Optimization of Ammonia Nitrogen Removal and Recovery from Raw Liquid Dairy Manure Using Vacuum Thermal Stripping and Acid Absorption Process: A Modeling Approach Using Response Surface Methodology
Abstract
1. Introduction
2. Materials and Methods
2.1. Sample Collection and Characterization
2.2. Vacuum Thermal Stripping–Acid Absorption Setup and Experimental Procedure
2.3. Experimental Design
2.4. Process Optimization and NH3-N Recovery Process
3. Results and Discussion
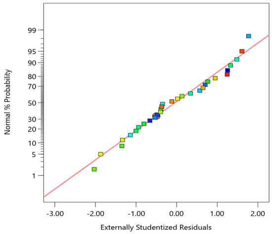
3.1. Ammonia Nitrogen Removal from RLDM: Model Fitting and Data Analysis
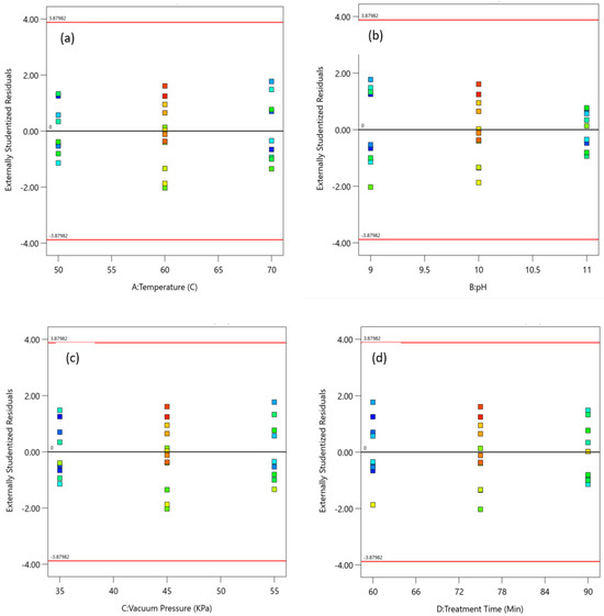
3.2. Impact of Operational Variables on Process Performance
3.3. Optimization of the Process Parameters
3.4. Ammonia Nitrogen Recovery
4. Conclusions
5. Future Remarks
Author Contributions
Funding
Data Availability Statement
Conflicts of Interest
References
- U.S. Environmental Protection Agency. National Emission Inventory—Ammonia Emissions from Animal Husbandry Operations. 2004. Available online: https://www3.epa.gov/ttnchie1/ap42/ch09/related/nh3inventorydraft_jan2004.pdf (accessed on 29 April 2024).
- Zhang, H.; Schroder, J. Animal Manure Production and Utilization in the US. In Applied Manure and Nutrient Chemistry for Sustainable Agriculture and Environment; He, Z., Zhang, H., Eds.; Springer: Dordrecht, The Netherlands, 2014; pp. 1–21. [Google Scholar] [CrossRef]
- Sarkar, B.; Chakrabarti, P.P.; Vijaykumar, A.; Kale, V. Wastewater Treatment in Dairy Industries—Possibility of Reuse. Desalination 2006, 195, 141–152. [Google Scholar] [CrossRef]
- Hubbard, R.; Lowrance, R. Management of Dairy Cattle Manure. Agric. Uses Munic. Anim. Ind. Byprod. 1998, 5, 91–102. [Google Scholar]
- Thomas Ukwuani, A.; Tao, W.; Han, J. Ammonia Recovery from Dairy Manure; ASABE Paper No. 131590424; ASABE: St. Joseph, MI, USA, 2013; p. 1. [Google Scholar] [CrossRef]
- Agyeman, F.O.; Tao, W. Anaerobic Co-Digestion of Food Waste and Dairy Manure: Effects of Food Waste Particle Size and Organic Loading Rate. J. Environ. Manag. 2014, 133, 268–274. [Google Scholar] [CrossRef]
- Chen, T.-L.; Chen, L.-H.; Lin, Y.J.; Yu, C.-P.; Ma, H.; Chiang, P.-C. Advanced Ammonia Nitrogen Removal and Recovery Technology Using Electrokinetic and Stripping Process towards a Sustainable Nitrogen Cycle: A Review. J. Clean. Prod. 2021, 309, 127369. [Google Scholar] [CrossRef]
- Kumar, R.; Pal, P. Assessing the Feasibility of N and P Recovery by Struvite Precipitation from Nutrient-Rich Wastewater: A Review. Environ. Sci. Pollut. Res. 2015, 22, 17453–17464. [Google Scholar] [CrossRef]
- Jiang, A.; Zhang, T.; Zhao, Q.-B.; Li, X.; Chen, S.; Frear, C.S. Evaluation of an Integrated Ammonia Stripping, Recovery, and Biogas Scrubbing System for Use with Anaerobically Digested Dairy Manure. Biosyst. Eng. 2014, 119, 117–126. [Google Scholar] [CrossRef]
- Yellezuome, D.; Zhu, X.; Wang, Z.; Liu, R. Mitigation of Ammonia Inhibition in Anaerobic Digestion of Nitrogen-Rich Substrates for Biogas Production by Ammonia Stripping: A Review. Renew. Sustain. Energy Rev. 2022, 157, 112043. [Google Scholar] [CrossRef]
