Next Article in Journal
Advances in the Study of NO3 Immobilization by Microbes in Agricultural Soils
Previous Article in Journal
Removal of Nitrogen, Phosphates, and Chemical Oxygen Demand from Community Wastewater by Using Treatment Wetlands Planted with Ornamental Plants in Different Mineral Filter Media
 
 
Font Type:
Arial Georgia Verdana
Font Size:
Aa Aa Aa
Line Spacing:
Column Width:
Background:
Article

Contrasting Life-Form Influences Guam Ficus Foliar Nutrient Dynamics

Philippine Native Plants Conservation Society Inc., Ninoy Aquino Parks and Wildlife Center, Quezon City 1101, Philippines
Nitrogen 2024, 5(4), 915-926; https://doi.org/10.3390/nitrogen5040059
Submission received: 13 August 2024 / Revised: 3 October 2024 / Accepted: 9 October 2024 / Published: 11 October 2024

Abstract

Tropical trees that remain evergreen and exhibit leaf litterfall that is gradual over time coexist with trees that are seasonally deciduous and exhibit pulsed litterfall. The manner in which these trees acquire, store, and contribute nutrients to the biogeochemical cycle may differ. Green and senesced leaves from deciduous Ficus prolixa trees were compared with those from Ficus tinctoria on the island of Guam. The results enabled stoichiometry and resorption calculations. F. prolixa’s young green leaf nitrogen (N) and potassium (K) concentrations were double, and the phosphorus (P) concentration was triple, those of F. tinctoria. Concentrations converged as the leaves aged such that no differences in concentration occurred for senesced leaves, indicating that nutrient resorption proficiency did not differ between the two species. In contrast, the resorption efficiency was greater for F. prolixa than F. tinctoria for all three nutrients. The N:P values of 6–11 and K:P values of 5–7 were greater for young F. tinctoria leaves than young F. prolixa leaves. The N:K values were 1.1–1.6 and did not differ between the two species. No differences in pairwise stoichiometry occurred for senesced leaves for any of the nutrients. These Guam results conformed to global trends indicating that seasonally deciduous plants are more acquisitive and exhibit greater nutrient resorption efficiency. The differences in how these two native trees influence the community food web and nutrient cycling lies mostly in the volume and synchronicity of pulsed F. prolixa litter inputs, and not in differences in litter quality. These novel findings inform strategic foresight about sustaining ecosystem health in Guam’s heavily threatened forests.

1. Introduction

Trees provide a myriad of ecosystem services, and the contemporary loss of the global tree population threatens the persistence of those services and can lead to localized ecosystem collapse [1,2]. The primary threat to trees is habitat loss due to land conversion for human use [3]. Documenting the nature of ecosystem services provided by representative tree species within threatened habitats has become an integral component of the global tree conservation agenda.
Research on large tree species in the forests of the Mariana Islands has been lacking. Ficus prolixa G. Forst. and Ficus tinctoria G. Forst. are two prominent trees on the island of Guam. They provide food resources for mammal, bird, and butterfly species [4,5,6,7] and are exploited for traditional ethnobiology uses [4]. Although the two species are often confused, several traits separate them. The lamina midrib is central for F. prolixa but is offset for F. tinctoria such that the laminae are not bilaterally symmetrical [4]. The synconium is white for F. prolixa and yellow to red for F. tinctoria [4]. The F. prolixa population is much more abundant, and the mean size of the individual trees is much greater than for F. tinctoria [8,9]. Concerning the influence of these trees on community biogeochemistry, one substantial difference is that F. prolixa is deciduous with the leaves senescing and abscising in one pulse, whereas F. tinctoria leaves senesce and abscise individually such that litterfall is gradual [4]. Deciduous trees transfer an immense volume of resources from the canopy to the forest floor within a short period of time, asymmetrically connecting the canopy food webs to the soil food webs in a manner that differs from evergreen trees that exhibit gradual litterfall throughout the year [10]. For this reason, a greater understanding of the leaf and litter chemistry of these two Ficus species would inform ongoing data needs to improve decision making in forest resource management plans for Guam.
Nutrient resorption prior to leaf senescence is a heavily studied component of biogeochemistry [11,12]. Biodiversity per se can influence mean nutrient resorption dynamics, with greater numbers of species leading to more efficient nutrient resorption at the community level, so the study of individual species within a mixed forest is important for developing an understanding of localized biogeochemical processes [13]. One plant trait that has been studied in the context of nutrient resorption is the timing of leaf abscission, with resorption efficiency for deciduous species differing from that of evergreen species which senesce individual leaves over longer periods of time. Evergreen plant species that senesce leaves over extended periods of time tend to exhibit lower nutrient concentrations for green and senesced leaf tissue than deciduous plant species, which abscise their leaves in a short duration of time [14]. Globally, the mean nutrient resorption efficiency of evergreen plants is lower than that of deciduous plants [15]. The coexistence of these two plant growth forms contribute to ecosystem biodiversity functional traits, increasing plant productivity and optimizing ecosystem stoichiometry [16].
The objectives of this study were to (1) monitor F. prolixa tree phenology in northeast Guam to determine the frequency and seasonality of defoliation events, (2) quantify green and senesced leaf concentrations of nitrogen (N), phosphorus (P), and potassium (K) in sympatric F. prolixa and F. tinctoria trees, and (3) define macronutrient stoichiometry and resorption traits. Based on global trends, I hypothesized that F. prolixa’s green leaf nutrient concentrations and nutrient resorption efficiencies would exceed those of F. tinctoria. The contributions of the results toward conversations about strategic foresight concerning sustaining ecosystem health are also discussed.

