Abstract
Background: Autism spectrum disorders (ASDs) comprise a neurodevelopmental disease marked by impaired social communication and repetitive activities. An imbalance between excitatory and inhibitory neurotransmitters, such as glutamate and GABA, may play a significant function in ASDs. The neurophysiological process behind epilepsy is abnormal neuronal excitatory firing in particular brain regions brought on by a lack of GABAergic inhibition. The study of GABAergic dysfunction could explain the substantial comorbidity with epilepsy or increased susceptibility to seizures observed in people with autism. Objective: This study analyzes molecular indicators directly and indirectly related to GABAergic inhibitory signaling in individuals with autism and healthy controls, with the purpose of uncovering probable diagnoses. Methods: The study included 46 male autistic participants and 26 age- and gender-matched healthy controls. Plasma levels of two chloride co-transporters (KCC2, NKCC1), and vitamin D3 were evaluated using ELISA. Results: Autistic individuals showed a significant drop in all three examined variables when compared to healthy controls. Statistical methods such as correlation, combined receiver operating characteristic (ROC) curve analysis, and multiple regression modeling were used to assess the diagnostic value and interrelationships of these biomarkers. A significant increase in the area under the curve was seen using the combined ROC curve analysis. The combined variables also exhibited significantly higher sensitivity and specificity as an index of high predictiveness values. Measurement of plasma levels of vitamin D status and chloride co-transporters (KCC2, NKCC1) in children with ASD may help to better understand how sleep disturbances and epilepsy as comorbidities of ASD linked to vitamin D deficiency and peculiar inhibitory/excitatory effects of GABA.
1. Introduction
Autism spectrum disorders (ASDs) are developmental disorders characterized by communication difficulties, social impairments, and repetitive habits. Several clinical and animal model studies of autism show excitatory/inhibitory E/I or glutamate/GABA imbalances. Autism is associated with reduced gamma frequency oscillations, which are implicated in cognitive function [1,2]. While the mechanisms behind ASDs remain unknown, it is thought that changes in neuronal development, such as an E/I imbalance, can influence the development of emotional, memory, and sensory systems [3,4,5]. The potassium chloride co-transporter 2 (KCC2) and sodium–potassium chloride co-transporter 1 (NKCC1) cation–chloride co-transporters (CCCs) have recently been identified as potential targets for neurological disorders management. Ideally, these targets could help alleviate symptoms of multiple neurological disorders including Alzheimer’s, Parkinson’s, autism spectrum disorders (ASDs) and others with comparable underlying disease mechanisms that impact the excitatory/inhibitory (E/I balance). These membrane proteins regulate the passage of Na+, Cl−, and K+ across the plasma membrane. Ions migrate across the membrane by combining gradients of Na+, K+, and Cl− [6]. GABA’s primary role in the brain is synaptic inhibition, which is mediated by GABAA receptors that are Cl−-permeable. The polarity of GABAA receptor signaling is determined by the exact control of the two CCCs, KCC2 and NKCC1 [7,8].
It is interesting to report that mode of delivery plays a crucial role in the excitatory-to-inhibitory shift in GABA transmission in rodents, as oxytocin release lowers [Cl−]i and has analgesic and neuroprotective properties. Research has shown that the delivery mechanism in a rodent model of ASD is linked to the change in GABA from excitatory to inhibitory. Moreover, they discovered that a decrease in KCC2 expression and the ensuing rise in [Cl−]i were the causes of depolarizing GABA activity [9]. Decreased KCC2 protein in CSF and decreased KCC2/NKCC1 protein ratio was recorded in individuals with ASD [10].
There is a link between particular symptoms and seizures in individuals with ASD. Turk et al. [11] discovered that a comorbid diagnosis of ASD and epilepsy resulted in more severe social interaction impairments with peers and unusual eye contact. Those with epilepsy were diagnosed with ASD later than those without epilepsy. Other studies have found that increased frequency of epilepsy has been associated with an earlier age of ASD diagnosis, higher rates of repetitive object use, and greater unusual sensory interests [12]. A large-scale investigation by Viscidi et al. [13] revealed that children with ASD and epilepsy showed considerably more maladaptive behaviors associated with ASD. This includes lower scores in social cognition, communication, and motivation as compared to ASD patients without epilepsy. Participants with epilepsy and ASD also exhibit increased levels of self-injurious, obsessive, and repetitive behaviors. Finally, a meta-analysis of social cognition in epilepsy and autism revealed that individuals with epilepsy and ASD had higher rates of impaired facial recognition and theory of mind than controls [14].
Additionally, it was shown that the sleep–wake cycle was connected to the Cl− levels in cortical pyramidal neurons [15,16]. Cl− levels rise throughout the cycle’s wake phase while falling during the sleep phase [15]. Inhibitory synaptic transmission in the cortex is linked to the rise in Cl− levels during wakefulness [17]. This could be related to sleep disturbance in individuals with ASD [18].
Because of its extensive range of skeletal and extra-skeletal functions, vitamin D (VitD) is an essential supplement for both healthy children and those suffering from chronic disorders [19]. The Endocrine Society of America defined vitamin D deficiency in 2020 as serum 25-OH-VitD concentration below 12 ng/mL, insufficiency levels between 12 and 20 ng/mL, and sufficiency levels above 20 ng/mL [20]. Everyone agrees that severe vitamin D deficiency needs to be treated [21,22]. It is interesting to know that vitamin D deficiency is common among people with epilepsy who take antiepileptic drugs and that vitamin D levels should be monitored as part of standard epilepsy care [23].
Despite the fact that there are many similarities between ASD and concomitant epilepsy, there is minimal research looking into common environmental and/or neuroinflammatory processes that lead to these conditions. Among the examples of these pathways is vitamin D deficiency in children diagnosed with epilepsy [23] or ASD [23].
This information initiates our interest to measure the predictive values of KCC2, NKCC1, and vitamin D in plasma of children with ASD using logistic regression and combining ROC that could lead to a better understanding of the etiological mechanism of epilepsy and sleep disturbances as comorbidities in ASD.
