Molecular Characterization of Histamine-Producing Psychrotrophic Bacteria Isolated from Red Octopus (Octopus maya) in Refrigerated Storage
Abstract
:1. Introduction
2. Materials and Methods
2.1. Microorganisms
2.2. Isolation of Histamine Producing Bacteria
2.3. Phenotypic and Genotypic Identification of Histamine-Forming Bacteria
2.4. Amplification of Histidine (Hdc) Ornithine (Odc) and Lysine Decarboxylase (Ldc) Genes
2.5. Cloning and Sequencing of Decarboxylase Genes
2.6. Identification of Decarboxylase Genes in Transformed Cells
2.7. Determining of the Concentration of Histamine Produced by Bacteria
3. Results
3.1. Molecular Identification of Histamine Producing Strains
3.2. Phenotypic Characterization of Histamine Producing Strains
3.3. Genotypic Identification of Histidine, Ornithine, and Lysine Decarboxylase Genes
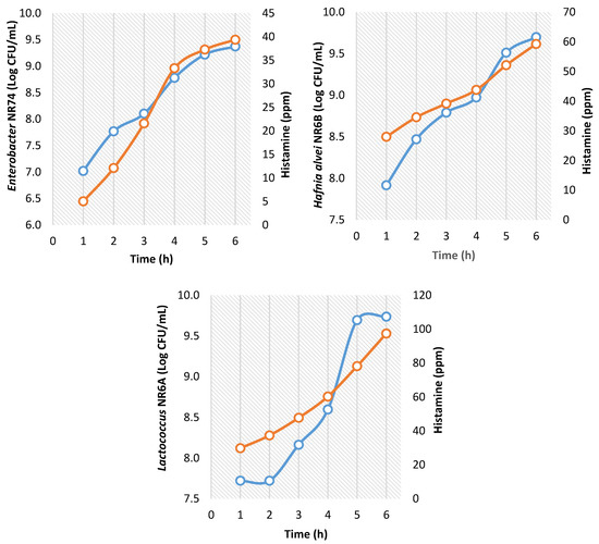
3.4. Histamine Production
4. Discussion
5. Conclusions
Author Contributions
Funding
Acknowledgments
Conflicts of Interest
References
- Solís-Ramírez, M.J. Octopus maya: Biology and fishery in Mexico. In The Fishery and Market Potential of Octopus in California; Lang, M., Hochberg, F.G., Ambrose, R.A., Engle, J.M., Eds.; Smithsonian Institution: Washington, DC, USA; University of Southern California: Los Angeles, CA, USA, 1997; pp. 105–113. [Google Scholar]
- Gullian-Klanian, M.; Terrats-Preciat, M.; Pech-Jiménez, E.C.; Cutz De Ocampo, J. Effect of frozen storage on protein denaturation and fatty acids profile of the red octopus (Octopus maya). J. Food Process. Preserv. 2017, 41, e13072. [Google Scholar] [CrossRef]
- Morrow, J.D.; Margolies, G.R.; Rowland, J.; Roberts, L.J. Evidence that histamine is the causative toxin of scombroid-fish poisoning. N. Engl. J. Med. 1991, 324, 716–720. [Google Scholar] [CrossRef] [PubMed]
- Food and Drug Administration. FDA’s Evaluation of the Seafood HACCP Program for Fiscal Years 2000/2001; Food and Drug Administration: Washington, DC, USA, 2002.
