Abstract
Fractal theory provides a powerful tool for quantifying complex geometric patterns such as concrete cracks. The box-counting method is widely employed for fractal dimension (FD) calculation due to its intuitive principles and compatibility with image data. However, two critical limitations persist in existing studies: (1) the selection of scale parameters (including minimum measurement scale and cutoff scale) lacks systematization and exhibits significant arbitrariness; (2) insufficient attention to the sensitivity of counting origins compromises the stability and comparability of FDs, severely limiting reliable engineering application. To address these limitations, this study first employs classical fractal images and crack samples to systematically analyze the impact of four minimum measurement scales (2, , 3, ) and three cutoff scale coefficients (cutoff-to-minimum image side ratios: 1, 1/2, 1/3) on computational accuracy. Subsequently, the farthest point sampling (FPS) method is adopted to select counting origins, comparing two optimization strategies—Count-FD-Mean (mean of fits from multiple origins) and Count-Min-FD (fit using minimal box counts across scales). Finally, the optimized approach is validated through static loading tests on concrete beams. Key findings demonstrate that: the optimal scale combination (minimum scale: ; cutoff coefficient: 1) yields a mere 0.5% average error from theoretical FDs; the Count-Min-FD strategy delivers the highest stability and closest alignment with theoretical values; FDs of beam cracks increase continuously with loading, exhibiting an exponential correlation with midspan deflection that effectively captures crack evolution; uncalibrated scale parameters and counting strategies may induce >40% errors in inferred mechanical parameters; results stabilize with 40–45 counting origins across three tested fractal patterns. This work advances standardization in fractal analysis, enhances reliability in concrete crack assessment, and provides critical support for the practical application of fractal theory in structural health monitoring and damage evaluation.
1. Introduction
The advent of fractal theory has provided a revolutionary tool for describing the complex, irregular geometric patterns ubiquitous in nature. Its core value lies in transcending the limitations of traditional Euclidean geometry, enabling the quantitative characterization of forms exhibiting self-similarity or statistical self-similarity, such as coastlines, snowflakes, and material cracks []. In the field of civil engineering, surface cracks on concrete structures serve as critical external manifestations of internal damage evolution. The complexity of their morphology (including distribution density, branching characteristics, and tortuosity) is intrinsically linked to the structure’s load-bearing capacity, durability, and residual service life [,]. The fractal dimension (FD), as a key metric quantifying this complexity, transforms the macroscopic morphological features of cracks into computable numerical values, thereby introducing a novel analytical dimension for structural health monitoring and damage assessment [,,].
Fractal theory demonstrates unique advantages in exploring crack evolution mechanisms [,]. Researchers, through dynamic monitoring of cracks during structural loading, have identified significant correlations between variations in FD and load levels or deformation magnitudes [,]. For instance, in flexural tests of concrete beams, the entire process of surface crack initiation, propagation, and coalescence under increasing load can be quantitatively characterized by a continuous increase in FD. This growth trend aligns with changes in mechanical parameters like midspan deflection and strain, providing a quantitative tool for revealing the intrinsic link between cracking and structural damage []. Furthermore, some scholars have assessed concrete structural performance by investigating the relationship between the fractal characteristics of cracks and other damage indicators. Cao et al. [] investigated the links between the fractal characteristics of surface cracks in concrete structures and their natural frequency, carbonation depth, and residual strength. Ebrahimkhanlou et al. [,] studied the relationship between the multifractal characteristics of cracks and their evolution patterns in RC shear walls under cyclic loading tests, estimating structural damage levels based on an FD damage index. Woods et al. [] correlated crack distribution with damage indices using FD and proposed recommended values corresponding to a three-tiered damage metric.
In recent years, the integration of fractal theory with digital image processing and machine learning technologies has further expanded its application boundaries in crack analysis []. Athanasiou et al. [] investigated the fractal characteristics of cracks with varying morphologies, establishing a machine learning-based method for automated damage-level identification in concrete shells. Hamidia et al. [] collected extensive surface crack images of RC beam-column joint specimens at different displacement ratio levels, developing a machine learning-driven predictive model for seismic peak drift ratios through multifractal feature analysis. Osei et al. [] created a load-level prediction model based on the multifractal characteristics of shear failure cracks in RC beams, enabling automated assessment of overall beam damage. These studies demonstrate the potential of multifractal-derived crack features for rapid evaluation of concrete structures’ mechanical performance. Such interdisciplinary research not only enriches fractal theory’s application scenarios but also supports the intelligent advancement of crack analysis.
Given these broad prospects, scientifically robust FD computation methods have become critically important. With the development of geometric mathematics and computer science, numerous methods for calculating the FDs have emerged. The most renowned algorithms include: Box-Counting method, Dilation Method [], Correlation Analysis, Wavelet Transform Modulus Maxima (WTMM) method [], and Recursive Sparse Estimation (RSE) [] algorithm. However, due to the fact that the box-counting method has intuitive principles, straightforward implementation, and compatibility with image data, it has been rapidly and widely used for the calculation of the fractal dimension in two-dimensional images, serving as a vital bridge linking crack morphology to structural conditions [,]. However, researchers increasingly recognize its parameter sensitivity, which is well-documented phenomena in fractal analysis. Early studies predominantly adopted fixed parameters, yielding observable patterns but lacking result stability and comparability [,,]. Key issues such as parameter standardization and computational robustness require further investigation to enable reliable engineering applications. Particularly for concrete structural cracks exhibiting complex characteristics, rigorous and systematic quantitative analysis is essential. The aim of this work establishes rational parameter selection criteria and scientifically optimized strategies, aiming to provide engineers with a clear and practical workflow. This approach enhances the consistency and reliability of fractal analysis results, which constitutes the key contribution of this paper.
The calculation of box counting dimension and its application in concrete cracks present two crucial challenges.
First, the selection of scale parameters lacks systematic justification. In the box-counting method, scale parameters (the minimum measurement scale and cutoff scale) are critical determinants of computational accuracy. The minimum scale defines the smallest box size used, directly impacting the ability to capture fine crack details. The cutoff scale, representing the maximum box size, typically relates to image dimensions via a proportional coefficient (e.g., 1/2 or 1/3 of the image’s shorter side), influencing the global characterization of fractal features. In current research, the selection of the minimum measurement scale mostly depends on experience or convenience. For instance, a large number of studies typically adopt 2 as the minimum scale [], while some others use other scales (e.g., or ). However, none of these studies systematically compared the calculation accuracy of FDs under different scales, nor did they clarify the matching relationship between scale selection and crack characteristics. Similarly, the impact of cutoff scale to image ratios on result stability and the deviation patterns of FDs across ratios remain underexplored. Such arbitrary parameter selection compromises the comparability of FDs across studies and risks misrepresenting true crack characteristics, undermining the credibility of fractal theory in engineering practice.
