Machine Learning Framework for Hybrid Clad Characteristics Modeling in Metal Additive Manufacturing
Abstract
1. Introduction
2. Methodology
2.1. Hybrid Data Acquisition
2.2. Computational Fluid Dynamics
2.2.1. Conservation Equations
2.2.2. Boundary Conditions
2.2.3. Model Results and Validation
2.3. Feature Engineering
2.3.1. Machine Setting Features
2.3.2. Physics-Aware Features
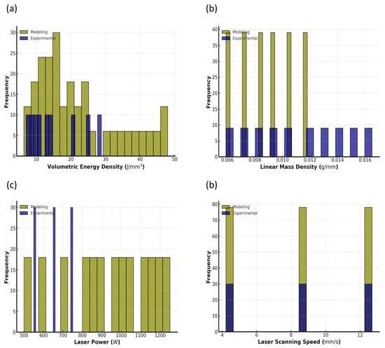
2.3.3. Feature Distribution
- Laser Power and Laser Scanning Speed exhibit strong alignment between the two datasets, ensuring that both subsets comprehensively cover a similar range of energy input and processing speeds.
- Linear Mass Density and Volumetric Energy Density distributions similarly show significant overlap, confirming that the key physical parameters influencing the DED process are consistently represented in both data sources.
2.4. Data Preprocessing and Metrics
2.5. Benchmark of Models
2.6. Hyperparameter Optimization
3. Results
3.1. Clad Geometry Prediction
- -
- Traditional Models: Support Vector Machine, Gaussian Process, K-nearest Neighbors, Polynomial Regression, Ridge Regression, and Lasso Regression
- -
- Ensemble Models: Gradient Boosting, Random Forest, Decision Tree, and AdaBoost
- -
- Deep Learning: Neural Network
3.2. Process Map Prediction
- -
- Traditional Models: K-Nearest Neighbors Classifier, Gaussian Process Classifier, Logistic Regression, Gaussian Naïve Bayes, Support Vector Classifier
- -
- Ensemble Models: Gradient Boosting Classifier, AdaBoost Classifier, Random Forest Classifier, Decision Tree Classifier
- -
- Deep Learning: Neural Network Classifier (Multilayer Perceptron)
4. Discussion
4.1. Feature Importance Analysis
- Volumetric energy density and linear mass density consistently emerged as the most influential features across all regression targets.
- The strong contributions of these physics-aware features highlight their critical role in governing clad geometry, reaffirming their significance in the DED process.
- The continued importance of volumetric energy density and linear mass density, alongside laser power and scanning speed, in determining clad quality.
- These features collectively provided robust predictive capability, enabling accurate classification of clad quality under varying process conditions.
4.2. Computational and Runtime Complexities
- Gradient boosting and Random Forest
- Neural network
- K-nearest neighbor
- Logistic regression
5. Conclusions
Author Contributions
Funding
Data Availability Statement
Acknowledgments
Conflicts of Interest
Abbreviations
| NN | Neural Network |
| KNN | K-nearest Neighbor |
| GBR | Gradient Boosting Regression |
| GBC | Gradient Boosting Classification |
| RF | Random Forest |
| DT | Decision Tree |
| AB | AdaBoost |
| GPR | Gaussian Process Regression |
| SVR | Support Vector Machine |
| SVC | Support Vector Classification |
| Poly | Polynomial Regression |
| Lasso | Lasso Regression |
| Ridge | Ridge Regression |
References
- Gibson, I.; Rosen, D.; Stucker, B. Directed Energy Deposition Processes. In Additive Manufacturing Technologies: 3D Printing, Rapid Prototyping, and Direct Digital Manufacturing; Springer: New York, NY, USA, 2015; pp. 245–268. [Google Scholar] [CrossRef]
- Ahn, D.-G. Directed Energy Deposition (DED) Process: State of the Art. Int. J. Precis. Eng. Manuf. Green Technol. 2021, 8, 703–742. [Google Scholar] [CrossRef]
