A Preliminary Approach towards Rotor Icing Modeling Using the Unsteady Vortex Lattice Method
Abstract
1. Introduction
2. Materials and Methods
2.1. Background and Inspiration
2.2. Unsteady Vortex Lattice Method for Rotor Heat Transfer (UVLM-RHT)
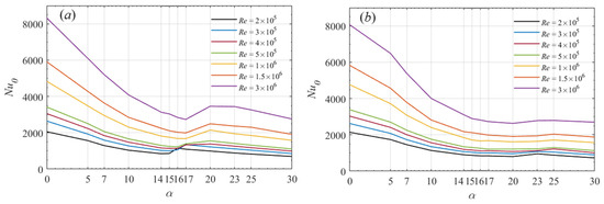
2.2.1. UVLM Basics
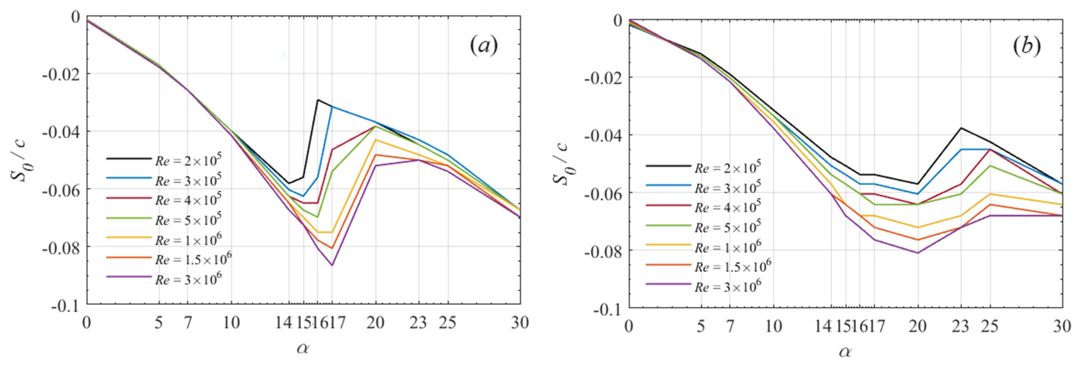
2.2.2. The Viscous Coupling Algorithm
| Algorithm 1 Modified α-based Viscous Coupling Algorithm [39]. | |||
| Viscous Coupling Algorithm | |||
| Solve the inviscid UVLM and obtain CL,inv at all radial positions for each radial position | |||
