You are currently viewing a new version of our website. To view the old version click .
Proceedings
  • Proceeding Paper
  • Open Access

4 November 2025

Nonlinear Evolution Equations of the Soliton Type: Old and New Results †

,
and
1
Dipartimento di “Scienze di Base e Applicate per l’Ingegneria”, Sapienza University of Rome, 00161 Roma, Italy
2
Istituto Nazionale di Fisica Nucleare (I.N.F.N.)—Sezione Roma1, Group IV—Mathematical Methods in NonLinear Physics (MMNLP), 00185 Roma, Italy
3
Department of Engineering, Mathematics and Science Education, Mid Sweden University, 851 70 Sundsvall, Sweden
4
Dipartimento di Ingegneria Civile, Architettura, Territorio, Ambiente e di Matematica (DICATAM), Università di Brescia, 25123 Brescia, Italy
This article belongs to the Proceedings The 5th International Conference on Symmetry (Symmetry 2025)

Abstract

An overview on the study of nonlinear evolution equations of soliton type is provided. In addition, 5th-order nonlinear evolution equations are shown to be connected to the Caudrey–Dodd–Gibbon–Sawada–Kotera (CDGSK) equation via Bäcklund transformations. The links are depicted in a wide net of links which we term a Bäcklund Chart. The links obtained previously by Rogers and Carillo and by Carillo and Fuchssteiner are revisited, and new results are obtained. A 5th-order nonlinear evolution equation, which does not seem to appear in any list of integrable equations, is provided. All the connected equations exhibit a very interesting symmetry structure enjoyed by the corresponding full hierarchies. Indeed, they all admit a hereditary recursion operator. Hence, each one of the mentioned equations represents the base member of a corresponding hierarchy of equations. These hierarchies are constructed via the recursive application of the respective recursion operators. The symmetry properties of such equations are recalled. Finally, we compare the net of links, derived via Bäcklund transformations, in the case of the fifth-order nonlinear evolution equations with an analog net of links connecting third-order Korteweg-de Vries (KdV) and modified Korteweg-de Vries (mKdV) equations. Analogies and discrepancies between the connections established in the case of fifth-order equations with respect to those established in the case of third-order equations are analyzed. This study aims to open the way for the construction of corresponding non-Abelian equations of the fifth order.

1. Introduction

The present investigation concerns nonlinear evolution equations, also known as soliton equations since they admit solutions which are rapidly decreasing functions as x ± (it is generally assumed that M is the space of functions u ( x , t ) , which, for each fixed t, belongs to the Schwartz space S of rapidly decreasing functions on IR n , i.e., S ( R n ) : = { f C ( R n ) : | | f | | α , β < , α , β N 0 n } , where | | f | | α , β : = s u p x R n x α D β f ( x ) , and D β : = β x β ; throughout this article, n = 1 .). Soliton solutions are of great interest in many applicative fields; see [,] for an introduction on the subject. Applications to nonlinear optics are given in [,,,]. Further results in different areas from theoretical physics [,] to biophysics [] and also to the study of metamaterials [] show the importance of investigations on soliton equations. An up-to-date panorama on integrable non linear evolution equations is given in [].
A variety of different methods can be applied to study soliton equations such as symmetry methods [,,,], the Hirota method [,] and Darboux transformations methods [,]. In addition, Refs. [,,,,,,,,] are devoted to classify linearizable nonlinear evolution equations. In a study by Levi [], connections among different techniques are investigated. In addition, non linear equations are studied in [,,,,] where nonlinear waves solutions are investigated.

