Energy Recovery of Shrub Species as a Path to Reduce the Risk of Occurrence of Rural Fires: A Case Study in Serra da Estrela Natural Park (Portugal)
Abstract
:1. Introduction
2. Materials and Methods
2.1. Location of the Area Selected for Sampling
2.2. Framework of the Regional Flora
2.3. Selection and Collection of Samples
2.4. Laboratory Characterization Tests
- ISO 17225-1: 2014—Solid biofuels—Fuel specifications and classes—Part 1: General requirements;
- ISO 16948: 2015—Solid biofuels—Determination of total content of carbon, hydrogen and nitrogen;
- ISO 16967: 2015—Solid biofuels—Determination of major elements—Al, Ca, Fe, Mg, P, K, Si, Na and Ti;
- ISO 16968: 2015—Solid biofuels—Determination of minor elements—Ar, Cd, Cobalt, Cr, Copper, Hg, Mn, Mo, Ni, Pb, Sb, V and Zn;
- ISO 16994: 2016—Solid biofuels—Determination of total content of sulfur and chlorine;
- ISO 18125: 2017—Solid biofuels—Determination of calorific value;
- ISO 21404: 2020(en)—Solid biofuels—Determination of ash melting behavior.
3. Results and Discussion
3.1. Thermogravimetric Analysis (TGA)
3.2. Elemental Analysis (CHNO)
3.3. Heating Value (HHV and LHV)
3.4. Chlorine and Sulfur Contents
3.5. Chemical Analysis by ICP-OES
3.5.1. Major Elements and Ash Fusibility
3.5.2. Minor Elements
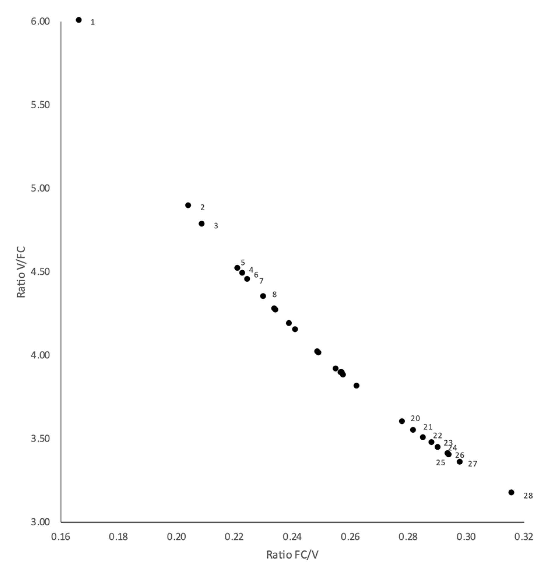
3.6. Energy Recovery and Fires in Bush and Pasture Areas
4. Conclusions
Author Contributions
Funding
Institutional Review Board Statement
Informed Consent Statement
Data Availability Statement
Acknowledgments
Conflicts of Interest
References
- Sivakumar, B. Global climate change and its impacts on water resources planning and management: Assessment and challenges. Stoch. Environ. Res. Risk Assess. 2011, 25, 583–600. [Google Scholar] [CrossRef]
- Weingart, P.; Engels, A.; Pansegrau, P. Risks of communication: Discourses on climate change in science, politics, and the mass media. Public Underst. Sci. 2000, 9, 261–284. [Google Scholar] [CrossRef]
- Johnson, J.M.-F.; Franzluebbers, A.J.; Weyers, S.L.; Reicosky, D.C. Agricultural opportunities to mitigate greenhouse gas emissions. Environ. Pollut. 2007, 150, 107–124. [Google Scholar] [CrossRef]
- Sharifzadeh, M.; Triulzi, G.; Magee, C.L. Quantification of technological progress in greenhouse gas (GHG) capture and mitigation using patent data. Energy Environ. Sci. 2019, 12, 2789–2805. [Google Scholar] [CrossRef]
- Retallack, G. Soils and global change in the carbon cycle over geological time. Treatise Geochem. 2003, 5, 605. [Google Scholar]
- Arthur, M.A.; Dean, W.E.; Schlanger, S. Variations in the global carbon cycle during the Cretaceous related to climate, volcanism, and changes in atmospheric CO2. Carbon Cycle Atmos. CO2 Nat. Var. Archean Present 1985, 32, 504–529. [Google Scholar]
- Berner, R.A. The carbon cycle and carbon dioxide over Phanerozoic time: The role of land plants. Philos. Trans. R. Soc. Lond. Ser. B Biol. Sci. 1998, 353, 75–82. [Google Scholar] [CrossRef] [Green Version]
- Kim, D.; Lee, K.; Park, K.Y. Upgrading the characteristics of biochar from cellulose, lignin, and xylan for solid biofuel production from biomass by hydrothermal carbonization. J. Ind. Eng. Chem. 2016, 42, 95–100. [Google Scholar] [CrossRef]