2. Materials and Methods
2.1. Participants
In this study, 46 autistic male individuals and 26 gender- and age-matched controls were enrolled from the Autism Research and Treatment Center at King Khalid University Hospital Riyadh, King Saud University (Kingdom of Saudi Arabia). The Diagnostic and Statistical Manual of Mental Disorders (DSM)–IV was used to screen and evaluate all the participants. The Social Responsiveness Scale (SRS) and the Childhood Autism Rating Scale (CARS) were used to calculate the scores in order to subclassify the participants into mild, moderate, or severe categories. This study was prior-approved by the Institutional Review Board and Guidelines of Health Sciences Colleges Research on Human Subjects, (College of Medicine, King Saud University, No. 22/0122/IRB). Prior to participation, all participants’ parents or legal guardians approved processing and publishing data by providing an informed consent form.
2.2. Severity Assessment
2.2.1. Childhood Autism Rating Score (CARS)
CARS is a commonly used screening tool for autism [24] that evaluates 15 observational domains to differentiate between children with ASD and those with other developmental conditions. Each domain is rated on a scale from 1 (representing typical behavior) to 4 (indicating severe abnormality), with higher scores signifying greater impairment. The assessed domains include emotional reactions, interpersonal relationships, imitation skills, object and body use, fear or anxiety, listening abilities, intellectual responses, activity level, verbal and nonverbal communication, sensory responses (e.g., visual, taste, smell, touch), adaptability to change, and overall impressions. Total scores range from 15 to 60, with scores under 30 reflecting a non-autistic range, scores from 30 to 36.5 suggesting mild to moderate autism, and scores from 37 to 60 indicating severe autism.
2.2.2. Social Responsiveness Scale (SRS)
The SRS is a 65-item instrument used to measure the severity of autistic characteristics [25]. The organized questionnaire, which takes around 15–20 min to complete, is filled out by parents or instructors and focuses on the child behavior seen during the preceding six months. The SRS utilizes a standardized 4-point scale, with answers ranging from 1 through 4. One indicates typical for your child’s age, two indicates mildly abnormal, three indicates moderately abnormal, and four indicates severely abnormal.
The evaluation has five subscales: social cognition, social awareness, social motivation, social communication, and autistic behaviors. An SRS score ranging from 60 to 75 implies mild to moderate social impairment, while a score of 76 or more signifies significant social issues.
2.3. Blood Sample Collection
Following an overnight fast, 10 mL blood samples were obtained from both groups in test tubes containing sodium heparin. After centrifugation for 15 min at 3500 rpm and at ambient temperature, the obtained plasma was stored at −80 °C for the biochemical analyses.
2.4. Biochemical Analysis
Potassium Chloride co-transporters 2 (KCC2), Na-K-Cl co-transporters 1 (NKCC1), and Vitamin D3 (VD3) levels were measured using Human ELISA kits from ELK Biotechnology, Wuhan, China (ELK 0484, ELK 0483, and ELK 0811, respectively) according to the manufacturer’s instructions. The detection range of 0.32–20 ng/mL or 6.25–400 ng/mL were indicated for KCC2 and NKCC1 or VD3 Elisa kits, respectively. D3 was positively correlated with KCC2 and negatively correlated NKCC1, p values of 0.556 and 0.164, respectively.
2.5. Statistical Analysis
IBM SPSS software, version 22.0 (IBM Inc., Armonk, NY, USA), was used to analyze the data. Each group’s data were examined for normalcy using the Shapiro–Wilk test. The median, maximum, and minimum of the results were displayed. Two non-parametric groups were compared using the Mann–Whitney test; significant differences were indicated by p-values ≤ 0.05.
To connect various non-parametric variables, the Spearman rank correlation coefficient (R) was employed. The Enter method was used to conduct a logistic regression model analysis for the autistic group, with one variable serving as the dependent variable and the second as the independent. A correlation of −1.0 indicates a perfect negative correlation, whereas a correlation of 1.0 indicates a perfect positive correlation. If the correlation coefficient is greater than zero, it indicates a favorable positive relationship. Conversely, if the value is less than zero, there is a negative relationship.
The odds ratios (ORs) in the logistic regression study are used to illustrate the relationship between the biomarkers and clinical state in the combined receiver operatic characteristic (ROC) curves. ROC curves were generated for each logistic regression model. Each marker combination’s area under the curve (AUC) was determined using a non-parametric method. Because they raise the likelihood, odds ratios larger than one in logistic regression denote “positive effects”. Since they have a tendency to lower probabilities, those between 0 and 1 are referred to as “negative effects”. “No association” is shown when the odds ratio is 1. An odds ratio must be smaller than zero.
The area under the curve (AUC) is a useful metric for evaluating the predictive power of biomarkers. An effective statistic for evaluating the predictive power of biomarkers is the AUC. An AUC value close to 1.00 indicates a very good predictive marker, but a curve at the diagonal (AUC = 0.5) has no diagnostic significance. There is always a biomarker with the appropriate specificity and sensitivity values when the AUC value is near 1.00.
High sensitivity means that most patients will be diagnosed with ASD when looking at potential biomarkers for the disorder; high specificity means that healthy people will hardly ever test positive for the variable being studied. Additionally, the specificity in a ROC curve analysis is frequently increased by including two more markers, suggesting that using a panel of factors rather than a single variable may be a very helpful diagnostic tool.
3. Results
For KCC2, NKCC1, and VD3 using the Mann–Whitney test (non-parametric data): The plasma levels of the three parameters were significantly lower in individuals with ASD compared to healthy controls (p < 0.005) (Table 1). Moreover, a KCC2/NKCC1 ratio of 9.408 in autistic patients (i.e., 6.925/0.736) compared to much lower ratio of 2.400 in the control (10.036/4.18) was observed.
Table 1.
Comparison between different groups for the analyzed parameters.
The percent change for the three measured variables, KCC2, NKCC1, and vitamin D3 levels, was significantly lower in individuals with ASD compared to healthy controls (p < 0.001) (Figure 1).
Figure 1.
Percent change of Mean for different groups (Autistic, Mild to moderate and Severe) according to (Control group) in the analyzed parameters.
