Documentation of Landslide Occurrence and Significance in Mbonjo, Limbe Town, South-West Cameroon †
Abstract
:1. Introduction
2. Geological Background
3. Materials and Methods
4. Results and Interpretation
4.1. Landslides and Filed Characteristics in the Study Area
4.2. Factors Influencing Landslides in the Study Area
5. Discussion
5.1. Statistical Analysis
5.2. Causes of the Landslides Studied
5.3. Prediction of Landslides in the Mbonjo Area
6. Conclusions
Author Contributions
Funding
Institutional Review Board Statement
Informed Consent Statement
Data Availability Statement
Acknowledgments
Conflicts of Interest
References
- Hutchinson, J. Morphological and Geotechnical Parameters of Landslides in Relation to Geology and Hydrogeology. In Proceedings of the 5th International Symposium on Landslides, Lausanne, Switzerland, 10–15 July 1988. [Google Scholar]
- Cruden, D. A simple definition of landslides. Bull. Int. Assoc. Eng. Geol. 1991, 43, 27–29. [Google Scholar] [CrossRef]
- Terzaghi, K.; Peck, R.B.; Mesri, G. Soil Mechanics in Engineering Practice, 3rd ed.; Wiley and Sons: Philadelphia, PA, USA, 1996; 549p. [Google Scholar]
- Picarelli, L.; Santo, A.; Di Crescenzo, G.; Vassallo, R.; Urciuoli, G.; Silvestri, F.; Olivares, L. A complex slope deformation case-history. Landslides 2022, 19, 1649–1665. [Google Scholar] [CrossRef]
- Tariq, S.; Mondal, M.E.A.; Pradhan, S.P.; Salman, M.; Sohel, M. Geotechnical assessment of cut slopes in the landslide-prone Himalayas: Rock mass characterization and simulation approach (n.d.). Nat. Hazards 2020, 104, 413–435. [Google Scholar]
- Montgomery, D.R.; Schmidt, K.M.; Dietrich, W.E.; McKean, J. Instrumental record of Debris flow initiation during natural rainfall: Implications for modeling slope stability. J. Geophys. Resour. Earth Surf. 2009, 114, 2003–2012. [Google Scholar] [CrossRef]
- Martel, S.J. Mechanics of landslide initiation in a shear fracture phenoenon. Mar. Geol. 2004, 203, 319–320. [Google Scholar] [CrossRef]
- Turner, D.; Lucieer, A.; DeJong, S.M. Time series analysis of landslide dynamics using an unmanned aerial vehicle (UAV), Remote Sensing. Nat. Hazards 2015, 7, 1736–1757. [Google Scholar]
- Guzzetti, F.R. Landslide hazard assessment in the Staffora basin, Northern Italian Apennines. Geomorphology 2005, 72, 272–299. [Google Scholar] [CrossRef]
- Niethammer, U.; Rothmund, S.; James, M.R.; Travelletti, J.; Joswig, M. UAV based remote sensing of landslides. In Proceedings of the International Archives of Photogrammetry, Remote Sensing and Spatial Information Sciences, Commission V Symposium, Newcastle upon Tyne, UK, 21–24 June 2010; pp. 25–50. [Google Scholar]