- Tang, Z.J.; Liu, W.W.; Wang, Y.W.; Saleheen, K.M.; Liu, Z.C.; Peng, S.T.; Zhang, Z.; Zhang, H.C. A review on in situ monitoring technology for directed energy deposition of metals. Int. J. Adv. Manuf. Technol. 2020, 108, 3437–3463. [Google Scholar] [CrossRef]
- Berman, B. 3-d Printing: The New Industrial Revolution. Bus. Horiz. 2012, 55, 155–162. [Google Scholar] [CrossRef]
- Wang, C.; Tan, X.P.; Tor, S.B.; Lim, C.S. Machine Learning in Additive Manufacturing: State-of-the-Art and Perspectives. Addit. Manuf. 2020, 36, 101538. [Google Scholar] [CrossRef]
- Gibson, I.; Rosen, D.; Stucker, B. Additive Manufacturing Technologies: 3D Printing, Rapid Prototyping, and Direct Digital Manufacturing; Springer: New York, NY, USA, 2015. [Google Scholar] [CrossRef]
- Lee, E.M.; Shin, G.Y.; Yoon, H.S.; Shim, D.S. Study of the effects of process parameters on deposited single track of M4 powder based direct energy deposition. J. Mech. Sci. Technol. 2017, 31, 3411–3418. [Google Scholar] [CrossRef]
- Federico, M.S.; Najafabadi, B.S. Processing Parameter DOE for 316L Using Directed Energy Deposition. J. Manuf. Mater. Process. 2018, 2, 61. [Google Scholar] [CrossRef]
- Shim, D.S.; Baek, G.Y.; Seo, J.S.; Shin, G.Y.; Kim, K.P.; Lee, K.Y. Effect of layer thickness setting on deposition characteristics in direct energy deposition (DED) process. Opt. Laser Technol. 2016, 86, 69–78. [Google Scholar] [CrossRef]
- Li, Y.; Hu, Y.; Cong, W.; Zhi, L.; Guo, Z. Additive manufacturing of alumina using laser engineered net shaping: Effects of deposition variables. Ceram. Int. 2017, 43, 7768–7775. [Google Scholar] [CrossRef]
- Izadi, M.; Farzaneh, A.; Mohammed, M.; Gibson, I.; Rolfe, B. A review of laser engineered net shaping (LENS) build and process parameters of metallic parts. Rapid Prototyp. J. 2020, 26, 1059–1078. [Google Scholar] [CrossRef]
- Toyserkani, E.; Khajepour, A.; Corbin, S. Three-dimensional finite element modeling of laser cladding by powder injection: Effects of powder feedrate and travel speed on the process. J. Laser Appl. 2003, 15, 153–160. [Google Scholar] [CrossRef]
- Rai, A.; Helmer, H.; Körner, C. Simulation of grain structure evolution during powder bed based additive manufacturing. Addit. Manuf. 2017, 13, 124–134. [Google Scholar] [CrossRef]
- Bontha, S.; Klingbeil, N.W.; Kobryn, P.A.; Fraser, H.L. Effects of process variables and size-scale on solidification microstructure in beam-based fabrication of bulky 3D structures. Mater. Sci. Eng. A 2009, 513, 311–318. [Google Scholar] [CrossRef]
- Gockel, J.; Beuth, J.; Taminger, K. Integrated control of solidification microstructure and melt pool dimensions in electron beam wire feed additive manufacturing of Ti-6Al-4V. Addit. Manuf. 2014, 1, 119–126. [Google Scholar] [CrossRef]
- Fathi, A.; Toyserkani, E.; Khajepour, A.; Durali, M. Prediction of melt pool depth and dilution in laser powder deposition. J. Phys. D Appl. Phys. 2006, 39, 2613. [Google Scholar] [CrossRef]
- Birnbaum, A.; Michopoulos, J.G.; Iliopoulos, A.P. Simulating geometric and thermal aspects of powder-jet laser additive manufacturing. In Proceedings of the International Design Engineering Technical Conferences and Computers and Information in Engineering Conference, Charlotte, NC, USA, 21–24 August 2016. [Google Scholar] [CrossRef]
- Wang, S.; Zhu, L.; Fuh, J.Y.H.; Zhang, H.; Yan, W. Multi-physics modeling and Gaussian process regression analysis of cladding track geometry for direct energy deposition. Opt. Lasers Eng. 2020, 127, 105950. [Google Scholar] [CrossRef]
