Influences of the Order of Derivative on the Dynamical Behavior of Fractional-Order Antisymmetric Lotka–Volterra Systems
Abstract
1. Introduction
2. Preliminaries
- (a)
- If , is represented by
- (b)
- If , .
- (a)
- if ,
- (b)
- is unbounded as if .
3. Boundedness Results
- (i)
- If , for all .
- (ii)
- If , for all .
4. Stability Results
- (a)
- if and
- (b)
- as z goes to the boundary of domain
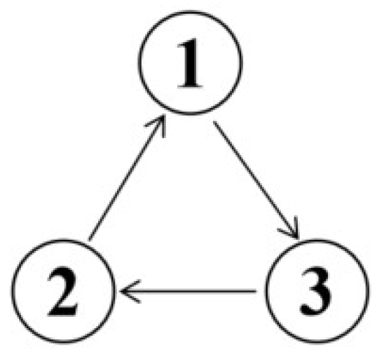
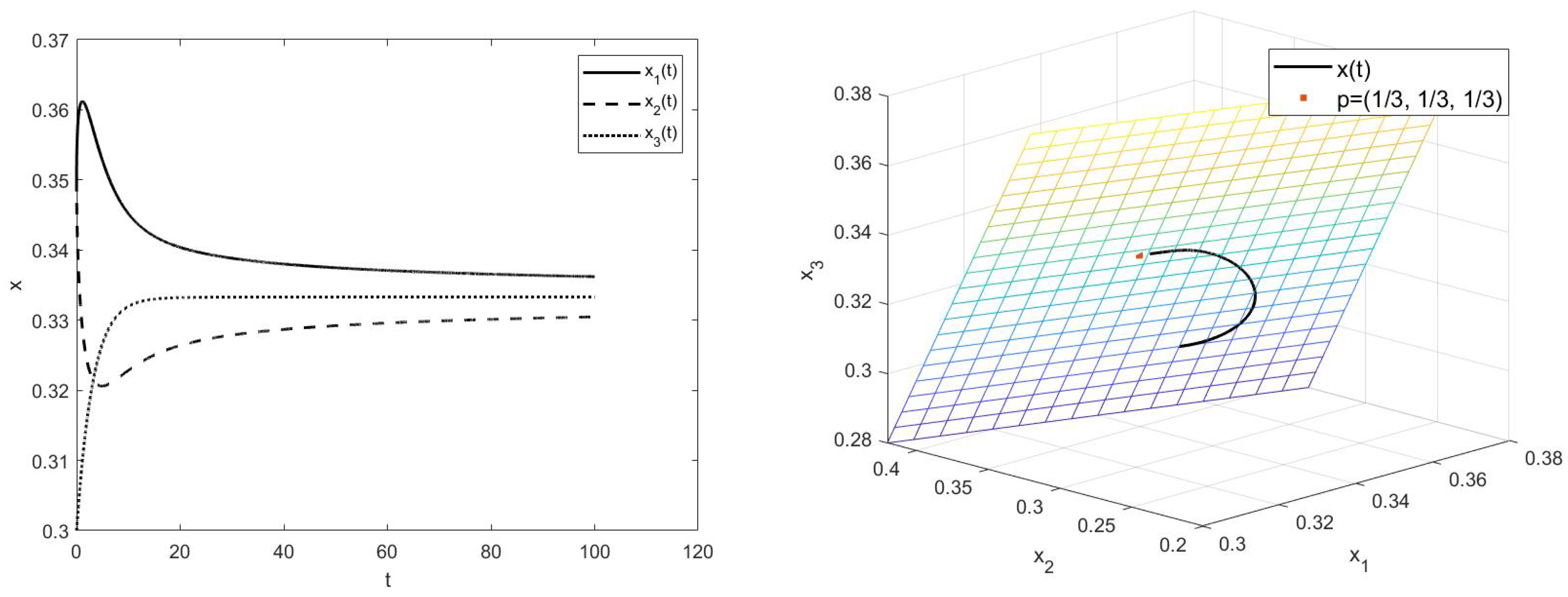
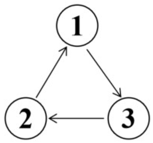
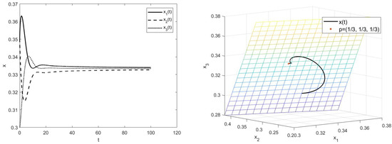
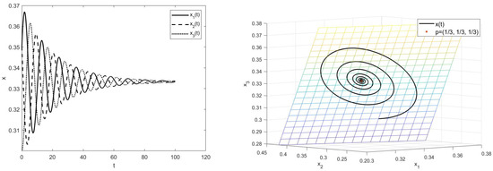
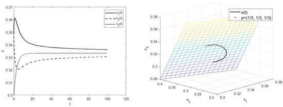
5. Numerical Simulations
- (i)
- (ii)
- By Figure 6, all solution curves are on one plane if the totals of are same, no matter what .
- (iii)
- (iv)
6. Conclusions
- (1)
- For any , for all times , and all bounded away from zero for all times for any choice of . In the context of population dynamics, this means that the total number of individuals for all species is conserved and all species coexist independently of the predatory efficiency.
- (2)
- All the solutions of the first-order system are periodic. However, the -order system can be reduced on a two-dimensional space and the reduced system is asymptotically stable, regardless of how close to zero the order of the derivative used is. This implies that if the equilibrium state is slightly disturbed, as long as the total number of species remains unchanged, it will always return to the original equilibrium state after a long time. This may reflect the memory of the fractional-order system.
