Solutions to Fractional q-Kinetic Equations Involving Quantum Extensions of Generalized Hyper Mittag-Leffler Functions
Abstract
1. Introduction
2. Mathematical Preliminaries
2.1. Some Basic Concepts of q-Calculus
2.2. Some Versions of the Mittag-Leffler Function
3. The Generalized Hyper -Mittag-Leffler Functions
4. Fractional -Calculus Approach
5. Solutions to the Generalized Fractional -Kinetic Equations Pertaining to the Generalized Hyper -Mittag-Leffler Functions
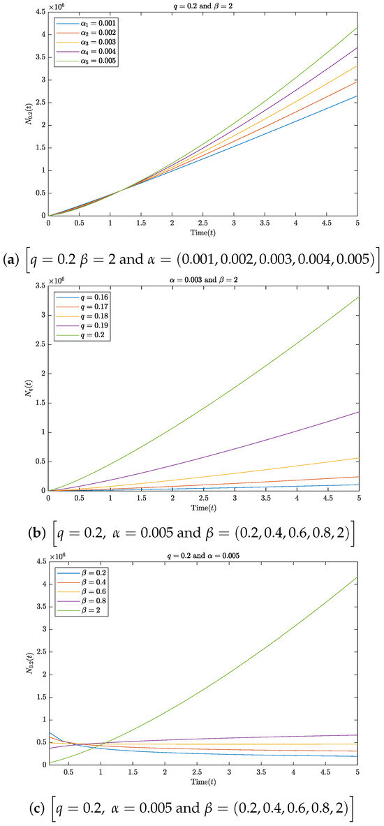
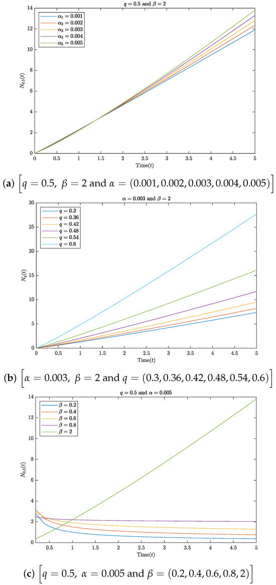
6. Graphical Representations
7. Conclusions
Author Contributions
Funding
Data Availability Statement
Conflicts of Interest
References
- Noeiaghdam, S.; Sidorov, D. Caputo-Fabrizio fractional derivative to solve the fractional model of energy supply demand system. Math. Model. Eng. Probl. 2020, 7, 359–367. [Google Scholar] [CrossRef]
- Fallahgoul, H.A.; Focardi, S.M.; Fabozzi, F.J. Fractional Calculus and Fractional Processes with Applications to Financial Economics, Theory and Application; Elsevier/Academic Press: London, UK, 2017. [Google Scholar]
- Benson, D.A.; Meerschaert, M.M.; Revielle, J. Fractional calculus in hydrologic modeling: A numerical perspective. Adv. Water Resour. 2013, 51, 479–497. [Google Scholar] [CrossRef] [PubMed]
- Ali, M.F.; Sharma, M.; Jain, R. An application of fractional calculus in electrical engineering. Adv. Eng. Tec. Appl. 2016, 5, 41–45. [Google Scholar] [CrossRef]
- Ghanbari, B.; Günerhan, H.; Srivastava, H.M. An application of the Atangana-Baleanu fractional derivative in mathematical biology: A three-species predator-prey model. Chaos Solitons Fractals 2020, 138, 109910. [Google Scholar] [CrossRef]
- Mishra, S.; Mishra, L.N.; Mishra, R.K.; Patnaik, S. Some applications of fractional calculus in technological development. J. Fract Calc. Appl. 2019, 10, 228–235. [Google Scholar]
- Jacob, J.S.; Priya, J.H.; Karthika, A. Applications of fractional calculus in science and engineering. J. Critical. Rev. 2020, 7, 4385–4394. [Google Scholar]
- Sabatier, J.; Agrawal, O.P.; Tenreiromachado, J.A. Advances in Fractional Calculus. Theoretical Developments and Applications in Physics and Engineering; Springer: Berlin/Heidelberg, Germany, 2007. [Google Scholar]
- Agarwal, P.; Chand, M.; Baleanu, D.; Regan, D.O.; Jain, S. On the solutions of certain fractional kinetic equations involving k-Mittag-Leffler function. Adv. Differ. Equ. 2018, 2018, 249. [Google Scholar] [CrossRef]
- Saxena, R.K.; Kalla, S.L. On the solutions of certain fractional kinetic equations. Appl. Math. Comput. 2008, 199, 504–511. [Google Scholar] [CrossRef]
- Akel, M.; Hidan, M.; Boulaaras, S.; Abdalla, M. On the solutions of certain fractional kinetic matrix equations involving Hadamard fractional integrals. AIMS Math. 2022, 7, 15520–15531. [Google Scholar] [CrossRef]
- Hidan, M.; Akel, M.; Abd-Elmageed, H.; Abdalla, M. Some matrix families of the Hurwitz-Lerch ζ-functions and associted for fractional kinetic equations. Fractals 2022, 30, 2240199. [Google Scholar] [CrossRef]
