Previous Issue
Volume 9, December
 
 

Drones, Volume 10, Issue 1 (January 2026) – 10 articles

  • Issues are regarded as officially published after their release is announced to the table of contents alert mailing list.
  • You may sign up for e-mail alerts to receive table of contents of newly released issues.
  • PDF is the official format for papers published in both, html and pdf forms. To view the papers in pdf format, click on the "PDF Full-text" link, and use the free Adobe Reader to open them.
Order results
Result details
Section
Select all
Export citation of selected articles as:
24 pages, 3856 KB  
Article
MA-PF-AD3PG: A Multi-Agent DRL Algorithm for Latency Minimization and Fairness Optimization in 6G IoV-Oriented UAV-Assisted MEC Systems
by Yitian Wang, Hui Wang and Haibin Yu
Drones 2026, 10(1), 9; https://doi.org/10.3390/drones10010009 - 25 Dec 2025
Abstract
The rapid proliferation of connected and autonomous vehicles in the 6G era demands ultra-reliable and low-latency computation with intelligent resource coordination. Unmanned Aerial Vehicle (UAV)-assisted Mobile Edge Computing (MEC) provides a flexible and scalable solution to extend coverage and enhance offloading efficiency for [...] Read more.
The rapid proliferation of connected and autonomous vehicles in the 6G era demands ultra-reliable and low-latency computation with intelligent resource coordination. Unmanned Aerial Vehicle (UAV)-assisted Mobile Edge Computing (MEC) provides a flexible and scalable solution to extend coverage and enhance offloading efficiency for dynamic Internet of Vehicles (IoV) environments. However, jointly optimizing task latency, user fairness, and service priority under time-varying channel conditions remains a fundamental challenge.To address this issue, this paper proposes a novel Multi-Agent Priority-based Fairness Adaptive Delayed Deep Deterministic Policy Gradient (MA-PF-AD3PG) algorithm for UAV-assisted MEC systems. An occlusion-aware dynamic deadline model is first established to capture real-time link blockage and channel fading. Based on this model, a priority–fairness coupled optimization framework is formulated to jointly minimize overall latency and balance service fairness across heterogeneous vehicular tasks. To efficiently solve this NP-hard problem, the proposed MA-PF-AD3PG integrates fairness-aware service preprocessing and an adaptive delayed update mechanism within a multi-agent deep reinforcement learning structure, enabling decentralized yet coordinated UAV decision-making. Extensive simulations demonstrate that MA-PF-AD3PG achieves superior convergence stability, 13–57% higher total rewards, up to 46% lower delay, and nearly perfect fairness compared with state-of-the-art Deep Reinforcement Learning (DRL) and heuristic methods. Full article
(This article belongs to the Section Drone Communications)
29 pages, 10739 KB  
Article
A Chimpanzee Troop-Inspired Algorithm for Multiple Unmanned Aerial Vehicles on Patrolling Missions
by Ebtesam Aloboud and Heba Kurdi
Drones 2026, 10(1), 10; https://doi.org/10.3390/drones10010010 - 25 Dec 2025
Abstract
Persistent patrolling with multiple Unmanned Aerial Vehicles (UAVs) remains challenging due to dynamic surveillance priorities, heterogeneous node importance, and evolving operational constraints. We present the novel Chimpanzee Troop Algorithm for Patrolling (CTAP), a decentralized policy inspired by chimpanzees fission–fusion dynamics and territorial behavior. [...] Read more.
Persistent patrolling with multiple Unmanned Aerial Vehicles (UAVs) remains challenging due to dynamic surveillance priorities, heterogeneous node importance, and evolving operational constraints. We present the novel Chimpanzee Troop Algorithm for Patrolling (CTAP), a decentralized policy inspired by chimpanzees fission–fusion dynamics and territorial behavior. CTAP provides three capabilities: (i) on-the-fly patrol-group instantiation, (ii) importance-aware territorial partitioning of the patrol graph, and (iii) adaptive boundary expansion via a lightweight shared-memory overlay that coordinates neighboring groups without centralization. Unlike the Ant Colony Optimization (ACO), Heuristic Pathfinder Conscientious Cognitive (HPCC), Recurrent LSTM Path-Maker (RLPM), State-Exchange Bayesian Strategy (SEBS), and Dynamic Task Assignment via Auctions (DTAP) baselines, CTAP couples local-idleness reduction with controlled edge-exploration, yielding stable coverage under shifting demand. We evaluate these approaches across multiple maps and fleet sizes using the average weighted idleness, global worst-weighted idleness, and Time-Normalized Idleness metrics. CTAP reduces the average weighted idleness by 7% to 22% and the global worst-weighted idleness by 30–65% relative to the strongest competitor and attains the lowest Time-Normalized Idleness in every configuration. These results show that a simple, communication-limited, partition-based policy enables robust, scalable patrolling suitable for resource-constrained UAV teams in smart-city environments. Full article
Show Figures

