Robust Extended Object Tracking Based on Variational Bayesian for Unmanned Aerial Vehicles Under Unknown Outliers
Highlights
- A dual-extended distortion and hierarchical model is developed within a variational Bayesian framework to facilitate accurate posterior approximation.
- The proposed robust extended object tracking based on variational Bayesian handles unknown outliers, surpassing recent methods.
- The proposed adaptive method can effectively handle the challenge of extended object tracking under unknown outliers, which is caused by factors such as UAV interference or partial object occlusion.
- The experiment results validate the superior effectiveness and robustness of our approach, offering critical implications for UAV perception systems in the accurate estimation of object extension under complex operational environments.
Abstract
1. Introduction
- (1)
- To address the coupling among the object extension, DoF, and MNCM, we propose a dual-extended distortion model that can explicitly decouple these parameters.
- (2)
- We employ the IW distribution to model the MNCM, while the DoF is modeled using the Gamma distribution. Based on these models, a variational Bayesian method is derived to handle the coupling and estimation.
2. Models and Problem Formulation
2.1. Noise Model
2.2. Dynamic and Measurement Models
2.3. Extension and Distortion Model
2.4. Problem Formulation
3. Adaptive EOT with Variational Bayesian
3.1. Time Update
3.2. Measurement Update
| Algorithm 1: Steps of the Adaptive EOT Approach |
Input: , , , , , , N, T, , , , , , . For k = 1: steps Time update: , , , . Measurement update: Initialization , , , , . While do , . Calculate , . Calculate , . Calculate , , . Calculate , , . End , , , , , , , . End |
3.3. Complexity Analysis
4. Results
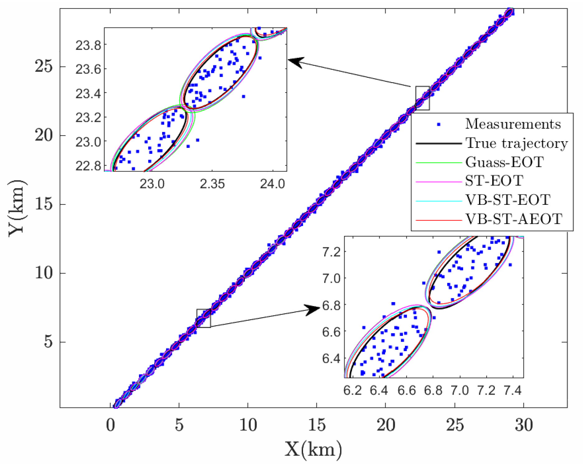
4.1. Simulated Scenario SS1
4.2. Simulated Scenario SS2
4.3. Real-World Data
5. Discussion
6. Conclusions
Author Contributions
Funding
Data Availability Statement
Acknowledgments
Conflicts of Interest
Abbreviations
| UAV | unmanned aerial vehicle |
| EOT | extended object tracking |
| FoV | Field of View |
| VB | variational Bayesian |
| DoF | degrees of freedom |
| MNCM | measurement noise covariance matrix |
| IW | inverse Wishart |
| LIDAR | Light Detection and Ranging |
| EKF | extended Kalman filter |
| EM | expectation–maximization |
| RMM | random matrix method |
| SPD | symmetric positive definite |
| probability density function | |
| KLD | Kullback–Leibler divergence |
| GWD | Gaussian Wasserstein distance |
| IOU | Intersection over Union |
| RMSE | root mean square error |
| MC | Monte Carlo |
References
- Li, S.; Guo, C. A Novel inverse-Wishart-Student’st mixture distribution based Variational Bayesian Kalman Filter. IEEE Sens. J. 2024, 24, 39325–39333. [Google Scholar] [CrossRef]
- Mirsadraei, I.; Dehghan, S.M.-M.; Mofrad, R.F. Poisson multi-bernoulli mixture filter for enhanced tracking of spawning targets. Digit. Signal Process. 2025, 162, 105154. [Google Scholar] [CrossRef]
- He, J.; Peng, B.; Wang, G. A non-linear non-Gaussian filtering framework based on the Gaussian noise model jump assumption. Automatica 2025, 178, 112360. [Google Scholar] [CrossRef]