- Visciano, P.; Schirone, M.; Tofalo, R.; Suzzi, G. Biogenic amines in raw and processed seafood. Front. Microbiol. 2012, 3, 188. [Google Scholar] [CrossRef] [PubMed]
- Costa, M.P.; Rodrigues, B.L.; Frasao, B.S.; Conte-Junior, C.A. Biogenic Amines as Food Quality Index and Chemical Risk for Human Consumption. In Food Quality: Balancing Health and Disease; Handbook of Food Bioengineering; Holban, A.M., Grumezescu, A.M., Eds.; Academic Press: London, UK, 2018; pp. 75–108. ISBN 9780128114421. [Google Scholar]
- Kim, S.H.; Price, R.J.; Morrissey, M.T.; Field, K.G.; Wei, C.I.; An, H. Occurrence of histamine-forming bacteria in albacore and histamine accumulation in muscle at ambient temperature. J. Food Sci. 2002, 67, 1515–1521. [Google Scholar] [CrossRef]
- Duflos, G. Histamine risk in fishery products. Bull. Acad. Vet. France 2009, 162, 241–246. [Google Scholar] [CrossRef]
- Hungerford, J.M. Scombroid poisoning: A review. Toxicon 2010, 56, 231–243. [Google Scholar] [CrossRef] [PubMed] [Green Version]
- Satomi, M.; Furushita, M.; Oikawa, H.; Yano, Y. Diversity of plasmids encoding histidine decarboxylase gene in Tetragenococcus spp. isolated from Japanese fish sauce. Int. J. Food Microbiol. 2011, 148, 60–65. [Google Scholar] [CrossRef] [PubMed]
- Marrakchi, A.E.; Bennour, M.; Bouchriti, N.; Hamama, A.; Tagafait, H. Sensory, chemical, and microbiological assessments of Moroccan sardines (Sardina pilchardus) stored in ice. J. Food Prot. 1990, 53, 600–605. [Google Scholar] [CrossRef]
- Bennour, M.; Marrakchp, A.E.; Bouchritf, N.; Hamama, A.; Ouadaa, M.E. Chemical and microbiological assessments of mackerel (Scomber scombrus) stored in ice. J. Food Prot. 1991, 54, 784–792. [Google Scholar] [CrossRef]
- Bjeldanes, L.F.; Schutz, D.E.; Morris, M.M. On the aetiology of scombroid poisoning: Cadaverine potentiation of histamine toxicity in the guinea-pig. Food Cosmet. Toxicol. 1978, 16, 157–159. [Google Scholar] [CrossRef]
- Lehane, L.; Olley, J. Histamine fish poisoning revisited. Int. J. Food Microbiol. 2000, 58, 1–37. [Google Scholar] [CrossRef]
- Bulushi, I.A.; Poole, S.; Deeth, H.C.; Dykes, G.A. Biogenic amines in fish: Roles in intoxication, spoilage, and nitrosamine formation—A review. Crit. Rev. Food Sci. Nutr. 2009, 49, 369–377. [Google Scholar] [CrossRef] [PubMed]
- Kim, S.H.; Field, K.G.; Morrissey, M.T.; Price, R.J.; Wei, C.I.; An, H. Source and identification of histamine-producing bacteria from fresh and temperature-abused albacore. J. Food Prot. 2001, 64, 1035–1044. [Google Scholar] [CrossRef] [PubMed]
- Takahashi, H.; Ogai, M.; Miya, S.; Kuda, T.; Kimura, B. Effects of environmental factors on histamine production in the psychrophilic histamine-producing bacterium Photobacterium iliopiscarium. Food Control 2015, 52, 39–42. [Google Scholar] [CrossRef]
- Zou, Y.; Hou, X. Histamine production by Enterobacter aerogenes in chub mackerel (Scomber japonicus) at various storage temperatures. Food Sci. Tecnol. 2017, 37, 76–79. [Google Scholar] [CrossRef]