Second, insufficient attention has been paid to the sensitivity of counting origins and optimization strategies. The core logic of box-counting involves covering an image with grids of varying sizes and counting boxes intersecting cracks. The choice of counting origin (the starting coordinate for grid placement) directly alters crack–grid spatial relationships, thereby affecting counts. Most studies default to a single origin (e.g., top-left corner), overlooking its influence. Although limited research employs multi-origin approaches (e.g., averaging counts or using minimal counts [,]), critical gaps persist: (1) origins lack spatial uniformity (e.g., random or sparse fixed points); (2) the requisite number of origins for stability-efficiency balance is unverified; (3) optimization strategies (e.g., Count-Min vs. Count-Mean) lack rigorous validation. These shortcomings induce high result dispersion, hindering standardized application.
In summary, while prior work has advanced fundamental applications of fractal theory and established links between FDs and structural damage, critical gaps remain in systematically selecting scale parameters, addressing counting-origin sensitivity, and optimizing strategies for box-counting dimension computation. This study investigates the effects of scale parameters and counting origins on box-counting dimension and demonstrates its engineering utility in concrete beam crack analysis. The paper is structured as follows: Section 2 introduces classical fractal images and synthetic crack samples, outlining the box-counting workflow with examples; Section 3 systematically evaluates the impact of scale parameter combinations and counting origins on computed dimensions, identifying optimal parameters and counting strategies; Section 4 applies the optimized method to analyze crack evolution in prestressed concrete beams under static loading, validating its practical efficacy. This study established standardized parameter selection criteria, providing reliable suggestions for the scale parameters of box dimension and the optimization strategy of counting starting points. It enhanced the scientific nature of the application of fractal theory and offered crucial technical support for the practical application of fractal theory in civil engineering.
2. Data Samples and Fundamental Theory
2.1. Classical Fractal Images and Synthetic Crack Samples
Since the inception of fractal theory, numerous classical fractal images have emerged, including the Koch Snowflake, Sierpinski Triangle, and Sierpinski Carpet. Following the approach in [], this study adopts a hexagonal snowflake-like fractal pattern, termed the Hexagonal Snowflake. These classical fractals possess well-defined theoretical FDs, enabling rigorous validation of computational methodologies. Additionally, a series of synthetic crack images containing 2–9 cracks are generated. These samples are incorporated in subsequent parametric analyses to evaluate the applicability and sensitivity of the computational approach to crack morphology. Specifications of the four classical fractal images are summarized in Table 1, while representative synthetic crack samples are illustrated in Figure 1.
Table 1.
Classical fractal images and corresponding theoretical FDs.
Figure 1.
Crack images. (a) crack_2; (b) crack_3; (c) crack_4; (d) crack_5; (e) crack_6; (f) crack_7; (g) crack_8; (h) crack_9.
2.2. Fundamental Theory of the Box-Counting Method
In 1965, Mandelbrot first introduced fractal theory through the question “How long is the coast of Britain?” and subsequently formalized the concept of the FD in 1975. The FD, the core parameter in fractal analysis, transcends the dimensional constraints of traditional Euclidean geometry, providing a quantitative tool for describing complex natural shapes. Consider a straight-line segment of length L. When measured with a ruler of length r, yielding N(r) segments, the relationship is:
Similarly, for a planar shape of area S and a solid of volume V, measured with rulers of area r2 and volume r3, respectively:
These relationships are unified by the expression:
where C is a constant representing the measured geometric property, and d is the topological dimension. For regular geometric objects, d is an integer in Euclidean space. Removing this integer constraint generalizes the dimension to the FD.
Substituting d with FD in Equation (3) gives:
rearranging Equation (4) yields:
Equation (5) reveals a linear relationship between ln(N(r)) and lnr−1, where the slope equals the FD. Decreasing r increases N(r). Leveraging this linearity, the box-counting method (the most prevalent technique for FD computation) is developed. Its procedure involves covering the target image with grids of side length r, counting the number of non-empty boxes (those intersecting the analyzed feature), denoted N(r). Using n distinct scales of r generates n corresponding N(r) values. Plotting these pairs on a log-log scale and determining the slope of the best-fit line yields the FD. For planar images, FDs lie within [0, 2].
Taking Crack_4 in Figure 1c as an example, different-sized boxes were used to cover the crack. The sequence of measurement scale r is {2, 22, 23…2n}. The coverage situations of boxes with scales ranging from 1 to 6 are shown in Figure 2. The slope of this line, 1.388, is the fitted FD for Crack_4, as shown in Figure 3.
Figure 2.
Coverage of boxes with scales ranging from 21 to 26 (Crack_4). (a) r = 2, num of boxes = 1476; (b) r = 4, num of boxes = 514; (c) r = 8, num of boxes = 197; (d) r = 16, num of boxes = 82; (e) r = 32, num of boxes = 36; (f) r = 64, num of boxes = 12.
Figure 3.
Fitting results of FD for crack_4.
3. Influence of Scale Parameter Combinations and Counting Origins on Box-Counting Dimension Results
3.1. Minimum Measurement Scale and Cutoff Measurement Scale
Measurement scales are fundamental parameters for exploring the fractal characteristics of images. In the box-counting method, they determine both the size of boxes used to cover the image and the density of box size-count data points for FD fitting. Conventionally, many researchers set the minimum measurement scale (rmin) to 2 pixels, resulting in the measurement sequence {2, 22, 23, …, 2n}. Alternative values (e.g., , 3, ) are also employed, yet no systematic analysis exists on their impact on FD distributions. Additionally, the cutoff measurement scale (or maximum scale) critically influences the final fitted dimension. The cutoff ratio s is defined as the ratio of the cutoff scale to the minimum image edge length. This study investigates the FD distributions of the classical fractals in Section 2 under four rmin (2, , 3, ) and three s (1, 1/2, 1/3).
Taking the Hexagonal Snowflake image as an example, the scatter plot fitting results for the four minimum measurement scales are shown in Figure 4. It should be noted that the analysis in Section 3.1 uses the top-left corner as the origin for box-counting; the influence of different origins will be addressed in the following section and is not discussed here. Figure 4 reveals that, while the overall distribution range of the box size-count t data points in the log-log coordinate system is similar across different rmin, the density of these data points varies significantly with the choice of rmin, leading to differences in the final fitting results. Furthermore, when the rmin is an integer, the data exhibits a high goodness of fit. In contrast, non-integer minimum scales produce individual data points with substantial dispersion, adversely affecting the overall fitting accuracy.