- Wen, Z.; Lan, J.; Zheng, L.; Zeng, T. Vehicle Tracking Using Shape-Dependent Mixture Model with Edge-Concentrated Measurements. IEEE Trans. Intell. Transp. Syst. 2025, 26, 8337–8352. [Google Scholar] [CrossRef]
- Xia, W.; Song, F.; Peng, Z. Dynamic Obstacle Perception Technology for UAVs Based on LiDAR. Drones 2025, 9, 540. [Google Scholar] [CrossRef]
- Kim, D.; Jo, K.; Lee, M.; Sunwoo, M. L-shape model switching-based precise motion tracking of moving vehicles using laser scanners. IEEE Trans. Intell. Transp. Syst. 2017, 19, 598–612. [Google Scholar] [CrossRef]
- Huang, S.; Ren, S.; Wu, W.; Liu, Q. Discriminative features enhancement for low-altitude UAV object detection. Pattern Recogn. 2024, 147, 110041. [Google Scholar] [CrossRef]
- Wen, Z.; Zheng, L.; Zeng, T. Extended Object Tracking Using an Orientation Vector Based on Constrained Filtering. Remote Sens. 2025, 17, 1419. [Google Scholar] [CrossRef]
- Liu, S.; Liang, Y.; Xu, L. Maneuvering extended object tracking based on constrained expectation maximization. Signal Process. 2022, 201, 108729. [Google Scholar] [CrossRef]
- Li, M.; Lan, J.; Li, X.R. Tracking of Extended Object Using Random Triangle Model. IEEE Trans. Aerosp. Electron. Syst. 2024, 61, 2926–2940. [Google Scholar] [CrossRef]
- Dahlén, K.-M.; Lindberg, C.; Yoneda, M.; Ogawa, T. An improved b-spline extended object tracking model using the iterative closest point method. In Proceedings of the IEEE 25th International Conference on Information Fusion, Linköping, Sweden, 4–7 August 2022; pp. 1–8. [Google Scholar]
- Yang, S.; Baum, M. Second-order extended Kalman filter for extended object and group tracking. In Proceedings of the IEEE 19th International Conference on Information Fusion, Heidelberg, Germany, 5–8 August 2016; pp. 1178–1184. [Google Scholar]
- Liu, S.; Liang, Y.; Xu, L.; Li, T.; Hao, X. EM-based extended object tracking without a priori extension evolution model. Signal Process. 2021, 188, 108181. [Google Scholar] [CrossRef]
- Li, M.; Lan, J.; Li, M.; Lan, J.; Li, X.R. Tracking of elliptical object with unknown but fixed lengths of axes. IEEE Trans. Aerosp. Electron. Syst. 2023, 59, 6518–6533. [Google Scholar] [CrossRef]
- Yang, S.; Baum, M. Tracking the orientation and axes lengths of an elliptical extended object. IEEE Trans. Signal Process. 2019, 67, 4720–4729. [Google Scholar] [CrossRef]
- Gramsch, C.; Yang, S.; Alqaderi, H. A batch update using multiplicative noise modelling for extended object tracking. In Proceedings of the IEEE 27th International Conference on Information Fusion, Venice, Italy, 8–11 July 2024; pp. 1–8. [Google Scholar]
- Zhang, X.; Lan, J. Measurement combination estimator for multisensor extended object tracking using random matrix. IEEE Trans. Aerosp. Electron. Syst. 2023, 60, 698–715. [Google Scholar] [CrossRef]
- Zhang, X.; Lan, J. Extended-object or group-target tracking using random matrix with nonlinear measurements. IEEE Trans. Signal Process. Syst. 2019, 67, 5130–5142. [Google Scholar]
- Koch, J.W. Bayesian approach to extended object and cluster tracking using random matrices. IEEE Trans. Aerosp. Electron. Syst. 2008, 44, 1042–1059. [Google Scholar] [CrossRef]