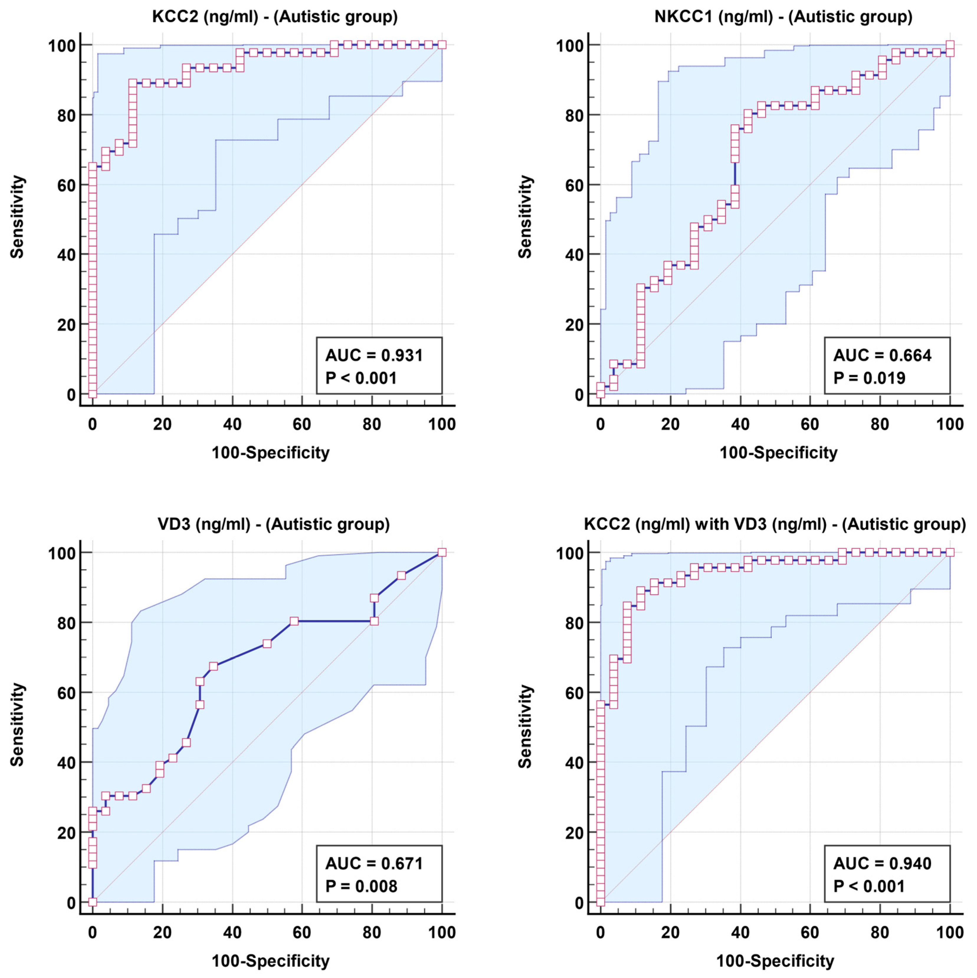
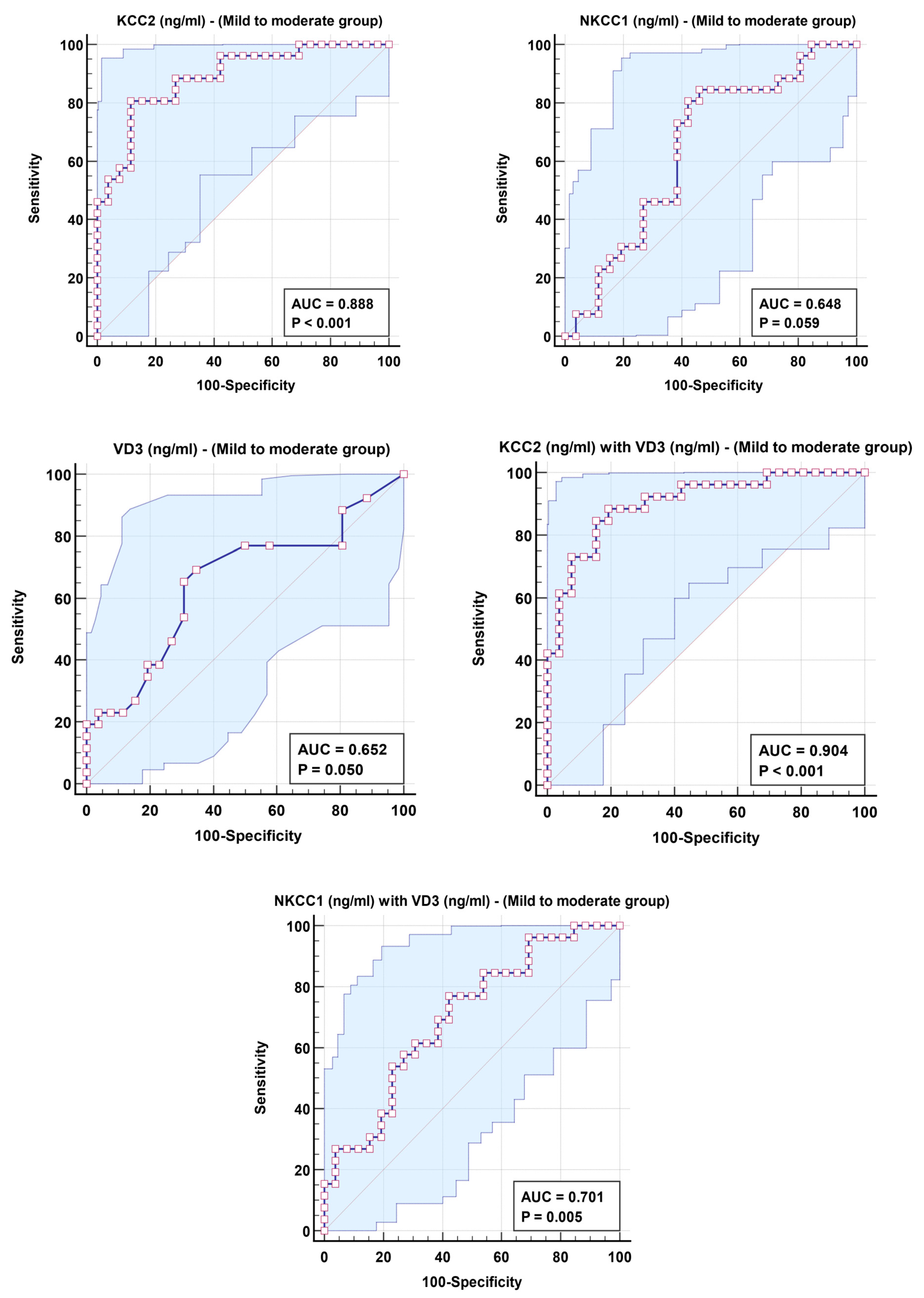
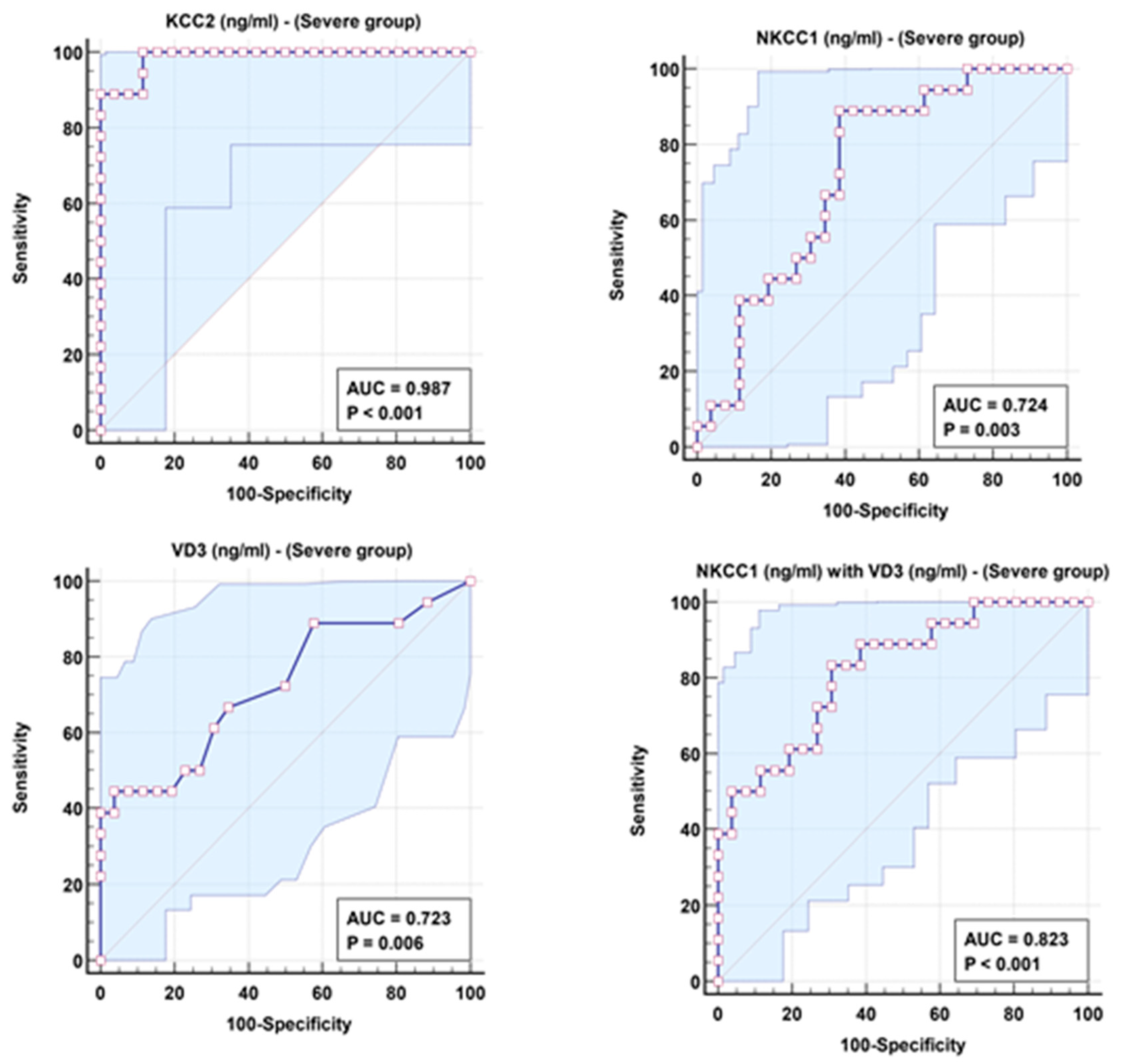
Table 2 and Figure 2 show that there is a strong positive correlation between both chloride co-transporters levels using Spearman correlation (p < 0.001). The ROC curve analysis was performed to evaluate the utility of KCC2, NKCC1, and vitamin D3 in the early diagnosis of ASD. Figure 3 and Table 3 show independently the AUCs, cutoff values, specificity, and sensitivity of the three measured parameters. While KCC2 demonstrates excellent AUC of 0.931, both NKCC1 and vitamin D3 independently showed poor AUCs of 0.664 and 0.671, respectively. It is interesting to note that KCC2 recorded more predictive value in severe autistic cases (AUC of 0.987) than mild–moderate cases (AUC of 0.888). Also, vitamin D3 recorded higher but still fair predictive value in severe autistic individuals (AUC of 0.732) compared to the mild–moderate group (AUC of 0.652).
Table 2.
Correlations between the following parameters using Spearman correlation.
Figure 2.
Spearman rank correlation coefficient (R) between KCC2 (ng/mL) and NKCC1 (ng/mL) with best-fit line curve (positive correlation, R = 0.41 and p < 0.001). Graphic representation using linear regression and heat map.
Figure 3.
ROC curve and combined ROC for the analyzed parameters of (Autistic group) according to the Control group.
Table 3.