- Pant, P.; Chatterjee, D.; Nandi, T.; Samanta, S.K.; Lohar, A.K.; Changdar, A. Statistical modelling and optimization of clad characteristics in laser metal deposition of austenitic stainless steel. J. Braz. Soc. Mech. Sci. Eng. 2019, 41, 283. [Google Scholar] [CrossRef]
- Erfanmanesh, M.; Abdollah-Pour, H.; Mohammadian-Semnani, H.; Shoja-Razavi, R. An empirical-statistical model for laser cladding of WC-12Co powder on AISI 321 stainless steel. Opt. Laser Technol. 2017, 97, 180–186. [Google Scholar] [CrossRef]
- Jelvani, S.; Shoja Razavi, R.; Barekat, M.; Dehnavi, M. Empirical-statistical modeling and prediction of geometric characteristics for laser-aided direct metal deposition of inconel 718 superalloy. Met. Mater. Int. 2020, 26, 668–681. [Google Scholar] [CrossRef]
- Nabhani, M.; Shoja Razavi, R.; Barekat, M. An empirical-statistical model for laser cladding of Ti-6Al-4V powder on Ti-6Al-4V substrate. Opt. Laser Technol. 2018, 100, 265–271. [Google Scholar] [CrossRef]
- Zhang, J.; Zhang, Q.; Chen, Z.; Li, D.; Tong, W.; Yao, J.; Kovalenko, V. Experimental and statistical analyses of geometry characteristics of Inconel 718 laser clad layer with response surface methodology. J. Laser Appl. 2019, 31, 032016. [Google Scholar] [CrossRef]
- Marrey, M.; Malekipour, E.; El-Mounayri, H.; Faierson, E.J. A framework for optimizing process parameters in powder bed fusion (PBF) process using artificial neural network (ANN). Procedia Manuf. 2019, 34, 505–515. [Google Scholar] [CrossRef]
- Karaboga, D.; Basturk, B. On the performance of artificial bee colony (ABC) algorithm. Appl. Soft Comput. 2008, 8, 687–697. [Google Scholar] [CrossRef]
- Yildiz, A.R. A new hybrid artificial bee colony algorithm for robust optimal design and manufacturing. Appl. Soft Comput. 2013, 13, 2906–2912. [Google Scholar] [CrossRef]
- Yıldız, A.R. A novel particle swarm optimization approach for product design and manufacturing. Int. J. Adv. Manuf. Technol. 2009, 40, 617–628. [Google Scholar] [CrossRef]
- Mehrpouya, M.; Gisario, A.; Rahimzadeh, A.; Nematollahi, M.; Baghbaderani, K.S.; Elahinia, M. A prediction model for finding the optimal laser parameters in additive manufacturing of NiTi shape memory alloy. Int. J. Adv. Manuf. Technol. 2019, 105, 4691–4699. [Google Scholar] [CrossRef]
- Lee, J.A.; Sagong, M.J.; Jung, J.; Kim, E.S.; Kim, H.S. Explainable machine learning for understanding and predicting geometry and defect types in Fe-Ni alloys fabricated by laser metal deposition additive manufacturing. J. Mater. Res. Technol. 2023, 22, 413–423. [Google Scholar] [CrossRef]
- Akbari, P.; Ogoke, F.; Kao, N.Y.; Meidani, K.; Yeh, C.Y.; Lee, W.; Farimani, A.B. MeltpoolNet: Melt pool characteristic prediction in Metal Additive Manufacturing using machine learning. Addit. Manuf. 2022, 55, 102817. [Google Scholar] [CrossRef]
- Aoyagi, K.; Wang, H.; Sudo, H.; Chiba, A. Simple method to construct process maps for additive manufacturing using a support vector machine. Addit. Manuf. 2019, 27, 353–362. [Google Scholar] [CrossRef]
- Zhang, H.; Moon, S.K.; Ngo, T.H. Hybrid machine learning method to determine the optimal operating process window in aerosol jet 3D printing. ACS Appl. Mater. Interfaces 2019, 11, 17994–18003. [Google Scholar] [CrossRef]
