Portable Immunosensor Based on Extended Gate—Field Effect Transistor for Rapid, Sensitive Detection of Cancer Markers †
Abstract
:1. Introduction
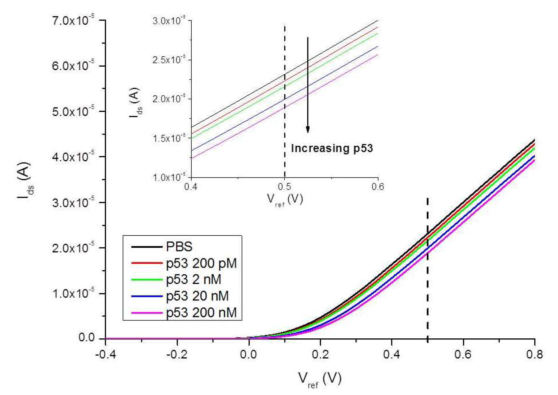
2. The Sensing Surface
3. The Microelectronic System
Author Contributions
Conflicts of Interest
References
- Turner, A.P.F. Biosensors: Sense and sensibility. Chem. Soc. Rev. 2013, 42, 3184–3196. [Google Scholar] [CrossRef] [PubMed]
 - Luppa, P.B.; Sokoll, L.J.; Chan, D.W. Immunosensors—Principles and applications to clinical chemistry. Clin. Chim. Acta 2001, 314, 1–26. [Google Scholar] [CrossRef]
 - De Moraes, A.C.M.; Kubota, L.T. Recent Trends in Field-Effect Transistors-Based Immunosensors. Chemosens 2016, 4, 20. [Google Scholar] [CrossRef]
 - Pullano, S.A.; Critello, C.D.; Mahbub, I.; Tasneem, N.T.; Shamsir, S.; Islam, S.K.; Greco, M.; Fiorillo, A.S. EGFET Based Sensors for Bioanalytical Applications: A Review. Sensors 2018, 18, 4042. [Google Scholar] [CrossRef] [PubMed]
 - Gutiérrez-Sanz, O.; Andoy, N.M.; Filipiak, M.S.; Haustein, N.; Tarasov, A. Direct, Label-Free, and Rapid Transistor-Based Immunodetection in Whole Serum. ACS Sens. 2017, 2, 1278–1286. [Google Scholar] [CrossRef] [PubMed]
 - Bizzarri, A.R.; Moscetti, I.; Cannistraro, S. Surface enhanced Raman spectroscopy based immunosensor for ultrasensitive and selective detection of wild type p53 and mutant p53R175H. Anal. Chim. Acta 2018, 1029, 86–96. [Google Scholar] [CrossRef] [PubMed]
 - Funari, G.; Domenici, F.; Nardinocchi, L.; Puca, R.; D’Orazi, G.; Bizzarri, A.R.; Cannistraro, S. Interaction of p53 with Mdm2 and azurin as studied by atomic force spectroscopy. J. Mol. Recognit. 2010, 23, 343–351. [Google Scholar] [CrossRef] [PubMed]
 



Publisher’s Note: MDPI stays neutral with regard to jurisdictional claims in published maps and institutional affiliations.  | 
© 2019 by the authors. Licensee MDPI, Basel, Switzerland. This article is an open access article distributed under the terms and conditions of the Creative Commons Attribution (CC BY) license (https://creativecommons.org/licenses/by/4.0/).
Share and Cite
Baldacchini, C.; Bizzarri, A.R.; Montanarella, A.F.; Pascali, C.D.; Lorenzelli, L.; Parretti, F.; Cagliesi, R.; Francioso, L.; Cannistraro, S. Portable Immunosensor Based on Extended Gate—Field Effect Transistor for Rapid, Sensitive Detection of Cancer Markers. Proceedings 2019, 15, 32. https://doi.org/10.3390/proceedings2019015032
Baldacchini C, Bizzarri AR, Montanarella AF, Pascali CD, Lorenzelli L, Parretti F, Cagliesi R, Francioso L, Cannistraro S. Portable Immunosensor Based on Extended Gate—Field Effect Transistor for Rapid, Sensitive Detection of Cancer Markers. Proceedings. 2019; 15(1):32. https://doi.org/10.3390/proceedings2019015032
Chicago/Turabian StyleBaldacchini, Chiara, Anna Rita Bizzarri, Antonino Francesco Montanarella, Chiara De Pascali, Leandro Lorenzelli, Francesco Parretti, Roger Cagliesi, Luca Francioso, and Salvatore Cannistraro. 2019. "Portable Immunosensor Based on Extended Gate—Field Effect Transistor for Rapid, Sensitive Detection of Cancer Markers" Proceedings 15, no. 1: 32. https://doi.org/10.3390/proceedings2019015032
APA StyleBaldacchini, C., Bizzarri, A. R., Montanarella, A. F., Pascali, C. D., Lorenzelli, L., Parretti, F., Cagliesi, R., Francioso, L., & Cannistraro, S. (2019). Portable Immunosensor Based on Extended Gate—Field Effect Transistor for Rapid, Sensitive Detection of Cancer Markers. Proceedings, 15(1), 32. https://doi.org/10.3390/proceedings2019015032
        