| While | |||
| 1 | Calculate the effective angle of attack αEff | ||
| 2 | Interpolate the viscous lift CL,visc at αEff from the viscous database | ||
| 3 | Update with relaxation factor ε the viscous correction angle | ||
| end | |||
| end | |||
2.2.3. Convective Heat Transfer Calculation
2.3. Droplet Collection Efficiency
2.4. The Icing Thermodynamic Model
2.4.1. Mass Balance
2.4.2. Energy Balance
2.4.3. Stagnation Line Freezing Fraction
2.4.4. Possible Icing/Anti-Icing Scenarios
3. Results
3.1. Experimental and Numerical Model Setup
3.1.1. Experimental Rotor Tests
3.1.2. UVLM Runs
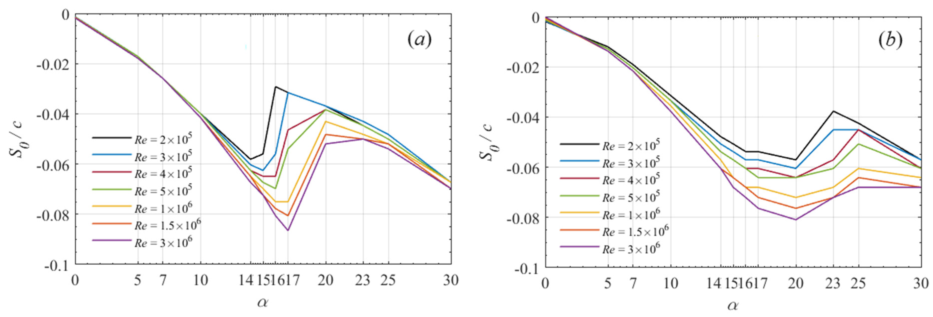
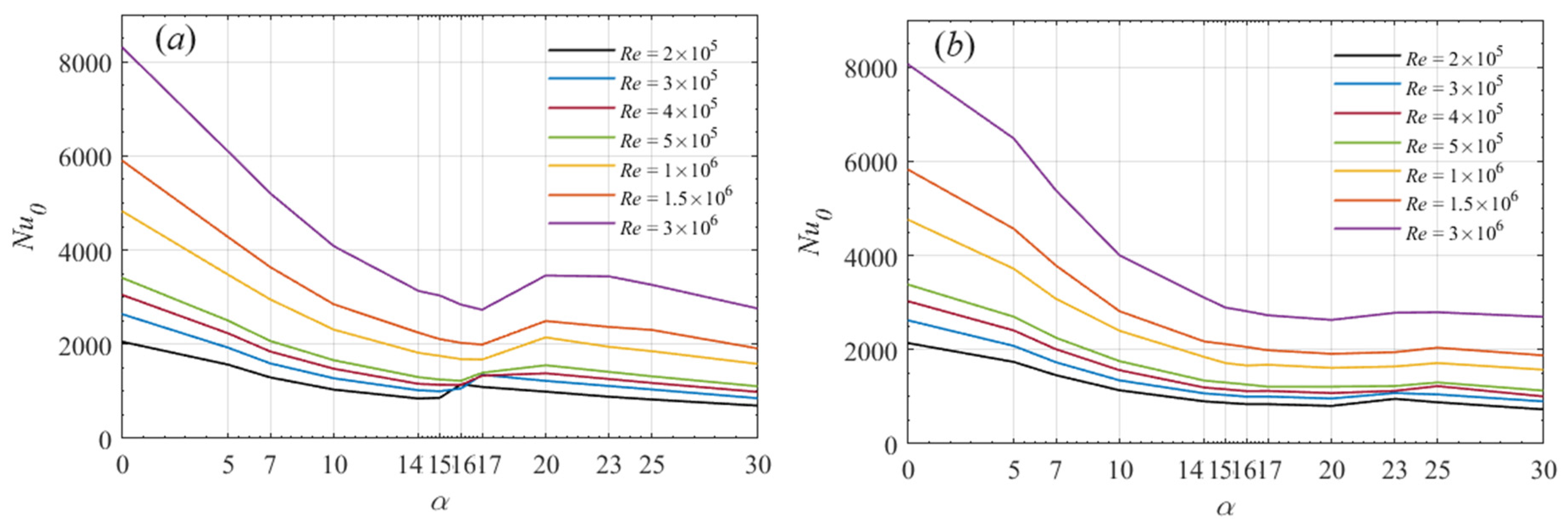
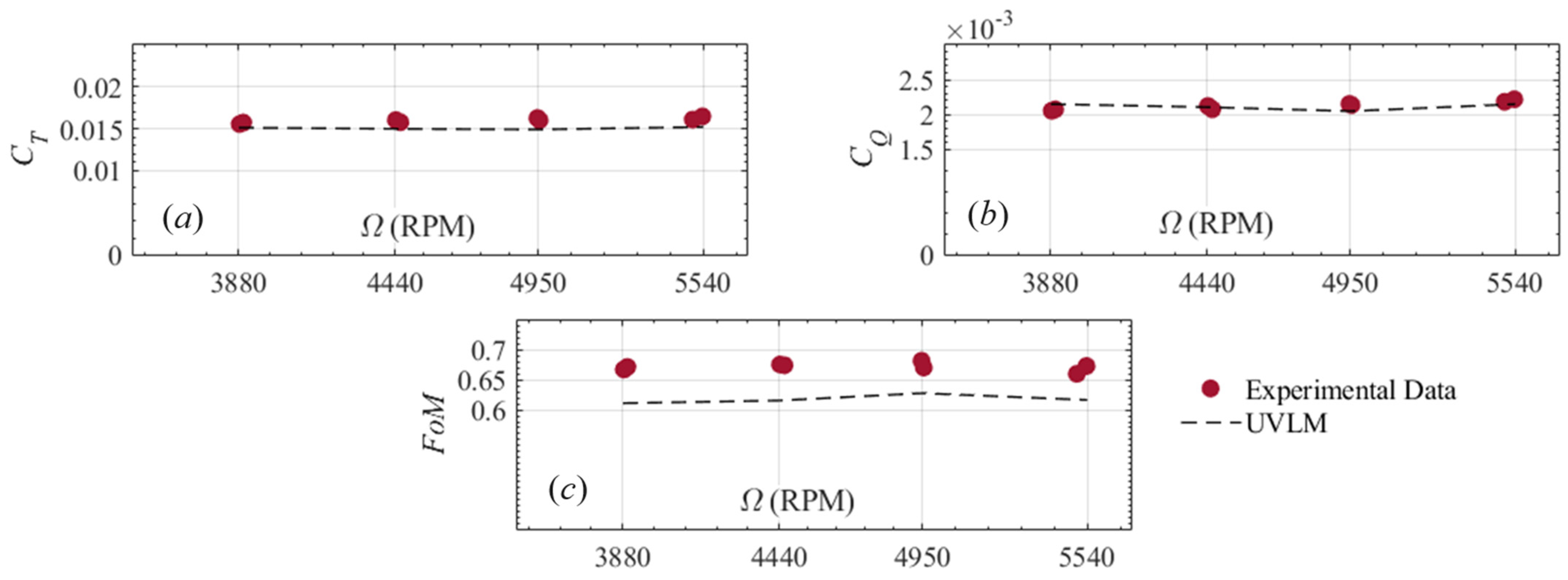
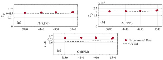
3.2. Rotor Aerodynamic Modeling: From Comparison to Experiments
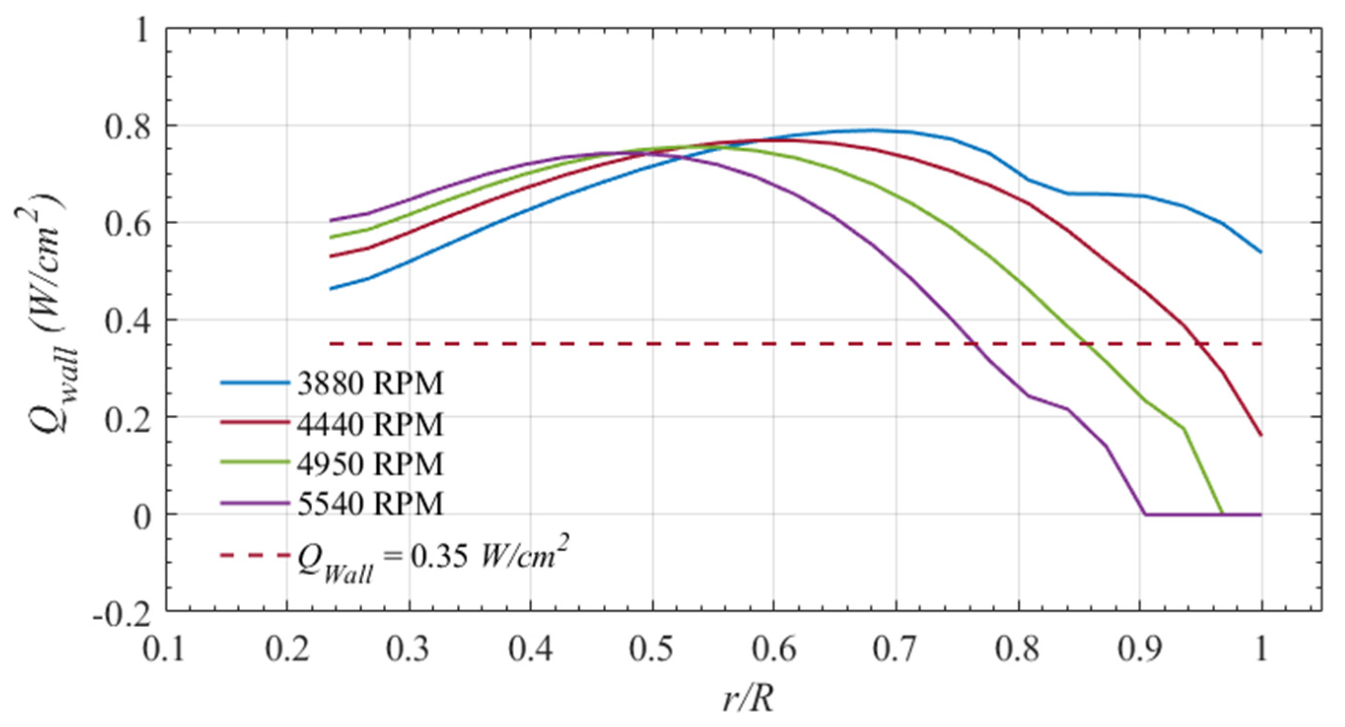
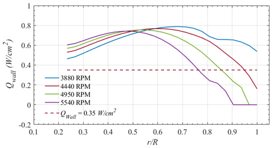
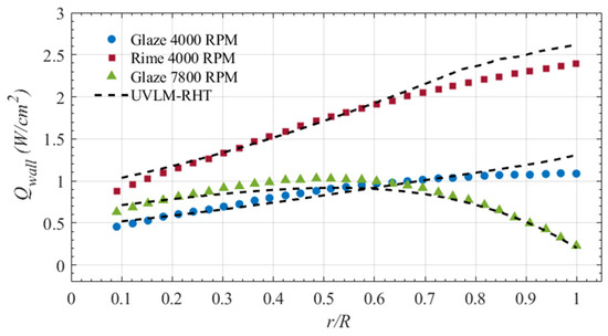
3.3. Rotor Icing Analysis: From Comparison to Experiments
3.3.1. Tests at T∞ = −5 °C
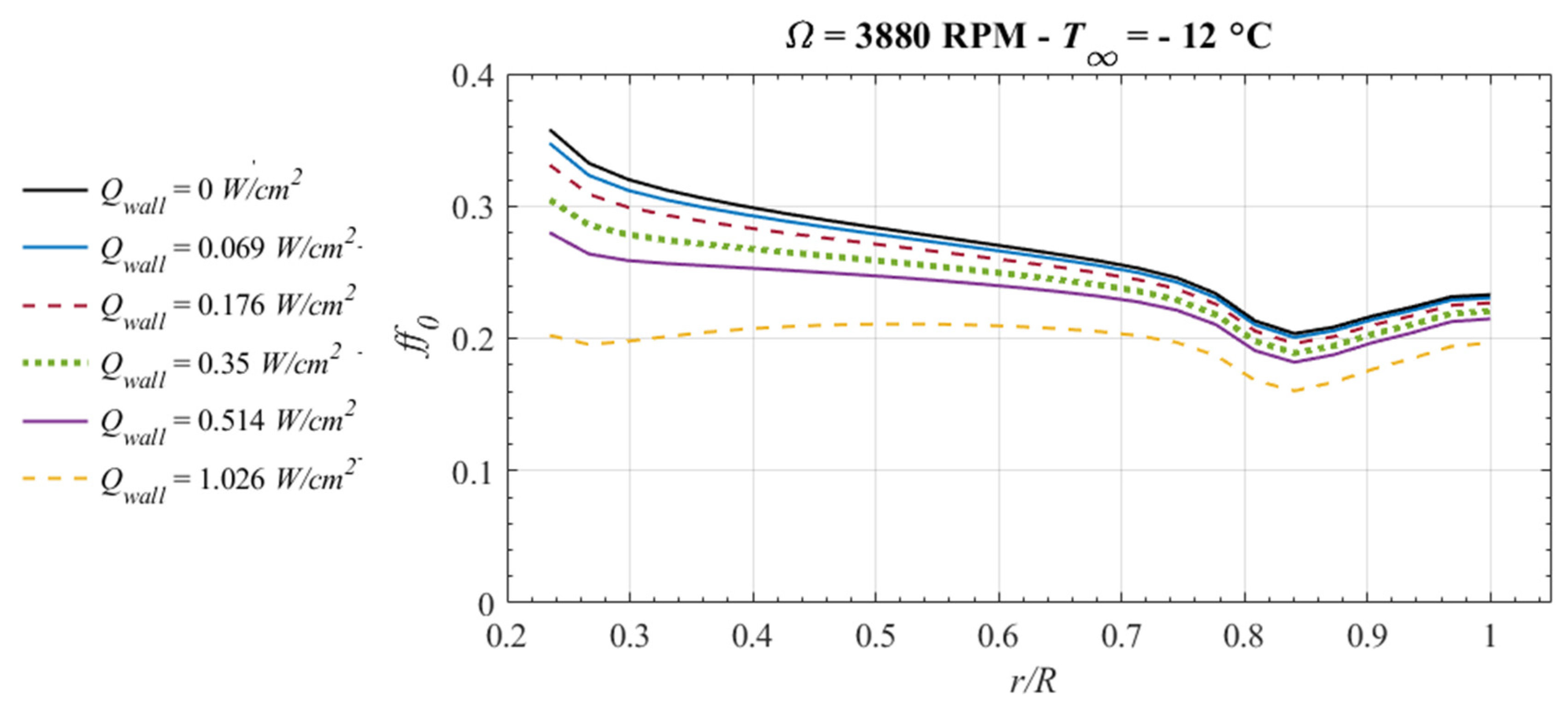