2. Preliminary Notions and Bäcklund Transformations

The notion of Bäcklund transformation, firstly introduced by Bäcklund [,], is crucial to the results presented here. The subject has been studied in many books, such as [,,,,,,,], to consider those ones that which are related to soliton equations—the subject of the present study. Notably, via Bäcklund transformations, the Hamiltonian and bi-Hamiltonian structure admitted by a nonlinear linear differential equation [,,,,,] can be revealed.
Definition 1
(Bäcklund transformation). Given two evolution equations,
u t = K ( u ) , K : M 1 T M 1 , u : ( x , t ) R n × R u ( x , t ) R m M 1 v t = G ( v ) , G : M 2 T M 2 , v : ( x , t ) R n × R v ( x , t ) R m M 2
where K and G are the C -vector field, a Bäcklund Transformation, according to [,], connects them whenever, denoted as u ( x , t ) and v ( x , t ) two solutions, respectively, of the two evolution equations, it follows that
i f B ( u , v ) | t = 0 = 0 B ( u , v ) = 0 t .
Then, B ( u , v ) = 0 is termed Bäcklund Transformation.
Notably, most of the remarkable properties of soliton equations are preserved under Bäcklund Transformations [,], and, in particular, solutions are mapped into solutions.
Remark 1
([,]).
  • If u t = K ( u ) admits a Recursion Operator  Φ ( u ) , then we can write
    K ( u ) = Φ ( u ) [ u x ] u t = Φ ( u ) [ u x ]
  • the  Recursion Operator  K : M 1 T M 1 , Φ ( u ) : T M 1 T M 1 , u M 1 is such that
    1. 
    Φ maps symmetries into symmetries (A map σ : M T M is said to be an infinitesimal symmetry generator (for short symmetry) if it leaves the evolution equation u t = K ( u ) invariant under the infinitesimal transformation u u + ϵ σ .
    2. 
    Thus, if u and σ are solutions, in turn, of u t = K ( u ) and σ t = K ( u ) [ σ ] , then Φ ( u ) σ is also a solution of the latter. That is
    ( Φ ( u ) σ ) t = K ( Φ ( u ) σ ) Φ ( u ) u t σ + Φ ( u ) σ t = K ( u ) Φ ( u ) [ σ ]
    3. 
    Φ is  hereditary, i.e., satisfies the condition
    Φ [ K , A ] = [ K , Φ A ] , A T M [ Φ , K ] = 0
  • Then, Φ ( u ) is a recursion operator for the hierarchy u t = ( Φ ( u ) ) n u x .
  • The property to admit a Recursion operator is preserved under Bäcklund Transformations.
Methods to construct recursion operators have been proposed by [,,].
Definition 2
(Bäcklund Chart). A net of Bäcklund Transformations that connect evolution equations is termed the Bäcklund Chart.
The most well-known examples are represented by the Cole–Hopf transformation, which connects the Burgers equations to the linear heat equation.
Example 1
([,]).
u t = u x x + 2 u u x B v t = v x x s o t h a t B ( u , v ) = 0 r e a d s v x u v = 0 .
A second example is given by the transformation due to Gardner, Greene, Kruskal, and Miura, which connects the modified Korteweg-de Vries (mKdV) equation to the Korteweg-de Vries (KdV) equation.
Example 2
([,]).
u t = u x x x + 6 u u x B v t = v x x x 6 v 2 v x B ( u , v ) = 0 r e a d s u + v x + v 2 = 0

3. Extension to Hierachies

In this Section, we answer the question of how to extend a Bäcklund Chart. To this end, we recall that if a given a nonlinear evolution equation, u t = K ( u ) , admits a Recursion Operator Φ ( u ) , K ( u ) = Φ ( u ) [ u x ] , then the properties listed in the previous Section allow us to construct a corresponding hierarchy of nonlinear evolution equations. Specifically, it reads as follows [,]:
u t = Φ ( u ) n u x , n N
The properties of the recursion operator imply that the Bäcklund transformation that connects the two equations u t = K ( u ) and v t = G ( v ) also links the corresponding members of the hierarchies generated by the recursion operators they admit. As a consequence, the second equation v t = G ( v ) can also be proven to admit a recursion operator, here denoted as Ψ ( v ) , so that
u t = Φ ( u ) n u x B v t = Ψ ( v ) n v x
where [,] the operator Ψ ( v ) can be obtained by the Bäcklund transformation. The operator Π
Π : = B v 1 B u , Π : T M 1 T M 2
where the subscripts denote Frechet derivatives, which transforms the field K(u) into G(s), gives the recursion operator Ψ ( v ) :
Ψ ( v ) = Π Φ ( u ) Π 1 .

4. Operator Bäcklund Charts

A further generalization consists of considering nonlinear evolution equations in a non-Abelian setting. Specifically, here we consider the case when unknowns, denoted by capitalized letters, are operators on Banach spaces.

4.1. Heat–Burgers Operator Bäcklund Charts

According to [], an Operator Bäcklund Chart can be constructed which relates the linear heat Operator equation to the Burgers Operator equation.
U t = U x x + 2 U U x B T V t = V x x
where the Bäcklund transformation B ( U , V ) = 0 reads U V V x = 0 or U = V 1 V x . Note that, to stress the non-commutative setting, it is convenient to write the Burgers operator equation in the following form:
U t = U x x + [ U , U x ] + { U , U x } ,
where, in turn, [ · , · ] and { · , · } denote the commutator and the anti-commutator.
The heat equation admits the recursion operator Φ ( U ) = D ; then the non-Abelian Burgers equation also admits a recursion operator, according to [],
V t = [ Ψ ( V ) ] n V x B T U t = [ Φ ( U ) ] n U x
where Φ ( U ) = D , Ψ ( V ) = Π Φ ( U ) Π 1   B ( U , V ) = 0 Π : = B V 1 B U ­ , Π : T M 1 T M 2
U t = U x x V t = V x x + [ V , V x ] + { V , V x }
where [ V , V x ] = V V x V x V ,   { V , V x } = V V x + V x V , and the link B ( U , V ) = 0 reads V x V U = 0 or U = V 1 V x .
Also in the non-Abelian case, the Bäcklund Transformation relates each member of the Burgers operator hierarchy to the corresponding member of the Heat operator hierarchy []. Specifically,
V x x + [ V , V x ] + { V , V x } = Ψ ( V ) V x , where
Ψ ( V ) D + [ V , · ] = D + [ V , · ] D + V
Then, the Burgers hierarchy reads V t = Ψ ( V ) n V x , n N , according to the detailed study in [], where, in addition, a mirror Burgers hierarchy is constructed whose base member is
R t = R x x + [ R x , R ] + { R x , R } .
The latter also admits a recursion operator obtained in []. Remarkably, the hierarchies we obtained coincide with those by Levi, Ragnisco and Bruschi [], who studied matrix equations. Non-Abelian Burgers equations were also studied by Gürses, Karasu and Turhan [] and by Kupershmidt [] and Hamanaka []. More generally, operator methods are devised in []. Non-Abelian nonlinear evolution equations are also studied in [,,,,].