- Almalkia, Y.; Abdalla, M. Analytic solutions to the fractional kinetic equation involving the generalized Mittag-Leffler function using the degenerate Laplace type integral approach. Eur. Phys. J. Spec. Top. 2023, 232, 2587–2593. [Google Scholar] [CrossRef]
- Kolokoltsov, V.N.; Troeva, M. A new approach to fractional kinetic evolutions. Fractal Fract. 2022, 6, 49. [Google Scholar] [CrossRef]
- Habenom, H.; Oli, A.; Suthar, D.L. (p, q)-Extended Struve function: Fractional integrations and application to fractional kinetic equations. J. Math. 2021, 2021, 5536817. [Google Scholar] [CrossRef]
- Abdalla, M.; Akel, M. Contribution of using Hadamard fractional integral operator via Mellin integral transform for solving certain fractional kinetic matrix equations. Fractal Fract. 2022, 6, 305. [Google Scholar] [CrossRef]
- Garg, M.; Chanchlani, L. On fractional q-kinetic equation. Mat. Bilt. 2012, 36, 33–46. [Google Scholar] [CrossRef]
- Purohit, S.D.; Ucar, F. An application of q-Sumudu transform for fractional q-kinetic equation. Turk. J. Math. 2018, 42, 726–734. [Google Scholar] [CrossRef]
- Bairwa, R.K.; Kumar, A.; Kumar, D. Certain properties of generalized q-Mittag-Leffler type function and its application in fractional q-kinetic equation. Int. J. Appl. Comput. Math. 2022, 219, 22–31. [Google Scholar] [CrossRef]
- Abujarad, E.; Jarad, F.; Abujarad, M.H.; Baleanu, D. Application of q-Shehu transform on q-fractional kinetic equation involving the generalized hyper-Bessel function. Fractals 2022, 30, 2240179. [Google Scholar] [CrossRef]
- Annaby, M.H.; Mansour, Z.S. q-Fractional Calculus and Equations; Springer: Berlin/Heidelberg, Germany, 2012. [Google Scholar]
- Aral, A.; Gupta, V.; Agarwal, R.P. Applications of q-Calculus in Operator Theory; Springer: New York, NY, USA; Berlin/Heidelberg, Germany; Dordrecht, The Netherlands; London, UK, 2013. [Google Scholar]
- Chakraverty, S.; Jena, R.M.; Jena, S.K. Computational Fractional Dynamical Systems: Fractional Differential Equations and Applications; John Wiley and Sons, Inc.: Hoboken, NJ, USA, 2023. [Google Scholar]
- Gasper, G.; Rahman, M.; George, G. Basic Hypergeometric Series; Cambridge University Press: Cambridge, UK, 2004; Volume 96. [Google Scholar]
- Mansour, M. An asymptotic expansion of the q-Gamma function Γq(x). J. Nonlinear Math. Phys. 2006, 13, 479–483. [Google Scholar] [CrossRef]
- Mittag-Leffler, G. Sur la nouvelle fonction Eα(x). C. R. Acad. Sci. 1903, 137, 554–558. [Google Scholar]
- Wiman, A. Über de fundamental satz in der theoric der funktionen Eα(x). Acta Math. 1905, 29, 191–201. [Google Scholar] [CrossRef]
- Prabhakar, T.R. A singular integral equation with a generalized Mittag-Leffler function in the Kernel. Yokohama Math. J. 1971, 19, 7–15. [Google Scholar]
- Shukla, A.K.; Prajapati, J.C. On a generalization of Mittag-Leffler function and its properties. J. Math. Anal. Appl. 2007, 336, 797–811. [Google Scholar] [CrossRef]
- Gorenflo, R.; Kilbas, A.A.; Mainardi, F.; Rogosin, S. Mittag-Leffler Functions, Related Topics and Applications, 2nd ed.; Springer: Berlin/Heidelberg, Germany, 2020. [Google Scholar]