- Varnes, D.J. Slope movement types and processes. In Landslide Analysis and Control; Schuter, R.T., Krizek, R.J., Eds.; National Academy of Sciences: Washington, DC, USA, 1978. [Google Scholar]
- Fell, R. Landslide risk assessment and acceptable risk. Can. Geotech J. 1994, 31, 261–272. [Google Scholar] [CrossRef]
- Leroueil, S.; Vaunat, J.; Picarelli, L.; Locat, J.; Faure, R.; Lee, H. A geotechnical characterisation of slope movements. In Proceedings of the 7 International Symposium on Landslides, Trondheim, Norway, 17–21 June 1996; Volume 1, pp. 53–74. [Google Scholar]
- Dewitte, O.; Jasselette, J.C.; Cornet, Y.; Collignon, A.; Van Den Eckhaut, M.; Poesen, J.D. Tracking landslide displacements by multi-temporal DTMs: Acombined aerial stereo photogrammetric and LIDAR approach in western Belgium. Eng. Geol. 2008, 99, 11–22. [Google Scholar] [CrossRef]
- Yaprak, S.; Yildirim, O.; Susam, T.; Inyart, S.; Oguz, I. The Role of Unmanned Aerial Vehicles (UAVs) in Monitoring Rapidly Occuring Landslides. Nat. Hazards Earth Syst. Sci. Discuss. 2018, 18. [Google Scholar] [CrossRef]
- Saripalli, S.; Montgomery, J.F.; Sukhatme, G.S. Visually guided landing of an unmanned aerial vehicle. IEEE Trans. Robot. Autom. 2003, 19, 371–380. [Google Scholar] [CrossRef]
- Tahar, K.; Ahmad, A.; Akib, W.A.; Udin, W.S. Unmanned aerial vehicle tech-nology for large scale mapping. In Proceedings of the ISG and ISPRS Conference, Shah Alam, Malaysia, 27–29 September 2011. [Google Scholar]
- Kamila, P. Landslide features identification and morphology investigation using high-resolution DEM derivatives. Nat. Hazards 2018, 96, 311–330. [Google Scholar]
- Eker, R.; Aydın, A.; Hübl, J. Unmanned aerial vehicle (UAV)—Based monitoring of a landslide: Gallenzerkogel landslide (Ybbs-Lower Austria) case study. Environ. Monit. Assess. 2018, 190, 1914. [Google Scholar] [CrossRef] [PubMed]
- Casagli, N.; Frodella, W.; Morelli, S.; Tofani, V.; Ciampa, A.; Intrieri, E.; Raspini, F.; Rossi, G.; Tanteri, L.; Lu, P. Spaceborne, UAV and ground-based remote sensing techniques for landslide mapping, monitoring and early warning. Geoenviron. Disasters 2017, 4, 9. [Google Scholar] [CrossRef]
- Harjeet, K.; Srimanta, G.; Surya, P.; Raju, T. Application of geospatial technologies for multi-hazard mapping and characterization of associated risk at local scale. Ann. GIS 2018, 24, 33–46. [Google Scholar]
- Mantovani, F.; Soeters, R.; Van Westen, C.J. Remote sensing techniques for land slide studies and hazard zonation in Europe. Geomorphology 1996, 15, 213–225. [Google Scholar] [CrossRef]