- Ledda, C.; Schievano, A.; Salati, S.; Adani, F. Nitrogen and Water Recovery from Animal Slurries by a New Integrated Ultrafiltration, Reverse Osmosis and Cold Stripping Process: A Case Study. Water Res. 2013, 47, 6157–6166. [Google Scholar] [CrossRef] [PubMed]
- Zeng, L.; Mangan, C.; Li, X. Ammonia Recovery from Anaerobically Digested Cattle Manure by Steam Stripping. Water Sci. Technol. 2006, 54, 137–145. [Google Scholar] [CrossRef] [PubMed]
- Uludag-Demirer, S.; Demirer, G.N.; Frear, C.; Chen, S. Anaerobic Digestion of Dairy Manure with Enhanced Ammonia Removal. J. Environ. Manag. 2008, 86, 193–200. [Google Scholar] [CrossRef]
- Zeng, L.; Li, X. Nutrient Removal from Anaerobically Digested Cattle Manure by Struvite Precipitation. J. Environ. Eng. Sci. 2006, 5, 285–294. [Google Scholar] [CrossRef]
- Zarebska, A.; Nieto, D.R.; Christensen, K.V.; Norddahl, B. Ammonia Recovery from Agricultural Wastes by Membrane Distillation: Fouling Characterization and Mechanism. Water Res. 2014, 56, 1–10. [Google Scholar] [CrossRef] [PubMed]
- Palakodeti, A.; Azman, S.; Rossi, B.; Dewil, R.; Appels, L. A Critical Review of Ammonia Recovery from Anaerobic Digestate of Organic Wastes via Stripping. Renew. Sustain. Energy Rev. 2021, 143, 110903. [Google Scholar] [CrossRef]
- Robles, Á.; Aguado, D.; Barat, R.; Borrás, L.; Bouzas, A.; Giménez, J.B.; Martí, N.; Ribes, J.; Ruano, M.V.; Serralta, J.; et al. New Frontiers from Removal to Recycling of Nitrogen and Phosphorus from Wastewater in the Circular Economy. Bioresour. Technol. 2020, 300, 122673. [Google Scholar] [CrossRef]
- Heggemann, M.H.; Warnecke, H.-J.; Viljoen, H.J. Removal of Ammonia from Aqueous Systems in a Semibatch Reactor. Ind. Eng. Chem. Res. 2001, 40, 3361–3368. [Google Scholar] [CrossRef]
- Ukwuani, A.T.; Tao, W. Developing a Vacuum Thermal Stripping—Acid Absorption Process for Ammonia Recovery from Anaerobic Digester Effluent. Water Res. 2016, 106, 108–115. [Google Scholar] [CrossRef]
- Reza, A.; Chen, L. Optimization and Modeling of Ammonia Nitrogen Removal from Anaerobically Digested Liquid Dairy Manure Using Vacuum Thermal Stripping Process. Sci. Total Environ. 2022, 851, 158321. [Google Scholar] [CrossRef]
- Chen, Q.; Yang, D.; Chen, X.; Wang, X.; Dong, B.; Dai, X. Vacuum Ammonia Stripping from Liquid Digestate: Effects of pH, Alkalinity, Temperature, Negative Pressure and Process Optimization. J. Environ. Sci. 2025, 149, 638–650. [Google Scholar] [CrossRef]
- Tao, W.; Bayrakdar, A.; Wang, Y.; Agyeman, F. Three-Stage Treatment for Nitrogen and Phosphorus Recovery from Human Urine: Hydrolysis, Precipitation and Vacuum Stripping. J. Environ. Manag. 2019, 249, 109435. [Google Scholar] [CrossRef] [PubMed]
- Zhang, R. Development of an Innovative Thermal-Vacuum Stripping Assisted Thermophilic Anaerobic Digestion Process and System for Complete Utilization of Liquid Swine Manure. Ph.D. Thesis, University of Minnesota, Minneapolis, MN, USA, 2021. Available online: https://www.proquest.com/docview/2502671310/abstract/8B6E6DBE61094486PQ/1 (accessed on 12 November 2023).
