Alternate Admissibility LMI Criteria for Descriptor Fractional Order Systems with 0 < α < 2
Abstract
1. Introduction
2. Problem Formulation and Preliminaries
3. Main Results
3.1. Criteria of Admissibility Based on Non-Strict LMIs
3.2. Criteria of Admissibility Based on Strict LMIs
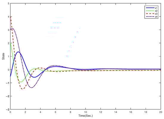
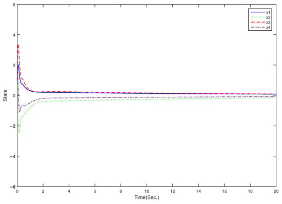
4. Numerical Examples
5. Conclusions
Author Contributions
Funding
Data Availability Statement
Conflicts of Interest
References
- Ortigueira, M.D.; Ionescu, C.M.; Machado, J.T.; Trujillo, J.J. Fractional signal processing and applications. Signal Process. 2015, 107, 197. [Google Scholar] [CrossRef]
- Zhao, Z.C.; Li, G. Synchrosqueezing-based short-time fractional fourier transform. IEEE Trans. Image Process. 2023, 71, 279–294. [Google Scholar] [CrossRef]
- Yan, H.; Zhang, J.X.; Zhang, X.F. Injected infrared and visible image fusion via L1 decomposition model and guided filtering. IEEE Trans. Comput. Imag. 2022, 8, 162–173. [Google Scholar] [CrossRef]
- Liu, C.H.; Hu, M.H.; Jin, G.Q.; Xu, Y.D.; Zhai, J. State of power estimation of lithium-ion battery based on fractional-order equivalent circuit model. J. Energy Storage 2021, 41, 102954. [Google Scholar] [CrossRef]
- Muresan, C.I.; Birs, I.; Ionescu, C.; Dulf, E.H.; De Keyser, R. A review of recent developments in autotuning methods for fractional-order controllers. Fractal Fract 2022, 6, 37. [Google Scholar] [CrossRef]
- Wang, Z.; Fei, J.T. Fractional-order terminal sliding-mode control using self-evolving recurrent chebyshev fuzzy neural network for MEMS gyroscope. IEEE Trans. Fuzzy Syst. 2022, 30, 2747–2758. [Google Scholar] [CrossRef]
- Fei, J.T.; Wang, Z.; Liang, X.; Feng, Z.L.; Xue, Y.C. Fractional sliding-mode control for microgyroscope based on multilayer recurrent fuzzy neural network. IEEE Trans. Fuzzy Syst. 2022, 30, 1712–1721. [Google Scholar] [CrossRef]
- Radwan, A.G.; Emira, A.A.; Abdelaty, A.M.; Azar, A.T. Modeling and analysis of fractional order DC-DC converter. ISA Trans. 2018, 82, 184–199. [Google Scholar] [CrossRef]
- Babes, B.; Mekhilef, S.; Boutaghane, A.; Rahmani, L. Fuzzy approximation-based fractional-order nonsingular terminal sliding mode controller for DC-DC buck converters. IEEE Trans. Power Electron. 2022, 37, 2749–2760. [Google Scholar] [CrossRef]
- Yu, Z.M.; Sun, Y.; Dai, X. Stability and stabilization of the fractional-order power system with time delay. IEEE Trans. Circuits Syst. II Express Briefs 2021, 68, 3446–3450. [Google Scholar] [CrossRef]
- Yang, F.; Shao, X.Y.; Muyeen, S.M.; Li, D.D.; Lin, S.F.; Fang, C. Disturbance observer based fractional-order integral sliding mode frequency control strategy for interconnected power system. IEEE Trans. Power Syst. 2021, 35, 5922–5932. [Google Scholar] [CrossRef]
- Yousefpour, A.; Jahanshahi, H.; Munoz-Pacheco, J.; Bekiros, S.; Wei, Z.C. A fractional-order hyper-chaotic economic system with transient chaos. Chaos Solitons Fractals 2020, 130, 109400. [Google Scholar] [CrossRef]
- Yang, W.G.; Zheng, W.X.; Yu, W.W. Observer-based event-triggered adaptive fuzzy control for fractional-order time-varying delayed MIMO systems against actuator faults. IEEE Trans. Fuzzy Syst. 2022, 30, 5445–5459. [Google Scholar] [CrossRef]
- Fan, X.F.; Wang, Z.S. A fuzzy lyapunov function method to stability analysis of fractional-order T-S fuzzy systems. IEEE Trans. Fuzzy Syst. 2022, 30, 2769–2776. [Google Scholar] [CrossRef]
- Farges, C.; Moze, M.; Sabatier, J. Pseudo-state feedback stabilisation of commensurate fractional order systems. Automatica 2010, 46, 1730–1734. [Google Scholar] [CrossRef]
- Lu, J.G.; Chen, Y.Q. Robust stability and stabilization of fractional-order interval systems with the fractional order α: 0 < α < 1 case. IEEE Trans. Autom. Control 2010, 55, 152–158. [Google Scholar]
- Zhang, X.F.; Lin, C.; Chen, Y.Q.; Boutat, D. A unified framework of stability theorems for LTI fractional order systems with 0< α < 2. IEEE Trans. Circuits Syst. II Express Briefs 2020, 67, 3237–3241. [Google Scholar]
- Tian, Y.; Wang, Z.B.; Liu, D.Y.; Boutat, D.; Liu, H.R. Non-asymptotic estimation for fractional integrals of noisy accelerations for fractional order vibration systems. Automatica 2022, 135, 109996. [Google Scholar] [CrossRef]
- Ghorbani, M.; Tavakoli-Kakhki, M.; Tepljakov, A.; Petlenkov, E.; Farnam, A.; Crevecoeur, G. Robust stability analysis of interval fractional-order plants with interval time delay and general form of fractional-order controllers. IEEE Control Syst. Lett. 2021, 6, 1268–1273. [Google Scholar] [CrossRef]