ROC results for different groups (Autistic, Mild to moderate, and Severe) according to (Control group) as the reference group, with combined ROC results.
Combining ROC of NKCC2 and vitamin D3 remarkably improves the predictive diagnostic value of both variables; it records a combined AUC of 0.701 in the mild–moderate group of autistic patients and 0.823 in the severe group.
Table 4 demonstrates the logistic regression model of KCC2, NKCC1, and vitamin D3 in the mild–moderate, and severe autistic participants. It can be easily noticed that the three measured variables recorded odds ratios less than one.
Table 4.
Logistic regression results for different groups (Autistic, Mild to moderate, and Severe).
Table 4 describes the logistic regression test using the Enter method for different groups (Autistic, Mild to moderate, and Severe) as the dependent variable and the analyzed parameters as independent variables.
4. Discussion
In the current investigation, KCC2, NKCC1, and vitamin D3 levels were considerably lower in plasma from autism patients than in healthy controls (Table 1). The three assessed variables were shown to be directly connected to the severity of ASD, with severe cases having much lower values than mild to moderate instances. Thus, vitamin D3 deficiency, together with abnormal levels of plasma KCC2 and NKCC1 co-transporters, is strongly related with ASD. This could emphasize the importance of assessing chloride co-transporter biomarkers and vitamin D3 status as a viable new target for lowering ASD severity, along with epilepsy and sleep issues, two common comorbidities.
Epilepsy is spontaneous hypersynchronous brain discharges that can last anywhere from a few seconds to minutes and are caused by an imbalance of excitement and inhibition in the neural circuit. Early-life acute onset seizures may have an underlying cause, such as a genetic brain illness, which affects the excitatory/inhibitory (E/I) balance as a confirmed biochemical feature in ASD, known as glutamate excitotoxicity, which can be reversed to treat ASD [26,27,28].
Epilepsy is believed to result from an imbalance in the electrical activity of the brain. Disrupted Cl− homeostasis is one of the factors that can contribute to the development and occurrence of seizures in epilepsy [29]. It is thought to occur from an imbalance in the electrical activity of the brain. Disrupted Cl− homeostasis is one of the variables that can contribute to the onset and progression of epilepsy [29]. Chloride ions are critical for maintaining the equilibrium of electrical signals in neurons. Under normal conditions, chloride ions are typically maintained at low levels within neurons, resulting in a negative membrane potential. This negative potential serves to regulate neurons’ resting states and prevents overexcitation. Chloride homeostasis is compromised due to poor chloride ion control, as seen in the ASD patients recruited for the present study, in which much higher NKCC1 was observed relative to KCC2. This could facilitate the entry of chloride ions into neurons and induces a GABAergic excitatory or depolarization effect [30]. Changes in transporter levels or functionality contribute to the chloride ion imbalance and epilepsy as comorbidity in ASD patients [30,31].
The much lower KCC2 recorded in the present study can be related to epilepsy as a major comorbidity in ASD individuals. It is well known that increased KCC2 activity reduces intracellular Cl− levels, resulting in a hyperpolarized EGABA relative to the resting membrane potential. This activates inward GABAergic Cl− currents, hyperpolarizing mature neurons [31].
It is well documented that KCC2, a key regulator of inhibitory GABAergic transmission, has been associated to a number of neuropathological illnesses characterized by inhibitory dysfunction, including Huntington’s disease, Rett syndrome, spinal cord injury, autism, and epilepsy [16,32,33,34]. It is well accepted that persistent inflammatory pain epigenetically reduced KCC2 expression by histone deacetylase (HDAC)-mediated histone hypoacetylation, resulting in diminished inhibitory signaling efficacy. Intrathecal injection of KCC2 siRNA in naïve rats lowered KCC2 expression in the spinal cord, resulting in pain sensitization and disrupted inhibitory synaptic transmission as two autistic features [35]. Additionally, KCC2 is a point of convergence for several gene products associated with 96 autism and/or epilepsy (ASD/Epi) risk genes, which may help to coordinate its phosphorylation. As a result, treatments that target KCC2 may be useful in treating autism and related epilepsies that have different genetic causes [36].
Table 1 also demonstrates significantly lower vitamin D3 in ASD patients compared to healthy controls. Vitamin D3 levels were negatively correlated with the severity of ASD symptoms. This is in good agreement with multiple studies which recorded lower vitamin D levels in children with ASD when compared to the healthy control group. Additionally, there was a significant negative correlation between vitamin D levels and the overall scores on the Autism Behavior Checklist (ABC), Childhood Auditing Scale (CARS), SRS, Autism Treatment Evaluation Checklist (ATEC), behavioral energy zone, and the ATEC social energy zone. This suggests that more severe core symptoms of ASD correlate with lower vitamin D levels [37].
Evidence linking vitamin D deficiencies to epilepsy has been well documented, with the anticonvulsant properties of VD3 first reported by Siegel et al. [38]. Their study demonstrated that administering the active form of VD3 elevated hippocampal seizure thresholds in rats. Similarly, research by Kalueff et al. [39] further supported these findings, showing that 1,25-dihydroxyvitamin D exhibited anticonvulsant effects in chemically induced seizures in mice.
Given these findings, investigating the correlation between VD3 and the key neuronal chloride transporters KCC2 and NKCC1—both of which are implicated in impaired GABAergic inhibition in epilepsy—became of particular interest. The observed correlations may be explained by VD3’s role in modulating plasma and brain calcium levels through enhanced intestinal calcium absorption. This, in turn, could reduce neuronal excitability by lowering glutamate activity, thereby decreasing seizure susceptibility. Additionally, the rapid anticonvulsant effects of VD3 may be attributed to its ability to regulate Ca2+ and Cl− currents across neuronal membranes.
Collectively, these findings suggest that vitamin D3 may exert a protective anticonvulsant effect by modulating KCC2/NKCC1 activity, potentially benefiting individuals with autism spectrum disorder (ASD) who are vulnerable to developing epilepsy as a common comorbidity.