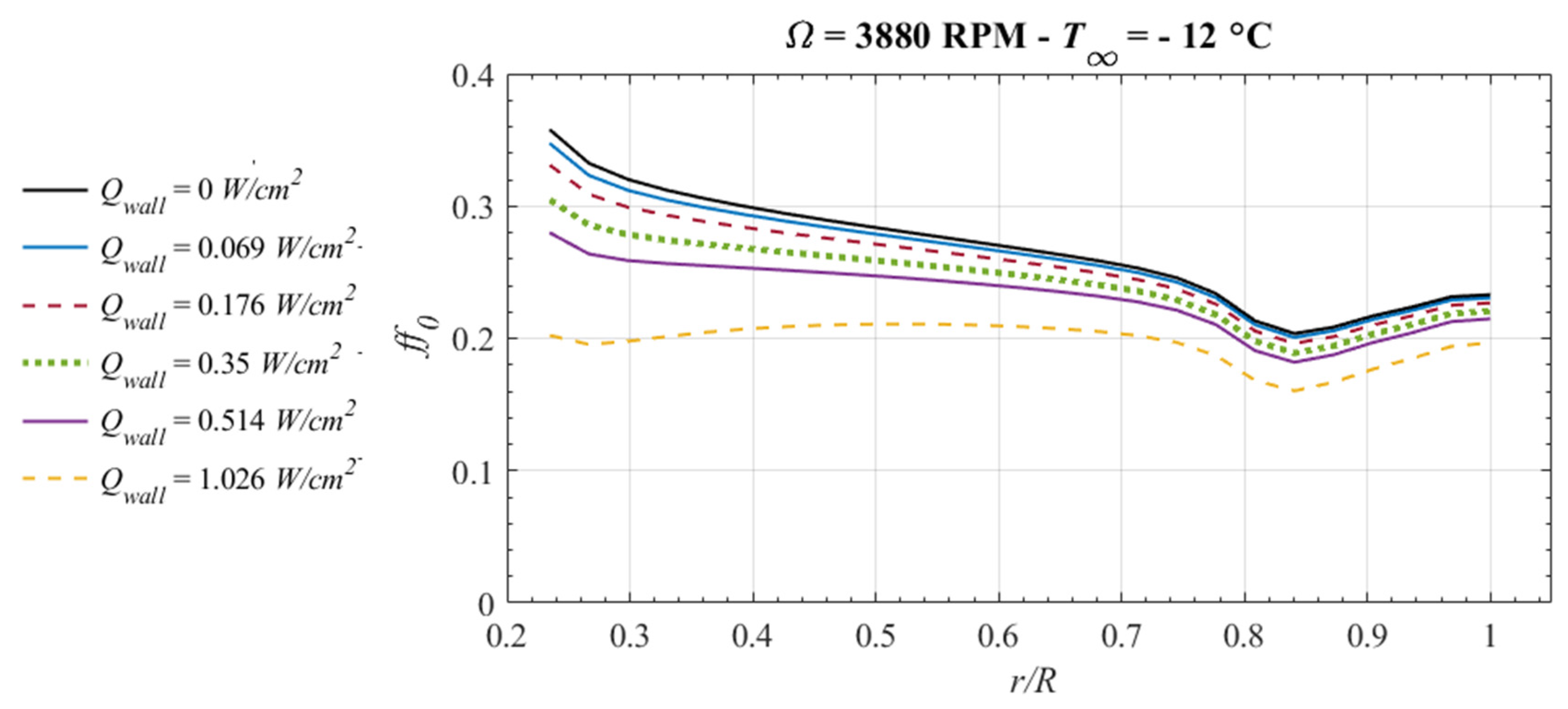
3.3.2. Tests at T∞ = −12 °C
4. Discussion
5. Conclusions
Author Contributions
Funding
Data Availability Statement
Acknowledgments
Conflicts of Interest
Appendix A
- Mass Transfer Equations
- (1)
- is the mass flow rate from the incoming droplets of water (carried by the freestream):
- (2)
- is the mass flow rate moving from a neighboring cell into the CV. In this analysis, only the stagnation point is considered, so the only term for the incoming mass flow rate into the CV is the one from the impinging droplets and .