Figure 4.
Scatter plot fitting results of the four rmin (Hexagonal Snowflake). (a) rmin = 2, s = 1; (b) rmin = , s = 1; (c) rmin = 3, s = 1; (d) rmin =, s = 1.
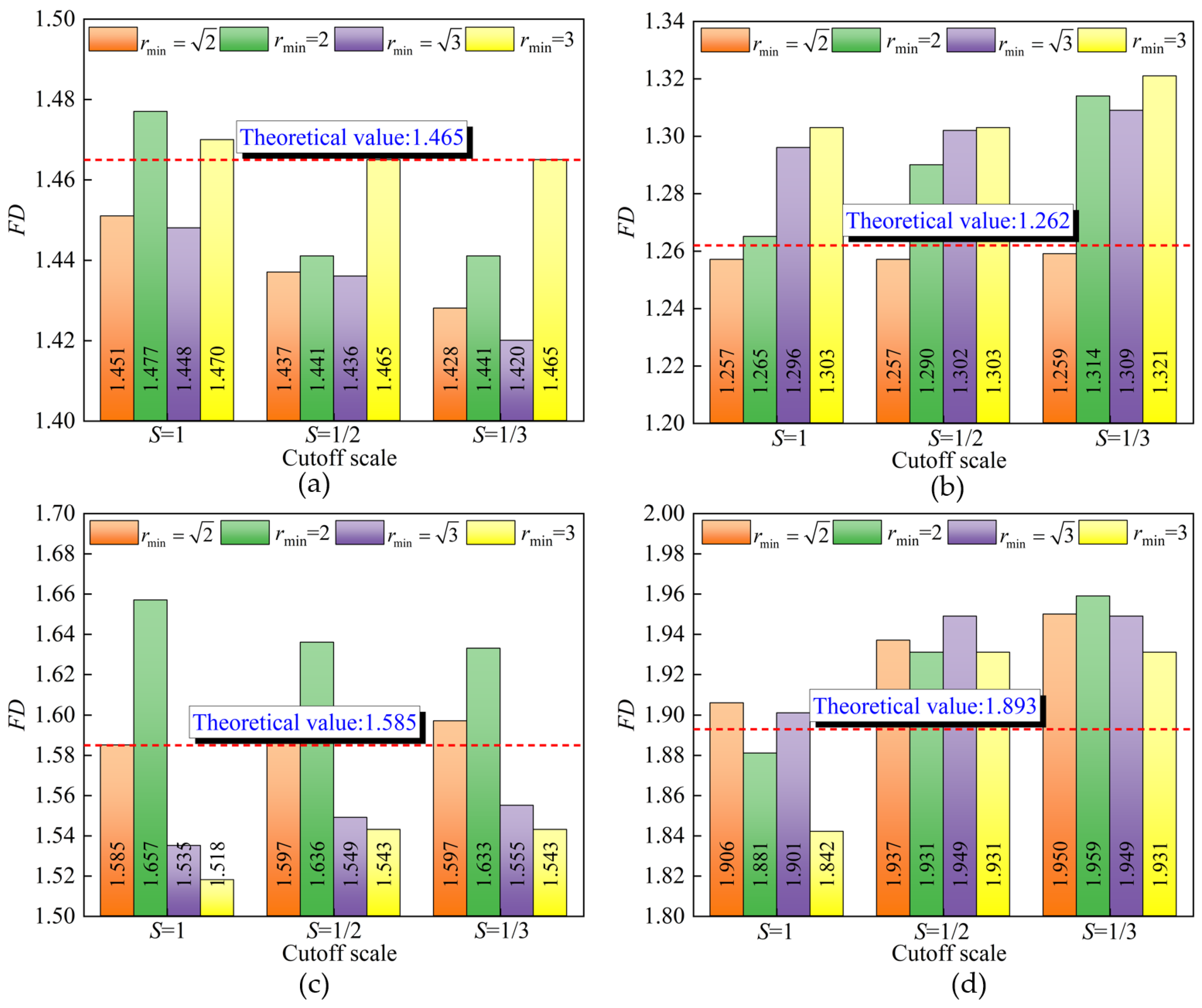
The FDs of the four classical fractal images under all combinations of four rmin and three s are statistically analyzed, as Figure 5 shows. The computed values generally cluster around their theoretical counterparts, confirming the reliability of the box-counting method. However, the choice of scale parameters significantly influences the results; thus, explicitly reporting selected rmin is essential for reproducibility.
Figure 5.
Calculation results of the FDs for the classic fractal images. (a) Hexagonal Snowflake; (b) Koch Curve; (c) Sierpinski Triangle; (d) Sierpinski Carpet.
Further analysis of the average error relative to theoretical values across scale combinations is shown in Figure 6. Horizontally, smaller rmin yield lower errors. Vertically, larger s produces lower errors. The optimal combination (rmin =, s = 1) achieves the lowest average error (0.5%). Notably, smaller rmin does not universally guarantee higher accuracy, while larger cutoff scales consistently improve precision (except for rmin = 3, the maximum error is achieved with s = 1), which is related to the size of the image [].
Figure 6.
Average error between the results of box-counting of classical fractal images and the theoretical values.
Figure 7 displays the FDs of crack images under different scale combinations, in which numeric labels (e.g., “2, 1”) denote the minimum scale and cutoff coefficient, respectively. While scale selection non-negligibly impacts the calculated values, all combinations consistently reflect the trend that FDs increase with crack count. These observations can be attributed to three key factors governing parameter sensitivity.
Figure 7.
Calculation results of FDs for crack images under different scale combinations.
The stability of FD calculations is inherently linked to the compatibility between scale parameters and image characteristics. Integer minimum scales (e.g., rmin = 2) may introduce grid alignment artifacts due to pixel-level boundary mismatches, causing discontinuous jumps in box counts (Figure 4a). In contrast, irrational scales like , mitigate such discretization errors by breaking spatial symmetry. Furthermore, a larger cutoff ratio (s = 1) preserves the full scaling range of fractal patterns, whereas smaller ratios (e.g., s = 1/3) truncate critical large-scale features, especially in low-resolution images. Crack morphology also plays a role: denser micro-cracks require finer minimum scales to resolve topological details (see crack_9 in Figure 1), while coarse scales (rmin ≥ 3) overlook thin branches, inflating fitting errors.
Consequently, based on the above analysis and the calculation results of classic fractal images, the optimal scale combination (rmin =, s = 1) is recommended for standardized crack analysis. However, regardless of whether the recommended parameters are adopted or not, it is crucial to explicitly specify these parameters in practical applications.