Table 2 and Figure 2 demonstrate positive correlation between vitamin D3 and KCC2 and negative correlation with NKCC2. This could help to suggest the role of vitamin D sufficiency in avoiding chloride Cl− imbalance, loss of GABAergic inhibitory action, and glutamate excitotoxicity as common etiology of ASD. This can explain through considering multiple studies, among which is that of Zanello and Norman (1997) [40], that indicate that glutamate and Cl− may pass through the vitamin D3-sensitive outward current and the molecular processes that link the hormone signal to the specific increase in voltage-dependent outward Cl currents in osteoblasts is of critical importance. The increase in outward glutamate and Cl could be related to avoid glutamate excitotoxicity and induce the inhibitory effect of GABA. This could support the positive association of vitamin D3 with KCC2, a chloride co-transporter that maintains the chloride (Cl−) gradient, which is necessary for rapid synaptic GABAergic inhibition in the central nervous system [41].
The role of KCC2 in ASD severity is readily apparent, as severe autistics have a significantly higher AUC of 0.987 than mild–moderate autistics (AUC = 0.888) (Table 3). On the other hand, independent AUC of vitamin D recording weak AUCs of 0.671, 0.652, and 0.723 in all, mild–moderate, and severe autistic participants indicates that vitamin D3 could not be used independently as a biomarker of ASD. This might explain the contradiction on vitamin D as biomarker of autism.
Increased vitamin D combined AUC with KCC2 (0.904) in mild–moderate and the absence of combination with severe may support vitamin D’s role in alleviating chloride ion imbalance, which is associated with poor GABA inhibitory neurotransmission and increased glutamate excitotoxicity (Table 3 and Figure 4 and Figure 5).
Figure 4.
ROC curve and combined ROC for the analyzed parameters of (Mild to moderate group) according to the Control group.
Figure 5.
ROC curve and combined ROC for the analyzed parameters of (Severe group) according to the Control group.
The higher NKCC1 relative to KCC2 recorded in autistic patients compared to the control (9.4 and 2.4, respectively) could be related to sleep disturbance as a comorbidity in ASD. A rise in Cl− levels while awake is linked to inhibitory synaptic transmission in the brain [17]. In sleep-deprived rats, adjusting Cl− levels was enough to improve cognitive performance [17]. Cl-mediated sleep–wake regulation relies heavily on the GABAA receptor’s equilibrium potential [17,42]. In sleep-deprived rats, decreasing the Cl− to hyperpolarizing equilibrium potential of the GABAAR was enough to restore performance levels [17]. These findings suggest that targeting Cl− regulatory pathways could increase treatment benefits in sleep disorders, among which is ASD.
If a predictor variable in a logistic regression model has an odds ratio less than one, it means that a one-unit increase in that variable reduces the probability of the response variable occurring. Based on this, and given that all of the reported odds ratios of KCC2, NKCC1, and vitamin D3 in mild–moderate, and severe autistic patients (Table 4) are less than one, it may help to explain the observed substantial drop in the three variables in the etiology of ASD. Figure 6 demonstrates the suggested mechanism of the role of vitamin D deficiency and/or insufficiency, altered activities of NKCC1 and KCC2, GABA excitatory effect, and glutamate excitotoxicity in epilepsy and sleep disturbance as comorbidities in ASD.
Figure 6.
Diagram showing how vitamin D insufficiency or deficiency, changes in NKCC1 and KCC2, and the excitatory action of GABA may contribute to seizures and sleep disturbance in people with ASD, in comparison to healthy controls.
5. Conclusions
This study shows that KCC1 and NKCC2 chloride co-transporters can be targeted to treat epilepsy and sleep disorders as comorbidities in ASD. Vitamin D insufficiency is linked to both comorbidities; therefore, vitamin D therapy may be useful in reducing epileptic episodes and improving sleep quality in ASD patients, easing the strain on their families.
Author Contributions
Conceptualization, A.E.-A.; methodology, A.A.; software, A.A. and A.B.B.; validation, A.E.-A. and L.Y.A.-A.; investigation, A.A.; resources, L.Y.A.-A. and M.A.; data curation, A.A. and M.A.; writing—original draft preparation, A.E.-A.; writing—review and editing, A.B.B., L.Y.A.-A. and M.A.; supervision, A.B.B., L.Y.A.-A. and A.E.-A.; project administration, L.Y.A.-A.; funding acquisition, L.Y.A.-A. All authors have read and agreed to the published version of the manuscript.
Funding
This work was funded by the National Plan for Science Technology and Innovation (MAARIFAH), King Abdulaziz City for Science and Technology, Kingdom of Saudi Arabia.
Institutional Review Board Statement
This study was prior-approved by the Institutional Review Board and Guidelines of Health Sciences Colleges Research on Human Subjects, (College of Medicine, King Saud University, No. 22/0122/IRB).
Informed Consent Statement
Prior to participation, all participants’ parents or legal guardians approved processing and publishing data by providing an informed consent form.
Data Availability Statement
The data presented in this study are available on request from the corresponding author.
Acknowledgments
The authors wish to acknowledge the National Plan for Science Technology and Innovation (MAARIFAH), King Abdulaziz City for Science and Technology, Kingdom of Saudi Arabia (award number: 08-MED 510-02).
Conflicts of Interest
The authors declare no conflicts of interest.