2. Materials and Methods

The study site was the northeast coast of Guam. The soils were clayey-skeletal, gibbsitic, nonacid, isohyperthermic Lithic Ustorthents [17]. These substrates were formed in slope alluvium, loess, and residuum overlying coralline substrates. The climate is typical of a tropical marine lowland forest [18] and is classified as Köppen Af. Guam’s mean daily temperature varies little, and ranges from 24 to 27 °C depending on the month. Yearly rainfall is ≈250 cm, with about 55 percent occurring during the rainy season from mid-July to mid-November. The environment is benign for the resident plant species, with the exception of recurring tropical cyclones [19]. The forests have been classified as typhoon forests because much of the physiognomy at any one time is defined by the recent history of tropical cyclones and the intensity and timing of the antecedent tropical cyclone [20].

2.1. Field Methods

Native F. prolixa and F. tinctoria trees are abundant and sympatric in many of the island’s forested habitats. The study site included a longitudinal range of 144°48′32″ and 144°55′38″ and latitudinal range 13°25′57″ and 13°32′19″. The aspect of the terrain was 80–120°, and the elevation was 45–120 m above sea level. Seven pairs of F. prolixa and F. tinctoria trees were identified, with the distance between the two trees ranging from 50 m to 210 m. Each of the 14 trees comprised part of the emergent canopy, and the canopy diameter ranged from 11 to 15 m for F. prolixa and from 9 to 12 for the F. tinctoria trees.
The trees were visited on monthly intervals beginning September 2016 and continuing through January 2019 in order to document the timing of the pulsed leaf senescence and litterfall for each of the F. prolixa trees. Leaf sampling methods were defined by the timing of new stem growth following the temporary deciduous period for each tree. The length of expanding leaf midribs was measured until the maximum lamina size was reached. This date prescribed three green leaf sampling dates, which were defined as one week, one month, and two months after full leaf expansion. A fourth leaf sampling phase was scheduled in the median days of the leaf senescence period when fresh yellow leaves were collected from the forest floor. These four leaf sampling phases were conducted following every defoliation event for every F. prolixa tree.
The leaf sampling dates for the paired F. tinctoria trees were defined by the F. prolixa sampling dates. Leaf longevity and stem growth rates were not determined for the F. tinctoria trees. Leaf senescence and abscission were rarely from the basipetal leaves on a stem axis, indicating that the age at which F. tinctoria leaves senesced was ambiguous compared to F. prolixa. For simplicity, the youngest fully expanded leaf was selected from a growing stem apex for the one-week phase, leaves positioned at 4 cm from the apex were collected for the one-month phase, and leaves positioned at 10 cm from the apex were collected for the two-month phase. Fresh yellow leaves were collected from the forest floor for the senesced leaf phase.
The leaves were collected from the median strata from stems located at the periphery of each tree canopy using a pole pruner. For each tree, six stems in each of the four cardinal directions were harvested, and one leaf was collected from each stem for a total of 24 leaves per sample. The leaves were stored in open paper bags to ensure air flow to enable the natural desiccation of the tissues for long-term storage.

2.2. Sample Handling and Analyses

The green and senesced leaves were stored in open paper bags in an air-conditioned laboratory until the entire sample set had accumulated. At this time, there were samples representing four leaf stages from 49 F. prolixa single-tree defoliation events. The F. tinctoria tree samples were collected concurrently with the F. prolixa samples. Each of the study trees exhibited seven defoliation events; therefore, the samples from each sequential defoliation event were combined and mixed for each leaf stage for each tree species. This created seven replications per tree species for each leaf stage, with each replication representing one of the defoliation events.
The samples were dried for 48 h at 75 °C in a forced draft oven and then milled to pass through a 20-mesh screen. The total nitrogen (N) content was determined by dry combustion (FLASH EA1112 CHN Analyzer, Thermo Fisher, Waltham, MA, USA). Phosphorus (P) and potassium (K) were quantified by inductively coupled plasma optical emission spectrometry (ICP-OES; Spectro Genesis; SPECTRO Analytical Instruments, Kleve, Germany) after being digested by a microwave system with nitric acid and peroxide.
The stoichiometric relationships of green leaf tissue nutrients were quantified by calculating the quotients of N:P, N:K, and K:P. The resorption efficiencies for the three nutrients were calculated by subtracting the senesced leaf concentration from the peak green leaf concentration, and then dividing by the green leaf concentration: ((Green–Senesced)/Green) × 100.
The concentration and stoichiometry data were subjected to a two-way ANOVA (SAS Institute, Cary, NC, USA) with two levels of species and four levels of leaf stage. No transformations were necessary for concentration, but the stoichiometry data were log-transformed. Pairwise comparisons for significant response variables were conducted with Tukey’s Honest Significant Difference test. Differences in the nutrient resorption efficiencies of the two species were determined using a t-test.

3. Results

3.1. Phenology

The timing of F. prolixa defoliation events was asynchronous among the seven trees. Each tree exhibited seven defoliation events within the timeframe of the study, so there were 49 observed single-tree defoliation and re-foliating events. More of these ephemerally deciduous phenological events occurred in the rainy season than in the remainder of the year, but at least two of the seven trees exhibited a defoliation event in every month of the year over the 2+ year study period (Figure 1). Most of the defoliation events were followed by the subsequent defoliation event in three-month intervals for each of the individual trees, signifying synchronized leaf senescence of ≈90-day-old leaves. However, longer periods occurred, and one six-month period between two successive deciduous periods was recorded. Mast fruit production appeared to be concurrent with the few observed longer periods between two successive defoliation events. No fruit production accompanied the more frequent three-month periods between successive defoliation events. An overall 3.9-month mean between successive defoliation events was exhibited among the seven trees. The period of time that elapsed from the initiation of defoliation, to the completion of defoliation, and then to the initiation of subsequent new stem growth was only 14–20 days for the 49 observed events. The abscission of the flushing stipules at the time of new stem growth was considerable in volume and more synchronized than the antecedent leaf litterfall, with the entire canopy’s stipule population falling to the forest floor in less than seven days. This litter event is an obligate component of F. prolixa phenology and represents a second pulsed litterfall event that F. prolixa trees employ to influence Guam’s nutrient cycling dynamics.