- Rau, J.Y.; Jhan, J.P.; Lo, C.F.; Lin, Y.S. Landslide mapping using imagery acquired by a fixed-wing UAV. Int. Arch. Photogramm. Remote Sens. Spat. Inf. Sci. 2011, XXXVIII-1/C22, 195–200. [Google Scholar] [CrossRef]
- Hunt, R.; Hively, D.; Fujikawa, S.J.; Linden, D.; Daughtry, C.; McCarty, G. Acquisition of NIR-green-blue digital photographs from unmanned aircraft for crop monitoring. Remote Sens. 2010, 2, 290–305. [Google Scholar] [CrossRef]
- Nagai, M.; Chen, T.; Ahmed, A.; Shibasaki, R. UAV borne mapping by multi sensor integration. Int. Arch. Photogramm. Remote Sens. Spat. Inf. Sci. 2008, 37, 1215–1221. [Google Scholar]
- Ayonghe, S.N.; Ntasin, E.B.; Samalang, P.; Suh, C.E. The June 27, 2001 landslide on volcanic cones in Limbe, Mount Cameroon, West Africa. J. Afr. Earth Sci. 2004, 39, 435–439. [Google Scholar] [CrossRef]
- Ekosse, G.E.; Ngole, V.; Sendze, Y.; Ayonghe, S.N. Environmental mineralogy of unconsolidated surface sediments associated with the 2001 landslides on volcanic cones, Mabeta New Layout, Limbe, Cameroon. Glob. J. Environ. Stud. 2005, 4, 11–122. [Google Scholar] [CrossRef]
- Zogning, A.; Ngouanet, C.; Tiafack, O. The catastrophic geomorphological processes in humid tropical Africa: A case study of the recent landslide disasters in Cameroon. Sedimentol. Geol. 2007, 199, 13–17. [Google Scholar] [CrossRef]
- Thierry, P.; Stieltjes, L.; Kouokam, E.; Ngueya, P.P.S. Multi-hazard risk mapping, and assessment on an active volcano: The GRINP project at Mount Cameroon. Nat. Hazards 2008, 45, 429–456. [Google Scholar] [CrossRef]
- Che, V.B.; Kervyn, M.; Ernst, G.; Trefois, P.; Ayonghe, S.; Jacobs, P.; Suh, C.E. Systematic documentation of landslide events in Limbe area (Mt Cameroon Volcano, SW Cameroon): Geometry, controlling, and triggering factors. Nat. Hazards 2011, 59, 47–74. [Google Scholar] [CrossRef]
- Diko, M.L.; Ekosse, G.E.; Ayonghe, S.N.; Ntasin, E. Physical and geotechnical characterization of unconsolidated sediments associated with the Mbonjo 2005 landslide, Limbe, Cameroon. Int. J. Phys. Sci. 2012, 7, 2784–2790. [Google Scholar]
- Wotchoko, P.; Jacques, M.B.; Zénon, I.; Nkouathio, D.G. Prediction and monitoring of landslide hazard. Nat. Hazards 2016, 20, 117–135. [Google Scholar]
- Guedjeo, C.S.; Kagou Dongmo, A.; Wotchoko, P.; Nkouathio, D.G.; Chenyi, M.L.; Wilson, B.; Kamgang, K.V. Landslide Susceptibility Mapping and Risk Assessment on the Bamenda Mountain Cameroon Volcanic Line. J. Geosci. Geomat. 2017, 5, 173–185. [Google Scholar]