- (3)
- is one of the two quantities describing the evaporating mass flow rate () or the sublimating mass flow rate (). In this work, only is accounted for in the case of a glaze ice accretion (Equation (31)), whereas only is accounted for in the case of a rime ice accretion (Equation (32)). is the saturation vapor pressure of air over water given by Equation (33) (T > 0 °C), and is the saturation vapor pressure of air over ice given by Equation (34) (T ≤ 0 °C). Both equations are obtained from [50].
- (4)
- is the amount of ice that is frozen on the surface. This term can be calculated by knowing the value of the freezing fraction ff. The latter is defined as the ratio of the amount of frozen water onto the surface to the total amount of water flow into the CV, as described by Equation (37). By rearranging the terms, and remembering that this analysis only deals with the stagnation point (), the frozen amount of ice can be calculated by Equation (38):
- (5)
- is the mass flow rate going out of the CV into the neighboring cell, which is also equal to the amount of unfrozen water in the cell. Since all other mass flow terms are accounted for by their own correlations, it is the only remaining unknown term in the mass balance (Equation (22)) and can be calculated by Equation (39):
- Energy Transfer Equations
- (1)
- is the heat lost from the CV by convective heat transfer (Equation (40)). In this work, this energy term is accounted for by first calculating the Nu through the coupled UVLM-RHT approach proposed in this paper. Correlations (15) or (16) are proposed as a means to calculating the Nu at the stagnation point of the airfoil (NACA 0012 or NACA 4412, respectively), which is, in turn, used in Equation (12) to calculate the heat transfer coefficient hc.
- (2)
- is the heat lost from the CV to raise the temperature of the impinging water droplets from the freestream temperature T∞ to the freezing temperature of water Tfr = 0 °C (Equation (41)):
- (3)
- is the heat lost from the CV due to icing (Equation (42)). It consists of two terms: the first is the heat capacity of ice when increasing its temperature from the surface temperature to the freezing temperature. The other term represents the energy released by the phase change of water to ice (which occurs at a constant temperature) and is referred to as the latent heat of fusion. For the analysis in this paper, the temperature is assumed to be constant within the water and ice layers; therefore, Tsurf = Tfr = 0 °C, and the first term of Equation (42) disappears:
- (4)
- is the heat lost from the CV by water flowing out and into the neighboring CV (Equation (43)). For the analysis in this paper, the temperature is assumed to be constant within the water and ice layers; therefore, Tsurf = Tfr = 0°C and = 0.
- (5)
- is the heat lost from the CV due to radiation (Equation (44)). σ = 5.6703 × 10−8 (W/m2.K4) is the Stefan–Boltzmann constant, and υ is the emissivity level at the water–air or ice–air interface (assumed constant at υ = 0.9).
- (6)
- is the heat lost from the CV due to the evaporation of water (Equation (45)) [28,52]. is the evaporation function given by Equation (46); e0 =27.03 is the saturation vapor pressure constant; and is the evaporation parameter given by Equation (47) [53]. is used for airflow over water, when only a liquid water film flows over the airfoil (ff0 = 0 and Tsurf > 0°C) or when a water–ice mix is predicted (0 < ff0 < 1 and Tsurf = 0 °C), and the surface represents an air–water interface.
- (7)
- (8)
- is the heat gained by the CV from the kinetic energy of the water droplets striking the surface (Equation (50)):
- (9)
- is the heat gained by the CV due to aerodynamic heating (Equation (51)), where TT is the total air temperature. is the adiabatic recovery factor (either or depending on whether the flow conditions are laminar or turbulent, respectively [54]). In this work, the complex flow generated by the blades and their wakes is assumed to provide turbulent flow conditions.
- (10)
- is the heat gained by the CV by water flowing into it from a neighboring CV. For the analysis at the stagnation point, the only incoming water is from the impinging droplets; therefore, .
- (11)
- is the sought-after heat flux required to anti-ice the blade surface, which was given previously by Equation (23).