- Ribeiro, J.M.C.; Godina, R.; Matias, J.C.d.O.; Nunes, L.J.R. Future perspectives of biomass torrefaction: Review of the current state-of-the-art and research development. Sustainability 2018, 10, 2323. [Google Scholar] [CrossRef] [Green Version]
- Miranda, T.; Arranz, J.; Montero, I.; Román, S.; Rojas, C.; Nogales, S. Characterization and combustion of olive pomace and forest residue pellets. Fuel Process. Technol. 2012, 103, 91–96. [Google Scholar] [CrossRef]
- Proto, A.R.; Palma, A.; Paris, E.; Papandrea, S.F.; Vincenti, B.; Carnevale, M.; Guerriero, E.; Bonofiglio, R.; Gallucci, F. Assessment of wood chip combustion and emission behavior of different agricultural biomasses. Fuel 2021, 289, 119758. [Google Scholar] [CrossRef]
- Granados, D.; Velásquez, H.; Chejne, F. Energetic and exergetic evaluation of residual biomass in a torrefaction process. Energy 2014, 74, 181–189. [Google Scholar] [CrossRef]
- Álvarez-Álvarez, P.; Pizarro, C.; Barrio-Anta, M.; Cámara-Obregón, A.; Bueno, J.L.M.; Álvarez, A.; Gutiérrez, I.; Burslem, D.F. Evaluation of tree species for biomass energy production in Northwest Spain. Forests 2018, 9, 160. [Google Scholar] [CrossRef] [Green Version]
- McKendry, P. Energy production from biomass (part 1): Overview of biomass. Bioresour. Technol. 2002, 83, 37–46. [Google Scholar] [CrossRef]
- d’Angelo, M.; Enne, G.; Madrau, S.; Percich, L.; Previtali, F.; Pulina, G.; Zucca, C. Mitigating land degradation in Mediterranean agro-silvo-pastoral systems: A GIS-based approach. Catena 2000, 40, 37–49. [Google Scholar] [CrossRef]
- Pardini, A.; Nori, M. Agro-silvo-pastoral systems in Italy: Integration and diversification. Pastor. Res. Policy Pract. 2011, 1, 1–10. [Google Scholar] [CrossRef] [Green Version]
- van Doorn, A.M.; Correia, T.P. Differences in land cover interpretation in landscapes rich in cover gradients: Reflections based on the montado of South Portugal. Agrofor. Syst. 2007, 70, 169–183. [Google Scholar] [CrossRef]
- Telmo, C.; Lousada, J. Heating values of wood pellets from different species. Biomass Bioenergy 2011, 35, 2634–2639. [Google Scholar] [CrossRef]
- Nunes, L.; Matias, J.C.; Catalao, J.P. Wood pellets as a sustainable energy alternative in Portugal. Renew. Energy 2016, 85, 1011–1016. [Google Scholar] [CrossRef]
- Fernandes, G.; Almeida, H. Cooperation and Competitiveness in Tourism Sustainability. Positioning of Tourist Actors in the Serra da Estrela Natural Park in Portugal. In Proceedings of the International Conference on Tourism, Technology and Systems, Cartagena, Colombia, 29–31 October 2020; pp. 52–65. [Google Scholar]
- Vieira, G. Combined numerical and geomorphological reconstruction of the Serra da Estrela plateau icefield, Portugal. Geomorphology 2008, 97, 190–207. [Google Scholar] [CrossRef]
- Mora, C. A synthetic map of the climatopes of the Serra da Estrela (Portugal). J. Maps 2010, 6, 591–608. [Google Scholar] [CrossRef] [Green Version]
- Vieira, G.; de Castro, E.; Gomes, H.; Loureiro, F.; Fernandes, M.; Patrocínio, F.; Firmino, G.; Forte, J. The Estrela Geopark—From Planation Surfaces to Glacial Erosion. In Landscapes and Landforms of Portugal; Springer: Berlin/Heidelberg, Germany, 2020; pp. 341–357. [Google Scholar]