3.2. Counting Origins
Conventionally, most researchers adopt the top-left corner of the image as the default origin for grid placement in box-counting analysis. However, the core logic of the method implies that different origins are likely to alter grid–crack spatial relationships, thereby affecting box counts and the computed FD. To mitigate this sensitivity, some studies propose calculating the FD at a finite number of origins and averaging the results. Alternatively, other researchers suggest focusing solely on the minimal box count achievable across all scales for any origin and using these minima for fitting FD. This study conducts a sensitivity analysis of both approaches to identify the most cost-effective and robust computational method.
3.2.1. Box Coverage Variations Under Different Origins
The counting origin defines the top-left corner of the initial grid cell, with subsequent grids extending outward. Using the Koch Snowflake Curve (643 × 2204 pixels) and crack sample crack_4 (224 × 224 pixels) as examples, Figure 8 and Figure 9 illustrate distinct box coverage patterns under varying origins. Table 2 and Table 3 quantify the box counts across scales and origins. Key observations include: Significant coverage differences arise with origin shifts, particularly at intermediate scales. Counting divergence follows a non-monotonic trend: At small scales, minor origin displacements affect only boundary pixels, causing negligible variation. At intermediate scales, origin shifts substantially, altering grid–feature spatial relationships, maximizing counting discrepancies. At large scales, non-empty box counts decrease drastically, diminishing origin sensitivity despite visual coverage differences. This scale-dependent sensitivity underscores the need for origin optimization in high-precision applications.
Figure 8.
Box coverage situation of Koch Curve under different starting points. (a) The starting point at the upper left; (b) The starting point at the center; (c) The starting point at the lower right.
Figure 9.
Box coverage situation of crack_4 under different starting points. (a) The starting point at the upper left; (b) The starting point at the upper right; (c) The starting point at the lower left; (d) The starting point at the lower right.
Table 2.
Box-counting results of Koch Curve under different starting points and measurement scales.
Table 3.
Box-counting results of crack_4 under different starting points and measurement scales.
3.2.2. Strategies for Selecting Counting Origins
Section 3.2.1 demonstrates that the choice of initial origin significantly impacts computed FDs. To minimize result dispersion, origins should be spatially uniform across the image. The commonly used sampling methods include Standard Random Sampling (SRS), Uniform Grid (UG), and the Farthest Point Sampling (FPS). Each of these sampling methods has its own advantages and disadvantages. The SRS algorithm is simple to implement but tends to cause the sampling points to be spatially clustered, resulting in low coverage efficiency. The required sample size often increases significantly and is difficult to predict to achieve good coverage. The UG algorithm provides a regular and deterministic global coverage; it has fixed sampling points that lack randomness and requires special handling of image boundaries and non-divisible dimensions. The FPS algorithm can generate uniformly distributed sampling points with good coverage and has inherent randomness, but its computational complexity is relatively high. However, two-dimensional engineering images are generally small, and with the current computing power support, so the time cost will not increase much.
Therefore, considering its advantages in coverage, randomness, and practical efficiency, this study employs FPS for origin selection, which iteratively picks points maximizing the minimum distance to existing samples, ensuring uniform coverage while preserving the image’s structural contours []. The procedure is as follows:
(1) Initialization: Given an image of dimensions W × H (treated as a 2D point cloud of P = W × H pixels), start with an initial origin P0 (fixed at the top-left corner [1, 1] in this work). Initialize the sample set S = {P0} and an array L storing each pixel’s minimum distance to S.
(2) Distance Update: For each pixel Pi, compute its Manhattan distance to the latest added point Pₖ: dMan = |xᵢ − xₖ|+|yᵢ − yₖ|. Update L[i] = min(L[i], dMan (Pᵢ, Pₖ)).
(3) Point Selection: Identify the pixel Pnew with the maximum value in L. Add Pnew to S.
(4) Iteration: Repeat steps 2~3 until the desired number of origins (P’) is selected.
In this work, Manhattan distance replaces Euclidean distance to avoid computational inefficiency in high-dimensional spaces. Figure 10 illustrates FPS-selected origins (4, 10, 30, and 50 points) for a 50 × 50-pixel image. FPS prioritizes corners and the center, then uniformly disperses points across the 2D space, achieving optimal spatial coverage with increasing density, which is a robust strategy for multi-origin sampling.
Figure 10.
Result of image sample point selection based on FPS (50 × 50 pixels). (a) P’ = 4; (b) P’ = 10; (c) P’ = 30; (d) P’ = 50.
3.2.3. Distribution Patterns of FDs Under Different Counting Origins
To enhance the reliability of measurement results, the following optimization strategies for FD calculation based on multiple counting origins are evaluated: (1) Count-FD-Mean (CFM): computing box counts at multiple origins, averaging the counts per measurement scale, and then fitting the averaged counts to obtain the FD; (2) Count-Min-FD (CMF): selecting the minimal box count across all origins for each measurement scale as the optimal value, then fitting these minimal counts to derive the FD. This section provides detailed analyses based on classical fractal images and synthetic crack samples.
(1) Classical fractal images
Figure 11 presents the variation curves of FDs under both optimization strategies across different numbers of counting origins. Key observations include: ① As the number of counting origins increases, FDs under both strategies exhibit fluctuating trends but stabilize once the origin count reaches a critical threshold; ② Compared to CFM, the CMF strategy demonstrates significantly lower result volatility (remaining unchanged throughout for the Sierpinski Carpet), indicating superior stability; ③ For three of the four fractal images (excluding the Koch Curve), CMF yields values closer to theoretical dimensions; ④ Substantial discrepancies exist between strategies, with CFM producing systematically lower FDs than CMF. Consequently, explicit declaration of the adopted optimization strategy is imperative when reporting FDs; failure to do so would severely undermine experimental reproducibility and practical application.
Figure 11.
Distribution of FDs under different counting origins (classic fractal image). (a) Hexagonal Snowflake; (b) Koch Curve; (c) Sierpinski Triangle; (d) Sierpinski Carpet.
Furthermore, Figure 12 shows the variation in goodness-of-fit (R2) of FD calculations with increasing numbers of counting origins. It is evident that the R2 values for all fractal images exceed 0.99 under different origin counts, indicating excellent fitting performance. Additionally, a marginal improvement in R2 is observed as the number of origins increases. When the origin count reaches 45, the R2 values for all fractals peak. Concurrently, cross-referencing with Figure 11 reveals that FD fluctuations diminish significantly beyond 45 origins, converging toward stable values.
Figure 12.
Variation of fitting goodness of FD under different starting point quantities.