3.2. Nutrient Concentration

The macronutrient N varied in concentration between the two species, with F. prolixa values greatly exceeding F. tinctoria values (Table 1, Figure 2A). This macronutrient also varied among the four leaf stages, with the youngest stage exhibiting the greatest values and the litter stage exhibiting the least values. The interaction between these two factors was also significant, primarily because the decline in concentration as leaf stages progressed was greater for F. prolixa and because the means converged such that there was no difference between the two species for the litter stage.
The other macronutrients exhibited similar results. The P concentration varied between the two species and among the four leaf stages (Table 1, Figure 2B). The patterns were similar to those of N. Additionally, the interaction between the two factors was significant. The F. prolixa P concentration was triple that of F. tinctoria for the 1-week leaf stage, and then declined more rapidly with succeeding leaf stages than N concentration. Therefore, the two species converged to exhibit similar P concentrations by the 2-month green leaf stage. The macronutrient K exhibited results that aligned with the P results in that the rate of decline in concentration was greater than that of N but aligned with the N results in that the two species were different in K concentration for all three green leaf stages and converged only for the litter stage (Table 1, Figure 2C).

3.3. Nutrient Stoichiometry

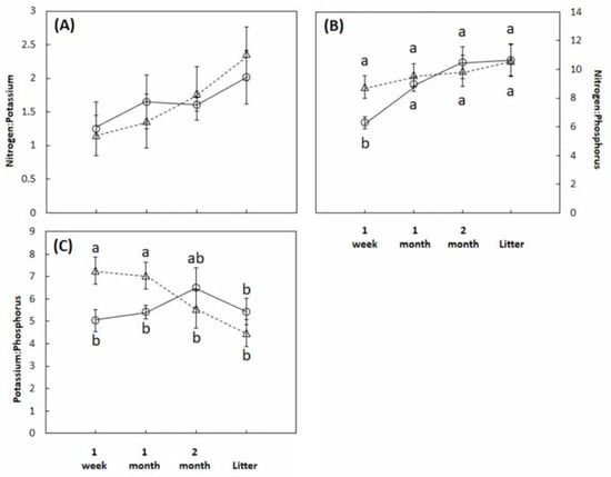
The leaf N:K differed between F. prolixa (mean = 1.61) and F. tinctoria (mean = 1.77) and increased with the successive leaf stages (Table 2, Figure 3A). The interaction of species × leaf stage was not significant, indicating that the influence of leaf stage on N:K was similar for the two species. The mean N:P of the F. tinctoria leaves was greater than that of F. prolixa leaves (Table 2, Figure 3B). Moreover, the N:P increased with each successive leaf stage because of the influence of F. prolixa. The interaction of species and leaf stage was significant because the young green leaves exhibited species differences, but the older leaf stages were not different between the species. The K:P of the Ficus leaves exhibited no differences between the two species, but K:P increased as the leaves progressed through the four stages (Table 2, Figure 3C). Moreover, the interaction of species × leaf stage was significant, as leaf K:P was greater for F. tinctoria than for F. prolixa for the young leaves, but this difference disappeared by the two-month stage.

3.4. Nutrient Resorption Efficiency

Nitrogen resorption efficiency for F. prolixa leaves was 38% greater than for F. tinctoria (t = 5.390; p < 0.001) (Figure 4A). Similarly, P resorption efficiency for F. prolixa leaves was 41% greater than for F. tinctoria (t = 5.581; p < 0.001) (Figure 4B). Although significant, the differences in K resorption efficiency were less, with F. prolixa leaves exhibiting values 14% greater than those for F. tinctoria (t = 2.743; p = 0.008) (Figure 4C).

4. Discussion

Episodic vegetative growth events in the F. prolixa tree population were observed in some of the trees in every month of the year. Similarly, the chronic primary growth of F. tinctoria stems did not appear to increase or decrease substantially throughout the year. Therefore, seasonal and extrinsic control factors did not appear to exert a strong influence on the vegetative phenology of these Ficus trees at the population level.