4.2. KdV–mKdV Operator Bäcklund Charts

Based on [,], the mKdV and KdV operator equations are related via
V t = V x x x 3 { V 2 , V x } M U t = U x x x + 3 { U , U x }
where the link M denotes the Miura transformation in the non-Abelian setting, i.e.,
M : U + V x + V 2 = 0 .
Again, the link relates the corresponding whole hierarchies and, hence, the previous can be extended to the hierarchies as follows:
V t = [ Ψ ( V ) ] V x M U t = [ Φ ( U ) ] U x
where the KdV recursion operator is given by []
Φ ( U ) = D 2 + 2 { U , · } + { U x , · } D 1 + [ U , · ] D 1 [ U , · ] D 1 ,
while the mKdV recursion operator [] (to this end, methods to solve operator equations are crucial []) is
Ψ ( V ) = D + [ V , · ] D 1 [ V , · ] D + { V , · } D 1 { V , · } .
The latter is obtained via the Miura transformation. Furthermore, in [], the recursion operators are proved to enjoy all the properties in Section 1. Matrix equations and recursion operators were also studied in [].

5. Third-Order Bäcklund Chart: An Extension

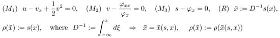
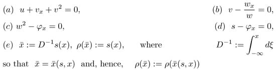
This Section is devoted to briefly recall the 3rd-Order Bäcklund Chart, extended in [] to include the KdV eigenfunction equation [], as depicked in the following Figure 1. The following net of Bäcklund transformations was obtained in []:
Figure 1. Extended Bäcklund chart which includes the KdV eigenfunction equation.
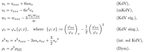
All the third-order nonlinear evolution equations are, respectively, listed in Figure 2. Figure 3, subsequently, shows, following the respective order in the Bäcklund chart, all the Bäcklund transformations linking the KdV-type equations in Figure 2.
Figure 2. KdV-type equations linked via the Bäcklund chart in Figure 1.
Figure 3. Bäcklund transformations depicted in the Bäcklund chart in Figure 1.

6. Fifth-Order Bäcklund Chart: An Extension

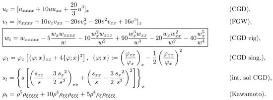
In this Section, we announce the new extension of a Bäcklund Chart obtained in [,]. Indeed, we started from the links therein and insert a further highly nonlinear nonlinear evolution equation. The proofs are in [], where all the details are provided. The result in [] is summarized by the following Bäcklund Chart, see Figure 4 and Figure 5, where, in turn, the links among the equations and the equations themselves, are listed. The Bäcklund Chart is obtained from the one in [,] with further insertion of the equation denoted as CGD eig., which stands for the Caudrey–Dodd–Gibbon–Sawada–Kotera eigenfunction equation, introduced below []:
Figure 4. Bäcklund transformations that link 5th-order equations listed in Figure 5.
Figure 5. Equations in the Bäcklund chart in Figure 4.
The Caudrey–Dodd–Gibbon–Sawada–Kotera eigenfunction equation (CGD eig.) (see Figure 5) that appears in the Bäcklund Chart is boxed to stress that this equation, to the best of our knowledge, does not appear in any list of integrable 5th-order nonlinear evolution equations. The other equations, in the 5th-order Bäcklund Chart (see [] and references therein) are well-known ones [,,].
In Figure 6, the list of transformations is given. Notably, the symmetry properties of the CGD eig. equation are studied in [], where, on the basis of the Bäcklund Chart in Figure 4, such an equation is proved to admit a hereditary recursion operator. As a consequence, the Bäcklund Chart can be extended to the corresponding hierarchies, according to [,]. We only mention that the CGD eig. equation enjoys the same invariance enjoyed by the KdV eig. equation []; i.e., according to [], it is invariant under the following transformation:
I : w ^ 2 = a d b c ( c D 1 ( w 2 ) + d ) 2 w 2 , a , b , c , d C s . t . a d b c 0 , D 1 : = x d ξ .
This variance follows as a consequence of the invariance under the Möbius group of transformations exhibited by the CDG Sing. equation in Figure 5.
Figure 6. Bäcklund transformations that link 5th-order equations in Figure 4.

7. Remarks, Perspectives, and Open Problems

To close this short overview on old and new results, note that some important aspects were not included, for the sake of brevity, but are very important under the applicative viewpoint. In addition, some current and perspective research directions are mentioned. One of the aims is the construction of solutions admitted by nonlinear evolution equations.

