Abstract
Metal additive manufacturing (MAM) has advanced significantly, yet accurately predicting clad characteristics from processing parameters remains challenging due to process complexity and data scarcity. This study introduces a novel hybrid machine learning (ML) framework that integrates validated multi-physics computational fluid dynamics simulations with experimental data, enabling prediction of clad characteristics unattainable through conventional methods alone. Our approach uniquely incorporates physics-aware features, such as volumetric energy density and linear mass density, enhancing process understanding and model transferability. We comprehensively benchmark ML models across traditional, ensemble, and neural network categories, analyzing their computational complexity through Big O notation and evaluating both classification and regression performance in predicting clad geometries and process maps. The framework demonstrates superior prediction accuracy with sub-second inference latency, overcoming limitations of purely experimental or simulation-based methods. The trained models generate processing maps with 0.95 AUC (Area Under Curve) accuracy that directly guide MAM parameter selection, bridging the gap between theoretical modeling and practical process control. By integrating physics-based simulations with ML techniques and physics-aware features, our approach achieves an R2 of 0.985 for clad geometry prediction and improved generalization over traditional methods, establishing a new standard for MAM process modeling. This research advances both theoretical understanding and practical implementation of MAM processes through a comprehensive, physics-aware machine learning approach.
1. Introduction
Metal additive manufacturing (MAM) is a critical and promising technology for producing high-performance parts in the aerospace, automotive, and medical industries. Direct energy deposition (DED) as shown in Figure 1, is a specific MAM technique enabling free-form fabrication, remanufacturing, and modification of industrial parts by depositing materials layer by layer. This process allows for the creation of heterogeneous metal parts in various sizes with customizable properties [1,2,3]. High-powered energy sources, like electron beams or lasers, create a melt pool where powder or wire feedstock is added to build the clad. Despite its flexibility, rapid printing process, and ability to produce large-scale parts, DED faces challenges in achieving optimal production speed, scale, and quality [4,5,6]. Ensuring high-quality parts necessitates the regulation of geometric characteristics during manufacturing, management of variables upstream and downstream of the process, and control of factors such as material properties, machine settings, and environmental conditions [7]. Only by properly controlling these variables can consistent, high-quality parts be produced using DED technology [8,9,10,11].
Figure 1.
Schematic of the DED process and the clad characteristics.
Analytical or numerical modeling is widely used to investigate printed clad characteristics and establish optimal processing windows [12,13,14,15]. For example, Fathi et al. [16] developed a mathematical model to predict the melt pool depth and dilution in laser powder deposition, while Birnbaum et al. [17] used numerical modeling to predict the geometrical characteristics of specimens printed by powder-jet laser additive manufacturing. Wang et al. [18] reported a multi-physics model employing the Finite Volume Method (FVM) to study the effects of physical phenomena in the DED process on the geometry of the printed clad. Empirical–statistical models have also been successfully implemented to explore the relationship between processing parameters and target properties in prints [19,20,21,22,23].
In recent years, due to the complexity of modeling MAM processes, there has been a shift from relying solely on physics-based methods to adopting a hybrid approach that combines physics-based and data-driven models [5]. Machine learning (ML) models, trained with reliable data, offer a cost-effective alternative for advanced manufacturing [24,25,26,27]. These ML algorithms, coupled with large datasets, enhance our understanding of AM intricacies and optimize processing parameters to achieve desired print quality. Recent studies have demonstrated the potential of ML models in various AM applications. For instance, Mehrpouya et al. [28] developed a successful artificial neural network model to optimize laser parameters. Other studies have proposed ML algorithms to predict and control print defects [29,30,31,32,33] and improve the geometrical properties of the melt pool, aiming to enhance the quality of built specimens [34,35,36,37,38]. Additionally, a limited number of studies have effectively showcased the potential of machine learning in modeling multi-layer multi-bead additive manufacturing processes [39,40,41].
However, developing ML models faces challenges, including data scarcity and variability due to expensive experiments and the existence of various AM machines. To address this, hybrid ML modeling approaches have been proposed, incorporating physics-based models to generate and augment preliminary training data [42,43,44,45]. For instance, Ren et al. utilized a finite element model to simulate the thermal field and build a large thermal history dataset for training their ML algorithm [46]. Mohajernia et al. [47] employed a multi-physics finite element model calibrated with experimental data to generate a reliable dataset for ML training and testing. Another approach involves incorporating physics-based models to produce more data and enhance predictions by integrating physics knowledge within the model’s loss function [48,49].
To bridge the knowledge gap and overcome challenges in predicting various characteristics of MAM-printed clads, this study introduces an innovative hybrid machine learning framework that uniquely integrates physics-aware features with a comprehensive benchmarking of traditional, ensemble, and neural network models. The proposed workflow leverages an experimentally calibrated multi-physics computational fluid dynamics (CFD) model in conjunction with real-world experimental data, resulting in a rich and diverse training dataset for ML models. The CFD model serves as a simulation tool that accurately captures the dynamics of the DED process, generating valuable information on clad characteristics, which would be prohibitively expensive or impractical to obtain through experiments alone. This simulated data, combined with experimental data, creates a large dataset encompassing a wide range of scenarios and variations. By incorporating both simulated and real-world data, we ensure a robust and representative training set for the ML models. These models optimize processing parameters and provide accurate predictions of clad geometry through systematic evaluation of various ML architectures, including traditional regression models, ensemble methods, and deep neural networks. Through rigorous analysis of the training data, the models identify patterns and relationships leading to improved predictions, achieving an R2 of 0.985 for clad geometry prediction and 0.95 AUC accuracy in processing map generation. The significance of this work lies in its novel integration of physics-aware features with ML techniques, comprehensive benchmarking of model architectures, and the development of a hybrid data acquisition approach that enables accurate process modeling even in scenarios where experimental data collection is constrained. This approach represents a substantial advancement over traditional physics modeling techniques, enhancing generalization and accuracy by leveraging both physics-based simulations and data-driven techniques in a unified framework.
2. Methodology
In this study, Figure 2 illustrates the proposed machine learning framework, detailing its key components: the dataset and its features, the hybrid data production method, the trained and tested ML models, and the framework’s output. The framework is designed to effectively bridge physics-based modeling and data-driven approaches in metal additive manufacturing.
Figure 2.
Hybrid data, ML models, and task implementation in our framework.
The section begins by detailing our hybrid data acquisition approach, which combines experimental measurements with validated computational fluid dynamics (CFD) simulations. The CFD model, governed by conservation equations and specific boundary conditions, enables comprehensive modeling of the direct energy deposition process dynamics.
The framework’s feature engineering strategy incorporates both machine setting parameters and physics-aware features derived from fundamental process understanding. These features undergo systematic preprocessing to ensure data quality and model performance. The preprocessing pipeline and evaluation metrics are carefully selected to address the specific challenges of clad geometry prediction and process map generation.
Finally, the section presents a comprehensive benchmark of machine learning models, encompassing traditional, ensemble, and neural network architectures. Each model undergoes rigorous hyperparameter optimization using randomized search to ensure optimal performance while maintaining computational efficiency. This systematic approach enables objective comparison of different modeling strategies and identification of the most effective approaches for metal additive manufacturing process prediction.
2.1. Hybrid Data Acquisition
Machine learning (ML) models are powerful tools for predicting the performance of additive manufacturing (AM) processes. However, their accuracy heavily relies on the quality and quantity of available data. Metal additive manufacturing is a complex process, making it challenging and expensive to gather large experimental datasets across a wide range of processing parameters. To address this, we developed a hybrid modeling approach that leverages the strengths of ML models while mitigating data scarcity issues.