References
- Lemonnier, E.; Degrez, C.; Phelep, M.; Tyzio, R.; Josse, F.; Grandgeorge, M.; Hadjikhani, N.; Ben-Ari, Y. A randomised controlled trial of bumetanide in the treatment of autism in children. Transl. Psychiatry 2012, 2, e202. [Google Scholar] [CrossRef] [PubMed]
- El-Ansary, A.; Al-Ayadhi, L. GABAergic/glutamatergic imbalance relative to excessive neuroinflammation in autism spectrum disorders. J. Neuroinflamm. 2014, 11, 189. [Google Scholar] [CrossRef]
- Inui, T.; Kumagaya, S.; Myowa-Yamakoshi, M. Neurodevelopmental hypothesis about the etiology of autism spectrum disorders. Front. Hum. Neurosci. 2017, 11, 354. [Google Scholar]
- Zhang, J.; Bhuiyan, M.I.H.; Zhang, T.; Karimy, J.K.; Wu, Z.; Fiesler, V.M.; Zhang, J.; Huang, H.; Hasan, M.N.; Skrzypiec, A.E. Modulation of brain cation-Cl− cotransport via the SPAK kinase inhibitor ZT-1a. Nat. Commun. 2020, 11, 78. [Google Scholar] [PubMed]
- Эль-Aнcapи, A. ГAMK, дeφициты нeйpoтpaнcмиттepa глyтaмaтa пpи ayтизмe и иx нeйтpaлизaция кaк нoвaя гипoтeзa эφφeктивнoй cтpaтeгии лeчeния. Ayтизм Нapyшeния Paзвития 2020, 18, 46–63. [Google Scholar]
- Kahle, K.T.; Staley, K.J.; Nahed, B.V.; Gamba, G.; Hebert, S.C.; Lifton, R.P.; Mount, D.B. Roles of the cation–chloride cotransporters in neurological disease. Nat. Clin. Pract. Neurol. 2008, 4, 490–503. [Google Scholar] [PubMed]
- Ben-Ari, Y. Excitatory actions of gaba during development: The nature of the nurture. Nat. Rev. Neurosci. 2002, 3, 728–739. [Google Scholar] [CrossRef]
- Dargaei, Z.; Bang, J.Y.; Mahadevan, V.; Khademullah, C.S.; Bedard, S.; Parfitt, G.M.; Kim, J.C.; Woodin, M.A. Restoring GABAergic inhibition rescues memory deficits in a Huntington’s disease mouse model. Proc. Natl. Acad. Sci. USA 2018, 115, E1618–E1626. [Google Scholar] [CrossRef]
- Tyzio, R.; Nardou, R.; Ferrari, D.C.; Tsintsadze, T.; Shahrokhi, A.; Eftekhari, S.; Khalilov, I.; Tsintsadze, V.; Brouchoud, C.; Chazal, G. Oxytocin-mediated GABA inhibition during delivery attenuates autism pathogenesis in rodent offspring. Science 2014, 343, 675–679. [Google Scholar]
- Duarte, S.T.; Armstrong, J.; Roche, A.; Ortez, C.; Perez, A.; O’Callaghan, M.d.M.; Pereira, A.; Sanmarti, F.; Ormazabal, A.; Artuch, R. Abnormal expression of cerebrospinal fluid cation chloride cotransporters in patients with Rett syndrome. PLoS ONE 2013, 8, e68851. [Google Scholar]
- Turk, J.; Bax, M.; Williams, C.; Amin, P.; Eriksson, M.; Gillberg, C. Autism spectrum disorder in children with and without epilepsy: Impact on social functioning and communication. Acta Paediatr. 2009, 98, 675–681. [Google Scholar] [PubMed]
- Cuccaro, M.L.; Tuchman, R.F.; Hamilton, K.L.; Wright, H.H.; Abramson, R.K.; Haines, J.L.; Gilbert, J.R.; Pericak-Vance, M. Exploring the relationship between autism spectrum disorder and epilepsy using latent class cluster analysis. J. Autism Dev. Disord. 2012, 42, 1630–1641. [Google Scholar]
- Viscidi, E.W.; Johnson, A.L.; Spence, S.J.; Buka, S.L.; Morrow, E.M.; Triche, E.W. The association between epilepsy and autism symptoms and maladaptive behaviors in children with autism spectrum disorder. Autism 2014, 18, 996–1006. [Google Scholar]
- Richard, A.E.; Scheffer, I.E.; Wilson, S.J. Features of the broader autism phenotype in people with epilepsy support shared mechanisms between epilepsy and autism spectrum disorder. Neurosci. Biobehav. Rev. 2017, 75, 203–233. [Google Scholar]
- Lodovichi, C.; Ratto, G.M. Control of circadian rhythm on cortical excitability and synaptic plasticity. Front. Neural Circuits 2023, 17, 1099598. [Google Scholar]
- Salihu, S.; Azlan, N.F.M.; Josiah, S.S.; Wu, Z.; Wang, Y.; Zhang, J. Role of the cation-chloride-cotransporters in the circadian system. Asian J. Pharm. Sci. 2021, 16, 589–597. [Google Scholar] [PubMed]
- Alfonsa, H.; Burman, R.J.; Brodersen, P.J.; Newey, S.E.; Mahfooz, K.; Yamagata, T.; Panayi, M.C.; Bannerman, D.M.; Vyazovskiy, V.V.; Akerman, C.J. Intracellular chloride regulation mediates local sleep pressure in the cortex. Nat. Neurosci. 2023, 26, 64–78. [Google Scholar]
- Maurer, J.J.; Choi, A.; An, I.; Sathi, N.; Chung, S. Sleep disturbances in autism spectrum disorder: Animal models, neural mechanisms, and therapeutics. Neurobiol. Sleep Circadian Rhythm. 2023, 14, 100095. [Google Scholar]
- Abrams, S.A.; Coss-Bu, J.A.; Tiosano, D. Vitamin D: Effects on childhood health and disease. Nat. Rev. Endocrinol. 2013, 9, 162–170. [Google Scholar]
- Bikle, D.D. Vitamin D: Newer concepts of its metabolism and function at the basic and clinical level. J. Endocr. Soc. 2020, 4, bvz038. [Google Scholar]
- Bouillon, R. Comparative analysis of nutritional guidelines for vitamin D. Nat. Rev. Endocrinol. 2017, 13, 466–479. [Google Scholar] [PubMed]
- Bouillon, R.; Manousaki, D.; Rosen, C.; Trajanoska, K.; Rivadeneira, F.; Richards, J.B. The health effects of vitamin D supplementation: Evidence from human studies. Nat. Rev. Endocrinol. 2022, 18, 96–110. [Google Scholar] [PubMed]