- Bjornsdottir-Butler, K.; Bowers, J.C.; Benner, R.A., Jr. Prevalence and characterization of high histamine–producing bacteria in Gulf of Mexico fish species. J. Food Prot. 2015, 78, 1335–1342. [Google Scholar] [CrossRef] [PubMed]
- Bjornsdottir-Butler, K.; McCarthy, S.A.; Dunlap, P.V.; Benner, R.A. Photobacterium angustum and Photobacterium kishitanii, psychrotrophic high-level histamine-producing bacteria indigenous to tuna. Appl. Environ. Microbiol. 2016, 82, 2167–2176. [Google Scholar] [CrossRef] [PubMed]
- Gounot, A.M. Psychrophilic and psychrotrophic microorganisms. Experientia 1986, 42, 1192–1197. [Google Scholar] [CrossRef] [PubMed]
- Kim, S.H.; Barros-Velázquez, J.; Ben-Gigirey, B.; Eun, J.B.; Jun, S.H.; Wei, C.I.; An, H. Identification of the main bacteria contributing to histamine formation in seafood to ensure product safety. Food Sci. Biotechnol. 2003, 12, 451–460. [Google Scholar]
- Satomi, M. Effect of histamine-producing bacteria on fermented fishery products. Food Sci. Technol. Res. 2016, 22, 1–21. [Google Scholar] [CrossRef]
- Gullian-Klanian, M.; Sánchez-Solís, M.J.; Terrats-Preciat, M.; Delgadillo-Diaz, M.; Aranda, J. Quality indicators and shelf life of red octopus (Octopus maya) in chilling storage. Food Sci. Tecnol. 2016, 36, 304–312. [Google Scholar] [CrossRef]
- Niven, C.F.; Jeffrey, M.B.; Corlett, D.A. Differential plating medium for quantitative detection of histamine-producing bacteria. Appl. Environ. Microbiol. 1981, 41, 321–322. [Google Scholar] [PubMed]
- Torido, Y.; Ohshima, C.; Takahashi, H.; Miya, S.; Iwakawa, A.; Kuda, T.; Kimura, B. Distribution of psychrophilic and mesophilic histamine-producing bacteria in retailed fish in Japan. Food Control 2014, 46, 338–342. [Google Scholar] [CrossRef]
- Ausubel, F.M.; Brent, R.; Kingston, R.E.; Moore, D.D.; Seidman, J.G.; Smith, J.A.; Struhl, K. Short Protocols in Molecular Biology; John Wiley & Sons: New York, NY, USA, 1992; 836p, ISBN 0-471-13781-2. [Google Scholar]
- Chenna, R.; Sugawara, H.; Koike, T.; Lopez, R.; Gibson, T.J.; Higgins, D.G.; Thompson, J.D. Multiple sequence alignment with the Clustal series of programs. Nucleic Acids Res. 2003, 31, 3497–3500. [Google Scholar] [CrossRef] [PubMed] [Green Version]
- Kumar, S.; Stecher, G.; Tamura, K. MEGA7: Molecular Evolutionary Genetics Analysis version 7.0 for bigger datasets. Mol. Biol. Evol. 2016, 33, 1870–1874. [Google Scholar] [CrossRef] [PubMed] [Green Version]
- Nei, M.; Kumar, S. Molecular Evolution and Phylogenetics; Oxford University Press: Oxford, UK, 2000; 333p, ISBN 9780195135855. [Google Scholar]
- De las Rivas, B.; Marcobal, A.; Carrascosa, A.V.; Munoz, R. PCR detection of foodborne bacteria producing the biogenic amines histamine, tyramine, putrescine, and cadaverine. J. Food Prot. 2006, 69, 2509–2514. [Google Scholar] [CrossRef] [PubMed]
- Jeune, C.; Lonvaud-Funel, A.; Brink, B.T.; Hofstra, H.; Vossen, J.M.B.M. Development of a detection system for histidine decarboxylating lactic acid bacteria based on DNA probes, PCR and activity test. J. Appl. Microbiol. 1995, 78, 316–326. [Google Scholar] [CrossRef]