To this end, we employed a calibrated computational fluid dynamics (CFD) model as a supplementary tool to generate crucial data across a broad processing window. By integrating CFD-generated data with experimental data, we created a comprehensive database for our ML framework. This hybrid approach enabled us to model the AM process at scale, providing precise and reliable predictions.
Our dataset comprises 325 data points, including 90 single clad data points collected from experimental studies [50], and 235 data points generated by the CFD model across a wide processing window. Each data point contains processing parameters and associated clad features, such as width, depth, height, and quality labels. The distributions of the targeted clad features in our dataset are illustrated in Figure 3.
Figure 3.
Distribution of clad features in our dataset, (a) “width” distribution, (b) “height” distribution, (c) “depth” distribution, (d) occurrence of clad quality labels.
2.2. Computational Fluid Dynamics
Direct energy deposition (DED) simulation was conducted using a 2D symmetric CFD model developed with COMSOL Multiphysics 5.3 (COMSOL, Burlington, MA, USA). This model simulates the melt pool formation and clad geometry by solving differential equations for energy, mass, and momentum conservation. It includes natural convection and the Marangoni effect, with temperature-dependent thermal properties of 316 stainless steel, such as conductivity, viscosity, and specific heat. A phase change interface with modified dynamic viscosity was also incorporated. The clad generation is simulated using a deformed geometry function through a moving mesh velocity. The laser heat source has a 2D Gaussian intensity distribution, and the interaction time, dependent on laser velocity and radius, accounts for the moving heat source effect. The CFD model uses quadrilateral elements with a 13 mesh size for the melt pool domain and 100 near the fixed temperature boundaries. Input parameters for different iterations were based on existing experimental data.
2.2.1. Conservation Equations
Melt pool flow is governed by mass, momentum, and energy conservation. The continuity equation (Equation (1)) assumes incompressibility [51,52]. Solidification effects are modeled using Murray et al.’s method [53], which assigns temperature-dependent dynamic viscosity as shown in Equation (2). Solidus state is represented by a high viscosity () to restrict fluid flow. Buoyancy effects are modeled using the Boussinesq approximation [51], where thermal expansion is considered small and temperature-dependent buoyancy force is described in Equation (4). The Marangoni effect, driven by surface tension variations with temperature, is implemented as a boundary condition as shown in Figure 4.
Figure 4.
Diagram of boundary conditions.
The energy equation calculates the temperature distribution in the substrate during DED. Energy inputs include laser energy, conduction, convection, and radiation, with phase-change effects incorporated using modified thermal properties (Equations (6) and (7)). The momentum equation (Equation (5)) is coupled with heat convection driven by buoyancy and surface tension differences.
Thermal properties vary with temperature, as described by piecewise functions below the solidus temperature (), within the mushy zone, and above the liquidus temperature () based on NIST data [54]. Latent heat of fusion () is included between solidus and liquidus phases, modifying specific heat (Equation (7)).
Interaction time () includes the moving heat source effect, depending on laser beam diameter () and travel speed () (Equation (8)). Laser intensity values from DED experiments [55] account for laser attenuation due to powder interactions. Powder particles are assumed to enter the melt pool in a molten state, with phase growth modeled using a moving mesh and an arbitrary Lagrangian–Eulerian (ALE) method.
Clad velocity is calculated based on powder mass inflow rate, powder efficiency (), mass-inflow rate (), density (), and powder stream radius () (Equation (9)). Clad growth occurs only above the liquidus temperature (), and mesh velocity is modified with an exponential term (Equation (10)). The model is 2D symmetric, applying moving mesh velocity to the top and left boundary within the molten fluid region.
2.2.2. Boundary Conditions
No-slip condition was applied to the walls of domain 1, with a slip condition and Marangoni boundary condition for the top boundary of domain 2. Thermal analysis used a stationary laser heat flux in a Gaussian function (Equation (12)) as the energy input (). Convective and radiative losses from the top of domains 1 and 2 were considered (Equations (12) and (13)). The bottom and right boundaries were fixed at ambient temperature using a calorimeter [55].
where denotes the convection coefficient, and is emissivity.
2.2.3. Model Results and Validation
Our developed model was rigorously validated against experimental results to assess its predictive accuracy. Specifically, predictions of clad geometry and temperature distribution were quantitatively compared with experimental measurements [50]. The largest observed error in clad height prediction was 26.26% under conditions of global energy density (GED) = 34.12 J/mm2 and linear mass density (λm) = 7.08 g/m, while the smallest error was 3.72% under GED = 102.36 J/mm2 and λm = 16.53 g/m, resulting in an average prediction error of 8.89%. These results demonstrate the model’s capability to predict clad geometry with high accuracy, within an acceptable margin of error.
The higher error observed at lower GED values is attributed to dynamic interferences caused by the sprayed metallic powders. These interferences affect the actual laser energy reaching the melt pool, subsequently influencing clad formation. Nonetheless, with an average error below 10%, the model proves to be robust and reliable for analytical purposes. Furthermore, experimental validation confirmed that the predicted maximum temperature range (3000 K to 4000 K, as GED increased from 34.12 to 102.36 J/mm2).
In addition, the model-predicted data for clad height and dilution closely align with experimental measurements, as illustrated in Figure 5. Minor deviations observed can be attributed to simplifying assumptions inherent in the modeling process, such as the exclusion of detailed interactions of preheated and cooling powder particles, laser attenuation effects, and localized phase change phenomena. Despite these simplifications, the model demonstrates strong predictive accuracy, offering valuable insights into the DED process.
Figure 5.
Comparison of experimental and modeling results: (a) comparison of clad height from experiment and modeling results; (b) comparison of dilution from experiment and modeling results.
2.3. Feature Engineering
Feature engineering involves creating and defining suitable dataset features for ML models in regression and classification tasks. In metal additive manufacturing, single clad characteristics form the fundamental building blocks for multi-layer, multi-track structures. Therefore, accurate prediction of single clad properties through appropriate feature selection is crucial for ensuring overall part quality and process optimization. Given the complexity of AM process physics, selecting statistically significant features at the single clad level enables better understanding of process–property relationships and facilitates more accurate predictions for larger structures. We selected two complementary feature types: machine setting features, directly controlled by the equipment operator, and physics-aware features that capture detailed information about the AM process physics. This dual approach aims to achieve higher accuracy and robustness in predictions while enabling better generalization across different AM systems [33,35]. The following sections detail these features.
2.3.1. Machine Setting Features
In metal additive manufacturing, melt pool properties are closely linked to features defined and controlled through the machine and experimental process. The dataset includes two primary process parameters: laser power and laser scanning velocity . These baseline machine setting features were defined and controlled in both experiments and CFD modeling.
2.3.2. Physics-Aware Features
Using only machine setting features often fails to capture the intricate relationship between AM process physics and target variables, resulting in less accurate predictions [33,49]. Moreover, machine setting features are specific to the AM machine used, which can limit their applicability across different studies [48]. To overcome this limitation, we introduced “physics-aware” features as additional inputs for the machine learning models. These features, derived from experimental and computational data, provide deeper insights into AM process physics and improve the generalizability of the models. This “physics-informed” ML modeling approach enhances the prediction of melt pool and clad properties in additive manufacturing [35]. In our study, volumetric energy density and linear mass density were selected as physics-aware features.