- Feldmann, M.; Fränken, D.; Koch, W. Tracking of extended objects and group targets using random matrices. IEEE Trans. Signal Process. 2010, 59, 1409–1420. [Google Scholar] [CrossRef]
- Jian, L.; Li, X. Tracking of extended object or target group using random matrix: New model and approach. IEEE Trans. Aerosp. Electron. Syst. 2016, 52, 2973–2989. [Google Scholar] [CrossRef]
- Zhang, L.; Lan, J. Extended object tracking using aspect ratio. IEEE Trans. Signal Process. 2024, 72, 2157–2170. [Google Scholar] [CrossRef]
- Tuncer, B.; Özkan, E. Random matrix based extended target tracking with orientation: A new model and inference. IEEE Trans. Signal Process. 2021, 69, 1910–1923. [Google Scholar] [CrossRef]
- Zhang, L.; Lan, J. Tracking of extended object using random matrix with non-uniformly distributed measurements. IEEE Trans. Signal Process. 2021, 69, 3812–3825. [Google Scholar] [CrossRef]
- Sun, S.; Peng, F.; Lin, H. Distributed asynchronous fusion estimator for stochastic uncertain systems with multiple sensors of different fading measurement rates. IEEE Trans. Signal Process. 2018, 66, 641–653. [Google Scholar] [CrossRef]
- Zhu, H.; Zhang, G.; Li, Y.; Leung, H. A novel robust Kalman filter with unknown non-stationary heavy-tailed noise. Automatica 2021, 127, 109511. [Google Scholar] [CrossRef]
- Wang, K.; Wu, P.; Zhao, B.; Kong, L.; He, S. Reconstructed variational Bayesian Kalman filter under heavy-tailed and skewed noises. IEEE Signal Process. Lett. 2024, 31, 2405–2409. [Google Scholar] [CrossRef]
- Li, S.; Nie, J.; Xie, X.; Mao, W. A robust kalman filter via gamma student’s t-mixture distribution under heavy-tailed measurement noise. IEEE Sens. J. 2023, 23, 26215–26225. [Google Scholar] [CrossRef]
- Chen, H.; Zhang, D.; Lian, F.; Chambers, C.H. Student’s t inverse Wishart smoothing algorithm for extended target tracking. J. Electron. Inf. Technol. 2024, 46, 3353–3362. [Google Scholar]
- Xue, X.; Huang, S.; Wei, D. MMF-GSTIW-PMBM adaptive filter for multiple group target tracking with heavy-tailed noise. IEEE Sens. J. 2024, 23, 19959–19973. [Google Scholar] [CrossRef]
- Yu, Y.; Li, J.; Wu, T. A Group Target Tracking Method for Unmanned Ground Vehicles Based on Multi-Ellipse Shape Modeling. Drones 2025, 9, 620. [Google Scholar] [CrossRef]
- Yang, X.; Jiao, Q. Variational approximation for adaptive extended target tracking in clutter with random matrix. IEEE Trans. Signal Process. 2021, 69, 1910–1923. [Google Scholar] [CrossRef]
- Lyu, R.; Cai, Y.; Yao, L. An Event-Triggered Hybrid Consensus Filter for Distributed Extended Object Tracking. IEEE Signal Process. Lett. 2025, 32, 2070–2074. [Google Scholar] [CrossRef]
- Wang, S.; Men, C.; Li, R.; Yeo, T.-S. A maneuvering extended target tracking IMM algorithm based on second-order EKF, IEEE Transactions on Instrumentation and Measurement. IEEE Trans. Instrum. Meas. 2024, 73, 1–11. [Google Scholar]
- Yang, Z.; Li, X.; Yao, X.; Sun, J.; Shan, T. Gaussian Process Gaussian Mixture PHD filter for 3D multiple extended target Tracking. Remote Sens. 2023, 15, 3224. [Google Scholar] [CrossRef]