Figure 1

20 pages, 3506 KB  
Article
CNIFE: Anti-UAV Detection Network via Cross-Scale Non-Local Interaction and Feature Enhancement
by Bo Liang, Hongfu Shan, Song Feng and Ji Jiang
Drones 2026, 10(1), 8; https://doi.org/10.3390/drones10010008 - 24 Dec 2025
Abstract
Anti-UAV detection is paramount for safeguarding airspace security. However, existing methodologies often exhibit low detection accuracy due to their inability to adaptively address target scale variations and complex backgrounds. To enhance detection precision, this paper introduces a UAV detection method founded on non-local [...] Read more.
Anti-UAV detection is paramount for safeguarding airspace security. However, existing methodologies often exhibit low detection accuracy due to their inability to adaptively address target scale variations and complex backgrounds. To enhance detection precision, this paper introduces a UAV detection method founded on non-local feature learning. Initially, we design a Cross-scale Non-local Feature Interaction (CNFI) module. This module explicitly models long-range dependencies between features at disparate scales, thereby effectively integrating multi-scale information and adapting to target scale variations. Subsequently, a Non-local Feature Enhancement (NFE) module is proposed, which fuses global contextual information, acquired via non-local attention, with low-level structural cues such as gradients, to bolster the boundary and detail features of UAV targets amidst complex backgrounds. The proposed method was experimentally validated on the DUT-Anti-UAV and Det-Fly dataset. In comparison with the state-of-the-art model, our approach demonstrates improvements of 0.93%, 1.09%, and 2.12% in Precision (P), Recall (R), and mAP50 on DUT-Anti-UAV dataset, respectively. Experimental results affirm that our proposed enhancements yield superior performance in the anti-UAV detection task. Full article
Show Figures

Figure 1

26 pages, 4895 KB  
Article
A Hybrid Strategy-Assisted Cooperative Vehicles–Drone Multi-Objective Routing Optimization Method for Last-Mile Delivery
by Mingyuan Yang, Bing Xue, Rui Zhang and Fuwang Dong
Drones 2026, 10(1), 7; https://doi.org/10.3390/drones10010007 - 23 Dec 2025
Viewed by 70
Abstract
Drones have emerged as critical infrastructure for enhancing logistics efficiency in the emerging low-altitude economy, particularly in collaborative vehicle–drone research. However, existing research often neglects the impact of fair task allocation on workload balance among formations in large-scale routing scenarios, which compromises service [...] Read more.
Drones have emerged as critical infrastructure for enhancing logistics efficiency in the emerging low-altitude economy, particularly in collaborative vehicle–drone research. However, existing research often neglects the impact of fair task allocation on workload balance among formations in large-scale routing scenarios, which compromises service quality. To address this gap, we introduce the Multi-vehicle with drones Collaborative Routing Problem with Large-scale Packages (MCRPLP), formulated as a bi-objective model aiming to minimize both operational cost and workload imbalance. A Hybrid Strategy-assisted Multi-objective Optimization Algorithm (HSMOA) is developed to overcome the limitations of existing methods, which struggle with balancing solution quality and computational efficiency in solving large-scale routing. Based on a Non-dominated Sorting Genetic Algorithm (NSGA-II), the HSMOA integrates a heuristic task assignment strategy that greedily reassigns packages between adjacent clusters. Then, by integrating a Pareto-front superiority evaluation model, an elite individual supplement strategy is designed to dynamically prune sub-optimal solution subspaces while enhancing the search within high-quality Pareto-front subspaces in HSMOA. Extensive experiments demonstrate the effectiveness of HSMOA in terms of solution quality and computational efficiency compared to multiple state-of-the-art methods. Further sensitivity analysis and managerial insights derived from a real-world case are also provided to support practical logistics implementation. Full article
Show Figures