- Ndonbou, R.M.; Nkouathio, D.G.; Tefogoum, G.Z.; Guedjeo, C.S.; Tematio, P.; Fenguia, S.N.D. Mass movements susceptibility analysis along the Southern Escarpment of the Bamileke Plateaus (Western Cameroon Highlands) using a GIS-based analytical approach. Environ. Earth Sci. 2022, 81, 154. [Google Scholar] [CrossRef]
- Déruelle, B.; Ngounouno, I.; Demaiffe, D. The Cameroon Hot Line (CHL): A unique example of active alkaline intraplate structure in both oceanic and continental lithospheres. C. R. Geosci. 2007, 339, 589–598. [Google Scholar] [CrossRef]
- Njome, S.M.; de Wit, M.J. The Cameroon Line: Analysis of an intraplate magmatic province transecting both oceanic and continental lithospheres: Consraints, controversies and models. Earth-Sci. Rev. 2014, 139, 168–194. [Google Scholar] [CrossRef]
- Mebara, O.F.X.; Temdjim, R.; Njombie, M.P.W.; Chazot, G.; Tiabou, A.F.; Mouafo, L.; Njongfang, E. Petrography, Mineral Chemistry and Geochemistry of Quaternary volcanism from Wakwa plain, Adamawa Massif (Cameroon Volcanic Line, West-Central Africa). Arab. J. Geosci. 2022, 15, 1106. [Google Scholar]
- Fonge, B.; Yinda, G.S.; Focho, D.A.; Fongod, A.G.; Bussmann, R.W. Vegetation and soil status on an 80 year old lava flow of Mt. Cameroon, West Africa. Nat. Hazards 2005, 8, 19–41. [Google Scholar]
- Suh, C.E.; Sparks, R.S.; Fitton, J.G.; Ayonghe, S.N.; Annen, C.; Nana, R. The 1999 and 2000 eruptions of Mount Cameroon: Eruption behaviour and petrochemistry of lava. Bull. Volcanol. 2003, 65, 267–281. [Google Scholar] [CrossRef]
- Wandji, P.; Tsafack, J.P.F.; Bardintzeff, J.M.; Nkouathio, D.G.; Kagou Dongmo, A.; Bellon, H.; Guillou, H. Xenoliths of dunites, wehrlites and clinopyroxenites in the basanites from Batoke volcanic cone (Mount Cameroon, Central Africa): Petrogenetic implications. Mineral. Petrol. 2009, 96, 81–98. [Google Scholar] [CrossRef]
- Njome, M.S.; Suh, C.E.; Sparks, R.S.; Ayonghe, S.N.; Fitton, J.G. The Mount Cameroon 1959 compound lava flow field; morphology, petrology and geochemistry. Swiss J. Geosci. 2008, 101, 85–98. [Google Scholar] [CrossRef]
- Ayonghe, S.N.; Suh, C.E.; Ntasin, E.B.; Samalang, P.; Fantong, W. Hydrologically, seismically and tectonically triggered landslides along the Cameroon Volcanic Line. Cameroon Geosci. Rev. 2002, 19, 325–335. [Google Scholar]
- Guthrie, R.H.; Evans, S.G. Analysis of landslide frequencies and characteristics in a natural system, coastal British Columbia. Earth Surf. Process Landf. 2004, 29, 1321–1339. [Google Scholar] [CrossRef]
- Cruden, D.M.; Varnes, D.J. Landslide types and processes. Special Report, Transportation Research Board, National Academy of Sciences. Landslides Eng. 1993, 24, 20–47. [Google Scholar]