- Yang, X.; Huang, A.; Lou, J.; Gou, J.; Fu, W.; Yan, J. An Efficient 3D Multi-Object Tracking Algorithm for Low-Cost UGV Using Multi-Level Data Association. Drones 2025, 9, 747. [Google Scholar] [CrossRef]
- Fu, C.; Jin, J.; Ding, F.; Li, Y.; Lu, G. Spatial reliability enhanced correlation filter: An efficient approach for real-time UAV tracking. IEEE Trans. Multimed. 2021, 26, 4123–4137. [Google Scholar] [CrossRef]







| Approaches | Time (s) | GWD (m) | IOU (m2) | Pos. (m) | Len. (m) |
|---|---|---|---|---|---|
| Gauss-EOT | 50 | 62.5174 | 2.5962 | 38.7144 | 26.0353 |
| 75 | 212.2947 | 0.6086 | 25.3820 | 199.5003 | |
| 100 | 44.3187 | 2.4410 | 18.8300 | 17.8623 | |
| ST-EOT | 50 | 39.6813 | 2.5811 | 28.3490 | 17.0332 |
| 75 | 179.2277 | 0.6894 | 22.2775 | 170.0422 | |
| 100 | 31.0673 | 2.7292 | 18.3621 | 25.2322 | |
| VB-ST-EOT | 50 | 42.4334 | 2.7221 | 28.2672 | 12.1820 |
| 75 | 103.9675 | 1.7827 | 22.6242 | 95.7854 | |
| 100 | 35.7727 | 2.6467 | 18.0001 | 13.2599 | |
| VB-ST-AEOT | 50 | 37.1910 | 2.3180 | 27.6483 | 19.8621 |
| 75 | 61.7636 | 2.1822 | 22.4185 | 42.3818 | |
| 100 | 29.5135 | 2.7785 | 17.0948 | 22.2208 |
| Approaches | Gauss-EOT | ST-EOT | VB-ST-EOT | VB-ST-AEOT | |
|---|---|---|---|---|---|
| GWD (m) | 100 | 55.1482 | 51.2250 | 44.3952 | 38.5187 |
| 200 | 74.0317 | 70.5143 | 57.0543 | 46.5030 | |
| 300 | 91.7355 | 87.6035 | 72.9368 | 56.2004 | |
| IOU (m2) | 100 | 2.3438 | 2.4593 | 2.5922 | 2.7988 |
| 200 | 1.8184 | 1.8778 | 2.1719 | 2.5066 | |
| 300 | 1.4848 | 1.5323 | 1.8335 | 2.2100 |
| Approaches | GWD (m) | IOU (m2) | Pos. (m) | Len. (m) |
|---|---|---|---|---|
| VB-ST-EOT | ↑ | ↑ | → | ↑ |
| VB-ST-AEOT | ↑ | ↑ | → | ↑ |
| Approaches | Runtime (s) |
|---|---|
| Gauss-EOT | 0.0020 |
| ST-EOT | 0.0039 |
| VB-ST-EOT | 0.0041 |
| VB-ST-AEOT | 0.0053 |
Disclaimer/Publisher’s Note: The statements, opinions and data contained in all publications are solely those of the individual author(s) and contributor(s) and not of MDPI and/or the editor(s). MDPI and/or the editor(s) disclaim responsibility for any injury to people or property resulting from any ideas, methods, instructions or products referred to in the content. |
© 2025 by the authors. Licensee MDPI, Basel, Switzerland. This article is an open access article distributed under the terms and conditions of the Creative Commons Attribution (CC BY) license.
Share and Cite
Yang, H.; Zhu, Y.; Zhang, Y.; Chen, X. Robust Extended Object Tracking Based on Variational Bayesian for Unmanned Aerial Vehicles Under Unknown Outliers. Drones 2026, 10, 4. https://doi.org/10.3390/drones10010004
Yang H, Zhu Y, Zhang Y, Chen X. Robust Extended Object Tracking Based on Variational Bayesian for Unmanned Aerial Vehicles Under Unknown Outliers. Drones. 2026; 10(1):4. https://doi.org/10.3390/drones10010004
Chicago/Turabian StyleYang, Haibo, Yu Zhu, Yanning Zhang, and Xueling Chen. 2026. "Robust Extended Object Tracking Based on Variational Bayesian for Unmanned Aerial Vehicles Under Unknown Outliers" Drones 10, no. 1: 4. https://doi.org/10.3390/drones10010004
APA StyleYang, H., Zhu, Y., Zhang, Y., & Chen, X. (2026). Robust Extended Object Tracking Based on Variational Bayesian for Unmanned Aerial Vehicles Under Unknown Outliers. Drones, 10(1), 4. https://doi.org/10.3390/drones10010004