(2) Crack images
The optimization strategy of CMF is to find the situation that minimizes the number of boxes covered, termed the optimal counting origin. Taking crack_4 as an example, the sampling number of the optimal starting point is 100. The optimal starting points and the box coverage situations under different box sizes are calculated, as shown in Figure 13. The optimal origin shifts dynamically as box size increases. Crucially, 10 independent trials of origin sampling and optimal origin calculation confirmed that both the optimal origin locations and minimal box counts remained consistent, robustly demonstrating the stability and validity of the FPS sampling method.
Figure 13.
Optimal counting starting points and box coverage under different box sizes (☆ indicates the optimal starting position).
In addition, the optimization strategy of CFM is also tested, and the mean FDs under different numbers of starting points are calculated. Taking the case of 100 counting start points as an example, the distribution of the FD calculation results for eight crack samples is presented, as shown in Figure 14. The FD distribution of the crack images all follow a unimodal normal distribution with a high goodness of fit (>0.90), and the mean increases with the increase in the number of cracks.
Figure 14.
Distribution of FD calculation results for crack images under different counting origins. (a) crack_2; (b) crack_3; (c) crack_4; (d) crack_5; (e) crack_6; (f) crack_7; (g) crack_8; (h) crack_9.
Figure 15 presents the FDs of crack sample images under two distinct optimization strategies. As observed in classical fractal image analyses, the CMF approach yields relatively stable FD calculations with increasing numbers of starting points. Notably, the stability improves with a greater number of cracks, owing to the higher proportion of crack pixels, which reduces the sensitivity of counting results to the position of starting points. In contrast, when applying the CFM strategy, the FDs decrease gradually as the number of starting points increases, stabilizing once the number of starting points exceeds 20. Additionally, with CFM, FDs consistently rise with increasing crack numbers, directly reflecting the growing complexity of crack images. For CMF, while the FDs converge when the crack count reaches 7–8 (showing no further increase), this phenomenon is highly likely attributed to randomness, and the strategy still effectively captures image complexity. Consistent with classical fractal analyses, the FDs obtained from CFM are consistently lower than those from CMF. Therefore, both optimization strategies are viable for crack images without ground truth data, provided that the specific strategy employed is clearly stated to readers.
Figure 15.
Distribution of FDs under different counting origins (crack images). (a) Count-Min-FD; (b) Count-FD-Mean.
In order to further compare the fitting accuracy and computational stability of the two optimization strategies in terms of fractal dimension, the goodness of fit and the standard deviation of FD statistics under different numbers of counting starting points were adopted as quantitative indicators. Specifically, for the two optimization strategies, CMF first counts and then takes the minimum number of boxes for each scale to perform scatter plot fitting, thus each fixed counting starting point corresponds to a goodness of fit value; CFM first performs fitting and then takes the mean of the fractal dimensions under different counting starting points. Therefore, for a fixed counting starting point (such as p), there are p goodness of fit values. Therefore, when comparing the goodness of fit results of the two optimization strategies, for the optimization strategy CFM, the mean of p goodness of fit values is taken as the goodness of fit for a certain counting starting point. To evaluate the stability of different optimization strategies, the standard deviation (SD) of the fractal dimension sequences obtained by each strategy under different counting starting points (from one to the current number of starting points) is calculated. The smaller the variance, the higher the stability.
The comparison results of the goodness of fit of the two optimization strategies under different counting starting points are shown in Figure 16. It can be seen that the R2 for the log-log plot fits based on the CMF optimization strategy is higher than that of CFM, indicating that its fractal dimension calculation results are more reliable.
Figure 16.
The goodness of fit of two optimization strategies under different counting starting points. (a) crack_2; (b) crack_3; (c) crack_4; (d) crack_5; (e) crack_6; (f) crack_7; (g) crack_8; (h) crack_9.
Figure 17 illustrates the standard deviation of fractal dimension calculations under two optimization strategies across different counting starting points. Key observations are summarized as follows: (1) For CFM, the statistical variance initially increases and subsequently decreases with more starting points. Notably, the variance exhibits no convergence trend even at 100 predetermined starting points. (2) In contrast, CMF consistently yields substantially lower variance than CFM. Its variance monotonically decreases and stabilizes as the number of cracks increases. (3) These results confirm that CMF delivers superior stability over CFM, thereby reducing barriers to computational reproducibility and practical implementation.

Figure 17.
The standard deviation of two optimization strategies under different counting starting points. (a) crack_2; (b) crack_3; (c) crack_4; (d) crack_5; (e) crack_6; (f) crack_7; (g) crack_8; (h) crack_9.
In theory, the CMF optimization strategy inherently selects the minimal number of boxes. This characteristic is also a key factor contributing to its stability, as it consistently converges towards the stable value intrinsic to the physical system represented by the image. This behavior is analogous to the physical principle that “crack propagation follows the path of minimum energy.” The CMF method more closely approximates the true topological connectivity of the crack network, whereas the CFM can introduce “spurious topological branches” due to its looser covering, in which 113 boxes covered the center origin, while only 95 covered the bottom-right corner in the Figure 8. This loose covering artificially inflates the box count (N(r)), leading to a systematic underestimation of the FD, consistent with the FD underestimation observed in classic fractal analysis using the CFM approach (see Figure 11). Fundamentally, CMF provides a conditionally optimal estimate. For a fixed grid size r, selecting the starting point that minimizes N(r) is equivalent to maximizing the precision of the measure (e.g., length, area) for the fractal set. This aligns with the mathematical rationale in Monte Carlo integration, where optimizing sample points reduces variance, rather than relying on conventional arithmetic averaging.
3.3. Program Implementation
All core methodologies presented in this article are implemented using the MATLAB R2021b programming language, comprising the following key modules: image preprocessing, box-counting, box-counting with multiple starting points, parallel optimization, and FD fitting.
(1) Image Preprocessing
① Input Handling: RGB input images are initially converted to grayscale.
② Binarization: If the resulting grayscale image is non-binary, threshold segmentation (“imbinarize” function) is invoked for binarization.
③ Foreground/Background Standardization: The image is verified to ensure the target region is represented as white foreground against a black background. Images failing this criterion undergo inversion (black–white flip) to standardize the foreground–background representation for subsequent analysis.
(2) Box-Counting
For box-counting dimension analysis, a geometrically spaced scale sequence r is generated. The core computation involves processing each scale r through nested loops: the preprocessed binary image is partitioned into an r × r grid; when boundary regions contain insufficient pixels for a complete box, the residual area extending from the last full grid boundary to the image edge is treated as a valid box unit; all grid cells (including partial boundary units) are systematically traversed, with any cell containing at least one foreground (white) pixel marked as a non-empty box; finally, the total number of non-empty boxes N(r) at scale r is quantified.