Volumetric energy density is critical for understanding and controlling potential defects in the cladding process. Low laser power and fast laser scanning speed can result in insufficient energy input, forming an improper molten pool and causing defects. Volumetric energy density () is expressed as [56,57]
where is laser power, is laser scanning speed, and is laser beam radius. This represents the energy provided per unit volume of deposited material.
Linear mass density is essential for producing repeatable structures with minimal defects, such as porosity. High linear mass density with a high powder feed rate increases the contact angle of the deposited clad, leading to undesirable clad geometry and higher porosity [58]. Linear mass density (), the ratio of powder feed rate to laser travel speed, is expressed as
where is the powder mass flow rate and is the laser travel speed. This represents the maximum powder mass deposited per unit length of laser travel. Table 1 summarizes the parameters used, along with their lower and upper bounds.
Table 1.
Features utilized in the ML models.
2.3.3. Feature Distribution
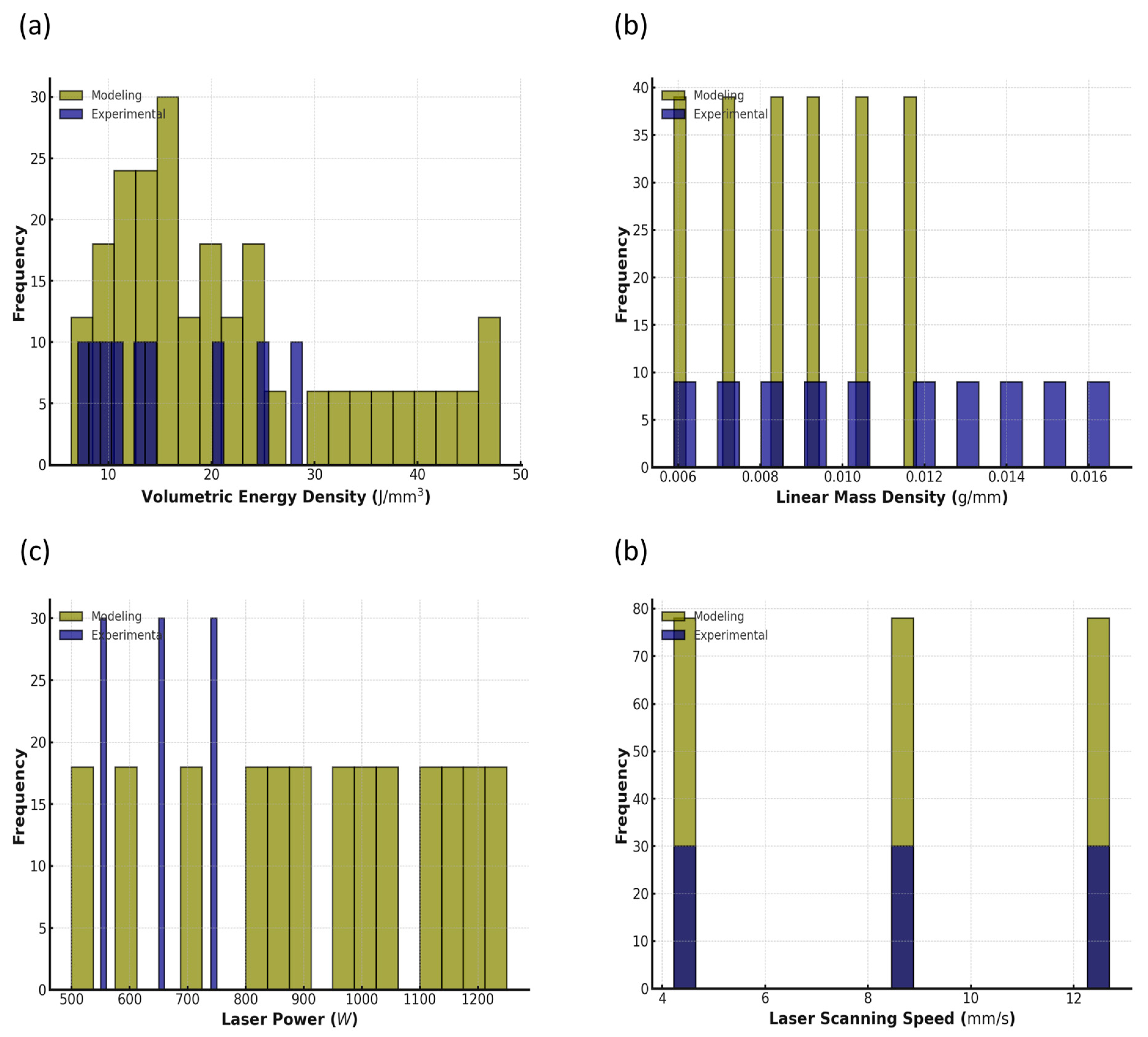
To ensure the robustness and reliability of the machine learning models developed in this study, a comprehensive feature distribution analysis was conducted to compare the experimental and simulated datasets. This analysis focused on key process parameters: laser power and laser scanning velocity , volumetric energy density and linear mass density . The distribution of these features for both experimental and CFD-modeled data is illustrated in Figure 6.
Figure 6.
Feature distribution comparison between modeling and experimental datasets for key process parameters i.e., (a) volumetric energy density , (b) linear mass density , (c) laser power (), (d) laser scanning speed .
Consistency Across Parameter Space: the histograms demonstrate a substantial overlap between the experimental and simulated datasets across all examined features:
- Laser Power and Laser Scanning Speed exhibit strong alignment between the two datasets, ensuring that both subsets comprehensively cover a similar range of energy input and processing speeds.
- Linear Mass Density and Volumetric Energy Density distributions similarly show significant overlap, confirming that the key physical parameters influencing the DED process are consistently represented in both data sources.
This overlap indicates statistical consistency between the experimental and synthetic data, validating the integration of both datasets for model training.
Extended Parameter Ranges in CFD Modeling: one advantage of utilizing the CFD-generated data is the ability to explore parameter ranges beyond the practical limitations of experimental setups. Experimental work is often constrained by factors such as machine capabilities, material properties, and process safety. In contrast, the validated CFD model, calibrated against experimental data, enables the exploration of broader process conditions, particularly at higher laser powers and energy densities. This extended parameter coverage enriches the dataset and supports the model’s ability to generalize across diverse manufacturing scenarios.
Bias Mitigation: combining experimental and synthetic data mitigates the risk of bias in model training. The hybrid dataset effectively spans the intended parameter space, with the CFD-modeled data enhancing statistical diversity while complementing the experimental observations. This balanced representation across both data sources enables the development of models that are robust and capable of generalizing to new and unseen manufacturing conditions.
2.4. Data Preprocessing and Metrics
Due to the heterogeneity and varying ranges of input features, we applied min–max normalization to our dataset, as defined in Equation (16).
To evaluate model performance, we used different metrics for each task and split the dataset into training and testing subsets. Table 2 summarizes the metrics and splitting pattern used for each dataset and task.
Table 2.
Dataset details including tasks, splitting methods, and metrics.
Verifying ML model performance on unseen data is critical. We split the dataset into training (80%) and testing (20%) subsets [34], and employed k-fold cross-validation, randomly shuffling the dataset and evaluating the average accuracy over iterations [59]. For regression tasks (predicting melt pool and clad geometry), we used mean absolute error (MAE) and the coefficient of determination. For classification tasks (predicting the process map), we used accuracy and the area under the receiver operating characteristic curve (AUC–ROC).