- Silva, V.; Catry, F.X.; Fernandes, P.M.; Rego, F.C.; Paes, P.; Nunes, L.; Caperta, A.D.; Sérgio, C.; Bugalho, M.N. Effects of grazing on plant composition, conservation status and ecosystem services of Natura 2000 shrub-grassland habitat types. Biodivers. Conserv. 2019, 28, 1205–1224. [Google Scholar] [CrossRef]
- Turner, C.; Hannon, G. Vegetational evidence for late Quaternary climatic changes in southwest Europe in relation to the influence of the North Atlantic Ocean. Philos. Trans. R. Soc. Lond. Ser. B Biol. Sci. 1988, 318, 451–485. [Google Scholar]
- Ruiz-Labourdette, D.; Schmitz, M.F.; Pineda, F.D. Changes in tree species composition in Mediterranean mountains under climate change: Indicators for conservation planning. Ecol. Indic. 2013, 24, 310–323. [Google Scholar] [CrossRef]
- Van der Knaap, W.; Van Leeuwen, J. Holocene vegetation succession and degradation as responses to climatic change and human activity in the Serra de Estrela, Portugal. Rev. Palaeobot. Palynol. 1995, 89, 153–211. [Google Scholar] [CrossRef]
- Van der Knaap, W.; Van Leeuwen, J. Late Glacial and early Holocene vegetation succession, altitudinal vegetation zonation, and climatic change in the Serra da Estrela, Portugal. Rev. Palaeobot. Palynol. 1997, 97, 239–285. [Google Scholar] [CrossRef]
- Vessella, F.; López-Tirado, J.; Simeone, M.C.; Schirone, B.; Hidalgo, P.J. A tree species range in the face of climate change: Cork oak as a study case for the Mediterranean biome. Eur. J. For. Res. 2017, 136, 555–569. [Google Scholar] [CrossRef]
- Marques, E.; Paiva, J.M.; Pinho, C. The new Portuguese energy challenge? Pellets from shrubs. In Proceedings of the 21 st Brazilian Congress of Mechanical Engineering, Cuiabá, Brazil, 24–28 October 2011; p. 12. [Google Scholar]
- Marques, E.; Ferreira, T.; Pereira, C.; Paiva, J.M.; Pinho, C. Analysis of kinetic and diffusive data from the combustion of char pellets made with hybrid mixtures. Energy 2019, 181, 1179–1188. [Google Scholar] [CrossRef]
- Shan, L.; Kong, M.; Bennet, T.D.; Sarroza, A.C.; Eastwick, C.; Sun, D.; Lu, G.; Yan, Y.; Liu, H. Studies on combustion behaviours of single biomass particles using a visualization method. Biomass Bioenergy 2018, 109, 54–60. [Google Scholar] [CrossRef]
- Nunes, L.J.; Rodrigues, A.M.; Loureiro, L.M.; Sá, L.C.; Matias, J.C. Energy Recovery from Invasive Species: Creation of Value Chains to Promote Control and Eradication. Recycling 2021, 6, 21. [Google Scholar] [CrossRef]
- Hawkesford, M.J. Plant responses to sulphur deficiency and the genetic manipulation of sulphate transporters to improve S-utilization efficiency. J. Exp. Bot. 2000, 51, 131–138. [Google Scholar] [CrossRef]
- Rodrigues, A.; Nunes, L. Evaluation of ash composition and deposition tendencies of biomasses and torrefied products from woody and shrubby feedstocks: SRC poplar clones and common broom. Fuel 2020, 269, 117454. [Google Scholar] [CrossRef]
- Guerra, C.A.; Metzger, M.J.; Maes, J.; Pinto-Correia, T. Policy impacts on regulating ecosystem services: Looking at the implications of 60 years of landscape change on soil erosion prevention in a Mediterranean silvo-pastoral system. Landsc. Ecol. 2016, 31, 271–290. [Google Scholar] [CrossRef]