- Du, Y.; Mukherjee, T.; DebRoy, T. Physics-informed machine learning and mechanistic modeling of additive manufacturing to reduce defects. Appl. Mater. Today 2021, 24, 101123. [Google Scholar] [CrossRef]
- Caiazzo, F.; Caggiano, A. Laser direct metal deposition of 2024 Al alloy: Trace geometry prediction via machine learning. Materials 2018, 11, 444. [Google Scholar] [CrossRef]
- Ren, Y.; Wang, Q.; Michaleris, P. A physics-informed two-level machine-learning model for predicting melt-pool size in laser powder bed fusion. J. Dyn. Syst. Meas. Control. 2021, 143, 121006. [Google Scholar] [CrossRef]
- Biyikli, M.; Karagoz, T.; Calli, M.; Muslim, T.; Ozalp, A.A.; Bayram, A. Single Track Geometry Prediction of Laser Metal Deposited 316L-Si Via Multi-Physics Modelling and Regression Analysis with Experimental Validation. Met. Mater. Int. 2023, 29, 807–820. [Google Scholar] [CrossRef]
- Liu, H.; Qin, X.; Huang, S.; Jin, L.; Wang, Y.; Lei, K. Geometry characteristics prediction of single track cladding deposited by high power diode laser based on genetic algorithm and neural network. Int. J. Precis. Eng. Manuf. 2018, 19, 1061–1070. [Google Scholar] [CrossRef]
- Xiong, J.; Zhang, G.; Hu, J.; Wu, L. Bead geometry prediction for robotic GMAW-based rapid manufacturing through a neural network and a second-order regression analysis. J. Intell. Manuf. 2014, 25, 157–163. [Google Scholar] [CrossRef]
- Zhou, Z.; Shen, H.; Liu, B.; Du, W.; Jin, J. Thermal field prediction for welding paths in multi-layer gas metal arc welding-based additive manufacturing: A machine learning approach. J. Manuf. Process. 2021, 64, 960–971. [Google Scholar] [CrossRef]
- Ding, D.; He, F.; Yuan, L.; Pan, Z.; Wang, L.; Ros, M. The first step towards intelligent wire arc additive manufacturing: An automatic bead modelling system using machine learning through industrial information integration. J. Ind. Inf. Integr. 2021, 23, 100218. [Google Scholar] [CrossRef]
- Ren, K.; Chew, Y.; Liu, N.; Zhang, Y.; Fuh, J.; Bi, G. Integrated numerical modelling and deep learning for multi-layer cube deposition planning in laser aided additive manufacturing. Virtual Phys. Prototyp. 2021, 16, 318–332. [Google Scholar] [CrossRef]
- Baturynska, I.; Semeniuta, O.; Martinsen, K. Optimization of process parameters for powder bed fusion additive manufacturing by combination of machine learning and finite element method: A conceptual framework. Procedia Cirp 2018, 67, 227–232. [Google Scholar] [CrossRef]
- Zhu, Q.; Liu, Z.; Yan, J. Machine learning for metal additive manufacturing: Predicting temperature and melt pool fluid dynamics using physics-informed neural networks. Comput. Mech. 2021, 67, 619–635. [Google Scholar] [CrossRef]
- Yin, F.; Mao, H.; Hua, L. A hybrid of back propagation neural network and genetic algorithm for optimization of injection molding process parameters. Mater. Des. 2011, 32, 3457–3464. [Google Scholar] [CrossRef]
- Yuguang, Z.; Kai, X.; Dongyan, S. An improved artificial neural network for laser welding parameter selection and prediction. Int. J. Adv. Manuf. Technol. 2013, 68, 755–762. [Google Scholar] [CrossRef]
- Ren, K.; Chew, Y.; Zhang, Y.; Fuh, J.; Bi, G. Thermal field prediction for laser scanning paths in laser aided additive manufacturing by physics-based machine learning. Comput. Methods Appl. Mech. Eng. 2020, 362, 112734. [Google Scholar] [CrossRef]