2.5. Benchmark of Models
In our comprehensive benchmark, we integrated, fine-tuned, and evaluated a wide range of machine learning models, categorizing them into three main groups: traditional machine learning, ensemble models, and deep learning models. This categorization allows for a more generalized structure and provides a clearer overview of the diverse approaches employed in our study.
Traditional machine learning models form the foundation of our benchmark. This category includes linear models, such as Polynomial, Lasso, and Ridge regression, which are effective for capturing linear and polynomial relationships in the data. We also employed probabilistic models, like Gaussian Naïve Bayes and logistic regression, which are particularly useful for classification tasks. Support Vector Machines (SVM) and Gaussian Process (GP) models, known for their versatility in both regression and classification, were also included in this category. These models offer a balance between interpretability and predictive power, making them valuable tools in our analysis.
Ensemble models constitute the second category in our benchmark. These models combine multiple learners to create more robust and accurate predictions. We implemented Random Forest, which aggregates multiple decision trees to improve generalization and reduce overfitting. Gradient Boosting and AdaBoost models were also employed, leveraging their ability to iteratively improve predictions by focusing on misclassified samples. These ensemble methods have proven effective in handling complex relationships in data and are particularly useful for large datasets.
The third category in our benchmark is that of deep learning models, represented by Neural Networks. These models, capable of learning complex non-linear relationships, were applied to both regression and classification tasks. Neural networks’ ability to automatically extract features and their scalability to large datasets make them a powerful tool in our machine learning framework.
Each model category was evaluated for both regression tasks (predicting clad geometry features, such as width, height, and depth) and classification tasks (determining clad quality). This comprehensive approach allowed us to assess the strengths and weaknesses of each model type across different problem domains within the context of metal additive manufacturing. By structuring our benchmark in this manner, we aim to provide a clear and concise overview of the diverse machine learning approaches employed in our study. This categorization not only simplifies the presentation of our methodology but also facilitates a more meaningful comparison of model performance across different types of machine learning algorithms.
2.6. Hyperparameter Optimization
Optimizing hyperparameters is crucial for developing accurate and efficient machine learning models. In this study, we employed Randomized Search, a sophisticated method for hyperparameter tuning that offers several advantages over traditional grid search techniques.
Randomized Search, introduced by [60] is an efficient approach to hyperparameter optimization that randomly samples configurations from the hyperparameter space. Unlike grid search, which exhaustively evaluates all combinations of predefined parameter values, Randomized Search can explore a larger and more diverse set of configurations within a given computational budget. This method’s key advantages include efficient handling of high-dimensional parameter spaces, robustness against local optima, and ability to provide effective results with relatively few iterations, making it particularly suitable for optimizing our diverse set of models.
In our implementation, we applied Randomized Search across conventional machine learning, ensemble, and deep learning models, defining hyperparameter spaces based on domain knowledge and best practices. The optimization process involved random sampling of configurations, with the objective function varying by task type: mean squared error minimization for regression and accuracy maximization for classification. To ensure fair comparison and robust results, we maintained a fixed number of iterations for each model, balancing exploration of the hyperparameter space with computational efficiency. This standardized approach enabled efficient identification of near-optimal configurations across our diverse set of algorithms, enhancing the overall performance of our machine learning framework in predicting clad characteristics for metal additive manufacturing.
3. Results
This section presents the outcomes of the benchmarked models within the proposed framework for two primary tasks: predicting the geometry of single clads and determining the optimal process map. Various metrics were used to assess model performance, and the most effective models for each task were identified. Detailed results and analysis are provided in the following sections.
3.1. Clad Geometry Prediction
Eleven machine learning (ML) models were developed to predict clad geometrical features, including depth, width, and height. The models evaluated can be categorized as follows:
- -
- Traditional Models: Support Vector Machine, Gaussian Process, K-nearest Neighbors, Polynomial Regression, Ridge Regression, and Lasso Regression
- -
- Ensemble Models: Gradient Boosting, Random Forest, Decision Tree, and AdaBoost
- -
- Deep Learning: Neural Network
Their performance was assessed using the coefficient of determination and mean absolute error (MAE ). Input features were selected from machine and physics-aware categories, as listed in Table 1, with hyperparameter optimization performed for each model to ensure optimal performance.
Across all three geometric predictions (width, height, and depth), the gradient boosting model consistently demonstrated superior performance, as shown in Figure 7a–d. For clad width prediction, it achieved an accuracy of 0.985 and an MAE of 24.41 μm. In clad height prediction, it attained an accuracy of 0.964 and an MAE of 8.73 μm while, for clad depth prediction, it reached an accuracy of 0.981 and an MAE of 19.96 μm. The gradient boosting model’s exceptional performance can be attributed to its unique ability to handle the inherent complexity of clad geometry formation. Unlike neural networks, which may require larger datasets for optimal performance, or traditional models, which might oversimplify relationships, gradient boosting’s sequential tree-building process effectively captures both linear and non-linear relationships in the AM process while being robust to outliers. Additionally, its ensemble nature allows it to adapt to the varying significance of different physics-aware features across different geometric predictions.
Figure 7.
Benchmark performance comparison for predicting geometrical characteristics of the single clad: (a,b) width prediction accuracy and MAE results, (c,d) height prediction accuracy and MAE results, (e,f) depth prediction accuracy and MAE results.
Figure 8 compares predicted and actual clad geometry values during testing, showcasing the gradient boosting model’s performance for each attribute. An value of 1 indicates a perfect fit, with all data points lying on the diagonal line . The fits demonstrate the model’s high accuracy in predicting actual geometries.
Figure 8.
Predicted clad geometry plotted against the actual ground truth geometry values: (a) width prediction using ‘Gradient Boosting’, (b) height prediction using ‘Gradient Boosting’, (c) depth prediction using ‘Gradient Boosting’.
Figure 9 shows printability maps with contours indicating predicted geometry in relation to machine setting features, specifically laser power () and laser scanning velocity (). The points inside the contour represent the test set machine features, while the colored areas indicate predicted geometry values.
Figure 9.
Printability maps constructed by the ML regression models on the test dataset, showing the effect of laser power and laser scanning velocity on single clad geometry features: (a) predicted width using Gradient Boosting Regression, (b) predicted height using Gradient Boosting Regression, (c) predicted depth using Gradient Boosting Regression.
3.2. Process Map Prediction
In metal additive manufacturing, clad quality depends heavily on machine parameters and process physics, such as porosity levels and cellular substructure distribution. Understanding how these parameters affect clad quality is essential for achieving desired outcomes. Machine learning models provide a data-driven approach to predict clad quality and guide the selection of optimal processing parameters.
In this study, dilution was used as a measurable feature to label the dataset for our ML framework [61]. Dilution was chosen because it effectively captures critical aspects of the DED process, including melt pool geometry, material mixing, and thermal input, making it a suitable indicator for clad geometry and quality. Moreover, the focus of our experimental and modeling study has been on 316L stainless steel. This alloy was chosen due to its widespread application in additive manufacturing and its well-characterized behavior in DED processes.
While dilution serves as a strong indicator of the interaction between the deposited material and the substrate, it is worth mentioning that other factors—such as microstructures, porosity, and residual stresses—also contribute to overall clad quality. However, this study primarily focuses on clad geometry as a fundamental quality factor and consecutively dilution is the primary feature indicator for this purpose.
By using dilution as a labeling metric, we created a comprehensive dataset that effectively captures the relationship between processing parameters and clad quality. This dataset enabled the development of ML models capable of accurately predicting clad quality under various conditions, facilitating the creation of an optimal process map. This approach improves the accuracy and reliability of the ML models, enhancing the efficiency and cost-effectiveness of the AM process while laying the foundation for future investigations into more comprehensive quality metrics.