7.1. Remarks and Further Obtained Results

  • New Solutions
    -
    Abelian case: One very important consequence of the constructed Bäcklund Charts is that new solutions of nonlinear evolution equations can be constructed from known solutions of other equations in the same Chart. This was the case in [], where solutions admitted by the Harry Dym equation were obtained from solutions of the KdV equation.
    -
    Non-Abelian case: Even more interesting is the case of Bäcklund Chart operators, in which new solutions can be obtained from known ones. Solutions of non-commutative equations are of great interest [,], such as in the case of a solution formula for the non-Abelian mKdV equation: we constructed solutions of the non-Abelian mKdV equation from solutions admitted by the non-Abelian KdV equation, obtained by Goncharenko []. In particular, matrix solutions admitted by the non-Abelian mKdV equation were obtained in [] and references therein; a different approach to the matrix mKdV solution was given in []. Other approaches to non-Abelian cases are also interesting [,,].
  • New Invariances and Auto Bäcklund Transformations
    (Abelian and non-Abelian cases)
    -
    In both cases, via the constructed Bäcklund Charts, new invariance exhibited by the involved equations can be obtained, or well-known ones can be recovered. Results in this line are in [,] in cases of 5th-order nonlinear evolution equations, while in [,,], invariances exhibited by 3rd-order nonlinear evolution equations connected with the KdV equation, via the Bäcklund Chart in Figure 1, were obtained. Furthermore, auto Bäcklund transformations admitted by the Harry Dym equation were obtained [,]. Remarkably, also in the non-Abelian case, interesting properties of the nonlinear evolution equations which appear in the Bäcklund Chart [,,,], follow from the chart itself; such as, e.g., to admit a recursion operator. A comparison between the Abelian and non-Abelian Bäcklund Charts concerning 3rd-order nonlinear evolution equations is given in []. Indeed, as pointed out therein, a richer structure [], based also on results in [], was revealed in the non-commutative case. In addition, further equations appear to be connected in the Bäcklund Chart previously obtained.

7.2. Perspectives and Open Problems

Many open problems deserve to be investigated in cases of hierarchies of nonlinear evolution equations whose base member is a 5th-order evolution equation []. Here, a list of issues we are working on is presented.
  • The construction of the Hamiltonian and bi-Hamiltonian structure [,,,], of the CGD eig. equation, again via the Bäcklund Chart in [], in Figure 4, and relying on results in [], is in progress.
  • Extensions from Abelian to non-Abelian in the case of 5th-order nonlinear evolution equations, which appear in the Bäcklund Chart in [], are under investigation.
  • A better understanding of the algebraic structure in the case of non-commutative non-linear evolution equations aiming to extend results from the Abelian [,] to the non-Abelian case.
  • Can new operator solutions be constructed from our new Bäcklund Chart? We already obtained some results as pertains to this, and these are in [,,,].

Author Contributions

All the authors contributed in equal part in this article, in all its phases. All authors have read and agreed to the published version of the manuscript.

Funding

The research was funded by: (1) Gr. Roma1, IV—Mathematical Methods in NonLinear Physics, National Institute for Nuclear Physics (I.N.F.N.), Rome, Italy; (2) Sapienza University of Rome, Italy; (3) National Mathematical Physics Group (G.N.F.M.)—I.N.d.A.M., Italy; (4) PRIN 2022 project “Mathematical Modelling of Heterogeneous Systems (MMHS), financed by the European Union—Next Generation EU, B53D23009360006, Project Code 2022MKB7MM, PNRR M4.C2.1.1; (5) PRIN 2022 PNRR Project “INSPIRE”, Project Code P2022LETN5 founded by the European Union—Next Generation EU.

Institutional Review Board Statement

Not applicable.

Data Availability Statement

No new data were created or analyzed in this study. Data sharing is not applicable to this article.

Conflicts of Interest

The authors declare no conflicts of interest.