- Mohajernia, B.; Mirazimzadeh, S.E.; Pasha, A.; Urbanic, R.J. Machine learning approaches for predicting geometric and mechanical characteristics for single P420 laser beads clad onto an AISI 1018 substrate. Int. J. Adv. Manuf. Technol. 2022, 118, 3691–3710. [Google Scholar] [CrossRef]
- Liu, R.; Liu, S.; Zhang, X. A physics-informed machine learning model for porosity analysis in laser powder bed fusion additive manufacturing. Int. J. Adv. Manuf. Technol. 2021, 113, 1943–1958. [Google Scholar] [CrossRef]
- Kapusuzoglu, B.; Mahadevan, S. Physics-informed and hybrid machine learning in additive manufacturing: Application to fused filament fabrication. JOM 2020, 72, 4695–4705. [Google Scholar] [CrossRef]
- Cho, K.T.; Nunez, L.; Shelton, J.; Sciammarella, F. Investigation of Effect of Processing Parameters for Direct Energy Deposition Additive Manufacturing Technologies. J. Manuf. Mater. Process. 2023, 7, 105. [Google Scholar] [CrossRef]
- Cook, P.S.; Murphy, A.B. Simulation of melt pool behaviour during additive manufacturing: Underlying physics and progress. Addit. Manuf. 2020, 31, 100909. [Google Scholar] [CrossRef]
- Ya, W.; Pathiraj, B.; Liu, S. 2D modelling of clad geometry and resulting thermal cycles during laser cladding. J. Mater. Process. Technol. 2016, 230, 217–232. [Google Scholar] [CrossRef]
- Murray, R.E.; Groulx, D. Modeling convection during melting of a phase change material. In Proceedings of the COMSOL Conference, Boston, MA, USA, 13–15 October 2011. [Google Scholar]
- Valencia, J.J.; Quested, P. Thermophysical properties. In Modeling for Casting and Solidification Processing; Yu, K., Ed.; CRC Press: Boca Raton, FL, USA, 2001. [Google Scholar]
- Malin, V.; Sciammarella, F. Controlling heat input by measuring net power. Weld. J. 2006, 85, 44–50. [Google Scholar]
- DebRoy, T.; Wei, H.; Zuback, J.; Mukherjee, T.; Elmer, J.; Milewski, J.; Beese, A.M.; Wilson-Heid, A.d.; De, A.; Zhang, W. Additive manufacturing of metallic components-process, structure and properties. Prog. Mater. Sci. 2018, 92, 112–224. [Google Scholar] [CrossRef]
- Wei, H.; Mukherjee, T.; Zhang, W.; Zuback, J.; Knapp, G.; De, A.; DebRoy, T. Mechanistic models for additive manufacturing of metallic components. Prog. Mater. Sci. 2021, 116, 100703. [Google Scholar] [CrossRef]
- Ferguson, J.; Schultz, B.F.; Moghadam, A.D.; Rohatgi, P.K. Semi-empirical model of deposit size and porosity in 420 stainless steel and 4140 steel using laser engineered net shaping. J. Manuf. Process. 2015, 19, 163–170. [Google Scholar] [CrossRef]
- Anguita, D.; Ghelardoni, L.; Ghio, A.; Oneto, L.; Ridella, S. The’K’in K-fold Cross Validation. In Proceedings of the ESANN, Bruges, Belgium, 25–27 April 2012; pp. 441–446. [Google Scholar]
- Bergstra, J.; Bengio, Y. Random search for hyper-parameter optimization. J. Mach. Learn. Res. 2012, 13, 281–305. [Google Scholar]
- Vaughan, M.; Elverud, M.; Ye, J.; Seede, R.; Gibbons, S.; Flater, P.; Gaskey, B.; Arroyave, R.; Elwany, A.; Karaman, I. Development of a Process Optimization Framework for Fabricating Fully Dense Advanced High Strength Steels using Laser Directed Energy Deposition. Addit. Manuf. 2023, 67, 103489. [Google Scholar] [CrossRef]
- Bhardwaj, T.; Shukla, M.; Paul, C.; Bindra, K. Direct energy deposition-laser additive manufacturing of titanium-molybdenum alloy: Parametric studies, microstructure and mechanical properties. J. Alloys Compd. 2019, 787, 1238–1248. [Google Scholar] [CrossRef]