To this end, dilution is defined as follows [20,62]:
Dilution ranges from 0 to 1 and is a critical indicator of AM process quality. Low dilution values (e.g., 0.10) indicate minimal fusion between the melted powder and substrate, resulting in poor structural integrity. High dilution values (e.g., 0.5) indicate excessive heat input, leading to defects like keyhole porosity. A dilution value of 1 means that only the substrate is melted, with no clad being printed, indicating powder evaporation and mass flow issues [61,62,63]. The wetting angle of a single track, correlated with dilution, is also important for clad quality, with better dilution and smoother track surfaces occurring at values greater than 130. Optimal dilution is between 20% and 50%, ensuring high-density clads with minimal defects such as porosity [61]. Incorporating optimal dilution criteria in our ML framework enabled us to label data points as desirable (20% Dilution 50%) or undesirable (Dilution 20% or Dilution 50%). This labeling facilitated the training of precise prediction models for clad quality and optimal process maps, leading to high-quality AM parts with improved structural integrity.
We developed, trained, and tested ten ML models to classify clads as desirable or undesirable. These models can be categorized as follows:
- -
- Traditional Models: K-Nearest Neighbors Classifier, Gaussian Process Classifier, Logistic Regression, Gaussian Naïve Bayes, Support Vector Classifier
- -
- Ensemble Models: Gradient Boosting Classifier, AdaBoost Classifier, Random Forest Classifier, Decision Tree Classifier
- -
- Deep Learning: Neural Network Classifier (Multilayer Perceptron)
Input features were selected from machine and physics-aware categories listed in Table 1, with hyperparameter optimization ensuring optimal performance. Model performance was evaluated using accuracy and Receiver Operating Characteristic (ROC) metrics, with ROC curves plotted to compare false positive and true positive rates, and the area under the curve (AUC) calculated to determine performance. Accuracy and AUC-ROC results are shown in Figure 10a,b, and the ROC curves are presented in Figure 11.
Figure 10.
Benchmark performance comparison for predicting the class of the clad and process map: (a) accuracy results, (b) AUC-ROC results.
Figure 11.
ROC curves of the ML classifiers in predicting the class of the clad and process map.
The neural network classifier demonstrated superior performance, with an accuracy of 0.929 and an AUC of 0.95. This superior performance in classification, contrasting with the regression tasks where gradient boosting excelled, can be attributed to the neural network’s inherent ability to learn complex decision boundaries. Unlike regression tasks that require precise value predictions, classification in this context involves identifying distinct patterns that separate desirable from undesirable clads. The neural network’s hierarchical feature learning and non-linear activation functions are particularly well-suited for capturing these categorical distinctions, enabling more effective boundary learning in the high-dimensional feature space of clad quality parameters.
Visualizing classifier decision boundaries enables a comprehensive evaluation of their effectiveness in delineating the testing dataset and generating a predictive process map. In Figure 12a, we illustrate the estimated decision boundaries for the neural network classifier concerning the independent variables of power and velocity in the testing dataset. Blue areas indicate the desired process windows with a high likelihood of yielding a desired clad shape, while red areas indicate unwanted process windows. Furthermore, we use a confusion matrix to visually assess the neural network classifier’s performance in assigning labels to observations. The confusion matrix, displayed in Figure 12b, shows the relationship between predicted and actual classifications, where class-0 represents the desired clad and class-1 corresponds to the unwanted clad.
Figure 12.
(a) Printability maps (classification boundaries) of our testing dataset based on laser power and laser scanning velocity for printing a single clad with desirable (20% Dilution ) or undesirable (Dilution 20% or Dilution 50%) quality for neural network model. (b) Confusion matrix for clad classification based on neural network prediction.
4. Discussion
4.1. Feature Importance Analysis
To evaluate the relative contributions of key features i.e., laser power, scanning speed, volumetric energy density, and linear mass density, to the performance of the developed models, a permutation feature importance analysis was conducted. This method quantifies the importance of each feature by measuring the mean decrease in model accuracy when the feature’s values are randomly shuffled. This approach provides a direct and interpretable assessment of feature relevance in predicting the target variables.
Regression tasks: the regression models were tasked with predicting clad geometry, specifically height, width, and depth. Illustrated in Figure 13a–c are the following:
Figure 13.
Feature importance analysis. (a) Feature importance for clad height prediction (b) Feature importance for clad width prediction (c) Feature importance for clad depth prediction (d) Feature importance for clad quality classification.
- Volumetric energy density and linear mass density consistently emerged as the most influential features across all regression targets.
- The strong contributions of these physics-aware features highlight their critical role in governing clad geometry, reaffirming their significance in the DED process.
Classification task: for the classification task, which aimed to predict the desirability of clad quality, the analysis results are presented in Figure 13d. The findings demonstrated the following:
- The continued importance of volumetric energy density and linear mass density, alongside laser power and scanning speed, in determining clad quality.
- These features collectively provided robust predictive capability, enabling accurate classification of clad quality under varying process conditions.
Implications of Feature Importance: the feature importance analysis underscores the relevance of the selected physics-aware features in modeling the DED process. Volumetric energy density and linear mass density played pivotal roles in both regression and classification tasks, reflecting their direct influence on clad geometry and clad quality. Additionally, the importance of laser power and scanning speed in the classification task emphasizes the significance of machine parameters in influencing process outcomes.
This analysis not only validates the systematic selection of features but also reinforces the effectiveness of the proposed framework in capturing the critical physical and machine-specific dynamics of the DED process.
4.2. Computational and Runtime Complexities
Among the benchmarked models for clad geometry prediction, ensemble learning methods demonstrated superior performance, with gradient boosting achieving the highest accuracy across all geometric features, followed closely by Random Forest. The neural network model, representing the deep learning category, also provided highly reliable predictions despite slightly lower accuracy. These models proved to be scalable and robust, making them suitable for expanding and evolving datasets.
In addition to accuracy, time complexity is a critical factor when selecting models for different applications, especially in comprehensive frameworks for big-data analysis and predictions. The Big O notation describes the time complexity of algorithms, providing an upper bound on the growth rate of the algorithm’s time complexity based on the input size [64]. Among the chosen models, ensemble methods exhibited favorable time complexity compared to the neural network model. The following section provides the Big O time complexity definitions for each model.
- Gradient boosting and Random Forest
- Neural network
For the classification task of predicting clad desirability, the neural network model demonstrated superior performance, achieving the highest accuracy and AUC scores in estimating complex decision boundaries within the same Big O time complexity as in regression. Further, k-nearest neighbor and logistic regression also showed strong performance. The neural network’s capability to learn non-linear decision boundaries made it particularly effective for this binary classification problem, while maintaining scalability for expanding datasets. The following section provides the Big O time complexity definitions for these models.
- K-nearest neighbor
- Logistic regression
Figure 14 demonstrates the operation time complexity of the above listed models with respect to their input size. As shown in this figure, although neural networks have provided one of the most promising set of results in all benchmarks, they can be computationally very expensive especially for complex operation with high dimensions. On the contrary, the ensemble models have shown much lower time complexity, demonstrating their efficiency in complex high dimension computations. Further, a summary of the best-performing models for the explored tasks is provided in Table 3, detailing accuracy, error, and time complexity definitions.
Figure 14.
Comparison of the time complexity of machine learning models using Big O notation.