Figure 1

20 pages, 2966 KB  
Article
EMAFG-RTDETR: An Improved RTDETR Algorithm for UAV-Based Concrete Defect Detection
by Jinlong Yang, Shaojiang Dong, Jun Luo, Shizheng Sun, Jiayuan Luo, Kaibo Yan, Cai Chen and Xin Zhou
Drones 2026, 10(1), 6; https://doi.org/10.3390/drones10010006 - 23 Dec 2025
Viewed by 104
Abstract
To address the challenges of varying scales of concrete defects, class imbalance, and hardware limitations, we propose EMAFG-RTDETR, a UAV-based concrete defect detection algorithm built upon RTDETR. In the feature extraction stage, a lightweight multi-scale attention feature extraction module (EMA-PRepFaster block) is designed, [...] Read more.
To address the challenges of varying scales of concrete defects, class imbalance, and hardware limitations, we propose EMAFG-RTDETR, a UAV-based concrete defect detection algorithm built upon RTDETR. In the feature extraction stage, a lightweight multi-scale attention feature extraction module (EMA-PRepFaster block) is designed, where PConv and RepConv are fused to improve the FasterNet block. At the same time, an Efficient Multi-scale Attention (EMA) module is introduced to enhance spatial feature extraction while reducing computational redundancy. For feature fusion, the Gather-and-Distribute mechanism of GOLD-YOLO is adopted to improve the fusion of multi-scale features. The introduction of Powerful-IoU v2 not only accelerates the training process but also enhances the model’s ability to capture defects of different sizes. To handle the issue of sample imbalance, a novel classification loss function, EMASVLoss, is proposed. This function adjusts classification loss values through piecewise weighting and integrates an exponential moving average mechanism for dynamic weight smoothing, improving model adaptability. Finally, the algorithm was deployed and validated on an octocopter UAV developed by our team. Experimental results demonstrate that EMAFG-RTDETR achieves a 2.5% improvement in mean Average Precision (mAP@0.5), reaching 90% on the concrete defect dataset, with reductions in both parameter size and computational cost. Moreover, the UAV equipped with the proposed algorithm can accurately detect cracks and spalling defects on concrete surfaces, validating the effectiveness of the improved model. Full article
Show Figures

Figure 1

34 pages, 10748 KB  
Article
Scalable Pursuit–Evasion Game for Multi-Fixed-Wing UAV Based on Dynamic Target Assignment and Hierarchical Reinforcement Learning
by Mulai Tan, Haocheng Sun, Dali Ding, Huan Zhou and Yongli Liu
Drones 2026, 10(1), 5; https://doi.org/10.3390/drones10010005 - 23 Dec 2025
Viewed by 63
Abstract
The unmanned aerial vehicle (UAV) pursuit–evasion game is the fundamental framework for promoting autonomous decision-making and collaborative control of multi-UAV systems. Faced with the limitations of current deep reinforcement learning methods in terms of transferability and generalization for scalable multi-fixed-wing UAV pursuit–evasion game [...] Read more.
The unmanned aerial vehicle (UAV) pursuit–evasion game is the fundamental framework for promoting autonomous decision-making and collaborative control of multi-UAV systems. Faced with the limitations of current deep reinforcement learning methods in terms of transferability and generalization for scalable multi-fixed-wing UAV pursuit–evasion game scenarios, this paper proposes a hierarchical collaborative pursuit–evasion game framework based on target allocation and hierarchical reinforcement learning. The framework comprises three layers: target allocation layer, maneuver decision-making layer, and flight control layer. The target allocation layer employs a dynamic target assignment method based on a dynamic value adjustment mechanism, decomposing the multi-vs.-multi pursuit–evasion game into several one-vs.-one confrontations. The maneuver decision-making layer utilizes a maneuver decision-making method based on trajectory prediction and hierarchical reinforcement learning to generate adversarial maneuver commands. The flight control layer adopts a stable gradient-assisted reinforcement learning flight controller to ensure stable UAV flight. Comparisons with other algorithms across 3V3, 6V6, 9V9, and 12V12 scenarios demonstrate that the proposed method achieves high win rates in diverse game scales. The comparison results also demonstrate the advantages of the framework proposed in this paper in terms of training efficiency and large-scale scalability. Full article
Show Figures