- Green, M.R.; Sambrook, J. Molecular Cloning: A Laboratory Manual, 4th ed.; Cold Spring Harbor Laboratory Press: New York, NY, USA, 2012; 1882p. [Google Scholar]
- Saitou, N.; Nei, M. The neighbor-joining method: A new method for reconstructing phylogenetic trees. Mol. Biol. Evol. 1987, 4, 406–425. [Google Scholar] [CrossRef] [PubMed]
- Felsenstein, J. Confidence limits on phylogenies: An approach using the bootstrap. Evolution 1985, 39, 783–791. [Google Scholar] [CrossRef] [PubMed]
- Zuckerkandl, E.; Pauling, L. Evolutionary divergence and convergence in proteins. In Evolving Genes and Proteins; Bryson, V., Vogel, H.J., Eds.; Academic Press: New York, NY, USA, 1965; pp. 97–166. [Google Scholar]
- Lougovois, V.P.; Kolovou, M.K.; Savvaidis, I.N.; Kontominas, M.G. Spoilage potential of ice-stored whole musky octopus (Eledone moschata). Int. J. Food Sci. Technol. 2008, 43, 1286–1294. [Google Scholar] [CrossRef]
- Kim, S.H.; An, H.; Field, K.G.; Wei, C.I.; Velazquez, J.B.; Ben-Gigirey, B.; Morrissey, M.T.; Price, R.J.; Pitta, T.P. Detection of Morganella morganii, a prolific histamine former, by the polymerase chain reaction assay with 16S rDNA–targeted primers. J. Food Prot. 2003, 66, 1385–1392. [Google Scholar] [CrossRef] [PubMed]
- López-Sabater, E.I.; Rodriguez-Jerez, J.J.; Roig-Sagues, A.X.; Mora-Ventura, M.A. Bacteriological quality of tuna fish (Thunnus thynnus) destined for canning: Effect of tuna handling on presence of histidine decarboxylase bacteria and histamine level. J. Food Prot. 1994, 57, 318–323. [Google Scholar] [CrossRef]
- Stephan, R.; Van Trappen, S.; Cleenwerck, I.; Vancanneyt, M.; De Vos, P.; Lehner, A. Enterobacter turicensis sp. nov. and Enterobacter helveticus sp. nov., isolated from fruit powder. Int. J. Syst. Evol. Microbiol. 2007, 57, 820–826. [Google Scholar] [CrossRef] [PubMed]
- Brady, C.; Cleenwerck, I.; Venter, S.; Coutinho, T.; De Vos, P. Taxonomic evaluation of the genus Enterobacter based on multilocus sequence analysis (MLSA): Proposal to reclassify E. nimipressuralis and E. amnigenus into Lelliottia gen. nov. as Lelliottia nimipressuralis comb. nov. and Lelliottia amnigena comb. nov., respectively, E. gergoviae and E. pyrinus into Pluralibacter gen. nov. as Pluralibacter gergoviae comb. nov. and Pluralibacter pyrinus comb. nov., respectively, E. cowanii, E. radicincitans, E. oryzae and E. arachidis into Kosakonia gen. nov. as Kosakonia cowanii comb. nov., Kosakonia radicincitans comb. nov., Kosakonia oryzae comb. nov. and Kosakonia arachidis comb. nov., respectively, and E. turicensis, E. helveticus and E. pulveris into Cronobacter as Cronobacter zurichensis nom. nov., Cronobacter helveticus comb. nov. and Cronobacter pulveris comb. nov., respectively, and emended description of the genera Enterobacter and Cronobacter. Syst. Appl. Microl. 2013, 36, 309–319. [Google Scholar] [CrossRef]
- Brenner, D.J. Characterization and clinical identification of Enterobacteriaceae by DNA hybridization. Prog. Clin. Pathol. 1978, 7, 71–117. [Google Scholar] [PubMed]