- Dawson, C.J.; Hilton, J. Fertiliser Availability in a Resource-Limited World: Production and Recycling of Nitrogen and Phosphorus. Food Policy 2011, 36, S14–S22. [Google Scholar] [CrossRef]
- Han, Y.; Agyeman, F.; Green, H.; Tao, W. Stable, High-Rate Anaerobic Digestion through Vacuum Stripping of Digestate. Bioresour. Technol. 2022, 343, 126133. [Google Scholar] [CrossRef] [PubMed]
- Rongwong, W.; Sairiam, S. A Modeling Study on the Effects of pH and Partial Wetting on the Removal of Ammonia Nitrogen from Wastewater by Membrane Contactors. J. Environ. Chem. Eng. 2020, 8, 104240. [Google Scholar] [CrossRef]
- Mohammed-Nour, A.; Al-Sewailem, M.; El-Naggar, A.H. The Influence of Alkalization and Temperature on Ammonia Recovery from Cow Manure and the Chemical Properties of the Effluents. Sustainability 2019, 11, 2441. [Google Scholar] [CrossRef]
- EL-Bourawi, M.S.; Khayet, M.; Ma, R.; Ding, Z.; Li, Z.; Zhang, X. Application of Vacuum Membrane Distillation for Ammonia Removal. J. Membr. Sci. 2007, 301, 200–209. [Google Scholar] [CrossRef]
- Hameed, B.H.; Tan, I.A.W.; Ahmad, A.L. Optimization of Basic Dye Removal by Oil Palm Fibre-Based Activated Carbon Using Response Surface Methodology. J. Hazard. Mater. 2008, 158, 324–332. [Google Scholar] [CrossRef]
- Shim, S.; Won, S.; Reza, A.; Kim, S.; Ahmed, N.; Ra, C. Design and Optimization of Fluidized Bed Reactor Operating Conditions for Struvite Recovery Process from Swine Wastewater. Processes 2020, 8, 422. [Google Scholar] [CrossRef]
- Guštin, S.; Marinšek-Logar, R. Effect of pH, Temperature and Air Flow Rate on the Continuous Ammonia Stripping of the Anaerobic Digestion Effluent. Process Saf. Environ. Prot. 2011, 89, 61–66. [Google Scholar] [CrossRef]
- Kumar, R.; Pal, P. Turning Hazardous Waste into Value-Added Products: Production and Characterization of Struvite from Ammoniacal Waste with New Approaches. J. Clean. Prod. 2013, 43, 59–70. [Google Scholar] [CrossRef]
- Bashir, M.J.K.; Aziz, H.A.; Yusoff, M.S.; Adlan, M.N. Application of Response Surface Methodology (RSM) for Optimization of Ammoniacal Nitrogen Removal from Semi-Aerobic Landfill Leachate Using Ion Exchange Resin. Desalination 2010, 254, 154–161. [Google Scholar] [CrossRef]
- Ding, Y.; Sartaj, M. Statistical Analysis and Optimization of Ammonia Removal from Aqueous Solution by Zeolite Using Factorial Design and Response Surface Methodology. J. Environ. Chem. Eng. 2015, 3, 807–814. [Google Scholar] [CrossRef]
- Mehmood, T.; Ahmed, A.; Ahmad, A.; Ahmad, M.S.; Sandhu, M.A. Optimization of Mixed Surfactants-Based β-Carotene Nanoemulsions Using Response Surface Methodology: An Ultrasonic Homogenization Approach. Food Chem. 2018, 253, 179–184. [Google Scholar] [CrossRef]