- Devkota, K.C.; Regmi, A.D.; Pourghasemi, H.R.; Yoshida, K.; Pradhan, B.; Ryu, I.C. Landslide susceptibility mapping using certainty factor, index ofentropy and logistic regression models in GIS and their comparison at Mugling-Narayanghat road section in Nepal Himalaya. Nat. Hazards 2013, 65, 135–165. [Google Scholar] [CrossRef]
- Małka, A. Landslide susceptibility mapping of Gdynia using geographic Information system-based statistical models. Nat. Hazards 2020, 107, 639–674. [Google Scholar] [CrossRef]
- Ranst, V.; Awah, E.T.; Zambo, J. Volcanic Soil Patttern as Related To Geomorphology of Lower Southern Slopes of Mount Cameroon (West Africa). Pedologie 1990, 40, 65–78. [Google Scholar]
- Froehlich, W.; Starkel, L. The effects of deforestation on slope and channel evolution in the tectonically active Darjeeling Himalaya. Earth Surf. Processes Landf. 1993, 18, 285–290. [Google Scholar] [CrossRef]
- Yalcin, A. The effects of a landslide: A case study. Appl. Clay Sci. 2007, 38, 77–85. [Google Scholar] [CrossRef]
- Ngecu, W.M.; Nyamai, C.M.; Erima, G. The extent and significance of mass movements in Eastern Africa: Case studies of some major landslides in Uganda and Kenya. Environ. Geol. 2004, 46, 1123–1133. [Google Scholar] [CrossRef]
- Zhao, B.; Wang, Y.; Luo, Y.; Liang, R.; Li, J.; Xie, L. Large landslides at the northeastern margin of the Bayan Har Block, Tibetan Plateau, China Republic. Soc. Open Sci. 2019, 6, 180844. [Google Scholar] [CrossRef]
- Anbalagan, R. Landslide hazard evaluation and zonation mapping in mountainous terrain. Eng. Geol. 1992, 32, 267–277. [Google Scholar] [CrossRef]
- Ercanoglu, M.; Gokceoglu, C. Assessment of landslide susceptibility for a landslide-prone area (north of Yenice, NW Turkey) by Fuzzy approach. Environ. Geol. 2002, 41, 720–730. [Google Scholar]
- Knapen, A.; Kitutu, M.G.; Poesen, J.; Bregelmans, W.; Deckers, J.; Muwanga, A. Landslides in densely populated county at the footslopes of Mount Elgon (Uganda): Characteristics and Casual Factors. Geomorphology 2006, 73, 149–165. [Google Scholar] [CrossRef]






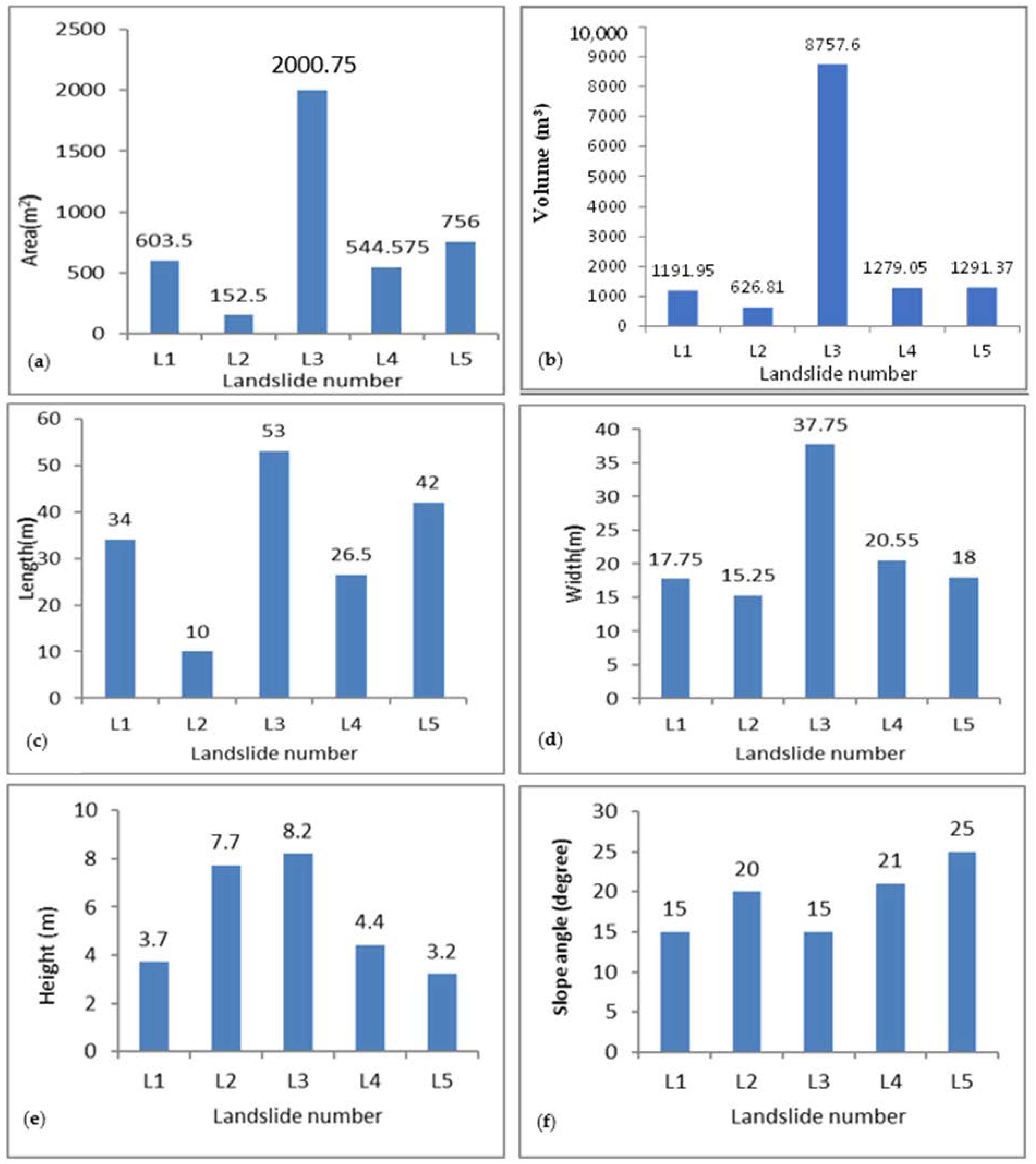
| Landslides | Location | Elevation (m) | Slope (Degree) | Length (m) | Width (m) | Height (m) | Area (m2) | Volume (m3) |
|---|---|---|---|---|---|---|---|---|
| L1 | 3°59′42″ N–9°12′57″ E | 70 | 15 | 34 | 17.75 | 3.7 | 603.5 | 1191.95 |
| L2 | 3°59′54.086″ N–9°12′59.022″ E | 35 | 20 | 10 | 15.25 | 7.7 | 152.5 | 626.81 |
| L3 | 3°59′54.39″ N–9°12′57.726″ E | 48 | 15 | 53 | 37.75 | 8.2 | 2000.75 | 8757.60 |
| L4 | 3°59′56.028″ N–9°13′01.08″ E | 42 | 21 | 26.5 | 20.55 | 4.4 | 544.575 | 1279.05 |
| L5 | 3°59′46.278″ N–9°12′49.728″ E | 14 | 25 | 42 | 18 | 3.2 | 756 | 1291.37 |