- Steigerwalt, A.G.; Fanning, G.R.; Fife-Asbury, M.A.; Brenner, D.J. DNA relatedness among species of Enterobacter and Serratia. Can. J. Microbiol. 1976, 22, 121–137. [Google Scholar] [CrossRef] [PubMed]
- Huys, G.; Cnockaert, M.; Abbott, S.L.; Janda, J.M.; Vandamme, P. Hafnia paralvei sp. nov., formerly known as Hafnia alvei hybridization group 2. Int. J. Syst. Evol. Microbiol. 2010, 60, 1725–1728. [Google Scholar] [CrossRef] [PubMed]
- Abbott, S.L.; Moler, S.; Green, N.; Tran, R.; Wainwright, K.; Janda, J.M. Clinical and laboratory diagnostic characteristics and cytotoxigenic potential of Hafnia alvei and Hafnia paralvei strains. J. Clin. Microbiol. 2011, JCM-00866. [Google Scholar] [CrossRef] [PubMed]
- Kuley, E.; Balikci, E.; Özogul, İ.; Cengiz, D. Interaction between lactic acid bacteria and food-borne pathogens on putrescine production in ornithine-enriched broth. Int. J. Food Sci. Technol. 2013, 48, 394–404. [Google Scholar] [CrossRef]
- Kamath, A.V.; Vaaler, G.L.; Snell, E.E. Pyridoxal phosphate-dependent histidine decarboxylases. Cloning, sequencing, and expression of genes from Klebsiella planticola and Enterobacter aerogenes and properties of the overexpressed enzymes. J. Biol. Chem. 1991, 266, 9432–9437. [Google Scholar] [PubMed]
- Van Poelje, P.D.; Snell, E.E. Pyruvoyl-dependent enzymes. Annu. Rev. Biochem. 1990, 59, 29–59. [Google Scholar] [CrossRef] [PubMed]
- De Filippis, F.; Pennacchia, C.; Di Pasqua, R.; Fiore, A.; Fogliano, V.; Villani, F.; Ercolini, D. Decarboxylase gene expression and cadaverine and putrescine production by Serratia proteamaculans in vitro and in beef. Int. J. Food Microbiol. 2013, 165, 332–338. [Google Scholar] [CrossRef] [PubMed]
- Ababouch, L.; Afila, M.E.; Rhafiri, S.; Busta, F.F. Identification of histamine-producing bacteria isolated from sardine (Sardina pilchardus) stored in ice and at ambient temperature (25 °C). Food Microbiol. 1991, 8, 127–136. [Google Scholar] [CrossRef]
- Tsai, W.C.; Chang, L.K. Morganella morganii causing solitary liver abscess complicated by pyopericardium and left pleural effusion in a nondiabetic patient. J. Microbiol. Immunol. Infect. (Wei Mian Yu Gan Ran Za Zhi) 2002, 35, 191–194. [Google Scholar] [PubMed]
- Behling, A.R.; Taylor, S.L. Bacterial histamine production as a function of temperature and time of incubation. J. Food Sci. 1982, 47, 1311–1314. [Google Scholar] [CrossRef]
- Kung, H.F.; Lee, Y.H.; Chang, S.C.; Wei, C.I.; Tsai, Y.H. Histamine contents and histamine-forming bacteria in sufu products in Taiwan. Food Control 2007, 18, 381–386. [Google Scholar] [CrossRef]
- Kuda, T.; Izawa, Y.; Ishii, S.; Takahashi, H.; Torido, Y.; Kimura, B. Suppressive effect of Tetragenococcus halophilus, isolated from fish-nukazuke, on histamine accumulation in salted and fermented fish. Food Chem. 2012, 130, 569–574. [Google Scholar] [CrossRef]
- Long Nguyen, P.T.; Tu Nguyen, H.K. Histamine Production by Lactobacillus rhamnosus. Glob. J. Biol. Agric. Health Sci. 2015, 3, 70–74. [Google Scholar]



| Code Strain | Closest Relative (Accession NCBI) | No Isolates | Total Score | Query Cover (%) | E-Value | Identity (%) |
|---|---|---|---|---|---|---|