- Bilici Baskan, M.; Pala, A. A Statistical Experiment Design Approach for Arsenic Removal by Coagulation Process Using Aluminum Sulfate. Desalination 2010, 254, 42–48. [Google Scholar] [CrossRef]
- Taufiqurrahmi, N.; Mohamed, A.R.; Bhatia, S. Production of Biofuel from Waste Cooking Palm Oil Using Nanocrystalline Zeolite as Catalyst: Process Optimization Studies. Bioresour. Technol. 2011, 102, 10686–10694. [Google Scholar] [CrossRef] [PubMed]
- Krishnamurthy, K.N.; Sridhara, S.N.; Ananda Kumar, C.S. Optimization and Kinetic Study of Biodiesel Production from Hydnocarpus Wightiana Oil and Dairy Waste Scum Using Snail Shell CaO Nano Catalyst. Renew. Energy 2020, 146, 280–296. [Google Scholar] [CrossRef]
- Dargahi, A.; Samarghandi, M.R.; Shabanloo, A.; Mahmoudi, M.M.; Nasab, H.Z. Statistical Modeling of Phenolic Compounds Adsorption onto Low-Cost Adsorbent Prepared from Aloe Vera Leaves Wastes Using CCD-RSM Optimization: Effect of Parameters, Isotherm, and Kinetic Studies. Biomass Conv. Bioref. 2023, 13, 7859–7873. [Google Scholar] [CrossRef]
- Ahmad, A.L.; Ismail, S.; Bhatia, S. Optimization of Coagulation−Flocculation Process for Palm Oil Mill Effluent Using Response Surface Methodology. Environ. Sci. Technol. 2005, 39, 2828–2834. [Google Scholar] [CrossRef] [PubMed]
- Tao, W.; Ukwuani, A.T. Coupling Thermal Stripping and Acid Absorption for Ammonia Recovery from Dairy Manure: Ammonia Volatilization Kinetics and Effects of Temperature, pH and Dissolved Solids Content. Chem. Eng. J. 2015, 280, 188–196. [Google Scholar] [CrossRef]
- Zinatizadeh, A.a.L.; Mansouri, Y.; Akhbari, A.; Pashaei, S. Biological Treatment of a Synthetic Dairy Wastewater in a Sequencing Batch Biofilm Reactor: Statistical Modeling Using Optimization Using Response Surface Methodology. Chem. Ind. Chem. Eng. Q. 2011, 17, 485–495. [Google Scholar] [CrossRef]
- Amonette, J.E. Methods for Determination of Mineralogy and Environmental Availability. In Soil Mineralogy with Environmental Applications; John Wiley & Sons, Ltd.: Hoboken, NJ, USA, 2002; pp. 153–197. [Google Scholar] [CrossRef]








| Characteristics | Average ± Standard Deviation |
|---|---|
| Total Solid (TS) (%) | 2.71 ± 0.01 |
| Suspended Solid (TSS) (%) | 0.93 ± 0.05 |
| Dissolved Solid (TDS) (%) | 1.78 ± 0.04 |
| Chemical Oxygen Demand (COD) (mg/L) | 25,120 ± 677.97 |
| Total Phosphorus (TP) (mg/L) | 741 ± 12.49 |
| Orthophosphate (OP) (mg/L) | 406.3 ± 9.07 |
| Ammonia Nitrogen (NH3-N) (mg/L) | 562.1 ± 13.10 |
| Nitrate Nitrogen (NO3-N) (mg/L) | 51.2 ± 0.48 |
| Nitrite Nitrogen (NO2-N) (mg/L) | 5.1 ± 0.40 |
| Total Kjeldahl Nitrogen (TKN) (mg/L) | 1109.3 ± 109.64 |
| Total Nitrogen (TN) (mg/L) | 1436.7 ± 106.81 |
| pH | 7.04 ± 0.06 |
| Parameters | Coded/Real Values | ||
|---|---|---|---|
| −1 | 0 | +1 | |