References

  1. Kasman, A. Glimpses of Soliton Theory: The Algebra and Geometry of Nonlinear PDEs, 2nd ed.; College of Charleston: Charleston, SC, USA; American Mathematical Society: Providence, RI, USA, 2023; p. xvi+347. ISBN 9781470472627/9781470473105. [Google Scholar]
  2. Drazin, P.G.; Johnson, R.S. Solitons: An Introduction; Cambridge Texts in Applied Mathematics; Cambridge University Press: Cambridge, UK, 1989; p. xii+226. ISBN 0-521-33389-X. [Google Scholar]
  3. Singh, P.; Senthilnathan, K. Evolution of a solitary wave: Optical soliton, soliton molecule and soliton crystal. Discov. Appl. Sci. 2024, 6, 464. [Google Scholar] [CrossRef]
  4. Alonzo, M.; Moscatelli, D.; Bastiani, L.; Belardini, A.; Soci, C.; Fazio, E. All-Optical Reinforcement Learning in Solitonic X-Junctions. Sci. Rep. 2018, 8, 5716. [Google Scholar] [CrossRef]
  5. Fazio, E.; Alonzo, M.; Belardini, A. Addressable Refraction and Curved Soliton Waveguides Using Electric Interfaces. Appl. Sci. 2019, 9, 347. [Google Scholar] [CrossRef]
  6. Kivshar, Y.S. Dark-soliton dynamics and shock waves induced by the stimulated Raman effect in optical fibers. Phys. Rev. A 1990, 42, 1757. [Google Scholar] [CrossRef]
  7. Platschorre, A. A mass for the dual axion. J. High Energy Phys. 2024, 2024, 253. [Google Scholar] [CrossRef]
  8. Nakamura, Y.; Tsukabayashi, I. Observation of modified Korteweg-de Vries solitons in a multicomponent plasma with negative ions. Phys. Rev. Lett. 1984, 52, 2356. [Google Scholar] [CrossRef]
  9. Lautrup, B.; Appali, R.; Jackson, A.D.; Heimburg, T. The stability of solitons in biomembranes and nerves. Eur. Phys. J. E 2011, 34, 57. [Google Scholar] [CrossRef]
  10. Veenstra, J.; Gamayun, O.; Guo, X.; Sarvi, A.; Meinersen, C.V.; Coulais, C. Non-reciprocal topological solitons in active metamaterials. Nature 2024, 627, 528–533. [Google Scholar] [CrossRef]
  11. Ablowitz, M.J.; He, J.S.; Pelloni, B. Preface: Integrable systems and their applications, celebrating the 70th birthday of Athanassios S. Fokas. Stud. Appl. Math. 2024, 153, e12707. [Google Scholar] [CrossRef]
  12. Olver, P.J. Evolution equations possessing infinitely many symmetries. J. Math. Phys. 1977, 18, 1212–1215. [Google Scholar] [CrossRef]
  13. Olver, P.J. Applications of Lie Groups to Differential Equations; GTM vol. 107; Springer: Berlin/Heidelberg, Germany, 1986. [Google Scholar]
  14. Ovsjannikov, L.V. Group Analysis of Differential Equations; Academic Press: New York, NY, USA; London, UK, 1982. [Google Scholar]
  15. Olver, P.J.; Wang, J.P. Classification of Integrable One-Component Systems on Associative Algebras. Proc. Lond. Math. Soc. 2000, 81, 566–586. [Google Scholar] [CrossRef]
  16. Hirota, R. Exact solution of the Korteweg-de Vries equation for multiple collisions of solitons. Phys. Rev. Lett. 1971, 17, 1192–1194. [Google Scholar] [CrossRef]
  17. Hirota, R. The Direct Method in Soliton Theory; Cambridge University Press: Cambridge, UK, 2004. [Google Scholar]
  18. Matveev, V.B.; Salle, M.A. Darboux Transformation and Solitons; Springer: Berlin, Germany, 1991. [Google Scholar]
  19. Sakhnovich, A.L.; Sakhnovich, L.A.; Roitberg, I.Y. Inverse Problems and Nonlinear Evolution Equations. Solutions, Darboux Matrices and Weyl-Titchmarsh Functions. In Studies in Mathematics; De Gruyter: Berlin, Germany, 2013; Volume 47. [Google Scholar]
  20. Calogero, F.; Degasperis, A. A modified modified Korteweg-de Vries equation. Inverse Probl. 1985, 1, 57–66. [Google Scholar] [CrossRef]
  21. Olver, P.J.; Sokolov, V.V. Integrable evolution equations on nonassociative algebras. Comm. Math. Phys. 1998, 193, 245–268. [Google Scholar] [CrossRef]
  22. Wang, J.P. A List of 1 + 1 Dimensional Integrable Equations and Their Properties. J. Nonlinear Math. Phys. 2002, 9, 213–233. [Google Scholar] [CrossRef]
  23. Mikhailov, A.V.; Shabat, A.B.; Yamilov, R.I. The symmetry approach to the classification of non-linear equations. Complete lists of integrable systems. Russ. Math. Surv. 1987, 42, 1. [Google Scholar] [CrossRef]
  24. Mikhailov, A.V.; Novikov, V.S.; Wang, J.P. On Classification of Integrable Nonevolutionary Equations. Stud. Appl. Math. 2007, 118, 419–457. [Google Scholar] [CrossRef]