| NR73 | Enterobacter xiangfangensis (NR_126208.1) | 15 | 1072 | 91 | 0.0 | 98 |
| Enterobacter cloacae (NR_118568.1) | 1040 | 89 | 0.0 | 98 | ||
| NR6B | Obesumbacterium proteus (NR_025334.1) | 12 | 1652 | 98 | 0.0 | 98 |
| Hafnia alvei (NR_112985.1) | 1646 | 98 | 0.0 | 98 | ||
| Hafnia paralvei (NR_116898.1) | 1648 | 98 | 0.0 | 97 | ||
| NR6A | Lactococcus garvieae (NR_113268.1) | 5 | 1171 | 98 | 0.0 | 94 |
| Lactococcus formosensis (NR_114366.1) | 1149 | 98 | 0.0 | 93 |
| Test Name | Hafnia alvei NR6B (n = 12) | Enterobacter NR73 (n = 15) | Test Name/Lactococcus NR6A (n = 5) | |||
|---|---|---|---|---|---|---|
| Gram staining | − | − | Gram staining | + | Amygdaline | − |
| Motility | + | + | Motility | − | Arbutine | + |
| Catalase | + | + | Catalase | − | Esculine citrate | + |
| Cytochrome Oxidase | − | − | Cytochrome oxidase | − | Salicine | + |
| Histamine | + | + | Histamine | + | d-celobiose | + |
| ONPG production | + | + | Glycerol | − | d-maltose | + |
| l-Arginine-dihidrolase | − | + | Erythritol | − | d-lactose | + |
| l-Lysine decarboxilase | + | − | d-arabinose | − | d-melibiose | + |
| l-Ornithine decarboxilase | + | + | l-arabinose | − | d-saccharose | + |
| Trisodium citrate | + | + | d-ribose | − | d-trehalose | + |
| Sodium thiosulfate | − | − | d-xylose | + | Inuline | − |
| Sodium pyruvate | − | − | l-xylose | − | d-melezitose | − |
| Urea hydrolysis | − | + | d-adonitol | − | d-raffinose | + |
| l-Tryptophane | − | − | MD-xylopyranoside | − | Amidon | + |
| Indole production | − | − | d-galactose | − | Glycogene | − |
| Voges-Proskauer | − | + | d-glucose | + | Xylitol | − |
| Gelatine | − | − | d-fructose | − | Gentiobiose | − |
| Esculine ferric citrate | + | − | d-mannose | + | d-turanose | − |
| Capric acid | − | +/− | l-sorbose | − | d-lyxose | − |
| Adipic acid | − | − | l-rhamnose | − | d-tagatose | − |
| Malic acid | + | + | Dulcitol | − | d-fucose | − |
| Salicine | + | + | Potassium 5-cetoglutonate | − | d-arabitol | − |
| Malonate | + | + | Potassium 2-cetoglutonate | − | l-arabitol | − |
| β-glucosidase | + | + | Potassium gluconate | − | d-sorbitol | − |
| Acetyl glucosamine | + | + | M-ad-mannopyranoside | − | d-manitol | − |
| Potassium gluconate | + | + | Metyl-ad-glucopyranoside | − | Inositol | − |
| Nitrate reduction | + | + | N-acetylglucosamine | + | Malonate | − |
| d-Glucose fermentation | + | + | Gram staining | + | ||
| d-Mannitol | + | + | Motility | − | ||
| Inositol | − | − | Catalase | − | ||
| d-Sorbitol | − | +/− | Cytochrome oxidase | − | ||
| l-Rhamnose | +/− | + | Histamine | + | ||
| d-Saccharose | − | + | Glycerol | − | ||
| d-Melibiose | − | + | Erythritol | − | ||
| Amygdaline | +/− | +/− | d-arabinose | − | ||
| d-Arabinose | − | + | l-arabinose | − | ||
| d-Mannose | + | +/− | d-ribose | − | ||
| d-Maltose | + | + | d-xylose | + | ||
| Code Strain | Enzyme | Amino Acid Sequence |
|---|---|---|
| NR73 | Hdc | IPFEQSWGYVTNGGTEGNMFGCYLGREIFPDGTLYYSKDTHYSVAKIVKLLRIKSQVVESQPNGEIDYDDLMKKIADDKEAHPIIFANIGTTVRGAIDDIAEIQKRLKAAGIKREDYYLHADAALSGMILPFVDDAQPFTFADGIDSIGVSGHKMIGSPIP |
