholar] [CrossRef]
- Ascoli, D.; Vacchiano, G.; Scarpa, C.; Arca, B.; Barbati, A.; Battipaglia, G.; Elia, M.; Esposito, A.; Garfì, V.; Lovreglio, R.; et al. Harmonized dataset of surface fuels under Alpine, temperate and Mediterranean conditions in Italy. A synthesis supporting fire management. iForest 2020, 13, 513–522. [Google Scholar] [CrossRef]
- Lydersen, J.M.; Collins, B.M.; Brooks, M.L.; Matchett, J.R.; Shive, K.L.; Povak, N.A.; Kane, V.R.; Smith, D.F. Evidence of fuels management and fire weather influencing fire severity in an extreme fire event. Ecol. Appl. 2017, 27, 2013–2030. [Google Scholar] [CrossRef]
- Stephens, S.L.; McIver, J.D.; Boerner, R.E.J.; Fettig, C.J.; Fontaine, J.B.; Hartsough, B.R.; Kennedy, P.L.; Schwilk, D.W. The effects of forest fuel-reduction treatments in the United States. Bioscience 2012, 62, 549–560. [Google Scholar] [CrossRef]
- Abatzoglou, J.T.; Williams, A.P.; Barbero, R. Global Emergence of Anthropogenic Climate Change in Fire Weather Indices. Geophys. Res. Lett. 2019, 46, 326–336. [Google Scholar] [CrossRef]
- Chappaz, F.; Ganteaume, A. Role of land-cover and WUI types on spatio-temporal dynamics of fires in the French Mediterranean area. Risk Anal. 2022, 1–26. [Google Scholar] [CrossRef]








| Category | Variable Name | Abbreviation | Unit | Source |
|---|---|---|---|---|
| Topography | Elevation | ELE | m a.s.l. | Derived from DEM SINAnet ISPRA |
| Slope | SLO | Degree | ||
| Heat Load Index | HLI | Adimensional | ||
| Topographic Wetness Index | TWI | Adimensional | ||
| Land cover | Urban areas | URB | Adimensional | Corine Land Cover 2006/2012 |
| Water Bodies | WTB | |||
| Orchards | ORC | |||
| Croplands | CRP | |||
| Heterogeneous areas with agriculture and forest | AGF | |||
| Shrublands | SHB | |||
| Sparse vegetation areas | SVG | |||
| Herbaceous vegetation and grasslands | GRS | |||
| Broadleaf forests | BRF | |||
| Conifer forests | COF | |||
| Mixed forests | MXF | |||
| Anthropic | Euclidean distance from state and province roads | ROA | m | National Geoportal database |
| Euclidean distance from railroads | RAI | m | OpenStreetMap | |
| Population density | POP | Inhabitants/km2 | Population census ISTAT 2001/2011 |
| Region | Fires (Count) | Burned Area (ha) |
|---|---|---|
| Sicily | 22 | 30,769 |
| Calabria | 34 | 17,619 |
| Sardinia | 13 | 16,452 |
| Abruzzo | 9 | 14,580 |
| Campania | 16 | 9816 |
| Puglia | 6 | 4993 |
| Marche | 3 | 3817 |
| Lazio | 4 | 2071 |
| Liguria | 2 | 1109 |
| Molise | 1 | 507 |
| Basilicata | 2 | 501 |
| Tuscany | 1 | 331 |
| TOTAL | 113 | 102,565 |
| Land Cover Categories | Total Burned Area | |
|---|---|---|
| ha | % | |
| CRP | 6220 | 6.1 |
| ORC | 1148 | 1.1 |
| AGF | 13,422 | 13.1 |
| SHB | 31,211 | 30.4 |
| SVG | 1443 | 1.4 |
| GRS | 13,389 | 13.1 |
| BRF | 19,985 | 19.5 |
| COF | 9671 | 9.4 |
| MXF | 5395 | 5.3 |
Publisher’s Note: MDPI stays neutral with regard to jurisdictional claims in published maps and institutional affiliations. |
© 2022 by the authors. Licensee MDPI, Basel, Switzerland. This article is an open access article distributed under the terms and conditions of the Creative Commons Attribution (CC BY) license (https://creativecommons.org/licenses/by/4.0/).
Share and Cite
Malandra, F.; Vitali, A.; Morresi, D.; Garbarino, M.; Foster, D.E.; Stephens, S.L.; Urbinati, C. Burn Severity Drivers in Italian Large Wildfires. Fire 2022, 5, 180. https://doi.org/10.3390/fire5060180
Malandra F, Vitali A, Morresi D, Garbarino M, Foster DE, Stephens SL, Urbinati C. Burn Severity Drivers in Italian Large Wildfires. Fire. 2022; 5(6):180. https://doi.org/10.3390/fire5060180
Chicago/Turabian StyleMalandra, Francesco, Alessandro Vitali, Donato Morresi, Matteo Garbarino, Daniel E. Foster, Scott L. Stephens, and Carlo Urbinati. 2022. "Burn Severity Drivers in Italian Large Wildfires" Fire 5, no. 6: 180. https://doi.org/10.3390/fire5060180
APA StyleMalandra, F., Vitali, A., Morresi, D., Garbarino, M., Foster, D. E., Stephens, S. L., & Urbinati, C. (2022). Burn Severity Drivers in Italian Large Wildfires. Fire, 5(6), 180. https://doi.org/10.3390/fire5060180