Figure 1

22 pages, 10044 KB  
Article
Robust Extended Object Tracking Based on Variational Bayesian for Unmanned Aerial Vehicles Under Unknown Outliers
by Haibo Yang, Yu Zhu, Yanning Zhang and Xueling Chen
Drones 2026, 10(1), 4; https://doi.org/10.3390/drones10010004 - 23 Dec 2025
Viewed by 140
Abstract
The application of extended object tracking (EOT) in unmanned aerial vehicles (UAVs) has increasingly gained attention in recent years. However, EOT is often corrupted by heavy-tailed measurement noise due to outliers, which can be caused by factors such as UAV interference or partial [...] Read more.
The application of extended object tracking (EOT) in unmanned aerial vehicles (UAVs) has increasingly gained attention in recent years. However, EOT is often corrupted by heavy-tailed measurement noise due to outliers, which can be caused by factors such as UAV interference or partial object occlusion. Student’s t distribution (STD) is widely adopted for modeling this type of noise, and the estimation accuracy of EOT is highly dependent on prior knowledge of the noise. Although existing methods typically assume such prior knowledge is available, this assumption often fails in practice. Furthermore, the fact that the posterior of the measurement noise is estimated leads to coupling. This coupling, which cannot be adequately resolved by existing methods, prevents the direct derivation of variational Bayesian (VB) inference. We propose an adaptive EOT approach that employs a decoupling model to address unknown outliers in UAV tracking. Then, a novel dual-extended distortion model from sensor’s FoV is proposed to address the coupling. Subsequently, the measurement likelihood is formulated as a hierarchical structure, where the degrees of freedom (DoF) and measurement noise covariance matrix (MNCM) are modeled by Gamma and inverse Wishart (IW) distributions, respectively. The hierarchical structure allows the model to account for unknown noise characteristics. Based on these models, we derive an approach recursively for estimation. Finally, the performance of the proposed approach is validated with both simulated and real-world datasets. The results demonstrate the superior effectiveness and robustness of our approach. Full article
(This article belongs to the Special Issue Detection, Identification and Tracking of UAVs and Drones)
Show Figures

Graphical abstract

22 pages, 5467 KB  
Article
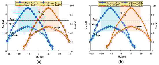
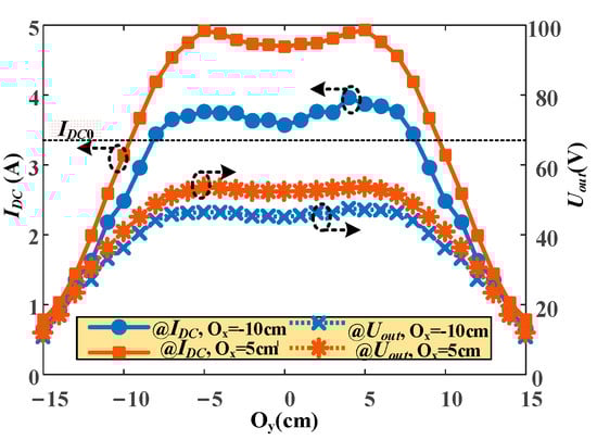
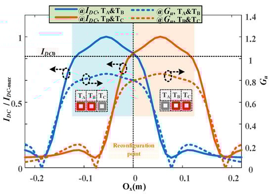
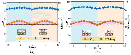
Reconfiguration with Low Hardware Cost and High Receiving-Excitation Area Ratio for Wireless Charging System of Drones Based on D3-Type Transmitter
by Han Liu, Lin Wang, Jie Wang, Dengjie Huang and Rong Wang
Drones 2026, 10(1), 3; https://doi.org/10.3390/drones10010003 - 22 Dec 2025
Viewed by 98
Abstract
Wireless charging for drones is significant for solving problems such as the frequent manual plugging and unplugging of cables. A large number of densely packed transmitting coils and fully independent on-off control can precisely track the receiver with random access location. To balance [...] Read more.
Wireless charging for drones is significant for solving problems such as the frequent manual plugging and unplugging of cables. A large number of densely packed transmitting coils and fully independent on-off control can precisely track the receiver with random access location. To balance the excitation area of the transmitter, additional hardware cost, and receiving voltage fluctuation, the wireless charging system of drones based on a D3-type transmitter is proposed in this article. The circuit model considering states of multiple switches is developed for three excitation modes. The dual-coil excitation mode is selected after comparative analysis. The transmitter reconfiguration method with low hardware cost and high receiving-excitation area ratio is proposed based on one detection sensor of DC current and one relay furtherly. Finally, an experimental prototype is built to verify the theoretical analysis and proposed method. When the output voltage fluctuation is limited to ±10%, the ratios of the maximum misalignment value in the x-axis and y-axis directions to the side length of the receiver reach 66.7% and 46.7%, respectively. The receiving-excitation area ratio of 37.5% is achieved, significantly reducing the excitation area not covered by the receiver. The maximum receiving power is 289.44 W, while the DC-DC efficiency exceeds 87.05%. Full article
(This article belongs to the Section Drone Communications)
Show Figures