- Reichardt, A.; Shapiro, A.A.; Otis, R.; Dillon, R.P.; Borgonia, J.P.; McEnerney, B.W.; Hosemann, P.; Beese, A.M. Advances in additive manufacturing of metal-based functionally graded materials. Int. Mater. Rev. 2021, 66, 1–29. [Google Scholar] [CrossRef]
- Chivers, I.; Sleightholme, J. An Introduction to Algorithms and the Big O Notation. In Introduction to Programming with Fortran: With Coverage of Fortran 90, 95, 2003, 2008 and 77; Springer: Cham, Switzerland, 2015; pp. 359–364. [Google Scholar] [CrossRef]














| Machine Features | Data Range | Physics Aware Features | Data Range |
|---|---|---|---|
| Laser power | 500–1250 | Volumetric energy density | 6.40–48.15 |
| Laser scanning speed | 4.23–12.69 | Linear mass density | 0.0059–0.0118 |
| Category | Tasks | Split | Metric |
|---|---|---|---|
| Width of the clad | Regression | Random | —MAE |
| Height of the clad | Regression | Random | —MAE |
| Depth of the clad | Regression | Random | —MAE |
| Clad Classification | Classification | Random | Classification accuracy—AUC-ROC |
| Category | Best Performance | Metric | Value |
|---|---|---|---|
| Width of clad | GBR | 0.985 | |
| MAE | 24.41 | ||
| Big-O | |||
| RF | 0.981 | ||
| MAE | 32.28 | ||
| Big-O | |||
| NN | 0.975 | ||
| MAE | 29.85 | ||
| Big-O | |||
| Height of clad | GBR | 0.964 | |
| MAE | 8.73 | ||
| Big-O | |||
| NN | 0.955 | ||
| MAE | 8.98 | ||
| Big-O | |||
| RF | 0.952 | ||
| MAE | 11.41 | ||
| Big-O | |||
| Depth of clad | GBR | 0.981 | |
| MAE | 19.96 | ||
| Big-O | |||
| RF | 0.955 | ||
| MAE | 8.98 | ||
| Big-O | |||
| Poly | 0.964 | ||
| MAE | 23.41 | ||
| Big-O | |||
| Clad quality classification | NN | Classification accuracy | 92.90 |
| AUC-ROC | 94.59 | ||
| Big-O | |||
| KNN | Classification accuracy | 92.28 | |
| AUC-ROC | 93.78 | ||
| Big-O | |||
| LR | Classification accuracy | 91.97 | |
| AUC-ROC | 94.48 | ||
| Big-O |
Disclaimer/Publisher’s Note: The statements, opinions and data contained in all publications are solely those of the individual author(s) and contributor(s) and not of MDPI and/or the editor(s). MDPI and/or the editor(s) disclaim responsibility for any injury to people or property resulting from any ideas, methods, instructions or products referred to in the content. |
© 2025 by the authors. Licensee MDPI, Basel, Switzerland. This article is an open access article distributed under the terms and conditions of the Creative Commons Attribution (CC BY) license (https://creativecommons.org/licenses/by/4.0/).
Share and Cite
Tayebati, S.; Cho, K.T. Machine Learning Framework for Hybrid Clad Characteristics Modeling in Metal Additive Manufacturing. J. Manuf. Mater. Process. 2025, 9, 49. https://doi.org/10.3390/jmmp9020049
Tayebati S, Cho KT. Machine Learning Framework for Hybrid Clad Characteristics Modeling in Metal Additive Manufacturing. Journal of Manufacturing and Materials Processing. 2025; 9(2):49. https://doi.org/10.3390/jmmp9020049
Chicago/Turabian StyleTayebati, Sina, and Kyu Taek Cho. 2025. "Machine Learning Framework for Hybrid Clad Characteristics Modeling in Metal Additive Manufacturing" Journal of Manufacturing and Materials Processing 9, no. 2: 49. https://doi.org/10.3390/jmmp9020049
APA StyleTayebati, S., & Cho, K. T. (2025). Machine Learning Framework for Hybrid Clad Characteristics Modeling in Metal Additive Manufacturing. Journal of Manufacturing and Materials Processing, 9(2), 49. https://doi.org/10.3390/jmmp9020049