| Temperature (A) (°C) | 50 | 60 | 70 |
| pH (B) | 9 | 10 | 11 |
| Vacuum pressure (C) (kPa) | 35 | 45 | 55 |
| Treatment time (D) (Min) | 60 | 75 | 90 |
| Rotation speed (rpm) | 150 | ||
| S. N | Independent Parameters (1) | Response (Y): NH3-N Removal Efficiency (%) | ||||
|---|---|---|---|---|---|---|
| A (°C) | B | C (kPa) | D (Min) | Experimental Value | Predicted Value | |
| 1 | 50 (−1) | 9 (−1) | 35 (−1) | 60 (−1) | 59.77 | 58.49 |
| 2 | 70 (+1) | 9 (−1) | 35(−1) | 60 (−1) | 81.62 | 82.32 |
| 3 | 50 (−1) | 11 (+1) | 35(−1) | 60 (−1) | 84.88 | 85.39 |
| 4 | 70 (+1) | 11 (+1) | 35 (−1) | 60 (−1) | 93.22 | 92.48 |
| 5 | 50 (−1) | 9 (−1) | 55 (+1) | 60 (−1) | 69.99 | 70.56 |
| 6 | 70 (+1) | 9 (−1) | 55 (+1) | 60 (−1) | 92.98 | 91.25 |
| 7 | 50 (−1) | 11 (+1) | 55 (+1) | 60 (−1) | 93.59 | 92.98 |
| 8 | 70 (+1) | 11 (+1) | 55 (+1) | 60 (−1) | 96.56 | 96.93 |
| 9 | 50 (−1) | 9 (−1) | 35 (−1) | 90 (+1) | 67.22 | 68.4 |
| 10 | 70 (+1) | 9 (−1) | 35 (−1) | 90 (+1) | 93.33 | 91.84 |
| 11 | 50 (−1) | 11 (+1) | 35 (−1) | 90 (+1) | 90.51 | 90.14 |
| 12 | 70 (+1) | 11 (+1) | 35 (−1) | 90 (+1) | 95.87 | 96.85 |
| 13 | 50 (−1) | 9 (−1) | 55 (+1) | 90 (+1) | 78.95 | 77.6 |
| 14 | 70 (+1) | 9 (−1) | 55 (+1) | 90 (+1) | 96.87 | 97.91 |
| 15 | 50 (−1) | 11 (+1) | 55 (+1) | 90 (+1) | 94.02 | 94.87 |
| 16 | 70 (+1) | 11 (+1) | 55 (+1) | 90 (+1) | 99.25 | 98.44 |
| 17 | 50 (−1) | 10 (0) | 45 (0) | 75 (0) | 84.54 | 85.05 |
| 18 | 70 (+1) | 10 (0) | 45 (0) | 75 (0) | 97.07 | 98.75 |
| 19 | 60 (0) | 9 (−1) | 45 (0) | 75(0) | 74.89 | 77.25 |
| 20 | 60 (0) | 11 (+1) | 45(0) | 75 (0) | 91.14 | 90.96 |
| 21 | 60 (0) | 10 (0) | 35 (−1) | 75 (+1) | 85.31 | 85.83 |
| 22 | 60 (0) | 10 (0) | 55 (+1) | 75 (+1) | 91.00 | 92.66 |
| 23 | 60 (0) | 10 (0) | 45 (0) | 60 (0) | 84.61 | 86.82 |
| 24 | 60 (0) | 10 (0) | 45 (0) | 90 (+1) | 92.56 | 92.53 |
| 25 | 60 (0) | 10 (0) | 45 (0) | 75 (0) | 91.04 | 89.43 |
| 26 | 60 (0) | 10 (0) | 45 (0) | 75 (0) | 90.55 | 89.43 |
| 27 | 60 (0) | 10 (0) | 45 (0) | 75 (0) | 89.22 | 89.43 |
| 28 | 60 (0) | 10 (0) | 45 (0) | 75 (0) | 88.79 | 89.43 |
| 29 | 60 (0) | 10 (0) | 45 (0) | 75 (0) | 92.02 | 89.43 |
| 30 | 60 (0) | 10 (0) | 45 (0) | 75 (0) | 91.5 | 89.43 |
| Scheme | Sum of Squares | df a | Mean Square | F-Value | p-Value | Remarks |
|---|---|---|---|---|---|---|
| Model | 2501.51 | 14 | 178.68 | 56.19 | <0.0001 | * |
| A (Temperature) | 844.60 | 1 | 844.60 | 265.62 | <0.0001 | * |
| B (pH) | 846.25 | 1 | 846.25 | 266.14 | <0.0001 | * |
| C (Vacuum Pressure) | 209.99 | 1 | 209.99 | 66.04 | <0.0001 | * |
| D (Treatment Time) | 146.55 | 1 | 146.55 | 46.09 | <0.0001 | * |
| AB | 280.31 | 1 | 280.31 | 88.16 | <0.0001 | * |
| AC | 9.84 | 1 | 9.84 | 3.10 | 0.0989 | ** |
| AD | 0.1463 | 1 | 0.1463 | 0.0460 | 0.8330 | ** |