Figure 1

25 pages, 2118 KB  
Article
Safe UAV Control Against Wind Disturbances via Demonstration-Guided Reinforcement Learning
by Yan-Hao Huang, En-Jui Liu, Bo-Cing Wu and Yong-Jie Ning
Drones 2026, 10(1), 2; https://doi.org/10.3390/drones10010002 - 19 Dec 2025
Viewed by 148
Abstract
Unmanned Aerial Vehicle (UAV) operating in complex environments require guaranteed safety mechanisms while maintaining high performance. This study addresses the challenge of ensuring strict flight safety during policy execution by implementing a Control Barrier Function (CBF) as a real-time action filter, thereby providing [...] Read more.
Unmanned Aerial Vehicle (UAV) operating in complex environments require guaranteed safety mechanisms while maintaining high performance. This study addresses the challenge of ensuring strict flight safety during policy execution by implementing a Control Barrier Function (CBF) as a real-time action filter, thereby providing a rigorous, formal guarantee. The methodology integrates the primary Proximal Policy Optimization (PPO) algorithm with a Demonstration-Guided Reinforcement Learning (DGRL), which leverages Proportional–Integral–Derivative (PID) expert trajectories to significantly accelerate learning convergence and enhance sample efficiency. Comprehensive results confirm the efficacy of the hybrid architecture, demonstrating a significant reduction in constraint violations and proving the framework’s ability to substantially accelerate training compared to PPO. In conclusion, the proposed methodology successfully unifies formal safety guarantees with efficient, adaptive reinforcement learning, making it highly suitable for safety-critical autonomous systems. Full article
Show Figures

Figure 1

16 pages, 4676 KB  
Article
Comparative Assessment of the Efficacy of Drone Spraying and Gun Spraying for Nano-Urea Application in a Maize Crop
by Ramesh Kumar Sahni, Satya Prakash Kumar, Deepak Thorat, Rajeshwar Sanodiya, Sapna Soni, Chetan Yumnam and Ved Prakash Chaudhary
Drones 2026, 10(1), 1; https://doi.org/10.3390/drones10010001 - 19 Dec 2025
Viewed by 210
Abstract
Conventional methods of nano-urea application in maize cultivation, such as tractor-operated gun sprayers, involve high water usage, labor intensity, and operator health risks due to chemical exposure. The drone spraying system ensures precise and automated application of nano-urea with minimal resource use, labor [...] Read more.
Conventional methods of nano-urea application in maize cultivation, such as tractor-operated gun sprayers, involve high water usage, labor intensity, and operator health risks due to chemical exposure. The drone spraying system ensures precise and automated application of nano-urea with minimal resource use, labor requirement, and operator intervention. However, the efficacy of the drone spraying system for nano-urea application was not evaluated and compared with traditional spraying systems in field conditions. There is a need to evaluate whether drone-based spraying systems can provide an equally effective and more resource-efficient alternative to conventional spraying techniques. Therefore, this study evaluated the agronomic efficacy of a drone-based spraying platform in comparison to conventional tractor-operated gun sprayers for the foliar spray application of nano-urea in the maize crop. Field experiments were conducted during the 2024 Kharif season to evaluate changes in SPAD, NDVI values, and grain yield due to two spray application methods. Both spraying methods showed statistically similar NDVI and SPAD values eight days after nano-urea application, indicating comparable effectiveness in nutrient delivery. Maize yield was also observed to be statistically indistinguishable between the two methods (t (8) = 0.025503, p = 0.9803), with 2912 ± 375 kg/ha (mean ± SE) for the gun sprayer and 2928 ± 503 kg/ha for the drone sprayer treatments. However, the drone system demonstrated significant operational advantages, including 95% water savings and decreased operational time. These findings support the use of drone spraying as a sustainable, safe, and scalable alternative to traditional fertilization application practices in precision agriculture. Full article
Show Figures

Figure 1

Previous Issue
Back to TopTop