(3) Box-Counting with Multiple Starting Points
① FPS Starting Point Sampling: A dedicated subfunction implements the FPS starting point sampling algorithm as defined in Section 3.2.2. Following image input and preprocessing, this subfunction is called to generate the specified number of starting point coordinates.
② Boundary Padding for Grid Alignment: To ensure consistent box-counting initiation from the top-left corner while aligning each starting point with a grid vertex, zero-padding is applied to the image boundaries. Padding is added minimally only to the left and/or top borders. The amount of padding (in pixels) is the smallest integer value required to satisfy the condition that every starting point lies exactly on a vertex of the grid defined by the current scale r. Added pixels have a value of 0 (background).
③ Box-Counting: The principles and implementation process are the same as those in Section (2).
(4) Parallel Optimization and FD Fitting
① Parallel Optimization: Directly processing multiple counting starting points through sequential loops leads to significant computational inefficiencies. This problem is particularly prominent in the initial exploratory analysis when evaluating numerous potential starting points. To address this challenge, this study utilized the MATLAB parallel computing toolbox to simultaneously perform box counting operations for different starting points; this strategy utilizes the multi-core CPU architecture to achieve significant acceleration. For example, when using a 24-core processor, the computing time can theoretically be reduced by 24 times.
② FD Fitting: The data points formed by each scale parameter r and its corresponding non-empty box count N(r) are logarithmically transformed. Linear regression is then performed on these transformed points using least squares method (“polyfit” function), where the slope of the resulting regression line corresponds to the estimated FD.
4. Case Study on Fractal Analysis of Cracks in Reinforced Concrete Beams
The research team performed a series of static loading tests on scaled prestressed concrete beams. Each test beam featured a length of 2000 mm, width of 180 mm, and height of 200 mm. The bottom flange is reinforced with three 16 mm diameter longitudinal tensile bars, while the top flange is furnished with two 8 mm diameter erection bars. Then, 6 mm diameter stirrups are placed along the span. The concrete cover thickness is 30 mm, and the concrete is specified as grade C50. The test loading protocol and the ultimate failure mode of the specimen are depicted in Figure 18.
Figure 18.
Test loading of prestressed concrete beams and the final failure form of the specimens. (a) On-site loading diagram; (b) Final failure form.
Progressive loading tests are conducted to capture comprehensive images documenting the full development of surface cracks in the experimental beam. And a binary image of the crack development is obtained by processing the original image. In this binary image, the outline of the cracks is clearly presented, with the background being white and the cracks being black. The development and evolution process are shown in Figure 19. To reduce the influence of image segmentation on the analysis results, the experimental crack samples in this paper are the results of manual annotation during the experiment. In practical engineering, for crack image segmentation, there are quite a few threshold segmentation algorithms (e.g., Otsu’s method, adaptive thresholding) and semantic segmentation models based on deep learning that can be used. At the same time, necessary image preprocessing (including contrast adjustment, filtering and noise removal, etc.) should be carried out before image segmentation.
Figure 19.
Binary images of crack development and evolution. (a) 30KN; (b) 47.2 KN; (c) 61.2 KN; (d) 77.2 KN; (e) 91.6 KN; (f) 106.1 KN; (g) 120.1 KN; (h) 134.1 KN; (i) 147.0 KN; (j) 153.6 KN; (k) 164.8 KN; (l) 171.0 KN; (m) 174.9 KN; (n) 179.1 KN; (o) 181.5 KN; (p) 185.1 KN; (q) 188.2 KN; (r) 192.6 KN.
Based on the analytical results in Section 2, the scale parameter combination (, 1) is selected. The maximum number of counting starting points is set to 100, and FDs under the two distinct starting point optimization strategies are computed. Trial calculations are performed on Figure 19a–d, with the outcomes presented in Figure 20. It is observed that, when the number of starting points reaches 40, the FDs under both optimization strategies stabilize (i.e., no further changes occur). For subsequent subfigures, calculations are thus conducted using 40 starting points, eliminating the need for computations with other starting point numbers. The resulting curves illustrating the variation of FDs of crack images with the loading process under the two optimization strategies are shown in Figure 21.
Figure 20.
Variation of FD of cracks with the starting point of counting under two optimization strategies. (a) Count-FD-Mean; (b) Count-Min-FD.
Figure 21.
Variation of FD of the crack image with the loading process under two optimization strategies.
Figure 21 clearly demonstrates that FDs of cracks generally exhibit a gradual increasing trend with escalating load values. However, the choice of optimization strategy exerts a notable influence on the results, with values derived from the CFM strategy consistently lower than those from CMF. This reaffirms the importance of explicitly defining the counting methodology; without such clarity, experimentally derived physical laws would lack a consistent reference framework for comparison.
Furthermore, by correlating the FDs with mid-span deflection throughout the loading process, we derived their interrelationship, as depicted in Figure 22. Just like the conclusions obtained from a large number of concrete structure failure experiments [,,], FDs increase gradually with mid-span deflection, albeit with a decreasing rate of growth, and eventually stabilize once deflection reaches a certain threshold. This pattern aligns with the “elastic–plastic” evolutionary stages of structural loading, underscoring the value of FDs in characterizing the progressive behavioral changes of beam structures.
Figure 22.
The interrelationship of FD–deflection.
Furthermore, while the exponential correlation between FD and midspan deflection is a recognized phenomenon in structural damage assessment, our analysis exposes a critical vulnerability in its practical application. For instance, a reported FD of 1.20 corresponds to a mid-span deflection of 7.78 mm under the CMF framework, but 11.03 mm under CFM, which caused a discrepancy exceeding 40%. Such divergence is unacceptable for beam structure analysis, potentially delaying critical interventions until structural collapse. Thus, the core value lies not in reaffirming the FD-deflection relationship, but in transforming it from a statistical curiosity into a reliable engineering tool through rigorous parameter control.
5. Conclusions
Fractal theory provides an effective tool for the quantitative description of complex morphologies, such as concrete cracks, among which the box-counting method is widely used to calculate FDs due to its versatility. However, in existing studies, the arbitrariness in selecting scale parameters and the sensitivity to counting starting points have led to insufficient stability and comparability of results, restricting its engineering applications. To address this issue, this study aims to determine the optimal parameter combinations and counting strategies, thereby providing a series of practical suggestions for the application of fractal theory in the analysis of structural cracks. First, through analyses of classical fractal images and crack image samples, the effects of four minimum measurement scales and three cutoff scales are systematically investigated. Subsequently, the FPS method is employed to select counting starting points and compare the effectiveness of different counting optimization strategies. Finally, the research findings are validated through static load tests on prestressed concrete beams. The main conclusions are as follows:
(1) Scale parameter combinations significantly influence box-counting dimension. Analysis of classical fractal images shows that, when the minimum measurement scale is and the ratio of the cutoff scale to the minimum image side length is 1, the average error from theoretical values is only 0.5%. This combination stably reflects the increasing trend of crack numbers in crack image samples, representing the optimal balance between accuracy and stability, thus addressing the arbitrariness in scale selection.