  25. Basarab-Horwath, P.; Güngör, F. Linearizability for third order evolution equations. J. Math. Phys. 2017, 58, 081507. [Google Scholar] [CrossRef]
  26. Ziegler, M.; Fuchssteiner, B. Nonlinear reformulation of Heisenberg’s dynamics. Int. J. Theor. Phys. 2005, 44, 693–717. [Google Scholar] [CrossRef]
  27. Fokas, A.S. A Symmetry Approach to Exactly Solvable Evolution Equations. J. Math. Phys. 1980, 21, 1318–1325. [Google Scholar] [CrossRef]
  28. Fokas, A.S. Symmetries and Integrability. Stud. Appl. Math. 1987, 77, 253–299. [Google Scholar] [CrossRef]
  29. Levi, D. Toward a unification of the various techniques used to integrate nonlinear partial differential equations: Bäcklund and Darboux transformations vs. dressing method. Rep. Math. Phys. 1986, 23, 41–56. [Google Scholar] [CrossRef]
  30. Grimshaw, R.H.J.; Liu, Z. Nonlinear periodic and solitary water waves on currents in shallow water. Stud. Appl. Math. 2017, 139, 60–77. [Google Scholar] [CrossRef]
  31. Kruskal, M.D. Nonlinear Wave Equations. In Dynamical Systems, Theory and Applications; Moser, J., Ed.; Lecture Notes in Physics; Springer: Berlin/Heidelberg, Germany, 1975; Volume 38, pp. 310–348. [Google Scholar]
  32. Zakharov, V.E.; Shabat, A. Exact theory of two-dimensional self-focusing and one-dimensional self-modulation of waves in nonlinear media. Sov. Phys. JETP 1972, 34, 62–69. [Google Scholar]
  33. Bäcklund, A.V. Über Flächentransformationen. Math. Ann. 1876, 9, 279–320. [Google Scholar]
  34. Bäcklund, A.V. Zur Theorie der Flächentransformationen. Math. Ann. 1881, 19, 387–420. [Google Scholar] [CrossRef]
  35. Ablowitz, M.J.; Clarkson, P.A. Solitons, Nonlinear Evolution Equations and Inverse Scattering; Cambridge University Press: Cambridge, UK, 1991. [Google Scholar]
  36. Calogero, F.; Degasperis, A. Spectral Transform and Solitons I; North Holland: Amsterdam, The Netherlands, 1980; Volume 13. [Google Scholar]
  37. Eckhaus, W.; Harten, A.V. The Inverse Scattering Transformation and The Theory of Solitons. North Holland Math Studies; North Holland: Amsterdam, The Netherlands, 1981; Volume 50. [Google Scholar]
  38. Rogers, C.; Shadwick, W.F. Bäcklund Transformations and Their Applications; Mathematics in Science and Engineering; Academic Press: New York, NY, USA; London, UK, 1982; Volume 161. [Google Scholar]
  39. Rogers, C.; Ames, W.F. Nonlinear Boundary Value Problems in Science and Engineering; Academic Press: Boston, MA, USA, 1989. [Google Scholar]
  40. Rogers, C.; Schief, W.K. Bäcklund and Darboux Transformations: Geometry and Modern Applications in Soliton Theory; Cambridge University Press: Cambridge, UK, 2002. [Google Scholar]
  41. Gu, C.; Hu, H.; Zhou, Z. Darboux Transformations in Integrable Systems; Springer: Dordrecht, The Netherlands, 2005; ISBN 1-4020-3087-8. [Google Scholar]
  42. Levi, D. Bäcklund Transformations. In Encyclopedia of Mathematical Physics; Françoise, J.-P., Naber, G.L., Tsun, T.S., Eds.; Academic Press: Cambridge, MA, USA, 2006; pp. 241–247. ISBN 9780125126663. [Google Scholar]
  43. Fuchssteiner, B. Application of hereditary symmetries to nonlinear evolution equations. Nonlin. Anal. Theory Meth. Appl. 1979, 3, 849–862. [Google Scholar] [CrossRef]
  44. Gelfand, I.M.; Dorfman, I.Y. Hamiltonian operators and algebraic structures related to them. Func. Anal. Appl. 1979, 13, 13–30. [Google Scholar]
  45. Magri, F. A Simple Model of the Integrable Hamiltonian Equation. J. Math. Phys. 1978, 19, 1156–1162. [Google Scholar] [CrossRef]
  46. Fokas, A.S.; Fuchssteiner, B. On the Structure of Symplectic Operators and Hereditary Symmetries. Lett. Nuovo Cimento 1980, 28, 299–307. [Google Scholar] [CrossRef]
  47. Fokas, A.S.; Fuchssteiner, B. Bäcklund transformation for hereditary symmetries. Nonlin. Anal. Theory Methods Appl. 1981, 5, 423–432. [Google Scholar] [CrossRef]
  48. Fuchssteiner, B. The Lie algebra structure of Degenerate Hamiltonian and Bi-Hamiltonian systems. Prog. Theor. Phys. 1982, 68, 1082–1104. [Google Scholar] [CrossRef]