| Ldc | GMSGERVPGKVFFETQSTHKMLAAFSQASLIHIKGEYDEDTFNEAFMMHTTTSPSYPLVASIETAAAMLRGNPGKRLINRSVERALHFRKEVQRLKDEADGWFFDIWQPEEIDEAECWPVAPGESWHGFRDADADHMF | |
| Odc | ALLTRGDLVLFDRNNHKSNHHGALIQAGATPVYLEAARNPFGFIGGIDEHCFDEAWLRELIRDVAPQKAAEARPFRLAIIQLGTYDGTIYNARQVIDKIGHLCDYILFDSAWVGYEQFIPMMAETSPLLLELNENDPGIFVTQSVHKQQAGFSQTSQIHK | |
| NR6B | Hdc | FDFEKEVMEYFADLFKIPFEQSWGYVTNGGTEGNMFGCYLGREIFPDGTLYYSKDTHYSVAKIVKLLRIKSQVVESLPNGEIDYDDLMKKIADDKEAHPIIFANIGTTVRGAIDDIAEIQKRLKAAGIKREDYYLHADAALSGMILPFVDDAQPFTFADGID |
| Ldc | CWPLDSKNPRNEWHGFPNIDNDHMYLDPIKVTLLTPGLSPNGTLEDEGIPASIVSKYLDEHGIIVEKTGPYNLLFLFSIGIDKTKALSLLRALTDFKRVYDLNLRVKNVLPSLYNEAPDFYKEMRIQELAQGIHALVKHHNLPDLMYRAFEVLPKLVMTPHDAFQEEVRGNIEPCALDDMLGKVSANMILPYPPGVPVVMPGEMLDTEEK | |
| NR6A | Hdc | QSWGYVTNGGTEGNMFGCYLGREIFPDGTLYYSKDTHYSVAKIVKLLRIKSQVVESLPNGEIDYDDLMKKIADDKEAHPIIFANIGTTVRGAIDDIAEIQKRLKAAGIKREDYYLHADAALSGMILPFVDDAQPFTFADGIDSIGVSGHKMIGSPM |
| Ldc | MSGERVPGKVIFETQSTJKMLAALSQASLIHIKGDNDEDTFNEAFMMHTSTSPSYPLVASIETAAAMLRGNSG |
| Code Strain | Enzyme | Closest Relative Amino Acid Sequences (Accession UniProtKB) | Query Length | Match Length | E-Value | Identity (%) |
|---|---|---|---|---|---|---|
| NR73 | Hdc | Morganella morganii (A0A0D8L944) | 510 | 378 | 4.9 × 10−104 | 99.4 |
| Ldc | Enterobacter cloacae (A0A156QKX8) | 515 | 710 | 1.7 × 10−101 | 100 | |
| Odc | Enterobacter sp. (A0A0E2MGV2) | 433 | 711 | 2.9 × 10−78 | 100 | |
| NR6B | Hdc | Morganella morganii (B9V5R7) | 513 | 378 | 4.9 × 10−95 | 100 |
| Ldc | Hafnia alvei (A0A1C6YXM8) | 844 | 739 | 7.0 × 10−147 | 97.0 | |
| NR6A | Hdc | Morganella morganii (J7U509) | 500 | 236 | 9.3 × 10−92 | 100 |
| Ldc | Citrobacter freundii (A0A0J1MZ87) | 44 | 712 | 3.1 × 10−101 | 97.7 |
© 2018 by the authors. Licensee MDPI, Basel, Switzerland. This article is an open access article distributed under the terms and conditions of the Creative Commons Attribution (CC BY) license (http://creativecommons.org/licenses/by/4.0/).
Share and Cite
Gullian Klanian, M.; Delgadillo Díaz, M.; Sánchez Solís, M.J. Molecular Characterization of Histamine-Producing Psychrotrophic Bacteria Isolated from Red Octopus (Octopus maya) in Refrigerated Storage. High-Throughput 2018, 7, 25. https://doi.org/10.3390/ht7030025
Gullian Klanian M, Delgadillo Díaz M, Sánchez Solís MJ. Molecular Characterization of Histamine-Producing Psychrotrophic Bacteria Isolated from Red Octopus (Octopus maya) in Refrigerated Storage. High-Throughput. 2018; 7(3):25. https://doi.org/10.3390/ht7030025
Chicago/Turabian StyleGullian Klanian, Mariel, Mariana Delgadillo Díaz, and Maria José Sánchez Solís. 2018. "Molecular Characterization of Histamine-Producing Psychrotrophic Bacteria Isolated from Red Octopus (Octopus maya) in Refrigerated Storage" High-Throughput 7, no. 3: 25. https://doi.org/10.3390/ht7030025
APA StyleGullian Klanian, M., Delgadillo Díaz, M., & Sánchez Solís, M. J. (2018). Molecular Characterization of Histamine-Producing Psychrotrophic Bacteria Isolated from Red Octopus (Octopus maya) in Refrigerated Storage. High-Throughput, 7(3), 25. https://doi.org/10.3390/ht7030025