Table 3.
Summary of the three best machine learning models’ performances and operations time complexity for two tasks i.e., regression task (predicting the clad width, height, and depth), and classification task (predicting the quality label of a clad). Best performance value is reported in two different metrics for each model, and the time complexity for training each model is illustrated with Big-O notation.
It is worth mentioning that all the training and inference analyses in this study were conducted on a commercial CPU, achieving sub-second inference times without requiring specialized hardware, such as GPUs. This demonstrates the practicality and accessibility of the proposed framework, making it suitable for researchers and practitioners with modest computational resources. While the current setup is efficient, larger datasets and more complex models, particularly deeper Neural Networks, could benefit from GPU acceleration for faster training. Future studies leveraging GPUs or high-performance computing systems could enhance training efficiency while maintaining rapid inference times. By employing Big O notation, this work provides a scalable and standardized comparison of model efficiency, ensuring broad applicability across research contexts while remaining accessible to a wide audience.
In summary, it is crucial to consider both accuracy and time complexity when predicting clad characteristics. This consideration is especially important if the framework is intended for scaling and application to more complex industrial-scale problems in MAM with larger datasets.
5. Conclusions
This study presented a comprehensive machine learning framework for predicting clad geometry and determining the optimal process window in additive manufacturing using directed energy deposition. A hybrid method was used to prepare the dataset, integrating experimental data with computational fluid dynamics (CFD) modeling data. Hyperparameter optimization was conducted for each machine learning model to ensure the highest prediction accuracy. Our results indicated that gradient boosting and Random Forest models consistently outperformed other models in predicting clad geometrical features, achieving superior accuracy and mean absolute error (MAE) results in regression tasks. Conversely, the neural network model excelled in predicting the quality label of single clads, showing the highest accuracy and AUC-ROC results in classification tasks.
This study underscores the importance of considering multiple metrics beyond accuracy when selecting machine learning models for different applications. Evaluating the time complexity of each model is crucial, particularly for large-scale data analysis and predictions. We employed Big O notation to describe each model’s time complexity. Our findings revealed that the ensemble models such as gradient boosting and Random Forest had the lowest time complexity, making them highly suitable for large datasets. Polynomial regression and neural network models followed in terms of complexity.
The framework developed in this study provides a practical and effective approach for predicting clad geometry and optimizing the additive manufacturing process using directed energy deposition. Our novel approach and comprehensive ML framework can serve as a foundation for future research in this area, contributing to the advancement of additive manufacturing technologies. This study demonstrated that a hybrid method integrating experimental and simulated data can offer reliable data for machine learning models, particularly when experimental data is limited, significantly improving predictive performance. Future research could expand the dataset to include more process parameters, optimize other ML models, and investigate the transferability of these models to different manufacturing processes.
Author Contributions
S.T.: Conceptualization, Methodology, Software, Validation, Formal analysis, Investigation, Data Curation, Writing—Original Draft, Visualization. K.T.C.: Conceptualization, Resources, Data Curation, Writing—Review and Editing, Supervision, Project administration. All authors have read and agreed to the published version of the manuscript.
Funding
This research received no external funding.
Data Availability Statement
The code for this machine learning framework is publicly available at https://github.com/sinatayebati/CladNet-ML-for-AM (accessed on 1 January 2025). Additionally, some or all of the data presented in this study are available from the corresponding author upon request.
Acknowledgments
The authors acknowledge NIU for supporting Tayebati’s study and research in a graduate program at NIU.
Conflicts of Interest
The authors declare that they have no known competing financial interests or personal relationships that could have appeared to influence the work reported in this paper.
Abbreviations
The following abbreviations are used in this manuscript:
| NN | Neural Network |
| KNN | K-nearest Neighbor |
| GBR | Gradient Boosting Regression |
| GBC | Gradient Boosting Classification |
| RF | Random Forest |
| DT | Decision Tree |
| AB | AdaBoost |
| GPR | Gaussian Process Regression |
| SVR | Support Vector Machine |
| SVC | Support Vector Classification |
| Poly | Polynomial Regression |
| Lasso | Lasso Regression |
| Ridge | Ridge Regression |
References
- Gibson, I.; Rosen, D.; Stucker, B. Directed Energy Deposition Processes. In Additive Manufacturing Technologies: 3D Printing, Rapid Prototyping, and Direct Digital Manufacturing; Springer: New York, NY, USA, 2015; pp. 245–268. [Google Scholar] [CrossRef]
- Ahn, D.-G. Directed Energy Deposition (DED) Process: State of the Art. Int. J. Precis. Eng. Manuf. Green Technol. 2021, 8, 703–742. [Google Scholar] [CrossRef]
- Tang, Z.J.; Liu, W.W.; Wang, Y.W.; Saleheen, K.M.; Liu, Z.C.; Peng, S.T.; Zhang, Z.; Zhang, H.C. A review on in situ monitoring technology for directed energy deposition of metals. Int. J. Adv. Manuf. Technol. 2020, 108, 3437–3463. [Google Scholar] [CrossRef]
- Berman, B. 3-d Printing: The New Industrial Revolution. Bus. Horiz. 2012, 55, 155–162. [Google Scholar] [CrossRef]
- Wang, C.; Tan, X.P.; Tor, S.B.; Lim, C.S. Machine Learning in Additive Manufacturing: State-of-the-Art and Perspectives. Addit. Manuf. 2020, 36, 101538. [Google Scholar] [CrossRef]
- Gibson, I.; Rosen, D.; Stucker, B. Additive Manufacturing Technologies: 3D Printing, Rapid Prototyping, and Direct Digital Manufacturing; Springer: New York, NY, USA, 2015. [Google Scholar] [CrossRef]
- Lee, E.M.; Shin, G.Y.; Yoon, H.S.; Shim, D.S. Study of the effects of process parameters on deposited single track of M4 powder based direct energy deposition. J. Mech. Sci. Technol. 2017, 31, 3411–3418. [Google Scholar] [CrossRef]