| Size Class | Magnitude | Size Description | Volume (m3) | Number of Slides |
|---|---|---|---|---|
| 1 | 1 | Extremely small | <50 | 0 |
| 2 | 2 | Very small | 50–500 | 0 |
| 3 | 2.5 | Small | 500–5000 | 4 |
| 4 | 3 | Medium | 5000–50,000 | 1 |
| 5 | 4 | Medium-large | 50,000–250,000 | 0 |
| 6 | 5 | Large | 250,000–1,000,000 | 0 |
| 7 | 6 | Very large | 1,000,000–5,000,000 | 0 |
| 8 | 7 | Extremely large | >5,000,000 | 0 |
| Elevation | Slope | Length | Width | Height | Area | Volume | |
|---|---|---|---|---|---|---|---|
| Elevation | 1 | ||||||
| Slope | −0.71344 | 1 | |||||
| Length | 0.043278 | −0.0456 | 1 | ||||
| Width | 0.182353 | 0.256595 | 0.745838 | 1 | |||
| Height | 0.077561 | 0.365098 | −0.07857 | 0.542867 | 1 | ||
| Area | 0.131187 | 0.149815 | 0.878336 | 0.969029 | 0.390071 | 1 | |
| Volume | 0.171785 | 0.213539 | 0.734853 | 0.989187 | 0.600376 | 0.969211 | 1 |
(0.5–0.6), strong correlation
(0.7), Very strong correlation
(0.8–0.9).Disclaimer/Publisher’s Note: The statements, opinions and data contained in all publications are solely those of the individual author(s) and contributor(s) and not of MDPI and/or the editor(s). MDPI and/or the editor(s) disclaim responsibility for any injury to people or property resulting from any ideas, methods, instructions or products referred to in the content. |
© 2023 by the authors. Licensee MDPI, Basel, Switzerland. This article is an open access article distributed under the terms and conditions of the Creative Commons Attribution (CC BY) license (https://creativecommons.org/licenses/by/4.0/).
Share and Cite
Kum, B.M.; Teke, G.M.; Tiabou, A.F.; Mbowou, I.F.N.; Agyingi, C.M. Documentation of Landslide Occurrence and Significance in Mbonjo, Limbe Town, South-West Cameroon. Proceedings 2023, 87, 6. https://doi.org/10.3390/IECG2022-14267
Kum BM, Teke GM, Tiabou AF, Mbowou IFN, Agyingi CM. Documentation of Landslide Occurrence and Significance in Mbonjo, Limbe Town, South-West Cameroon. Proceedings. 2023; 87(1):6. https://doi.org/10.3390/IECG2022-14267
Chicago/Turabian StyleKum, Bih Mirabel, George Mafany Teke, Anicet Feudjio Tiabou, Igor Fulbert Ngantche Mbowou, and Christopher Mbaringong Agyingi. 2023. "Documentation of Landslide Occurrence and Significance in Mbonjo, Limbe Town, South-West Cameroon" Proceedings 87, no. 1: 6. https://doi.org/10.3390/IECG2022-14267
APA StyleKum, B. M., Teke, G. M., Tiabou, A. F., Mbowou, I. F. N., & Agyingi, C. M. (2023). Documentation of Landslide Occurrence and Significance in Mbonjo, Limbe Town, South-West Cameroon. Proceedings, 87(1), 6. https://doi.org/10.3390/IECG2022-14267