4.1. Nutrient Resorption

Nutrient resorption as a component of leaf senescence has been heavily studied as the remobilization of non-structural leaf components and translocation of the nutrients into the stems prior to leaf abscission [11,12]. Many extrinsic controls over nutrient resorption among species have been identified, and these may have influenced results among previous studies [21]. Available nutrient levels, temperature, and rainfall may exert direct influence on nutrient resorption efficiencies [22,23]. Nutrients added as fertilizers or through global change factors may delay senescence and reduce nutrient resorption efficiency [24,25]. My methods, which paired two nearby trees for each of the seven replications, minimized the likelihood that these extrinsic factors influenced the species comparisons.
In plant communities where evergreen plants coexist with seasonally deciduous plants, evergreen species generally exhibit nutrient resorption efficiencies below those of deciduous plant species [15]. However, some studies have shown inconsistencies such that the phenomenon cannot be considered canonical [26,27]. The seasonally deciduous F. prolixa trees exhibited nutrient resorption efficiencies from 70% to 80%, but the F. tinctoria trees exhibited values from 50% to 70%. Therefore, my results strongly support the hypothesis for all three macronutrients.
Nutrient resorption generally occurs throughout the leaf life span because the greatest concentrations of non-structural nutrients occur in the youngest fully expanded leaves [28]. However, the greatest proportion of resorption normally occurs shortly before senescence and abscission [29]. The two Guam Ficus species exhibited extreme difference in these phenology behaviors. The reported nutrient resorption efficiencies (Figure 4) were calculated from the peak young green leaf concentrations. However, if these nutrient resorption efficiencies were alternatively calculated from the two-month green leaves, which were less than one month away from the senescence period, the differences between the species would have been diminished or would have disappeared.
This phenomenon is further exemplified by considering the results from the only prior publication to include leaf nutrient data for either of these tree species. A multi-species depiction of green leaf and litter chemistry within Guam’s karst forests included F. prolixa among the species [30]. This publication resulted from a 2015 tropical cyclone that enabled concurrent comparisons among many species within a single temporal window. The F. prolixa values were near the mean or median values among the sympatric species, and the senesced leaf concentrations were similar to what is reported herein. However, the green leaf concentrations were more aligned with the two-month green leaf results herein, indicating that none of the sampled trees from the 2015 tropical cyclone had experienced a recent deciduous period. The nutrient resorptions reported [30] were lower than the results herein but align with the nutrient resorption efficiency that would have resulted from using this study’s two-month green leaf data for the calculation of the resorption efficiency.
Much of the variation in the literature on nutrient resorption has been explained away using extrinsic factors that may have differed among the methods employed. My results illuminate an intrinsic factor that may partly explain the differences among published reports. The nutrient concentrations of green leaves may vary considerably among even small differences in leaf age. Very few reports on nutrient resorption efficiency include any information about the green leaf age used for the calculations.

4.2. Nutrient Concentration and Stoichiometry

I hypothesized that the F. prolixa green leaf nutrient concentrations would exceed those of F. tinctoria, and the results strongly confirm the hypothesis. Although nutrient resorption efficiency was influenced by peak green leaf nutrient concentrations, the nutrient resorption proficiency was not influenced by peak concentrations because the leaf nutrient concentrations of the two species converged as the leaves aged. Therefore, the primary difference in how these two sympatric Ficus species influence biogeochemical cycling is borne out of the timing and volume of the litter resource pulse, not the difference in litter quality defined by nutrient content.
Developing an understanding of the leaf nutrient traits of co-existing plant species improves our understanding of forest community ecology. The pairwise comparison of macronutrients is one trait that has been heavily studied, and the methods increase our knowledge of how resource availability influences individual plant function within biodiverse ecosystems [31]. Through directly comparing the relative concentrations of N, P, and K, the relative levels of limitations on plant growth can be estimated [31,32,33,34,35].
Leaf N:K below 2.1 signifies N limitation, and N:K above 2.1 signifies K limitation [32]. With means of 1.1–1.6 for the green leaf categories, my results reveal that both Ficus species were N-limited in relation to K nutrition. The relative N limitation was greater for the youngest leaves. The N:P of these two Ficus species was much less than the global N:P mean of ≈16 [36,37]. Leaf N:P below ≈14 signifies N limitation [32,33,34,35]. With means of 6–11 for the green leaves, my results indicate these Ficus trees were N-limited in relation to P nutrition. The youngest F. prolixa leaves exhibited much greater N limitation than the F. tinctoria leaves, but this species difference disappeared by the 1-month stage. The relative N limitation was greatest for the youngest leaf category for both species. Leaf K:P above 3.4 signifies P limitation, and K:P below 3.4 signifies K limitation [34]. With means of 5–7 for the green leaves in this study, the two Guam Ficus trees were both P-limited in relation to K. The influence of leaf age on K:P was not homogeneous for the two species, with F. tinctoria exhibiting greater P limitation than F. prolixa in the youngest leaves. However, the K:P values converged by the 2-month stage such that both species were P-limited to a similar degree.
These leaf nutrient dynamics exert far-reaching impacts on spatiotemporal traits of nutrient sequestration patterns and soil organic matter decomposition within Guam’s forests, where these two large tree species are represented. The greater differences between the species for the youngest leaf stage also revealed how tropical cyclone defoliation events (e.g., ref. [30]) can drastically influence biogeochemistry. The natural litterfall of senesced leaves enables a N:P:K stoichiometry relationship that did not differ between the two Ficus species. But the wind defoliation of green leaves by tropical cyclones would dislodge green leaf tissues with N:P:K traits that differ greatly between the two species. These species differences may lead to divergent changes in ecological stoichiometry and energy flow.
The results herein are confined to the three macronutrients that have been most heavily studied for resorption and stoichiometry relations. A previous report, however, included a long list of nutrients and metals [30]. The F. prolixa leaf concentrations were near the mean or median values of the list of sympatric species for most nutrients and metals. However, this tree’s leaves exhibited the greatest boron and smallest nickel concentrations from among 25 species, indicating that micronutrient relations within Guam’s karst forests may be uniquely influenced by the presence of this hemiepiphyte canopy tree. Interestingly, the species exhibiting the most recalcitrant leaf litter was Heritiera longipetiolata Kaneh., and the species exhibiting the most labile leaf litter was Serianthes nelsonii Merr., and both of these species are listed under the U.S. Endangered Species Act [30]. The collective results reveal the value of dedicated research concerning the contributions of each tree species to better understand the costs to ecosystem function that results from losing tree cover during land conversion activities.