  49. Gürses, M.; Karasu, A.; Sokolov, V.V. On construction of recursion operators from Lax representation. J. Math. Phys. 1999, 40, 6473–6490. [Google Scholar] [CrossRef]
  50. Hereman, W.; Colagrosso, M. Symbolic computation of recursion operators for nonlinear partial differential equations. Math. Comput. Simul. 1997, 43, 13–27. [Google Scholar] [CrossRef]
  51. Fuchssteiner, B.; Oevel, W.; Wiwianka, W. Computer-algebra methods for investigating hereditary operators of higher order soliton equations. Comput. Phys. Commun. 1987, 44, 47–55. [Google Scholar] [CrossRef]
  52. Cole, J.D. On a quasilinear parabolic equation occurring in aerodynamics. Quart. Appl. Math. 1951, 92, 25–236. [Google Scholar]
  53. Hopf, E. The partial differential equation ut + uux = μuxx. Comm. Pure Appl. Math. 1950, 3, 201–230. [Google Scholar] [CrossRef]
  54. Gardner, C.S.; Greene, J.M.; Kruskal, M.D.; Miura, R.M. Method for solving the Korteweg-de Vries equation. Phys. Rev. Lett. 1967, 19, 1095–1097. [Google Scholar] [CrossRef]
  55. Ablowitz, M.J.; Kaup, D.J.; Newell, A.C.; Segur, H. The Inverse Scattering Transform-Fourier Analysis for Nonlinear Problems. Stud. Appl. Math. 1974, 53, 249–315. [Google Scholar] [CrossRef]
  56. Carillo, S.; Fuchssteiner, B. The abundant symmetry structure of non linear equations obtained by reciprocal links. J. Math. Phys. 1989, 30, 1606–1613. [Google Scholar] [CrossRef]
  57. Rogers, C.; Carillo, S. On reciprocal properties of the Caudrey-Dodd-Gibbon and Kaup-Kupershmidt hierarchies. Phys. Scr. 1987, 36, 865–869. [Google Scholar] [CrossRef]
  58. Carillo, S.; Schiebold, C. On the recursion operator for the non-commutative Burgers hierarchy. J. Nonlin. Math. Phys. 2012, 19, 1250003. [Google Scholar]
  59. Carillo, S.; Lo Schiavo, M.; Schiebold, C. Recursion Operators admitted by non-Abelian Burgers equations: Some Remarks. Math. Comput. Simul. 2018, 147, 40–51. [Google Scholar] [CrossRef]
  60. Levi, D.; Ragnisco, O.; Bruschi, M. Continuous and discrete matrix Burgers’ hierarchies. Il Nuovo C. B 1983, 74, 33–51. [Google Scholar] [CrossRef]
  61. Gürses, M.; Karasu, A.; Turhan, R. On non-commutative integrable Burgers equations. J. Nonlinear Math. Phys. 2010, 17, 1–6. [Google Scholar] [CrossRef]
  62. Kupershmidt, B.A. On a group of automorphisms of the noncommutative Burgers hierarchy. J. Nonlinear Math. Phys. 2005, 12, 539–549. [Google Scholar] [CrossRef]
  63. Hamanaka, M.; Toda, K. Noncommutative Burgers equation. J. Phys. A Math. Gen. 2003, 36, 11981. [Google Scholar] [CrossRef]
  64. Aden, H.; Carl, B. On realizations of solutions of the KdV equation by determinants on operator ideals. J. Math. Phys. 1996, 37, 1833–1857. [Google Scholar] [CrossRef]
  65. Wang, N.; Wadati, M. A new approach to noncommutative soliton equations. J. Phys. Soc. Jpn. 2003, 72, 3055. [Google Scholar] [CrossRef]
  66. Treves, F. Noncommutative KdV hierarchy. Rev. Math. Phys. 2007, 19, 677. [Google Scholar] [CrossRef]
  67. Nimmo, J.J. On a nonAbelian Hirota-Miwa equation. J. Phys. A 2006, 39, 5053. [Google Scholar] [CrossRef]
  68. Carillo, S.; Schiebold, C. Noncommutative Korteweg-de Vries and modified Korteweg-de Vries hierarchies via recursion methods. J. Math. Phys. 2009, 50, 073510. [Google Scholar] [CrossRef]
  69. Carillo, S.; Schiebold, C. Matrix Korteweg-de Vries and modified Korteweg-de Vries hierarchies: Noncommutative soliton solutions. J. Math. Phys. 2011, 52, 053507. [Google Scholar] [CrossRef]
  70. Bhatia, R.; Rosenthal, P. How and why to solve the operator equation AXXB = Y. Bull. Lond. Math. Soc. 1997, 29, 1–21. [Google Scholar] [CrossRef]
  71. Calogero, F.; Degasperis, A. Reduction Technique for Matrix Nonlinear Evolution Equations solvable by the Spectral Transform. J. Math. Phys. 1981, 22, 23–31. [Google Scholar] [CrossRef]
  72. Carillo, S. KdV-type equations linked via Bäcklund transformations: Remarks and perspectives. Appl. Numer. Math. 2019, 141, 81–90. [Google Scholar] [CrossRef]
  73. Konopelchenko, B.G. Soliton eigenfunction equations: The IST integrability and some properties. Rev. Math. Phys. 1990, 2, 399–440. [Google Scholar] [CrossRef]