- Federico, M.S.; Najafabadi, B.S. Processing Parameter DOE for 316L Using Directed Energy Deposition. J. Manuf. Mater. Process. 2018, 2, 61. [Google Scholar] [CrossRef]
- Shim, D.S.; Baek, G.Y.; Seo, J.S.; Shin, G.Y.; Kim, K.P.; Lee, K.Y. Effect of layer thickness setting on deposition characteristics in direct energy deposition (DED) process. Opt. Laser Technol. 2016, 86, 69–78. [Google Scholar] [CrossRef]
- Li, Y.; Hu, Y.; Cong, W.; Zhi, L.; Guo, Z. Additive manufacturing of alumina using laser engineered net shaping: Effects of deposition variables. Ceram. Int. 2017, 43, 7768–7775. [Google Scholar] [CrossRef]
- Izadi, M.; Farzaneh, A.; Mohammed, M.; Gibson, I.; Rolfe, B. A review of laser engineered net shaping (LENS) build and process parameters of metallic parts. Rapid Prototyp. J. 2020, 26, 1059–1078. [Google Scholar] [CrossRef]
- Toyserkani, E.; Khajepour, A.; Corbin, S. Three-dimensional finite element modeling of laser cladding by powder injection: Effects of powder feedrate and travel speed on the process. J. Laser Appl. 2003, 15, 153–160. [Google Scholar] [CrossRef]
- Rai, A.; Helmer, H.; Körner, C. Simulation of grain structure evolution during powder bed based additive manufacturing. Addit. Manuf. 2017, 13, 124–134. [Google Scholar] [CrossRef]
- Bontha, S.; Klingbeil, N.W.; Kobryn, P.A.; Fraser, H.L. Effects of process variables and size-scale on solidification microstructure in beam-based fabrication of bulky 3D structures. Mater. Sci. Eng. A 2009, 513, 311–318. [Google Scholar] [CrossRef]
- Gockel, J.; Beuth, J.; Taminger, K. Integrated control of solidification microstructure and melt pool dimensions in electron beam wire feed additive manufacturing of Ti-6Al-4V. Addit. Manuf. 2014, 1, 119–126. [Google Scholar] [CrossRef]
- Fathi, A.; Toyserkani, E.; Khajepour, A.; Durali, M. Prediction of melt pool depth and dilution in laser powder deposition. J. Phys. D Appl. Phys. 2006, 39, 2613. [Google Scholar] [CrossRef]
- Birnbaum, A.; Michopoulos, J.G.; Iliopoulos, A.P. Simulating geometric and thermal aspects of powder-jet laser additive manufacturing. In Proceedings of the International Design Engineering Technical Conferences and Computers and Information in Engineering Conference, Charlotte, NC, USA, 21–24 August 2016. [Google Scholar] [CrossRef]
- Wang, S.; Zhu, L.; Fuh, J.Y.H.; Zhang, H.; Yan, W. Multi-physics modeling and Gaussian process regression analysis of cladding track geometry for direct energy deposition. Opt. Lasers Eng. 2020, 127, 105950. [Google Scholar] [CrossRef]
- Pant, P.; Chatterjee, D.; Nandi, T.; Samanta, S.K.; Lohar, A.K.; Changdar, A. Statistical modelling and optimization of clad characteristics in laser metal deposition of austenitic stainless steel. J. Braz. Soc. Mech. Sci. Eng. 2019, 41, 283. [Google Scholar] [CrossRef]
- Erfanmanesh, M.; Abdollah-Pour, H.; Mohammadian-Semnani, H.; Shoja-Razavi, R. An empirical-statistical model for laser cladding of WC-12Co powder on AISI 321 stainless steel. Opt. Laser Technol. 2017, 97, 180–186. [Google Scholar] [CrossRef]
- Jelvani, S.; Shoja Razavi, R.; Barekat, M.; Dehnavi, M. Empirical-statistical modeling and prediction of geometric characteristics for laser-aided direct metal deposition of inconel 718 superalloy. Met. Mater. Int. 2020, 26, 668–681. [Google Scholar] [CrossRef]
- Nabhani, M.; Shoja Razavi, R.; Barekat, M. An empirical-statistical model for laser cladding of Ti-6Al-4V powder on Ti-6Al-4V substrate. Opt. Laser Technol. 2018, 100, 265–271. [Google Scholar] [CrossRef]
- Zhang, J.; Zhang, Q.; Chen, Z.; Li, D.; Tong, W.; Yao, J.; Kovalenko, V. Experimental and statistical analyses of geometry characteristics of Inconel 718 laser clad layer with response surface methodology. J. Laser Appl. 2019, 31, 032016. [Google Scholar] [CrossRef]
- Marrey, M.; Malekipour, E.; El-Mounayri, H.; Faierson, E.J. A framework for optimizing process parameters in powder bed fusion (PBF) process using artificial neural network (ANN). Procedia Manuf. 2019, 34, 505–515. [Google Scholar] [CrossRef]
- Karaboga, D.; Basturk, B. On the performance of artificial bee colony (ABC) algorithm. Appl. Soft Comput. 2008, 8, 687–697. [Google Scholar] [CrossRef]
- Yildiz, A.R. A new hybrid artificial bee colony algorithm for robust optimal design and manufacturing. Appl. Soft Comput. 2013, 13, 2906–2912. [Google Scholar] [CrossRef]
- Yıldız, A.R. A novel particle swarm optimization approach for product design and manufacturing. Int. J. Adv. Manuf. Technol. 2009, 40, 617–628. [Google Scholar] [CrossRef]
- Mehrpouya, M.; Gisario, A.; Rahimzadeh, A.; Nematollahi, M.; Baghbaderani, K.S.; Elahinia, M. A prediction model for finding the optimal laser parameters in additive manufacturing of NiTi shape memory alloy. Int. J. Adv. Manuf. Technol. 2019, 105, 4691–4699. [Google Scholar] [CrossRef]
- Lee, J.A.; Sagong, M.J.; Jung, J.; Kim, E.S.; Kim, H.S. Explainable machine learning for understanding and predicting geometry and defect types in Fe-Ni alloys fabricated by laser metal deposition additive manufacturing. J. Mater. Res. Technol. 2023, 22, 413–423. [Google Scholar] [CrossRef]
- Akbari, P.; Ogoke, F.; Kao, N.Y.; Meidani, K.; Yeh, C.Y.; Lee, W.; Farimani, A.B. MeltpoolNet: Melt pool characteristic prediction in Metal Additive Manufacturing using machine learning. Addit. Manuf. 2022, 55, 102817. [Google Scholar] [CrossRef]
- Aoyagi, K.; Wang, H.; Sudo, H.; Chiba, A. Simple method to construct process maps for additive manufacturing using a support vector machine. Addit. Manuf. 2019, 27, 353–362. [Google Scholar] [CrossRef]
- Zhang, H.; Moon, S.K.; Ngo, T.H. Hybrid machine learning method to determine the optimal operating process window in aerosol jet 3D printing. ACS Appl. Mater. Interfaces 2019, 11, 17994–18003. [Google Scholar] [CrossRef]
- Du, Y.; Mukherjee, T.; DebRoy, T. Physics-informed machine learning and mechanistic modeling of additive manufacturing to reduce defects. Appl. Mater. Today 2021, 24, 101123. [Google Scholar] [CrossRef]
- Caiazzo, F.; Caggiano, A. Laser direct metal deposition of 2024 Al alloy: Trace geometry prediction via machine learning. Materials 2018, 11, 444. [Google Scholar] [CrossRef]
- Ren, Y.; Wang, Q.; Michaleris, P. A physics-informed two-level machine-learning model for predicting melt-pool size in laser powder bed fusion. J. Dyn. Syst. Meas. Control. 2021, 143, 121006. [Google Scholar] [CrossRef]
- Biyikli, M.; Karagoz, T.; Calli, M.; Muslim, T.; Ozalp, A.A.; Bayram, A. Single Track Geometry Prediction of Laser Metal Deposited 316L-Si Via Multi-Physics Modelling and Regression Analysis with Experimental Validation. Met. Mater. Int. 2023, 29, 807–820. [Google Scholar] [CrossRef]
- Liu, H.; Qin, X.; Huang, S.; Jin, L.; Wang, Y.; Lei, K. Geometry characteristics prediction of single track cladding deposited by high power diode laser based on genetic algorithm and neural network. Int. J. Precis. Eng. Manuf. 2018, 19, 1061–1070. [Google Scholar] [CrossRef]