| BC | 20.05 | 1 | 20.05 | 6.31 | 0.0240 | * |
| BD | 26.55 | 1 | 26.55 | 8.35 | 0.0112 | * |
| CD | 8.22 | 1 | 8.22 | 2.59 | 0.1287 | ** |
| A2 | 15.83 | 1 | 15.83 | 4.98 | 0.0414 | * |
| B2 | 73.29 | 1 | 73.29 | 23.05 | 0.0002 | * |
| C2 | 0.0826 | 1 | 0.0826 | 0.0260 | 0.8741 | ** |
| D2 | 0.1639 | 1 | 0.1639 | 0.0515 | 0.8235 | ** |
| Residual | 47.70 | 15 | 3.18 | |||
| Lack of Fit | 39.53 | 10 | 3.95 | 2.42 | 0.1706 | ** |
| Pure Error | 8.16 | 5 | 1.63 | |||
| R2 | 0.98 | |||||
| Adjusted R2 | 0.96 | |||||
| Predicted R2 | 0.92 | |||||
| Adequate precision | 31.93 |
| Parameters (1) | Optimum Conditions | Response (NH3-N Removal Efficiency (%)) | |||
|---|---|---|---|---|---|
| Predicted Value | Experimental Value | 95% CI Low | 95% CI High | ||
| A | 69.9 | 99.29 | 98.58 ± 1.05 | 96.76 | 101.83 |
| B | 10.5 | ||||
| C | 53.5 | ||||
| D | 64.2 | ||||
Disclaimer/Publisher’s Note: The statements, opinions and data contained in all publications are solely those of the individual author(s) and contributor(s) and not of MDPI and/or the editor(s). MDPI and/or the editor(s) disclaim responsibility for any injury to people or property resulting from any ideas, methods, instructions or products referred to in the content. |
© 2024 by the authors. Licensee MDPI, Basel, Switzerland. This article is an open access article distributed under the terms and conditions of the Creative Commons Attribution (CC BY) license (https://creativecommons.org/licenses/by/4.0/).
Share and Cite
Sapkota, S.; Reza, A.; Chen, L. Optimization of Ammonia Nitrogen Removal and Recovery from Raw Liquid Dairy Manure Using Vacuum Thermal Stripping and Acid Absorption Process: A Modeling Approach Using Response Surface Methodology. Nitrogen 2024, 5, 409-425. https://doi.org/10.3390/nitrogen5020026
Sapkota S, Reza A, Chen L. Optimization of Ammonia Nitrogen Removal and Recovery from Raw Liquid Dairy Manure Using Vacuum Thermal Stripping and Acid Absorption Process: A Modeling Approach Using Response Surface Methodology. Nitrogen. 2024; 5(2):409-425. https://doi.org/10.3390/nitrogen5020026
Chicago/Turabian StyleSapkota, Srijana, Arif Reza, and Lide Chen. 2024. "Optimization of Ammonia Nitrogen Removal and Recovery from Raw Liquid Dairy Manure Using Vacuum Thermal Stripping and Acid Absorption Process: A Modeling Approach Using Response Surface Methodology" Nitrogen 5, no. 2: 409-425. https://doi.org/10.3390/nitrogen5020026
APA StyleSapkota, S., Reza, A., & Chen, L. (2024). Optimization of Ammonia Nitrogen Removal and Recovery from Raw Liquid Dairy Manure Using Vacuum Thermal Stripping and Acid Absorption Process: A Modeling Approach Using Response Surface Methodology. Nitrogen, 5(2), 409-425. https://doi.org/10.3390/nitrogen5020026