- Teagarden, D.L.; Meador, K.J.; Loring, D.W. Low vitamin D levels are common in patients with epilepsy. Epilepsy Res. 2014, 108, 1352–1356. [Google Scholar]
- Moulton, E.; Bradbury, K.; Barton, M.; Fein, D. Factor analysis of the childhood autism rating scale in a sample of two year olds with an autism spectrum disorder. J. Autism Dev. Disord. 2019, 49, 2733–2746. [Google Scholar]
- Schanding, G.T.; Nowell, K.P.; Goin-Kochel, R.P. Utility of the social communication questionnaire-current and social responsiveness scale as teacher-report screening tools for autism spectrum disorders. J. Autism Dev. Disord. 2012, 42, 1705–1716. [Google Scholar] [PubMed]
- Scharfman, H.E. The neurobiology of epilepsy. Curr. Neurol. Neurosci. Rep. 2007, 7, 348–354. [Google Scholar]
- Kang, S.K.; Kadam, S.D. Neonatal seizures: Impact on neurodevelopmental outcomes. Front. Pediatr. 2015, 3, 101. [Google Scholar]
- Staley, K. Molecular mechanisms of epilepsy. Nat. Neurosci. 2015, 18, 367–372. [Google Scholar]
- Banerjee, P.N.; Filippi, D.; Hauser, W.A. The descriptive epidemiology of epilepsy—A review. Epilepsy Res. 2009, 85, 31–45. [Google Scholar]
- McMoneagle, E.; Zhou, J.; Zhang, S.; Huang, W.; Josiah, S.S.; Ding, K.; Wang, Y.; Zhang, J. Neuronal K+-Cl-cotransporter KCC2 as a promising drug target for epilepsy treatment. Acta Pharmacol. Sin. 2024, 45, 1–22. [Google Scholar]
- Zavalin, K.; Hassan, A.; Zhang, Y.; Khera, Z.; Lagrange, A.H. Region and layer-specific expression of GABAA receptor isoforms and KCC2 in developing cortex. Front. Cell. Neurosci. 2024, 18, 1390742. [Google Scholar]
- Huberfeld, G.; Wittner, L.; Clemenceau, S.; Baulac, M.; Kaila, K.; Miles, R.; Rivera, C. Perturbed chloride homeostasis and GABAergic signaling in human temporal lobe epilepsy. J. Neurosci. 2007, 27, 9866–9873. [Google Scholar] [CrossRef]
- Lam, P.; Newland, J.; Faull, R.L.; Kwakowsky, A. Cation-chloride cotransporters KCC2 and NKCC1 as therapeutic targets in neurological and neuropsychiatric disorders. Molecules 2023, 28, 1344. [Google Scholar] [CrossRef] [PubMed]
- Andrews, K.; Josiah, S.S.; Zhang, J. The therapeutic potential of neuronal K-Cl Co-transporter KCC2 in Huntington’s disease and its comorbidities. Int. J. Mol. Sci. 2020, 21, 9142. [Google Scholar] [CrossRef]
- Lin, C.R.; Cheng, J.K.; Wu, C.H.; Chen, K.H.; Liu, C.K. Epigenetic suppression of potassium-chloride co-transporter 2 expression in inflammatory pain induced by complete Freund’s adjuvant (CFA). Eur. J. Pain. 2017, 21, 309–321. [Google Scholar] [CrossRef] [PubMed]
- Smalley, J.L.; Kontou, G.; Choi, C.; Ren, Q.; Albrecht, D.; Abiraman, K.; Santos, M.A.R.; Bope, C.E.; Deeb, T.Z.; Davies, P.A.; et al. The K-Cl co-transporter 2 is a point of convergence for multiple autism spectrum disorder and epilepsy risk gene products. bioRxiv 2020. Available online: https://api.semanticscholar.org/CorpusID:213170871 (accessed on 6 December 2024).
- Palma, E.; Amici, M.; Sobrero, F.; Spinelli, G.; Di Angelantonio, S.; Ragozzino, D.; Mascia, A.; Scoppetta, C.; Esposito, V.; Miledi, R. Anomalous levels of Cl− transporters in the hippocampal subiculum from temporal lobe epilepsy patients make GABA excitatory. Proc. Natl. Acad. Sci. USA 2006, 103, 8465–8468. [Google Scholar]
- Siegel, A.; Malkowitz, L.; Moskovits, M.J.; Christakos, S. Administration of 1,25-dihydroxyvitamin D3 results in the elevation of hippocampal seizure threshold levels in rats. Brain Res. 1984, 298, 125–129. [Google Scholar] [CrossRef]
- Kalueff, A.V.; Minasyan, A.; Tuohimaa, P. Anticonvulsant effects of 1,25-dihydroxyvitamin D in chemically induced seizures in mice. Brain Res. Bull. 2005, 67, 156–160. [Google Scholar] [CrossRef] [PubMed]
- Zanello, L.P.; Norman, A.W. Stimulation by 1α, 25 (OH) 2-vitamin D3 of whole cell chloride currents in osteoblastic ROS 17/2.8 cells: A structure-function study. J. Biol. Chem. 1997, 272, 22617–22622. [Google Scholar]
- Pressey, J.C.; Mahadevan, V.; Woodin, M.A. KCC2 is a hub protein that balances excitation and inhibition. In Neuronal Chloride Transporters in Health and Disease; Elsevier: Amsterdam, The Netherlands, 2020; pp. 159–179. [Google Scholar]
- Sørensen, A.T.; Ledri, M.; Melis, M.; Ledri, L.N.; Andersson, M.; Kokaia, M. Altered chloride homeostasis decreases the action potential threshold and increases hyperexcitability in hippocampal neurons. eNeuro 2017, 4, e0172-17. [Google Scholar]
Disclaimer/Publisher’s Note: The statements, opinions and data contained in all publications are solely those of the individual author(s) and contributor(s) and not of MDPI and/or the editor(s). MDPI and/or the editor(s) disclaim responsibility for any injury to people or property resulting from any ideas, methods, instructions or products referred to in the content. |
© 2025 by the authors. Published by MDPI on behalf of the Swiss Federation of Clinical Neuro-Societies. Licensee MDPI, Basel, Switzerland. This article is an open access article distributed under the terms and conditions of the Creative Commons Attribution (CC BY) license (https://creativecommons.org/licenses/by/4.0/).