4.3. The Greatest Threats to Guam’s Ficus Tree Population

The world is losing plants at unsustainable rates [1,2,3]. The need to impose protection acts to stop the loss of tree biodiversity in order to retain the services provided by trees cannot be ignored [10]. More research that reveals the ecosystem services of trees may aid in these goals to inform strategic foresight about sustaining ecosystem health. Indeed, the greatest contemporary threat to terrestrial resource conservation in the Mariana Islands is the ongoing massive military buildup that is irreversibly converting hundreds of hectares of forests [38,39]. The project plans published in 2014 predicted the clearing of 780+ ha to accommodate the military buildup, but later consultations revealed 860+ ha of forests will be permanently destroyed [40]. These estimates did not include the destruction of green space associated with construction activities outside the confines of the military bases. Long before the clearing of the first hectare of forest associated with this military buildup, the concerns about the impending devastation to the local culture and the terrestrial resources were published along with appeals to pause the speed of the planning such that stakeholders could adequately provide input [39,40,41,42]. Traditional indigenous knowledge is invaluable for monitoring biodiversity and building scientific hypotheses [43]. For indigenous peoples living in colonized lands, the ongoing destruction of biodiversity and forested habitats often magnifies historical grief and inter-generational trauma [44]. In this light, the use of colonialism methods employed to suppress the concerns of Guam’s indigenous peoples related to the widespread damage to the island’s natural resources were also discussed prior to the initiation of the major forest clearing projects of the military buildup [45,46].
The construction activities of the military buildup ensued despite these and other concerns from the community, and the result has been a condemnation by the United Nations for the violations of human rights of Guam’s indigenous peoples perpetrated by the U.S. military [47]. These violations were imposed largely by the adverse environmental impacts that resulted from the land clearing activities. Furthermore, an active lawsuit has been filed by the Center for Biological Diversity compelling the U.S. military to cease all activities that place Guam’s endangered plants in peril as a result of how the land clearing and other activities have disobeyed the requirements defined by the United States Endangered Species Act [40]. National defense is not separate and more important than natural resource conservation; they are one and the same [42]. Insular territorial residents cannot be defended adequately if the terrestrial resources on which they depend are destroyed through the methods employed for their defense.
The Guam case study illuminates the destruction of untold numbers of F. prolixa and F. tinctoria trees within the hundreds of hectares that have been cleared and provides an example of how power inequities are exploited to impose environmental destruction in a manner that those most affected by the damage are marginalized and become powerless to solve the problems [48]. One limitation to conservation success is insufficient data to make informed decisions. There are no data to inform the extent of Ficus tree loss in recent years of forest destruction, as the most recent 2013 tree inventory [9] preceded the onset of the large-scale forest clearing projects. This Guam situation exemplifies how our global need to protect biodiversity will require better multi-lateral agreements where differentiated contributions are embraced by all stakeholders, not just the ones with power [49,50]. Drastic, immediate changes in the trajectory of human activities will be required to alter the trajectory of island biodiversity loss [51]. Threats to conservation such as the Guam case will persist if world leaders continue to exploit and misuse extraordinary powers, such as military culture, to use national defense as an excuse to avoid appropriate steps to ensure that minimal environmental damage accompanies military activities [52].

5. Conclusions

This research improves our understanding of N, P, and K nutrient acquisition and retention strategies for two sympatric Ficus species with different leaf phenology patterns. Compared with senesced leaves, the N, P, and K concentrations in green leaves were elevated, and the seasonally deciduous F. prolixa exhibited concentrations that greatly exceeded those of F. tinctoria. In contrast, senesced leaf N, P, and K concentrations did not differ between the two species. These dynamics indicate that the F. prolixa nutrient resorption efficiency greatly exceeded that of F. tinctoria, but nutrient resorption proficiency was similar for the two species. These Ficus trees were N-limited in relation to K, N-limited in relation to P, and P-limited in relation to K.
The primary difference in how these two sympatric trees influence the biogeochemistry of Guam’s karst forests is through the timing and volume of litterfall, a phenological trait that should be further studied. The observation that the pulse of flushing stipule abscission at the end of the deciduous period is a major contributor of F. prolixa litterfall deserves further study, as the F. tinctoria trees do not produce this stipule. The urgent need for this and similar research is of paramount importance, as more data that illuminate the ecosystem services of tree species may be useful for informing stakeholders who hold the power to decide the direction of future land use changes.

Funding

This research received no external funding.

Data Availability Statement

The raw data supporting the conclusions of this article will be made available by the authors upon request.

Acknowledgments

I thank Gil Cruz and Benjamin Deloso for contributing to the phenology surveys.

Conflicts of Interest

The author declares no conflicts of interest.