- Alessandretti, A.; Pequito, S.; Pappas, G.J.; Aguiar, A.P. Finite-dimensional control of linear discrete-time fractional-order systems. Automatica 2020, 115, 108512. [Google Scholar] [CrossRef]
- Zhu, Z.; Lu, J.G. LMI-based robust stability analysis of discrete-time fractional-order systems with interval uncertainties. IEEE Trans. Circuits Syst. I-Regul. Pap. 2021, 68, 1671–1680. [Google Scholar] [CrossRef]
- Gong, P.; Lan, W.Y.; Han, Q.L. Robust adaptive fault-tolerant consensus control for uncertain nonlinear fractional-order multi-agent systems with directed topologies. Automatica 2020, 117, 109011. [Google Scholar] [CrossRef]
- Zhang, J.X.; Yang, G.H. Low-complexity tracking control of strict-feedback systems with unknown control directions. IEEE Trans. Autom. Control 2019, 64, 5175–5182. [Google Scholar] [CrossRef]
- Zhang, J.X.; Yang, G.H. Fault-tolerant output-constrained control of unknown Euler-Lagrange systems with prescribed tracking accuracy. Automatica 2020, 111, 108606. [Google Scholar] [CrossRef]
- Marir, S.; Chadli, M.; Bouagada, D. New admissibility conditions for singular linear continuous-time fractional-order systems. J. Frankl. Inst. 2017, 354, 752–766. [Google Scholar] [CrossRef]
- Marir, S.; Chadli, M. Robust admissibility and stabilization of uncertain singular fractional-order linear time-invariant systems. IEEE/CAA J. Autom. Sin. 2019, 6, 685–692. [Google Scholar] [CrossRef]
- Marir, S.; Chadli, M.; Basin, M.V. Bounded real lemma for singular linear continuous-time fractional-order systems. Automatica 2022, 135, 109962. [Google Scholar] [CrossRef]
- Marir, S.; Chadli, M.; Bouagada, D. A novel approach of admissibility for singular linear continuous-time fractional-order systems. Int. J. Control Autom. Syst. 2017, 15, 959–964. [Google Scholar] [CrossRef]
- Zhang, X.F.; Chen, Y.Q. Admissibility and robust stabilization of continuous linear singular fractional order systems with the fractional order α: The 0 < α < 1 case. ISA Trans. 2018, 82, 42–50. [Google Scholar]
- Luo, S.Y.; Lu, J.G.; Qiu, X.Y. Robust normalization and stabilization of descriptor fractional-order systems with uncertainties in all matrices. J. Frankl. Inst. 2022, 359, 1113–1129. [Google Scholar] [CrossRef]
- Wang, Y.Y.; Zhang, X.F.; Boutat, D.; Shi, P. Quadratic admissibility for a class of LTI uncertain singular fractional-order systems with 0 < α < 2. Fractal Fract. 2022, 7, 1. [Google Scholar]
- Zhang, D.Q.; Zhang, Q.L. On the quadratic stability of descriptor systems with uncertainties in the derivative matrix. Int. J. Syst. Sci. 2009, 40, 695–702. [Google Scholar] [CrossRef]
- Zhang, Q.H.; Lu, J.G. Necessary and sufficient conditions for extended strictly positive realness of singular fractional-order systems. IEEE Trans. Circuits Syst. II Express Briefs 2021, 68, 1997–2001. [Google Scholar] [CrossRef]


Disclaimer/Publisher’s Note: The statements, opinions and data contained in all publications are solely those of the individual author(s) and contributor(s) and not of MDPI and/or the editor(s). MDPI and/or the editor(s) disclaim responsibility for any injury to people or property resulting from any ideas, methods, instructions or products referred to in the content. |
© 2023 by the authors. Licensee MDPI, Basel, Switzerland. This article is an open access article distributed under the terms and conditions of the Creative Commons Attribution (CC BY) license (https://creativecommons.org/licenses/by/4.0/).
Share and Cite
Di, Y.; Zhang, J.-X.; Zhang, X. Alternate Admissibility LMI Criteria for Descriptor Fractional Order Systems with 0 < α < 2. Fractal Fract. 2023, 7, 577. https://doi.org/10.3390/fractalfract7080577
Di Y, Zhang J-X, Zhang X. Alternate Admissibility LMI Criteria for Descriptor Fractional Order Systems with 0 < α < 2. Fractal and Fractional. 2023; 7(8):577. https://doi.org/10.3390/fractalfract7080577
Chicago/Turabian StyleDi, Ying, Jin-Xi Zhang, and Xuefeng Zhang. 2023. "Alternate Admissibility LMI Criteria for Descriptor Fractional Order Systems with 0 < α < 2" Fractal and Fractional 7, no. 8: 577. https://doi.org/10.3390/fractalfract7080577
APA StyleDi, Y., Zhang, J.-X., & Zhang, X. (2023). Alternate Admissibility LMI Criteria for Descriptor Fractional Order Systems with 0 < α < 2. Fractal and Fractional, 7(8), 577. https://doi.org/10.3390/fractalfract7080577