  74. Fuchssteiner, B.; Carillo, S. Soliton structure versus singularity analysis: Third order completely integrable nonlinear equations in 1+1 dimensions. Physica 1989, 154, 467–510. [Google Scholar] [CrossRef]
  75. Carillo, S.; Schiebold, C.; Zullo, F. A Fifth Order Nonlinear Evolution Equation: Connection to Caudrey-Dodd-Gibbon-Sawata-Kotera Equation; Dipartimento di “Scienze di Base e Applicate per lIngegneria”, Sapienza University of Rome: Rome, Italy, 2025; preprint. [Google Scholar]
  76. Caudrey, P.J.; Dodd, R.K.; Gibbon, J.D. A new hierarchy of Korteweg-de Vries equations. Proc. R. Soc. Lond. Ser. A 1976, 351, 407. [Google Scholar]
  77. Kawamoto, S. An exact Transformation from the Harry Dym Equation to the modified KdV Equation. J. Phys. Soc. Japan 1985, 54, 2055–2056. [Google Scholar] [CrossRef]
  78. Sawada, A.K.; Kotera, A.T. A method for finding N-soliton solutions of the KdV and KdV-like equations. J. Prog. Theor. Phys. 1974, 51, 1355–1367. [Google Scholar] [CrossRef]
  79. Fuchssteiner, B.; Schulze, T.; Carillo, S. Explicit solutions for the Harry Dym equation. J. Phys. A 1992, 25, 223–230. [Google Scholar] [CrossRef]
  80. Carl, B.; Schiebold, C. Nonlinear equations in soliton physics and operator ideals. Nonlinearity 1999, 12, 333–364. [Google Scholar] [CrossRef]
  81. Goncharenko, V.M. Multisoliton solutions of the matrix KdV equation. Theor. Math. Phys. 2001, 126, 81–91. [Google Scholar] [CrossRef]
  82. Carillo, S.; Lo Schiavo, M.; Schiebold, C. N-soliton matrix mKdV solutions: Some Special Solutions Revisited. Stud. Appl. Math. 2025, 154, e70061. [Google Scholar] [CrossRef]
  83. Chen, X.; Zhang, Y.; Liang, J.; Wang, R. The N-soliton solutions for the matrix modified Korteweg-de Vries equation via the Riemann-Hilbert approach. Eur. Phys. J. Plus 2020, 135, 574–582. [Google Scholar] [CrossRef]
  84. Hamanaka, M. Noncommutative solitons and quasideterminants. Phys. Scr. 2014, 89, 038006. [Google Scholar] [CrossRef]
  85. Rogers, C.; Nucci, M.C. On reciprocal Bäcklund transformations and the Korteweg-de Vries hierarchy. Phys. Scr. 1986, 33, 289–292. [Google Scholar] [CrossRef]
  86. Guo, B.-Y.; Rogers, C. On the Harry Dym equation and its solution. Sci. China Ser. A Math. Phys. Astron. Technol. Sci. 1989, 32, 283. [Google Scholar]
  87. Carillo, S.; Lo Schiavo, M.; Schiebold, C. Bäcklund Transformations and Non Abelian Nonlinear Evolution Equations: A novel Bäcklund chart. SIGMA 2016, 12, 087. [Google Scholar] [CrossRef]
  88. Carillo, S.; Lo Schiavo, M.; Porten, E.; Schiebold, C. A novel noncommutative KdV-type equation, its recursion operator, and solitons. J. Math. Phys. 2018, 59, 3053–3060. [Google Scholar] [CrossRef]
  89. Carillo, S.; Lo Schiavo, M.; Schiebold, C. Abelian versus non-Abelian Bäcklund charts: Some remarks. Evol. Equ. Control Theory 2019, 8, 43–55. [Google Scholar] [CrossRef]
  90. Athorne, C.; Fordy, A. Generalised KdV and MKdV equations associated with sym- metric spaces. J. Phys. A Math. Gen. 1987, 20, 1377–1386. [Google Scholar] [CrossRef]
  91. Fordy, P.A.; Gibbons, J. Some remarkable nonlinear Transformations. Phys. Lett. A 1980, 75, 325. [Google Scholar] [CrossRef]
  92. Fuchssteiner, B.; Carillo, S. The Action-Angle Transformation for Soliton Equations. Phys. A 1990, 166, 651–676. [Google Scholar] [CrossRef]
  93. Fuchssteiner, B. The Lie algebra structure of Nonlinear Evolution Equations admitting Infinite Dimensional Abelian Symmetry Groups. Prog. Theor. Phys. 1981, 65, 861–876. [Google Scholar] [CrossRef]
  94. Fuchssteiner, B. Linear aspects in the theory of solitons and nonlinear integrable equations. J. Phys. Soc. Japan 1991, 60, 1473–1496. [Google Scholar] [CrossRef]
Disclaimer/Publisher’s Note: The statements, opinions and data contained in all publications are solely those of the individual author(s) and contributor(s) and not of MDPI and/or the editor(s). MDPI and/or the editor(s) disclaim responsibility for any injury to people or property resulting from any ideas, methods, instructions or products referred to in the content.

Article Metrics

Citations

Article Access Statistics

Multiple requests from the same IP address are counted as one view.