References

  1. Antonelli, A.; Fry, C.; Smith, R.J.; Eden, J.; Govaerts, R.H.A.; Kersey, P.; Lughadha, E.M.N.; Onstein, R.E.; Simmonds, M.S.J.; Zizka, A.; et al. State of the World’s Plants and Fungi 2023; Royal Botanic Gardens, Kew: Richmond, UK, 2023. [Google Scholar] [CrossRef]
  2. Rivers, M.; Newton, A.C.; Oldfield, S.; Global Tree Assessment Contributors. Scientists’ warning to humanity on tree extinctions. Plants People Planet 2023, 5, 466–482. [Google Scholar] [CrossRef]
  3. Botanic Gardens Conservation International. State of the World’s Trees; Botanic Gardens Conservation International: Richmond, UK, 2021. [Google Scholar]
  4. Raulerson, L.; Rinehart, A. Trees and Shrubs of the Northern Mariana Islands; Office of the Governor Commonwealth of the Northern Mariana Islands: Saipan, Northern Mariana Islands, 1991. [Google Scholar]
  5. Wiles, G.J.; Fujita, M.S. Food plants and economic importance of flying foxes on Pacific islands. Biol. Rep. 1992, 90, 24–35. [Google Scholar]
  6. Schreiner, I.H.; Nafus, D.M. Butterflies of Micronesia; University of Guam: Guam, USA, 1997. [Google Scholar]
  7. Gawel, A.M.; Rogers, H.S.; Miller, R.H.; Kerr, A.M. Contrasting ecological roles of non-native ungulates in a novel ecosystem. R. Soc. Open Sci. 2018, 5, 170151. [Google Scholar] [CrossRef]
  8. Donnegan, J.A.; Butler, S.L.; Grabowiecki, W.; Hiserote, B.A.; Limtiaco, D. Guam’s Forest Resources 2002; Resource Bulletin PNW-RB-243; U.S. Department of Agriculture, Forest Service, Pacific Northwest Research Station: Portland, OR, USA, 2004. [Google Scholar]
  9. Lazaro, M.; Kuegler, O.; Stanton, S.; Lehman, A.; Mafnas, J.; Yatskov, M. Guam’s Forest Resources: Forest Inventory and Analysis 2013; Resource Bulletin PNW-RB-270; U.S. Department of Agriculture, Forest Service, Pacific Northwest Research Station: Portland, OR, USA, 2020. [Google Scholar]
  10. Dobson, A.; Hutchinson, M.C.; Batterman, S. Plant communities and food webs. Front. Ecol. Evol. 2023, 11, 1253084. [Google Scholar] [CrossRef]
  11. Aerts, R. Nutrient resorption from senescing leaves of perennials: Are there general patterns? J. Ecol. 1996, 84, 597–608. [Google Scholar] [CrossRef]
  12. Killingbeck, K.T. Nutrients in senesced leaves: Key to search for potential resorption and resorption proficiency. Ecology 1996, 77, 1716–1727. [Google Scholar] [CrossRef]
  13. Lü, X.-T.; Hu, Y.-Y.; Wolf, A.A.; Han, X.-G. Species richness mediates within-species nutrient resorption: Implications for the biodiversity–productivity relationship. J. Ecol. 2019, 107, 2346–2352. [Google Scholar] [CrossRef]
  14. Kobe, R.K.; Lepczyk, C.A.; Iyer, M. Resorption efficiency decreases with increasing green leaf nutrients in a global data set. Ecology 2005, 86, 2780–2792. [Google Scholar] [CrossRef]
  15. Vergutz, L.; Manzoni, S.; Porporato, A.; Novais, R.F.; Jackson, R.B. Global resorption efficiencies and concentrations of carbon and nutrients in leaves of terrestrial plants. Ecolog. Monogr. 2012, 82, 205–220. [Google Scholar] [CrossRef]
  16. Chen, X.; Chen, H.Y.H. Plant mixture balances terrestrial ecosystem C:N:P stoichiometry. Nat. Commun. 2021, 12, 4562. [Google Scholar] [CrossRef]
  17. Young, F.J. Soil Survey of Territory of Guam; U.S. Department of Agriculture Soil Conservation Service: Washington, DC, USA, 1988. [Google Scholar]
  18. National Oceanic and Atmospheric Administration. Local Climatological Data, Guam. Available online: https://www.weather.gov/gum (accessed on 2 October 2024).
  19. Marler, T.E. Pacific island tropical cyclones are more frequent and globally relevant, yet less studied. Front. Environ. Sci. 2014, 2, 42. [Google Scholar] [CrossRef]
  20. Stone, B.C. America’s Asiatic Flora: The plants of Guam. Am. Sci. 1971, 59, 308–319. [Google Scholar]
  21. Xu, M.; Zhu, Y.; Zhang, S.; Feng, Y.; Zhang, W.; Han, X. Global scaling the leaf nitrogen and phosphorus resorption of woody species: Revisiting some commonly held views. Sci. Total Environ. 2021, 788, 147807. [Google Scholar] [CrossRef]
  22. Liu, X.; Wang, Y.; Fu, W.; Yuan, Z.; Yu, Q.; Peng, C.; Koerner, S.E.; Guo, L. Growing season temperature and precipitation affect nutrient resorption in herbaceous species through a foliar stoichiometric control strategy. Plant Soil 2023, 493, 45–60. [Google Scholar] [CrossRef]
  23. Sun, X.; Li, D.; Lü, X.; Fang, Y.; Ma, Z.; Wang, Z.; Chu, C.; Li, M.; Chen, H. Widespread controls of leaf nutrient resorption by nutrient limitation and stoichiometry. Funct. Ecol. 2023, 37, 1653–1662. [Google Scholar] [CrossRef]
  24. Lü, X.T.; Hou, S.L.; Reed, S.; Yin, J.X.; Hu, Y.Y.; Wei, H.W.; Zhang, Z.W.; Yang, G.J.; Liu, Z.Y.; Han, X.G. Nitrogen enrichment reduces nitrogen and phosphorus resorption through changes to species resorption and plant community composition. Ecosystems 2021, 24, 602–612. [Google Scholar] [CrossRef]
  25. Wang, P.; Fu, C.; Wang, L.; Yan, T. Delayed autumnal leaf senescence following nutrient fertilization results in altered nitrogen resorption. Tree Physiol. 2022, 42, 1549–1559. [Google Scholar] [CrossRef]
  26. Aerts, R.; Chapin, F.S. The mineral nutrition of wild plants revisited: A re-evaluation of processes and patterns. Adv. Ecol. Res. 1999, 30, 1–67. [Google Scholar]