Appendix B. Air, Water and Ice-Specific Properties
| Symbol | Definition | Value | Unit |
|---|---|---|---|
| Cp,a | Specific heat capacity of air | 1005 | J/kg.K |
| Cp,w | Specific heat capacity of liquid water | 4184 | J/kg.K |
| Cp,i | Specific heat capacity of ice | 2108 | J/kg.K |
| Lf | Latent heat of fusion of water | 334 × 103 | J/kg |
| Le | Latent heat of water evaporation | 2257 × 103 | J/kg |
| Ls | Latent heat of sublimation of ice | 2838 × 103 | J/kg |
| ρa | Density of air | 1.316 | kg/m3 |
| ρw | Density of water | 997 | kg/m3 |
| ρi,g | Density of glaze ice | 917 | kg/m3 |
| ρi,r | Density of rime ice | 880 | kg/m3 |
| R | Molecular gas constant of air | 287 | J/kg.K |
| μa | Kinematic viscosity of air | 12.85 × 10−6 | m2/s |
| νa | Dynamic viscosity of air | 16.9 × 10−6 | kg/m.s |
| P∞ | Atmospheric pressure | 101,300 | Pa |
| ka | Thermal conductivity of air | 23.97 × 10−4 | m/W.K |
| Pra | Prandtl number of air | 0.7085 | - |
| Sca | Schmidt number of air | 0.4708 | - |
| Lea | Lewis number of air | 0.6645 | - |
| σ | Stefan–Boltzmann constant | 5.6703 × 10−8 | W/m2.K4 |
| υw | Emissivity of water | ≈1 | - |
References
- Cao, Y.; Tan, W.; Wu, Z. Aircraft icing: An ongoing threat to aviation safety. Aerosp. Sci. Technol. 2018, 75, 353–385. [Google Scholar] [CrossRef]
- Gao, M.; Hugenholtz, C.H.; Fox, T.A.; Kucharczyk, M.; Barchyn, T.E.; Nesbit, P.R. Weather constraints on global drone flyability. Sci. Rep. 2021, 11, 12092. [Google Scholar] [CrossRef] [PubMed]
- Hassanalian, M.; Abdelkefi, A. Classifications, applications, and design challenges of drones: A review. Prog. Aerosp. Sci. 2017, 91, 99–131. [Google Scholar] [CrossRef]
- Vergouw, B.; Nagel, H.; Bondt, G.; Custers, B. Drone technology: Types, payloads, applications, frequency spectrum issues and future developments. In The Future of Drone Use: Opportunities and Threats from Ethical and Legal Perspectives; T.M.C. Asser Press: The Hague, The Netherlands, 2016; pp. 21–45. [Google Scholar]
- Liu, Y.; Li, L.; Ning, Z.; Tian, W.; Hu, H. Experimental investigation on the dynamic icing process over a rotating propeller model. J. Propuls. Power 2018, 34, 933–946. [Google Scholar] [CrossRef]
- Villeneuve, E.; Samad, A.; Volat, C.; Beland, M.; Lapalme, M. Experimental Assessment of the Ice Protection Effectiveness of Icephobic Coatings for a Hovering Drone Rotor. Cold Reg. Sci. Technol. 2023, 210, 103858. [Google Scholar] [CrossRef]
- Han, N.; Hu, H.; Hu, H. An Experimental Investigation to Assess the Effectiveness of Various Anti-Icing Coatings for UAV Propeller Icing Mitigation. In Proceedings of the AIAA Aviation 2022 Forum, Chicago, IL, USA, 27 June–1 July 2022. [Google Scholar] [CrossRef]
- Aubert, R. Additional Considerations for Analytical Modeling of Rotor Blade Ice. In Proceedings of the SAE 2015 International Conference on Icing of Aircraft, Engines, and Structures, Prague, Czech Republic, 22–25 June 2015; Available online: https://saemobilus.sae.org/content/2015-01-2080 (accessed on 8 February 2024).
- Gent, R.W.; Moser, R.J.; Cansdale, J.T.; Dart, N.P. The Role of Analysis in the Development of Rotor Ice Protection Systems; SAE Technical Paper; SAE: Warrendale, PA, USA, 2003. [Google Scholar] [CrossRef]
- Wright, W. User Manual for LEWICE Ver. 3.2; NASA Glenn Research Center: Cleveland, OH, USA, 2008. Available online: https://ntrs.nasa.gov/search.jsp?R=20080048307 (accessed on 8 February 2024).
- Guffond, D.; Brunet, L. Validation du Programme Bidimensionnel de Capitation; Oce National D’Etudes et de Recherches Aerospatiales. ONERA RP 1988, 20, 5146. [Google Scholar]
- Beaugendre, H.; Morency, F.; Habashi, W.G. Development of a second generation in-flight icing simulation code. J. Fluids Eng. 2006, 128, 378–387. [Google Scholar] [CrossRef]
- Morency, F.; Tezok, F.; Paraschivoiu, I. Anti-icing system simulation using CANICE. J. Aircr. 1999, 36, 999–1006. [Google Scholar] [CrossRef]
- The National Transportation Safety Board (NTSB). National Transportation Safety Board Aviation Accident Final Report; The National Transportation Safety Board (NTSB): Soldotna, AK, USA, 2005. [Google Scholar]
- Ghenai, C.; Lin, C.X. Verification and validation of NASA LEWICE 2.2 icing software code. J. Aircr. 2006, 43, 1253–1258. [Google Scholar] [CrossRef]
- Habashi, W.G.; Aubé, M.; Baruzzi, G.; Morency, F.; Tran, P.; Narramore, J.C. FENSAP-ICE: A fully-3d in-flight icing simulation system for aircraft, rotorcraft and UAVS. In Proceedings of the 24th International Congress of The Aeronautical Sciences, Yokohama, Japan, 29 August–3 September 2004; pp. 1–10. Available online: http://www.icas.org/ICAS_ARCHIVE/ICAS2004/PAPERS/608.PDF (accessed on 8 February 2024).
