Rapeseed Post-Frying Oil from Fish Fillets as a Carbon Source in Microbial Oil Synthesis †
Abstract
:1. Introduction
2. Materials and Methods
2.1. Chemical Compounds
2.2. Yeast Strain and Culture Conditions
2.3. Biomass Yield Determination
2.4. Fatty Acid Profile Determination
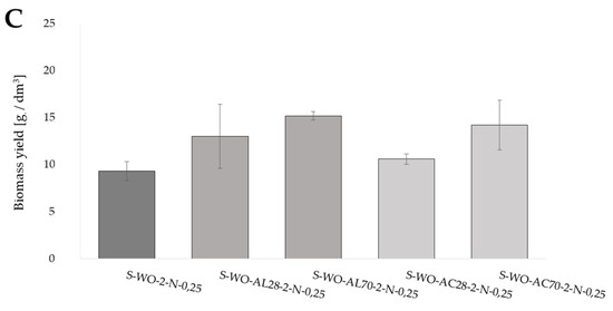
3. Results
4. Discussion
Author Contributions
Funding
Institutional Review Board Statement
Informed Consent Statement
Data Availability Statement
Acknowledgments
Conflicts of Interest
References
- Ratledge, C. Single Cell Oils for the 21st Century; AOCS Press: Champaign, IL, USA, 2010. [Google Scholar] [CrossRef]
- Thevenieau, F.; Nicaud, J.M. Microorganisms as sources of oils. Oilseeds Fats Crop. Lipids 2013, 20, D603. [Google Scholar] [CrossRef]
- Fabiszewska, A.; Pielińska, A.; Mazurczak, P.; Zieniuk, B.; Wołoszynowska, M. Impact of the selected factors on extraction yield and composition of fatty acids of microbial oil produced by the yeast cells of Yarrowia lipolytica. Żywność. Nauka. Technologia. Jakość. 2017. (In Polish) [Google Scholar] [CrossRef]
- Fabiszewska, A.; Mazurczak, P.; Pielińska, A.; Zieniuk, B.; Nowak, D.; Białecka-Florjańczyk, E. Próba zastosowania drożdży Yarrowia lipolytica KKP 379 w zagospodarowaniu odpadów przemysłu rybnego. Postępy Tech. Przetwórstwa Spożywczego 2014, 2, 28–30. (In Polish) [Google Scholar]
- Mazurczak, P.; Zieniuk, B.; Fabiszewska, A.; Nowak, D.; Woloszynowska, M.; Bialecka-Florjanczyk, E. Utylizacja odpadów pochodzących z zakładów przemysłu spożywczego i paliwowego z wykorzystaniem lipolitycznych drożdży Yarrowia lipolytica. Zesz. Probl. Postępów Nauk Rol. 2017, 588, 15–24. (In Polish) [Google Scholar] [CrossRef]
- Barlianti, V.; Dahnum, D.; Hendarsyah, H.; Abimanyu, H. Effect of alkaline pretreatment on properties of lignocellulosic oil palm waste. Procedia Chem. 2015, 16, 195–201. [Google Scholar] [CrossRef]
- Ghanavati, H.; Nahvi, I.; Karimi, K. Organic fraction of municipal solid waste as a suitable feedstock for the production of lipid by oleaginous yeast Cryptococcus aerius. Waste Manag. 2015, 38, 141–148. [Google Scholar] [CrossRef] [PubMed]
- Qin, L.; Liu, L.; Zeng, A.P.; Wei, D. From low-cost substrates to single cell oils synthesized by oleaginous yeasts. Bioresour. Technol. 2017, 245, 1507–1519. [Google Scholar] [CrossRef] [PubMed]
- Ulatowski, K.; Sobieszczuk, P.; Kuźmińsk, A.; Ciach, T. Badanie cytotoksyczności dyspersji nanopęcherzyków tlenu w wodzie. Acta Sci. Pol. Biotechnol. 2018, 17, 51–57. (In Polish) [Google Scholar]
- Gurung, A.; Dahl, O.; Jansson, K. The fundamental phenomena of nanobubbles and their behavior in wastewater treatment technologies. Geosyst. Eng. 2016, 19, 133–142. [Google Scholar] [CrossRef]
- Papanikolaou, S.; Chevalot, I.; Komaitis, M.; Aggelis, G.; Marc, I. Kinetic profile of the cellular lipid composition in an oleaginous Yarrowia lipolytica capable of producing a cocoa-butter substitute from industrial fats. Antonie Van Leeuwenhoek 2001, 80, 215–224. [Google Scholar] [CrossRef] [PubMed]
- Saygün, A.; Şahin-Yeşilçubuk, N.; Aran, N. Effects of different oil sources and residues on biomass and metabolite production by Yarrowia lipolytica YB 423-12. J. Am. Oil Chem. Soc. 2014, 91, 1521–1530. [Google Scholar] [CrossRef]
- Papanikolaou, S.; Aggelis, G. Selective uptake of fatty acids by the yeast Yarrowia lipolytica. Eur. J. Lipid Sci. Technol. 2003, 105, 651–655. [Google Scholar] [CrossRef]



Publisher’s Note: MDPI stays neutral with regard to jurisdictional claims in published maps and institutional affiliations. |
© 2020 by the authors. Licensee MDPI, Basel, Switzerland. This article is an open access article distributed under the terms and conditions of the Creative Commons Attribution (CC BY) license (https://creativecommons.org/licenses/by/4.0/).
Share and Cite
Fabiszewska, A.; Wierzchowska, K.; Górska, A.; Zieniuk, B. Rapeseed Post-Frying Oil from Fish Fillets as a Carbon Source in Microbial Oil Synthesis. Proceedings 2021, 70, 68. https://doi.org/10.3390/foods_2020-07715
Fabiszewska A, Wierzchowska K, Górska A, Zieniuk B. Rapeseed Post-Frying Oil from Fish Fillets as a Carbon Source in Microbial Oil Synthesis. Proceedings. 2021; 70(1):68. https://doi.org/10.3390/foods_2020-07715
Chicago/Turabian StyleFabiszewska, Agata, Katarzyna Wierzchowska, Agnieszka Górska, and Bartłomiej Zieniuk. 2021. "Rapeseed Post-Frying Oil from Fish Fillets as a Carbon Source in Microbial Oil Synthesis" Proceedings 70, no. 1: 68. https://doi.org/10.3390/foods_2020-07715
APA StyleFabiszewska, A., Wierzchowska, K., Górska, A., & Zieniuk, B. (2021). Rapeseed Post-Frying Oil from Fish Fillets as a Carbon Source in Microbial Oil Synthesis. Proceedings, 70(1), 68. https://doi.org/10.3390/foods_2020-07715