- Xiong, J.; Zhang, G.; Hu, J.; Wu, L. Bead geometry prediction for robotic GMAW-based rapid manufacturing through a neural network and a second-order regression analysis. J. Intell. Manuf. 2014, 25, 157–163. [Google Scholar] [CrossRef]
- Zhou, Z.; Shen, H.; Liu, B.; Du, W.; Jin, J. Thermal field prediction for welding paths in multi-layer gas metal arc welding-based additive manufacturing: A machine learning approach. J. Manuf. Process. 2021, 64, 960–971. [Google Scholar] [CrossRef]
- Ding, D.; He, F.; Yuan, L.; Pan, Z.; Wang, L.; Ros, M. The first step towards intelligent wire arc additive manufacturing: An automatic bead modelling system using machine learning through industrial information integration. J. Ind. Inf. Integr. 2021, 23, 100218. [Google Scholar] [CrossRef]
- Ren, K.; Chew, Y.; Liu, N.; Zhang, Y.; Fuh, J.; Bi, G. Integrated numerical modelling and deep learning for multi-layer cube deposition planning in laser aided additive manufacturing. Virtual Phys. Prototyp. 2021, 16, 318–332. [Google Scholar] [CrossRef]
- Baturynska, I.; Semeniuta, O.; Martinsen, K. Optimization of process parameters for powder bed fusion additive manufacturing by combination of machine learning and finite element method: A conceptual framework. Procedia Cirp 2018, 67, 227–232. [Google Scholar] [CrossRef]
- Zhu, Q.; Liu, Z.; Yan, J. Machine learning for metal additive manufacturing: Predicting temperature and melt pool fluid dynamics using physics-informed neural networks. Comput. Mech. 2021, 67, 619–635. [Google Scholar] [CrossRef]
- Yin, F.; Mao, H.; Hua, L. A hybrid of back propagation neural network and genetic algorithm for optimization of injection molding process parameters. Mater. Des. 2011, 32, 3457–3464. [Google Scholar] [CrossRef]
- Yuguang, Z.; Kai, X.; Dongyan, S. An improved artificial neural network for laser welding parameter selection and prediction. Int. J. Adv. Manuf. Technol. 2013, 68, 755–762. [Google Scholar] [CrossRef]
- Ren, K.; Chew, Y.; Zhang, Y.; Fuh, J.; Bi, G. Thermal field prediction for laser scanning paths in laser aided additive manufacturing by physics-based machine learning. Comput. Methods Appl. Mech. Eng. 2020, 362, 112734. [Google Scholar] [CrossRef]
- Mohajernia, B.; Mirazimzadeh, S.E.; Pasha, A.; Urbanic, R.J. Machine learning approaches for predicting geometric and mechanical characteristics for single P420 laser beads clad onto an AISI 1018 substrate. Int. J. Adv. Manuf. Technol. 2022, 118, 3691–3710. [Google Scholar] [CrossRef]
- Liu, R.; Liu, S.; Zhang, X. A physics-informed machine learning model for porosity analysis in laser powder bed fusion additive manufacturing. Int. J. Adv. Manuf. Technol. 2021, 113, 1943–1958. [Google Scholar] [CrossRef]
- Kapusuzoglu, B.; Mahadevan, S. Physics-informed and hybrid machine learning in additive manufacturing: Application to fused filament fabrication. JOM 2020, 72, 4695–4705. [Google Scholar] [CrossRef]
- Cho, K.T.; Nunez, L.; Shelton, J.; Sciammarella, F. Investigation of Effect of Processing Parameters for Direct Energy Deposition Additive Manufacturing Technologies. J. Manuf. Mater. Process. 2023, 7, 105. [Google Scholar] [CrossRef]
- Cook, P.S.; Murphy, A.B. Simulation of melt pool behaviour during additive manufacturing: Underlying physics and progress. Addit. Manuf. 2020, 31, 100909. [Google Scholar] [CrossRef]
- Ya, W.; Pathiraj, B.; Liu, S. 2D modelling of clad geometry and resulting thermal cycles during laser cladding. J. Mater. Process. Technol. 2016, 230, 217–232. [Google Scholar] [CrossRef]
- Murray, R.E.; Groulx, D. Modeling convection during melting of a phase change material. In Proceedings of the COMSOL Conference, Boston, MA, USA, 13–15 October 2011. [Google Scholar]
- Valencia, J.J.; Quested, P. Thermophysical properties. In Modeling for Casting and Solidification Processing; Yu, K., Ed.; CRC Press: Boca Raton, FL, USA, 2001. [Google Scholar]
- Malin, V.; Sciammarella, F. Controlling heat input by measuring net power. Weld. J. 2006, 85, 44–50. [Google Scholar]
- DebRoy, T.; Wei, H.; Zuback, J.; Mukherjee, T.; Elmer, J.; Milewski, J.; Beese, A.M.; Wilson-Heid, A.d.; De, A.; Zhang, W. Additive manufacturing of metallic components-process, structure and properties. Prog. Mater. Sci. 2018, 92, 112–224. [Google Scholar] [CrossRef]
- Wei, H.; Mukherjee, T.; Zhang, W.; Zuback, J.; Knapp, G.; De, A.; DebRoy, T. Mechanistic models for additive manufacturing of metallic components. Prog. Mater. Sci. 2021, 116, 100703. [Google Scholar] [CrossRef]
- Ferguson, J.; Schultz, B.F.; Moghadam, A.D.; Rohatgi, P.K. Semi-empirical model of deposit size and porosity in 420 stainless steel and 4140 steel using laser engineered net shaping. J. Manuf. Process. 2015, 19, 163–170. [Google Scholar] [CrossRef]
- Anguita, D.; Ghelardoni, L.; Ghio, A.; Oneto, L.; Ridella, S. The’K’in K-fold Cross Validation. In Proceedings of the ESANN, Bruges, Belgium, 25–27 April 2012; pp. 441–446. [Google Scholar]
- Bergstra, J.; Bengio, Y. Random search for hyper-parameter optimization. J. Mach. Learn. Res. 2012, 13, 281–305. [Google Scholar]
- Vaughan, M.; Elverud, M.; Ye, J.; Seede, R.; Gibbons, S.; Flater, P.; Gaskey, B.; Arroyave, R.; Elwany, A.; Karaman, I. Development of a Process Optimization Framework for Fabricating Fully Dense Advanced High Strength Steels using Laser Directed Energy Deposition. Addit. Manuf. 2023, 67, 103489. [Google Scholar] [CrossRef]
- Bhardwaj, T.; Shukla, M.; Paul, C.; Bindra, K. Direct energy deposition-laser additive manufacturing of titanium-molybdenum alloy: Parametric studies, microstructure and mechanical properties. J. Alloys Compd. 2019, 787, 1238–1248. [Google Scholar] [CrossRef]
- Reichardt, A.; Shapiro, A.A.; Otis, R.; Dillon, R.P.; Borgonia, J.P.; McEnerney, B.W.; Hosemann, P.; Beese, A.M. Advances in additive manufacturing of metal-based functionally graded materials. Int. Mater. Rev. 2021, 66, 1–29. [Google Scholar] [CrossRef]
- Chivers, I.; Sleightholme, J. An Introduction to Algorithms and the Big O Notation. In Introduction to Programming with Fortran: With Coverage of Fortran 90, 95, 2003, 2008 and 77; Springer: Cham, Switzerland, 2015; pp. 359–364. [Google Scholar] [CrossRef]
Disclaimer/Publisher’s Note: The statements, opinions and data contained in all publications are solely those of the individual author(s) and contributor(s) and not of MDPI and/or the editor(s). MDPI and/or the editor(s) disclaim responsibility for any injury to people or property resulting from any ideas, methods, instructions or products referred to in the content. |
© 2025 by the authors. Licensee MDPI, Basel, Switzerland. This article is an open access article distributed under the terms and conditions of the Creative Commons Attribution (CC BY) license (https://creativecommons.org/licenses/by/4.0/).