- Chen, X.; Zhao, Q.-J. Numerical simulations for ice accretion on rotors using new three-dimensional icing model. J. Aircr. 2017, 54, 1428–1442. [Google Scholar] [CrossRef]
- Morelli, M.; Guardone, A. A simulation framework for rotorcraft ice accretion and shedding. Aerosp. Sci. Technol. 2022, 129, 107157. [Google Scholar] [CrossRef]
- Lee, H.; Sengupta, B.; Araghizadeh, M.S.; Myong, R.S. Review of vortex methods for rotor aerodynamics and wake dynamics. Adv. Aerodyn. 2022, 4, 20. [Google Scholar] [CrossRef]
- Tugnoli, M.; Montagnani, D.; Syal, M.; Droandi, G.; Zanotti, A. Mid-fidelity approach to aerodynamic simulations of unconventional VTOL aircraft configurations. Aerosp. Sci. Technol. 2021, 115, 106804. [Google Scholar] [CrossRef]
- Joshi, H.; Thomas, P. Review of vortex lattice method for supersonic aircraft design. Aeronaut. J. 2023, 127, 1–35. [Google Scholar] [CrossRef]
- Samad, A.; Tagawa, G.B.S.; Morency, F.; Volat, C. Predicting rotor heat transfer using the viscous blade element momentum theory and unsteady vortex lattice method. Aerospace 2020, 7, 90. [Google Scholar] [CrossRef]
- Samad, A.; Tagawa, G.B.S.; Khamesi, R.R.; Morency, F.; Volat, C. Frossling Number Assessment for Airfoil Under Fully Turbulent Flow Conditions. J. Thermophys. Heat Trans. 2021, 36, 389–398. [Google Scholar] [CrossRef]
- Kim, J. Development of a Physics Based Methodology for the Prediction of Rotor Blade Ice Formation; SmarTech: Atlanta, GA, USA, 2015. [Google Scholar]
- Lavoie, P.; Pena, D.; Hoarau, Y.; Laurendeau, E. Comparison of thermodynamic models for ice accretion on airfoils. Int. J. Numer. Methods Heat Fluid Flow 2018, 28, 1004–1030. [Google Scholar] [CrossRef]
- Reid, T.; Baruzzi, G.S.; Habashi, W.G. FENSAP-ICE: Unsteady conjugate heat transfer simulation of electrothermal de-icing. J. Aircr. 2012, 49, 1101–1109. [Google Scholar] [CrossRef]
- Morency, F.; Tezok, F.; Paraschivoiu, I. Heat and mass transfer in the case of anti-icing system simulation. J. Aircr. 2000, 37, 245–252. [Google Scholar] [CrossRef]
- Özgen, S.; Canıbek, M. Ice accretion simulation on multi-element airfoils using extended Messinger model. J. Heat Mass Transf. 2009, 45, 305–322. [Google Scholar] [CrossRef]
- Messinger, B.L. Equilibrium temperature of an unheated icing surface as a function of air speed. J. Aeronaut. Sci. 1953, 20, 29–42. [Google Scholar] [CrossRef]
- Bond, T.H.; Anderson, D.N. Manual of Scaling Methods; NASA Glenn Research Center: Cleveland, OH, USA, 2004. Available online: https://ntrs.nasa.gov/citations/20040042486 (accessed on 8 February 2024).
- Poinsatte, P.; Newton, J.; De Witt, K.; Van Fossen, J. Heat transfer measurements from a smooth NACA 0012 airfoil. J Aircr 1991, 28, 892–898. [Google Scholar] [CrossRef]
- Katz, J.; Plotkin, A. Low Speed Aerodynamics, 2nd ed.; Cambridge University Press: New York, NY, USA, 2001; Volume 13. [Google Scholar]
- Leishman, J.G.; Bhagwat, M.J.; Bagai, A. Free-vortex filament methods for the analysis of helicopter rotor wakes. J. Aircr. 2002, 39, 759–775. [Google Scholar] [CrossRef]
- Proulx-Cabana, V.; Nguyen, M.T.; Prothin, S.; Michon, G.; Laurendeau, E. A Hybrid Non-Linear Unsteady Vortex Lattice-Vortex Particle Method for Rotor Blades Aerodynamic Simulations. Fluids 2022, 7, 81. [Google Scholar] [CrossRef]
- Bhagwat, M.J.; Leishman, J.G. Generalized viscous vortex model for application to free-vortex wake and aeroacoustic calculations. In Proceedings of the 58th Annual Forum Proceedings—American Helicopter Society, Montreal, QC, Canada, 11–13 June 2002; American Helicopter Society, Inc.: Montreal, QC, Canada, 2002; Volume 58, pp. 2042–2057. Available online: https://vtol.org/store/product/generalized-viscous-vortex-model-for-application-to-freevortex-wake-and-aeroacoustic-calculations-1996.cfm (accessed on 8 February 2024).
- Chung, K.H.; Kim, J.W.; Ryu, K.W.; Lee, K.T.; Lee, D.J. Sound generation and radiation from rotor tip-vortex pairing phenomenon. Am. Inst. Aeronaut. Astronaut. (AIAA) J. 2006, 44, 1181–1187. [Google Scholar] [CrossRef]
- Glauert, H. The effect of compressibility on the lift of an aerofoil. Proc. R. Soc. Lond. Ser. A Contain. Pap. A Math. Phys. Character 1928, 118, 113–119. [Google Scholar]
- Parenteau, M.; Plante, F.; Laurendeau, E.; Costes, M. Unsteady Coupling Algorithm for Lifting-Line Methods. In Proceedings of the 55th Aerospace Sciences Meeting, Grapevine, TX, USA, 9–13 January 2017; American Institute of Aeronautics and Astronautics AIAA: Grapevine, TX, USA, 2017; p. 951. [Google Scholar] [CrossRef]
- Gallay, S.; Laurendeau, E. Nonlinear generalized lifting-line coupling algorithms for pre/poststall flows. AIAA J. 2015, 53, 1784–1792. [Google Scholar] [CrossRef]
- Palacios, F.; Alonso, J.; Duraisamy, K.; Colonno, M.; Hicken, J.; Aranake, A.; Campos, A.; Copeland, S.; Economon, T.; Lonkar, A.; et al. Stanford University Unstructured (SU2): An open-source integrated computational environment for multi-physics simulation and design. In Proceedings of the 51st AIAA aerospace sciences meeting including the new horizons forum and aerospace exposition, Grapevine, TX, USA, 7–10 January 2013; p. 287. [Google Scholar] [CrossRef]
- Spalart, P.; Allmaras, S. A one-equation turbulence model for aerodynamic flows. In Proceedings of the 30th Aerospace Sciences Meeting and Exhibit, Reno, NV, USA, 6–9 January 1992; p. 439. [Google Scholar] [CrossRef]
- NASA Langley Turbulence Modeling Resources. Available online: https://turbmodels.larc.nasa.gov/ (accessed on 8 February 2024).