- Jeong, J.S. Biomass Feedstock and Climate Change in Agroforestry Systems: Participatory Location and Integration Scenario Analysis of Biomass Power Facilities. Energies 2018, 11, 1404. [Google Scholar] [CrossRef] [Green Version]
- Alves, D.N.; Míguez Tabarés, J.L.; Rivo-Lopez, E.; Saavedra, A.; Fariña, M.E.; Alonso, J.M.; Nunes, L.J. Residual forest biomass and energy assessment: A case study analysis in the region of Alto Minho (North Portugal) for the creation of BLCs and 2GBLCs. Int. J. Sustain. Energy 2021, 1–18. [Google Scholar] [CrossRef]
- Iakovou, E.; Karagiannidis, A.; Vlachos, D.; Toka, A.; Malamakis, A. Waste biomass-to-energy supply chain management: A critical synthesis. Waste Manag. 2010, 30, 1860–1870. [Google Scholar] [CrossRef]
- Filipe dos Santos Viana, H.; Martins Rodrigues, A.; Godina, R.; Carlos de Oliveira Matias, J.; Jorge Ribeiro Nunes, L. Evaluation of the Physical, Chemical and Thermal Properties of Portuguese Maritime Pine Biomass. Sustainability 2018, 10, 2877. [Google Scholar] [CrossRef] [Green Version]
- Nunes, M.C.; Vasconcelos, M.J.; Pereira, J.M.; Dasgupta, N.; Alldredge, R.J.; Rego, F.C. Land cover type and fire in Portugal: Do fires burn land cover selectively? Landsc. Ecol. 2005, 20, 661–673. [Google Scholar] [CrossRef]
- Nunes, L.J.; Matias, J.C. Biomass torrefaction as a key driver for the sustainable development and decarbonization of energy production. Sustainability 2020, 12, 922. [Google Scholar] [CrossRef] [Green Version]















| Species Latin Name | Heliophilous Species | Dominant Species |
|---|---|---|
| Adenocarpus cumplicatus | x | |
| Arbutus unedo | ||
| Calluna vulgaris | x | x |
| Cistus populifolius | x | |
| Cistus psilosepalus | x | x |
| Cistus salviifolius | x | x |
| Crataegus monogyna | ||
| Cytisus multiflorus | x | x |
| Cytisus striatus | x | x |
| Daphne gnidium | ||
| Erica arborea | x | |
| Erica australis | x | x |
| Erica lusitanica | x | |
| Erica scoparia | x | |
| Erica umbellata | x | |
| Genista falcata | x | x |
| Halimium lasianthum | ||
| Ilex aquifolium | ||
| Lavandula luisieri | ||
| Lithodora prustrata | ||
| Phillyrea angustifolia | ||
| Prunus lusitanica | ||
| Pterospartum tridentatum | x | |
| Rhamnus alaternus | ||
| Rubus ulmifolius | x | |
| Ruscus aculeatus | ||
| Ulex minor | x | |
| Viburnum tinus |
| Species | As | Cd | Co | Cr | Cu | Mn | Ni | Pb | Zn |
|---|---|---|---|---|---|---|---|---|---|
| Adenocarpus cumplicatus | 3.88 | 0 | 0 | 1.14 | 6.26 | 259.22 | 0.15 | 0 | 24.95 |
| Arbutus unedo | 3.65 | 0 | 0 | 0 | 3.65 | 25.17 | 0 | 0 | 41.02 |
| Calluna vulgaris | 4.71 | 0 | 0 | 3.71 | 5.58 | 364.92 | 1.83 | 0 | 13.72 |
| Cistus populifolius | 4.65 | 1.00 | 6.66 | 4.78 | 16.61 | 2124.02 | 5.69 | 2.85 | 104.84 |
| Cistus psilosepalus | 5.66 | 0 | 0.93 | 2.08 | 12.01 | 210.49 | 0.05 | 0 | 79.30 |
| Cistus salviifolius | 3.53 | 0 | 0 | 0.77 | 5.52 | 214.89 | 0.15 | 2.12 | 41.06 |
| Crataegus monogyna | 1.53 | 0.03 | 0 | 0.14 | 7.33 | 16.66 | 0.60 | 0.76 | 25.85 |
| Cytisus multiflorus | 2.07 | 0 | 0.47 | 0.57 | 17.30 | 479.08 | 3.89 | 1.28 | 72.55 |
| Cytisus striatus | 3.79 | 0.06 | 0.05 | 0.77 | 6.24 | 446.43 | 0.43 | 0 | 34.09 |
| Daphne gnidium | 2.91 | 0 | 1.84 | 1.83 | 12.01 | 219.31 | 2.36 | 0 | 71.83 |
| Erica arborea | 3.05 | 0 | 0 | 0.45 | 5.52 | 588.13 | 0 | 0 | 23.94 |