- Kumar, D.; Ram, J.; Cho, J. Dirichlet averages of deneralized Mittag-Leffler type function. Fractal Fract. 2022, 6, 297. [Google Scholar] [CrossRef]
- Jain, A. Generalization of Mittag-Leffler function and it’s application in quantum-calculus. Int. J. Innov. Res. Technol. Manag. 2018, 2, 1–4. [Google Scholar]
- Mansour, Z.S.I. Linear sequential q-difference equations of fractional order. Fract. Calc. Appl. Anal. 2009, 12, 159–178. [Google Scholar]
- Sharma, S.K.; Jain, R. On some properties of generalized q-Mittag Leffler function. Math. Aterna. 2014, 4, 613–619. [Google Scholar]
- Purohit, S.D.; Kalla, S.L. A generalization of q-Mittag-Leffler function. Mat. Bilt. 2011, 35, 15–26. [Google Scholar]
- Aziza, S.; Ahmada, K.; Khanb, B.; Sallehc, Z.; Alia, S.; Bilala, H.; Khand, M.G. Applications of q-Mittag-Leffler type Poisson distribution to subclass of q-starlike functions. J. Math. Comput. Sci. 2023, 29, 272–282. [Google Scholar] [CrossRef]
- Rajković, P.M.; Marinkovixcx, S.D.; Stankovixcx, M.S. On q-analogues of Caputo derivative and Mittag-Leffler function. Fract. Calc. Appl. Anal. 2007, 10, 359–374. [Google Scholar]
- Garg, M.; Chanchlani, L.; Kalla, S. A q-analogue of generalized Mittag-Leffler function. Algebr. Group Geometr. 2011, 28, 205–223. [Google Scholar]
- Nadeem, R.; Usman, T.; Nisar, K.S.; Abdeljawad, T. A new generalization of Mittag-Leffler function via q-calculus. Adv. Differ. Equ. 2020, 2020, 695. [Google Scholar] [CrossRef]


Disclaimer/Publisher’s Note: The statements, opinions and data contained in all publications are solely those of the individual author(s) and contributor(s) and not of MDPI and/or the editor(s). MDPI and/or the editor(s) disclaim responsibility for any injury to people or property resulting from any ideas, methods, instructions or products referred to in the content. |
© 2024 by the authors. Licensee MDPI, Basel, Switzerland. This article is an open access article distributed under the terms and conditions of the Creative Commons Attribution (CC BY) license (https://creativecommons.org/licenses/by/4.0/).
Share and Cite
Alqarni, M.Z.; Akel, M.; Abdalla, M. Solutions to Fractional q-Kinetic Equations Involving Quantum Extensions of Generalized Hyper Mittag-Leffler Functions. Fractal Fract. 2024, 8, 58. https://doi.org/10.3390/fractalfract8010058
Alqarni MZ, Akel M, Abdalla M. Solutions to Fractional q-Kinetic Equations Involving Quantum Extensions of Generalized Hyper Mittag-Leffler Functions. Fractal and Fractional. 2024; 8(1):58. https://doi.org/10.3390/fractalfract8010058
Chicago/Turabian StyleAlqarni, Mohammed Z., Mohamed Akel, and Mohamed Abdalla. 2024. "Solutions to Fractional q-Kinetic Equations Involving Quantum Extensions of Generalized Hyper Mittag-Leffler Functions" Fractal and Fractional 8, no. 1: 58. https://doi.org/10.3390/fractalfract8010058
APA StyleAlqarni, M. Z., Akel, M., & Abdalla, M. (2024). Solutions to Fractional q-Kinetic Equations Involving Quantum Extensions of Generalized Hyper Mittag-Leffler Functions. Fractal and Fractional, 8(1), 58. https://doi.org/10.3390/fractalfract8010058