- Gregory, N.; O’Reilly, C.L. Low-Speed Aerodynamic Characteristics of NACA 0012 Aerofoil Section, Including the Effects of Upper-Surface Roughness Simulating Hoar Frost. 1970. Available online: https://reports.aerade.cranfield.ac.uk/handle/1826.2/3003 (accessed on 14 December 2023).
- Langmuir, I.; Blodgett, K. A Mathematical Investigation of Water Droplet Trajectories; Army Air Forces Technical Report No. 5418; Army Air Forces Headquarters, Air Technical Service Command: Wright-Patterson Air Force Base, OH, USA, 1946. [Google Scholar] [CrossRef]
- Palacios, J.L.; Han, Y.; Brouwers, E.W.; Smith, E.C. Icing environment rotor test stand liquid water content measurement procedures and ice shape correlation. J. Am. Helicopter Soc. 2012, 57, 29–40. [Google Scholar] [CrossRef]
- Villeneuve, E.; Samad, A.; Volat, C.; Beland, M.; Lapalme, M. An Experimental Apparatus for Icing Tests of Low Altitude Hovering Drones. Drones 2022, 6, 68. [Google Scholar] [CrossRef]
- Samad, A.; Villeneuve, E.; Volat, C.; Béland, M.; Lapalme, M. Experimental Assessment of the Ice Protection Effectiveness of Electrothermal Heating for a Hovering Drone Rotor. Exp. Therm. Fluid Sci. 2023, 149, 110992. [Google Scholar] [CrossRef]
- Caradonna, F. Performance measurement and wake characteristics of a model rotor in axial flight. J. Am. Helicopter Soc. 1999, 44, 101–108. [Google Scholar] [CrossRef]
- Karpen, N.; Diebald, S.; Dezitter, F.; Bonaccurso, E. Propeller-integrated airfoil heater system for small multirotor drones in icing environments: Anti-icing feasibility study. Cold Reg. Sci. Technol. 2022, 201, 103616. [Google Scholar] [CrossRef]
- Huang, J. A simple accurate formula for calculating saturation vapor pressure of water and ice. J. Appl. Meteorol. Climatol. 2018, 57, 1265–1272. [Google Scholar] [CrossRef]
- Pruppacher, H.R.; Klett, J.D.; Wang, P.K. Microphysics of clouds and precipitation. Aerosol Sci. Technol. 1998, 28, 381–382. [Google Scholar] [CrossRef]
- Myers, T.G. Extension to the Messinger model for aircraft icing. AIAA J. 2001, 39, 211–218. [Google Scholar] [CrossRef]
- Lowe, P.R. An approximating polynomial for the computation of saturation vapor pressure. J. Appl. Meteorol. Climatol. 1977, 16, 100–103. [Google Scholar] [CrossRef]
- Kays, W.M.; Crawford, M. Convective Heat and Mass Transfer, 3rd ed.; McGraw-Hill: New York, NY, USA, 1993. [Google Scholar]


















Disclaimer/Publisher’s Note: The statements, opinions and data contained in all publications are solely those of the individual author(s) and contributor(s) and not of MDPI and/or the editor(s). MDPI and/or the editor(s) disclaim responsibility for any injury to people or property resulting from any ideas, methods, instructions or products referred to in the content. |
© 2024 by the authors. Licensee MDPI, Basel, Switzerland. This article is an open access article distributed under the terms and conditions of the Creative Commons Attribution (CC BY) license (https://creativecommons.org/licenses/by/4.0/).
Share and Cite
Samad, A.; Villeneuve, E.; Morency, F.; Béland, M.; Lapalme, M. A Preliminary Approach towards Rotor Icing Modeling Using the Unsteady Vortex Lattice Method. Drones 2024, 8, 65. https://doi.org/10.3390/drones8020065
Samad A, Villeneuve E, Morency F, Béland M, Lapalme M. A Preliminary Approach towards Rotor Icing Modeling Using the Unsteady Vortex Lattice Method. Drones. 2024; 8(2):65. https://doi.org/10.3390/drones8020065
Chicago/Turabian StyleSamad, Abdallah, Eric Villeneuve, François Morency, Mathieu Béland, and Maxime Lapalme. 2024. "A Preliminary Approach towards Rotor Icing Modeling Using the Unsteady Vortex Lattice Method" Drones 8, no. 2: 65. https://doi.org/10.3390/drones8020065
APA StyleSamad, A., Villeneuve, E., Morency, F., Béland, M., & Lapalme, M. (2024). A Preliminary Approach towards Rotor Icing Modeling Using the Unsteady Vortex Lattice Method. Drones, 8(2), 65. https://doi.org/10.3390/drones8020065