  27. Athokpam, F.D.; Garkoti, S.C. Dynamics of foliar nitrogen of evergreen and deciduous plant species in a wet tropical forest, South Assam, India. Plant Ecol. 2015, 216, 1117–1135. [Google Scholar] [CrossRef]
  28. Leopold, A.C. Senescence in plant development. Science 1961, 134, 1727–1732. [Google Scholar] [CrossRef]
  29. Ares, A.; Gleason, S.M. Foliar nutrients resorption in tree species. In New Research on Forest Ecology; Scaggs, A.K., Ed.; Nova Science Publishers Inc.: New York, NY, USA, 2007; pp. 1–32. [Google Scholar]
  30. Marler, T.E. Leaf elemental concentrations, stoichiometry, and resorption in Guam’s coastal karst forests. Diversity 2021, 13, 545. [Google Scholar] [CrossRef]
  31. Sardans, J.; Janssens, I.A.; Ciais, P.; Obersteiner, M.; Peñuelas, J. Recent advances and future research in ecological stoichiometry. Perspect. Plant Ecol. Evol. Syst. 2021, 50, 125611. [Google Scholar] [CrossRef]
  32. Koerselman, W.; Meuleman, A.F.M. The vegetation N:P ratio: A new tool to detect the nature of nutrient limitation. J. Appl. Ecol. 1996, 33, 1441–1450. [Google Scholar] [CrossRef]
  33. Güsewell, S.; Koerselman, M. Variation in nitrogen and phosphorus concentrations of wetland plants. Perspect. Plant Ecol. 2002, 5, 37–61. [Google Scholar] [CrossRef]
  34. Olde Venterink, H.; Wassen, M.J.; Verkroost, A.W.M.; de Ruiter, P.C. Species richness-productivity patterns differ between N-, P- and K-limited wetlands. Ecology 2003, 84, 2191–2199. [Google Scholar] [CrossRef]
  35. Wang, M.; Moore, T.R. Carbon, nitrogen, phosphorus, and potassium stoichiometry in an ombrotrophic peatland reflects plant functional type. Ecosystems 2014, 17, 673–684. [Google Scholar] [CrossRef]
  36. Wright, I.J.; Reich, P.B.; Cornelissen, J.H.; Falster, D.S.; Garnier, E.; Hikosaka, K.; Lamont, B.B.; Lee, W.; Oleksyn, J.; Osada, N.; et al. Assessing the generality of global leaf trait relationships. New Phytol. 2005, 166, 485–496. [Google Scholar] [CrossRef]
  37. Xing, K.; Niinemets, Ü.; Rengel, Z.; Onoda, Y.; Xia, J.; Chen, H.Y.H.; Zhao, M.; Han, W.; Li, H. Global patterns of leaf construction traits and their covariation along climate and soil environmental gradients. New Phytol. 2021, 232, 1648–1660. [Google Scholar] [CrossRef]
  38. Ossola, A. Guam’s Ecological Fate Is in the Hands of the U.S. Military; National Geographic: Washington, DC, USA, 2018; Available online: https://www.nationalgeographic.com (accessed on 2 October 2024).
  39. Spies, N.P.; Mizerek, T.; Reeves, M.K.; Amidon, F.; Miller, S.E. Developed Systems in the Mariana Islands Archipelago. In Encyclopedia of the World’s Biomes; Goldstein, M.I., DellaSala, D.A., Eds.; Elsevier: Amsterdam, The Netherlands, 2020; pp. 228–242. [Google Scholar] [CrossRef]
  40. Center for Biological Diversity and Prutehi Litekyan versus United States Department of Defense; del Toro, C.; United States Fish and Wildlife Service; Haaland, D. CIV 23-00019. Complaint for Declaratory and Injunctive Relief under the Endangered Species Act, Administrative Procedure Act, and Freedom of Information Act. United States District Court of Guam. 2023. Available online: https://www.biologicaldiversity.org/programs/biodiversity/pdfs/Camp-Blaz-Complaint.pdf (accessed on 2 October 2024).
  41. Owen, A. Guam culture, immigration and the US military build-up. Asia Pac. Viewp. 2010, 51, 304–318. [Google Scholar] [CrossRef]
  42. Marler, T.E.; Moore, A. Military threats to terrestrial resources not restricted to wartime: A case study from Guam. J. Environ. Sci. Eng. 2011, 5, 1198–1214. [Google Scholar]
  43. Copete, J.C.; Kik, A.; Novotny, V.; Cámara-Leret, R. The importance of Indigenous and local people for cataloging biodiversity. Trends Ecol. Evol. 2023, 38, 1112–1114. [Google Scholar] [CrossRef] [PubMed]
  44. Kingston, L. The destruction of identity: Cultural genocide and indigenous peoples. J. Human Rights 2015, 14, 63–83. [Google Scholar] [CrossRef]
  45. Marler, T.E.; Wiecko, G.; Moore, A. Application of game theory to the interface between militarization and environmental stewardship in the Mariana Islands. Communic. Integr. Biol. 2012, 5, 193–195. [Google Scholar] [CrossRef] [PubMed]
  46. Marler, T.E. The intersection of a military culture and indigenous peoples in conservation issues. Communic. Integr. Biol. 2014, 7, e26665. [Google Scholar] [CrossRef][Green Version]
  47. United Nations Commission on Human Rights. AL USA 7/2021. Available online: https://spcommreports.ohchr.org/TMResultsBase/DownLoadPublicCommunicationFile?gId=25885 (accessed on 2 October 2024).
  48. Schulze, P.C. Obstacles to Environmental Progress: A U.S. Perspective; UCL Press: London, UK, 2022. [Google Scholar]
  49. de Lima, R.A.F.; Phillips, O.L.; Duque, A.; Tello, S.; Davies, S.J.; de Oliveira, A.A.; Muller, S.; Coronado, E.N.H.; Vilanova, E.; Cuni-Sanchez, A.; et al. Making forest data fair and open. Nat. Ecol. Evol. 2022, 6, 656–658. [Google Scholar] [CrossRef]
  50. Mabry, M.E.; Caomhanach, N.; Abrahams, R.S.; Gaynor, M.L.; Pham, K.K.; Williams, T.M.; Murphy, K.S.; Smocovitis, V.B.; Soltis, D.E.; Soltis, P.S. Building an inclusive botany: The “radicle” dream. Plants People Planet 2024, 6, 544–557. [Google Scholar] [CrossRef]