| Erica australis | 4.72 | 0.01 | 0.67 | 1.54 | 11.63 | 826.35 | 3.29 | 1.96 | 19.13 |
| Erica lusitanica | 3.07 | 0 | 0.12 | 1.25 | 4.62 | 562.67 | 1.09 | 0 | 11.31 |
| Erica scoparia | 4.70 | 0.05 | 0.26 | 0.53 | 5.89 | 86.28 | 1.08 | 0 | 15.95 |
| Erica umbellata | 4.75 | 0 | 0.08 | 1.81 | 4.22 | 149.95 | 1.31 | 1.83 | 21.96 |
| Genista falcata | 2.23 | 1.29 | 1.55 | 0.34 | 5.33 | 87.70 | 2.91 | 2.28 | 22.78 |
| Halimium lasianthum | 4.19 | 0.69 | 7.21 | 1.93 | 20.83 | 613.73 | 7.76 | 3.63 | 89.07 |
| Ilex aquifolium | 4.85 | 0.78 | 0.82 | 1.06 | 3.06 | 823.12 | 0.63 | 0.46 | 144.36 |
| Lavandula luisieri | 3.99 | 0.14 | 0.37 | 1.48 | 6.93 | 335.85 | 1.49 | 0 | 56.85 |
| Lithodora prustrata | 4.52 | 0 | 0 | 0.13 | 5.23 | 96.84 | 0 | 0 | 9.82 |
| Phillyrea angustifolia | 4.03 | 0 | 0.12 | 0 | 7.90 | 45.77 | 0.37 | 0 | 23.57 |
| Prunus lusitanica | 3.49 | 0 | 0.08 | 0 | 5.57 | 2.22 | 1.10 | 0 | 11.40 |
| Pterospartum tridentatum | 4.02 | 0.02 | 0.48 | 1.32 | 10.58 | 321.46 | 0.87 | 1.65 | 37.80 |
| Rhamnus alaternus | 3.13 | 0.01 | 0.14 | 1.14 | 3.63 | 12.07 | 0.49 | 0.53 | 7.38 |
| Rubus ulmifolius | 4.28 | 0.08 | 0.15 | 0.45 | 5.73 | 122.48 | 0.57 | 0.34 | 18.94 |
| Ruscus aculeatus | 3.57 | 0 | 2.50 | 1.06 | 3.16 | 61.41 | 0 | 0 | 19.85 |
| Ulex minor | 3.41 | 0.09 | 0.34 | 1.33 | 3.17 | 83.41 | 1.05 | 0.20 | 23.63 |
| Viburnum tinus | 3.38 | 0.33 | 0.05 | 0.29 | 7.38 | 112.98 | 1.42 | 0.45 | 36.28 |
| Land Use and Occupation | % Area |
|---|---|
| Forests | 39% |
| Scrub land | 12% |
| Agro-forest land | 8% |
| Pastures | 7% |
| Agriculture | 26% |
| Urban and artificial areas | 5% |
| Other | 3% |
| Total | 100% |
Publisher’s Note: MDPI stays neutral with regard to jurisdictional claims in published maps and institutional affiliations. |
© 2021 by the authors. Licensee MDPI, Basel, Switzerland. This article is an open access article distributed under the terms and conditions of the Creative Commons Attribution (CC BY) license (https://creativecommons.org/licenses/by/4.0/).
Share and Cite
Nunes, L.J.R.; Raposo, M.A.M.; Meireles, C.I.R.; Gomes, C.J.P.; Ribeiro, N.M.C.A. Energy Recovery of Shrub Species as a Path to Reduce the Risk of Occurrence of Rural Fires: A Case Study in Serra da Estrela Natural Park (Portugal). Fire 2021, 4, 33. https://doi.org/10.3390/fire4030033
Nunes LJR, Raposo MAM, Meireles CIR, Gomes CJP, Ribeiro NMCA. Energy Recovery of Shrub Species as a Path to Reduce the Risk of Occurrence of Rural Fires: A Case Study in Serra da Estrela Natural Park (Portugal). Fire. 2021; 4(3):33. https://doi.org/10.3390/fire4030033
Chicago/Turabian StyleNunes, Leonel J. R., Mauro A. M. Raposo, Catarina I. R. Meireles, Carlos J. Pinto Gomes, and Nuno M. C. Almeida Ribeiro. 2021. "Energy Recovery of Shrub Species as a Path to Reduce the Risk of Occurrence of Rural Fires: A Case Study in Serra da Estrela Natural Park (Portugal)" Fire 4, no. 3: 33. https://doi.org/10.3390/fire4030033
APA StyleNunes, L. J. R., Raposo, M. A. M., Meireles, C. I. R., Gomes, C. J. P., & Ribeiro, N. M. C. A. (2021). Energy Recovery of Shrub Species as a Path to Reduce the Risk of Occurrence of Rural Fires: A Case Study in Serra da Estrela Natural Park (Portugal). Fire, 4(3), 33. https://doi.org/10.3390/fire4030033