(2) Sensitivity to counting starting points can be mitigated by using optimization strategies. Variations in starting points lead to differences in box coverage counts, which exhibit a “first increase then decrease” trend with increasing scale. Among the two optimization strategies, CMF demonstrates better stability than CFM, and its results are closer to theoretical values, particularly for complex fractal images such as the Sierpinski Carpet, with no fluctuations throughout the process. Additionally, FDs derived from CFM are consistently lower than those from CMF. The sampling method of FPS is effective, but this paper does not compare its impact on the FD calculation results with that of Standard Random Sampling and Uniform Grid. In future research, it is necessary to further explore the influence of different sampling methods on the calculation results of box dimension.
(3) In engineering applications, the FD of cracks in concrete beams increases continuously with load, showing an exponential relationship with mid-span deflection, which can characterize the evolution of cracks from initiation to penetration. The significant differences between results from the two optimization strategies lead to errors exceeding 40% in inferring mechanical parameters. This confirms that standardizing scale parameters and counting strategies is essential to provide quantitative bases for structural damage assessment.
(4) Parameter standardization is critical for the application of box-counting dimensions. This study demonstrates that FDs are comparable only when the minimum measurement scale, cutoff scale coefficient, number of starting points, and optimization strategy are explicitly defined. As the number of counting starting points increases, results from both CMF and CFM stabilize. Based on calculations for the three fractal images in this study, a range of 40–45 starting points is recommended. However, this value obtained from the three sets of images cannot be strictly regarded as a recommended value. In practical engineering, a sensitive analysis of the necessary starting quantity is indispensable; that is, by trial calculation, the best starting quantity for the series of images to be analyzed can be obtained.
(5) This study significantly improved the parameter standardization framework of the box-counting method, establishing a reliable tool for crack assessment in concrete structures. However, there are morphological differences between the synthetic samples and the actual engineering cracks—especially environmental noise, material heterogeneity, and complex branching patterns. Three key adjustments are needed in the future to achieve robust application to actual engineering: ① Integrate morphological filtering during image preprocessing to separate continuous crack skeletons; ② Dynamically adjust the minimum scale according to material characteristics and crack distribution; ③ Perform multifractal spectrum analysis to quantify the complexity differences. To achieve these adjustments, future work will expand the scope of experimental verification, which include different materials, different conditions (such as recycled aggregates, high-performance concrete beams, and extreme environments like corrosion), and different shapes and complexities of actual cracks. Additionally, based on machine learning, a dynamic scale parameter optimization algorithm will be developed to further improve the representation accuracy and application scope of fractal dimensions.
Author Contributions
Methodology, J.W.; software, J.W.; formal analysis, J.W.; investigation, Y.Y.; data curation, G.Y.; writing—original draft, J.W.; writing—review & editing, G.Y., Y.Y., J.S. and G.P.; visualization, G.Y.; supervision, G.Y., J.S. and G.P.; funding acquisition, J.W. All authors have read and agreed to the published version of the manuscript.
Funding
This research was funded by National Natural Science Foundation of China grant number 52408209, Shaanxi Natural Science Foundation grant number 2024JC-YBQN-0587 and 2025JC-YBQN-597 and China Postdoctoral Science Foundation funded project grant number 2024MD764003.
Data Availability Statement
The original contributions presented in this study are included in the article. Further inquiries can be directed to the corresponding author.
Conflicts of Interest
The authors declared that there is no conflict of interest.
References
- Mandelbrot, B. How Long Is the Coast of Britain? Statistical Self-Similarity and Fractional Dimension. Science 1967, 156, 636–638. [Google Scholar] [CrossRef]
- Laxman, K.C.; Tabassum, N.; Ai, L.; Cole, C.; Ziehl, P. Automated Crack Detection and Crack Depth Prediction for Reinforced Concrete Structures Using Deep Learning. Constr. Build. Mater. 2023, 370, 130709. [Google Scholar] [CrossRef]
- Yin, Y.; Ren, Q.; Lei, S.; Zhou, J.; Xu, L.; Wang, T. Mesoscopic Crack Pattern Fractal Dimension-Based Concrete Damage Identification. Eng. Fract. Mech. 2024, 296, 109829. [Google Scholar] [CrossRef]
- Cheng, J.; Chen, Q.; Huang, X. An Algorithm for Crack Detection, Segmentation, and Fractal Dimension Estimation in Low-Light Environments by Fusing FFT and Convolutional Neural Network. Fractal Fract. 2023, 7, 820. [Google Scholar] [CrossRef]
- Hadjileontiadis, L.J.; Douka, E.; Trochidis, A. Fractal Dimension Analysis for Crack Identification in Beam Structures. Mech. Syst. Signal Process. 2005, 19, 659–674. [Google Scholar] [CrossRef]
- Yin, Y.; Ren, Q.; Shen, L. Study on the Effect of Aggregate Distribution on Mechanical Properties and Damage Cracks of Concrete Based on Multifractal Theory. Constr. Build. Mater. 2020, 262, 120086. [Google Scholar] [CrossRef]
- Carpinteri, A.; Spagnoli, A.; Vantadori, S. A Multifractal Analysis of Fatigue Crack Growth and Its Application to Concrete. Eng. Fract. Mech. 2010, 77, 974–984. [Google Scholar] [CrossRef]