  51. Fernández-Palacios, J.M.; Kreft, H.; Irl, S.D.H.; Norder, S.; Ah-Peng, C.; Borges, P.A.V.; Burns, K.C.; de Nascimento, L.; Meyer, J.-Y.; Montes, E.; et al. Scientists’ warning—The outstanding biodiversity of islands is in peril. Global Ecol. Conserv. 2021, 31, e01847. [Google Scholar] [CrossRef]
  52. Nowak, K.; Bear, D.; Dutta, A.; Traphagen, M.; Zmihorski, M.; Jaroszewicz, B. Threats to conservation from national security interests. Conserv. Biol. 2024, 38, e14193. [Google Scholar] [CrossRef]
Figure 1. The number of leaf defoliation events for seven Ficus prolixa trees in Guam for each month. A total of 49 defoliation events were observed from September 2016 to January 2019.
Figure 1. The number of leaf defoliation events for seven Ficus prolixa trees in Guam for each month. A total of 49 defoliation events were observed from September 2016 to January 2019.
Nitrogen 05 00059 g001
Figure 2. Leaf nutrient concentrations of Ficus prolixa (circles, solid lines) and Ficus tinctoria (triangles, dashed lines) leaves as influenced by age. (A) Nitrogen, (B) Phosphorus, (C) Potassium. Means ± SD, n = 7. Markers with the same letters are not different according to Tukey’s honest significant difference test.
Figure 2. Leaf nutrient concentrations of Ficus prolixa (circles, solid lines) and Ficus tinctoria (triangles, dashed lines) leaves as influenced by age. (A) Nitrogen, (B) Phosphorus, (C) Potassium. Means ± SD, n = 7. Markers with the same letters are not different according to Tukey’s honest significant difference test.
Nitrogen 05 00059 g002
Figure 3. Nutrient stoichiometry of Ficus prolixa (circles, solid lines) and Ficus tinctoria (triangles, dashed lines) leaves as influenced by age. (A) Nitrogen:Potassium, (B) Nitrogen:Phosphorus, (C) Potassium:Phosphorus Means ± SD, n = 7. Markers with the same letters are not different according to Tukey’s honest significant difference test. Nitrogen: Potassium interaction, NS.
Figure 3. Nutrient stoichiometry of Ficus prolixa (circles, solid lines) and Ficus tinctoria (triangles, dashed lines) leaves as influenced by age. (A) Nitrogen:Potassium, (B) Nitrogen:Phosphorus, (C) Potassium:Phosphorus Means ± SD, n = 7. Markers with the same letters are not different according to Tukey’s honest significant difference test. Nitrogen: Potassium interaction, NS.
Nitrogen 05 00059 g003
Figure 4. Nutrient resorption efficiency of Ficus prolixa (open bars) and Ficus tinctoria (shaded bars) leaves. (A) Nitrogen, (B) Phosphorus, (C) Potassium. Means ± SD, n = 7.
Figure 4. Nutrient resorption efficiency of Ficus prolixa (open bars) and Ficus tinctoria (shaded bars) leaves. (A) Nitrogen, (B) Phosphorus, (C) Potassium. Means ± SD, n = 7.
Nitrogen 05 00059 g004
Table 1. Results of two-way ANOVA testing the differences in nutrient concentrations (mg·g−1) between two species, among four leaf stages, and the interactions of these two factors.
Table 1. Results of two-way ANOVA testing the differences in nutrient concentrations (mg·g−1) between two species, among four leaf stages, and the interactions of these two factors.
VariableSpecies
f 1,48
Species
p
Stage
f 3,48
Stage
p
Interaction
f 3,48
Interaction
p
Nitrogen377.866<0.001289.405<0.00179.079<0.001
Phosphorus217.307<0.001169.312<0.00167.781<0.001
Potassium280.305<0.001298.062<0.00157.804<0.001
Table 2. Results of two-way ANOVA testing the differences in log-transformed pairwise nutrient stoichiometry traits between two species, among four leaf stages, and the interactions of these two factors.
Table 2. Results of two-way ANOVA testing the differences in log-transformed pairwise nutrient stoichiometry traits between two species, among four leaf stages, and the interactions of these two factors.
VariableSpecies
f 1,48
Species
p
Stage
f 3,48
Stage
p
Interaction
f 3,48
Interaction
p
N:K6.7320.01323.421<0.0011.9740.130
N:P14.507<0.00118.368<0.0014.3640.009
K:P1.5910.2137.553<0.00112.253<0.001
Disclaimer/Publisher’s Note: The statements, opinions and data contained in all publications are solely those of the individual author(s) and contributor(s) and not of MDPI and/or the editor(s). MDPI and/or the editor(s) disclaim responsibility for any injury to people or property resulting from any ideas, methods, instructions or products referred to in the content.

Share and Cite

MDPI and ACS Style

Marler, T.E. Contrasting Life-Form Influences Guam Ficus Foliar Nutrient Dynamics. Nitrogen 2024, 5, 915-926. https://doi.org/10.3390/nitrogen5040059

AMA Style

Marler TE. Contrasting Life-Form Influences Guam Ficus Foliar Nutrient Dynamics. Nitrogen. 2024; 5(4):915-926. https://doi.org/10.3390/nitrogen5040059

Chicago/Turabian Style

Marler, Thomas E. 2024. "Contrasting Life-Form Influences Guam Ficus Foliar Nutrient Dynamics" Nitrogen 5, no. 4: 915-926. https://doi.org/10.3390/nitrogen5040059

APA Style

Marler, T. E. (2024). Contrasting Life-Form Influences Guam Ficus Foliar Nutrient Dynamics. Nitrogen, 5(4), 915-926. https://doi.org/10.3390/nitrogen5040059

Article Metrics

Back to TopTop