- Pan, L.; Carrillo, J.; Cao, M.; Sha, G. Multifractal-Spectrum Shape Parameters for Characterizing Distribution and Evolution of Multiple Cracks in Concrete Structures. Eng. Fract. Mech. 2022, 264, 108329. [Google Scholar] [CrossRef]
- Wang, J.; Huang, P.; Yuan, Y.; Zhou, G.; Han, W. Multifractal Analytical Method and Experimental Study on Crack Evolution of Dismantled RC Hollow-Slab Beam. Structures 2022, 40, 524–535. [Google Scholar] [CrossRef]
- Wang, J.; Pu, G.; Yuan, Y.; Zhou, G. Multifractal Characteristics of Fatigue Cracks in the Full-Scale Reinforced Concrete Hollow-Slab Beams. Structures 2023, 57, 105149. [Google Scholar] [CrossRef]
- Ebrahimkhanlou, A.; Athanasiou, A.; Hrynyk, T.D.; Bayrak, O.; Salamone, S. Fractal and Multifractal Analysis of Crack Patterns in Prestressed Concrete Girders. J. Bridg. Eng. 2019, 24, 4019059. [Google Scholar] [CrossRef]
- Cao, M.S.; Ren, Q.W.; Qiao, P.Z. Application of Multifractal to Characterize Microscopic Crack Propagation in Red Sandstone. Key Eng. Mater. 2006, 324–325, 891–894. [Google Scholar] [CrossRef]
- Ebrahimkhanlou, A.; Farhidzadeh, A.; Salamone, S. Multifractal Analysis of Crack Patterns in Reinforced Concrete Shear Walls. Struct. Health Monit. 2016, 15, 81–92. [Google Scholar] [CrossRef]
- Farhidzadeh, A.; Dehghan-Niri, E.; Moustafa, A.; Salamone, S.; Whittaker, A. Damage Assessment of Reinforced Concrete Structures Using Fractal Analysis of Residual Crack Patterns. Exp. Mech. 2013, 53, 1607–1619. [Google Scholar] [CrossRef]
- Woods, J.E.; Yang, Y.-S.; Chen, P.-C.; Lau, D.T.; Erochko, J. Automated Crack Detection and Damage Index Calculation for RC Structures Using Image Analysis and Fractal Dimension. J. Struct. Eng. 2021, 147, 04021019. [Google Scholar] [CrossRef]
- Hamidia, M.; Ganjizadeh, A.; Dolatshahi, K.M. Peak Drift Ratio Estimation for RC Moment Frames Using Multifractal Dimensions of Surface Crack Patterns. Eng. Struct. 2022, 255, 113893. [Google Scholar] [CrossRef]
- Athanasiou, A.; Ebrahimkhanlou, A.; Zaborac, J.; Hrynyk, T.; Salamone, S. A Machine Learning Approach Based on Multifractal Features for Crack Assessment of Reinforced Concrete Shells. Comput. Civ. Infrastruct. Eng. 2020, 35, 565–578. [Google Scholar] [CrossRef]
- Hamidia, M.; Afzali, M.; Jamshidian, S.; Safi, M. Post-Earthquake Stiffness Loss Estimation for Reinforced Concrete Columns Using Fractal Analysis of Crack Patterns. Struct. Concr. 2023, 24, 3933–3951. [Google Scholar] [CrossRef]
- Osei, J.B.; Adom-Asamoah, M.; Owusu Twumasi, J.; Andras, P.; Zhang, H. A Machine Learning-Based Structural Load Estimation Model for Shear-Critical RC Beams and Slabs Using Multifractal Analysis. Constr. Build. Mater. 2023, 394, 132250. [Google Scholar] [CrossRef]
- Zaghden, N.; Mullot, R.; Kanoun, S.; Alimi, A.M. A Proposition of a Robust System for Historical Document Images Indexation. Int. J. Comput. Appl. 2010, 11, 10–15. [Google Scholar] [CrossRef]
- Salat, H.; Murcio, R.; Arcaute, E. Multifractal Methodology. Phys. A Stat. Mech. Its Appl. 2017, 473, 467–487. [Google Scholar] [CrossRef]
- Feng, F.; Zhang, K.; Li, X.; Xia, Y.; Yuan, M.; Feng, P. Scaling Region of Weierstrass-Mandelbrot Function: Improvement Strategies for Fractal Ideality and Signal Simulation. Fractal Fract. 2022, 6, 542. [Google Scholar] [CrossRef]
- Foroutan-pour, K.; Dutilleul, P.; Smith, D.L. Advances in the Implementation of the Box-Counting Method of Fractal Dimension Estimation. Appl. Math. Comput. 1999, 105, 195–210. [Google Scholar] [CrossRef]
- Liang, J.; Li, L.; Chan, P.W.; Zhang, L.; Lu, C.; Yang, H. Fractal Dimension Characterization of Wind Speed in Typhoons and Severe Convective Weather Events Based on Box Dimension Analysis. Chaos Solitons Fractals 2024, 186, 115301. [Google Scholar] [CrossRef]
- Rezaie, A.; Mauron, A.J.P.; Beyer, K. Sensitivity Analysis of Fractal Dimensions of Crack Maps on Concrete and Masonry Walls. Autom. Constr. 2020, 117, 103258. [Google Scholar] [CrossRef]
- So, G.B.; So, H.R.; Jin, G.G. Enhancement of the Box-Counting Algorithm for Fractal Dimension Estimation. Pattern Recognit. Lett. 2017, 98, 53–58. [Google Scholar] [CrossRef]
- Bouda, M.; Caplan, J.S.; Saiers, J.E. Box-Counting Dimension Revisited: Presenting an Efficient Method of Minimizing Quantization Error and an Assessment of the Self-Similarity of Structural Root Systems. Front. Plant Sci. 2016, 7, 149. [Google Scholar] [CrossRef]
- Ostwald, M.J. The Fractal Analysis of Architecture: Calibrating the Box-Counting Method Using Scaling Coefficient and Grid Disposition Variables. Environ. Plan. B Plan. Des. 2013, 40, 644–663. [Google Scholar] [CrossRef]
- Gonzato, G.; Mulargia, F.; Ciccotti, M. Measuring the Fractal Dimensions of Ideal and Actual Objects: Implications for Application in Geology and Geophysics. Geophys. J. Int. 2000, 142, 108–116. [Google Scholar] [CrossRef]
- Karperien, A. FracLac for ImageJ—FracLac Advanced User’s Manual; Charles Sturt University: Bathurst, NSW, Australia, 2007. [Google Scholar]
- Han, M.; Wang, L.; Xiao, L.; Zhang, H.; Zhang, C.; Xu, X.; Zhu, J. QuickFPS: Architecture and Algorithm Co-Design for Farthest Point Sampling in Large-Scale Point Clouds. IEEE Trans. Comput. Des. Integr. Circuits Syst. 2023, 42, 4011–4024. [Google Scholar] [CrossRef]
Disclaimer/Publisher’s Note: The statements, opinions and data contained in all publications are solely those of the individual author(s) and contributor(s) and not of MDPI and/or the editor(s). MDPI and/or the editor(s) disclaim responsibility for any injury to people or property resulting from any ideas, methods, instructions or products referred to in the content. |
© 2025 by the authors. Licensee MDPI, Basel, Switzerland. This article is an open access article distributed under the terms and conditions of the Creative Commons Attribution (CC BY) license (https://creativecommons.org/licenses/by/4.0/).