Funding
Data Availability Statement
Acknowledgments
Conflicts of Interest
References
- Volterra, V. Leçons sur la Théorie Mathématique de la Lutte pourla Vie; Gauthier-Villars: Paris, France, 1931. [Google Scholar]
- Van Kampen, N.G. Stochastic Process in Physics and Chemistry, 3rd ed.; Elsevier: Amsterdam, The Netherlands, 2007. [Google Scholar]
- Zhou, P.; Tang, D.; Xiao, D. On Lotka-Volterra competitive parabolic systems: Exclusion, coexistence and bistability. J. Differ. Equ. 2021, 282, 596–625. [Google Scholar] [CrossRef]
- Ahmed, E.; El-Sayed, A.M.A.; El-Saka, H.A.A. Equilibrium points, stability and numerical solutions of fractional-order predator-prey and rabies models. J. Math. Anal. Appl. 2007, 325, 542–553. [Google Scholar] [CrossRef]
- Nowak, M. Evolutionary Dynamics; Harvard University Press: Cambridge, MA, USA, 2006. [Google Scholar]
- Menezes, J. Antipredator behavior in the rock-paper-scissors model. Phys. Rev. Lett. E 2021, 103, 052216. [Google Scholar] [CrossRef] [PubMed]
- Sinervo, B.; Lively, C. The rock-paper-scissors game and the evolution of alternative male strategies. Nature 1996, 380, 240–243. [Google Scholar] [CrossRef]
- Kirkup, B.; Riley, M. Antibiotic-mediated antagonism leads to a bacterial game of rock-paper-scissors in vivo. Nature 2004, 428, 412–414. [Google Scholar] [CrossRef]
- Wang, Y.; Liu, S. Fractal analysis and control of the fractional Lotka-Volterra model. Nonlinear Dyn. 2019, 95, 1457–1470. [Google Scholar] [CrossRef]
- Zhao, Y.; Sun, S.; Han, Z.; Zhang, M. Positive solutions for boundary value problems of nonlinear fractional differential equations. Appl. Math. Comput. 2011, 217, 6950–6958. [Google Scholar] [CrossRef]
- Elsadany, A.A.; Matouk, A.E. Dynamical behaviors of fractional-order Lotka-Volterra predator-prey model and its discretization. J. Appl. Math. Comput. 2015, 49, 269–283. [Google Scholar] [CrossRef]
- Xu, M.; Sun, S. Positivity for integral boundary value problems of fractional differential equations with two nonlinear terms. J. Appl. Math. Comput. 2019, 59, 271–283. [Google Scholar] [CrossRef]
- Xu, M.; Sun, S.; Han, Z. Solvability for impulsive fractional Langevin equation. J. Appl. Anal. Comput. 2020, 10, 486–494. [Google Scholar] [CrossRef]
- Yavuz, M.; Sene, N. Stability Analysis and Numerical Computation of the Fractional Predator-Prey Model with the Harvesting Rate. Fractal Fract. 2020, 4, 35. [Google Scholar] [CrossRef]
- Podlubny, I. Fractional Differential Equation; Academic Press: New York, NY, USA, 1999. [Google Scholar]
- Kilbas, A.; Srivastava, H.; Trujillo, J. Theory and Applications of Fractional Differential Equations; Elsevier: Amsterdam, The Netherlands, 2006. [Google Scholar]
- Tarasov, V.E. Predator-prey models with memory and kicks: Exact solution and discrete maps with memory. Math. Methods Appl. Sci. 2021, 44, 11514–11525. [Google Scholar] [CrossRef]
- Zhou, P.; Ma, J.; Tang, J. Clarify the physical process for fractional dynamical systems. Nonlinear Dyn. 2020, 100, 2353–2364. [Google Scholar] [CrossRef]
- Tarasov, V.E. Applications in Physics, Part A. In Handbook of Fractional Calculus with Applications; De Gruyter: Berlin, Germany, 2019; Volume 4. [Google Scholar]
- Heymans, N.; Podlubny, I. Physical interpretation of initial conditions for fractional differential equations with Riemann–Liouville fractional derivatives. Rheol. Acta 2006, 45, 765–771. [Google Scholar] [CrossRef]
- Tavassoli, M.H.; Tavassoli, A.; Rahimi, M.R.O. The geometric and physical interpretation of fractional order derivatives of polynomial functions. Differ. Geom. Dyn. Syst. 2013, 15, 93–104. [Google Scholar]
- Ionescu, C.; Lopes, A.; Copot, D.; Machado, J.A.T.; Bates, J.H.T. The role of fractional calculus in modeling biological phenomena: A review. Commun. Nonlinear Sci. Numer. Simul. 2017, 51, 141–159. [Google Scholar] [CrossRef]
- Echenausía-Monroy, J.L.; Gilardi-Velázquez, H.E.; Jaimes-Reátegui, R.; Aboites, V.; Huerta-Cuéllar, G. A physical interpretation of fractional-order-derivatives in a jerk system: Electronic approach. Commun. Nonlinear Sci. Numer. Simul. 2020, 90, 105413. [Google Scholar] [CrossRef]
- Bhalekara, S.; Patilb, M. Singular points in the solution trajectories of fractional order dynamical systems. Chaos 2018, 28, 113123. [Google Scholar] [CrossRef]
- El-Dib, Y.; Elgazery, N. Effect of fractional derivative properties on the periodic solution of the nonlinear oscillations. Fractals 2020, 28, 2050095. [Google Scholar] [CrossRef]
- Monroy, J.; Cuellar, G.; Reategui, R.; García-López, J.H.; Aboites, V.; Cassal-Quiroga, B.B.; Gilardi-Velázquez, H.E. Multistability Emergence through Fractional-Order-Derivatives in a PWL Multi-Scroll System. Electronics 2020, 9, 880. [Google Scholar] [CrossRef]
- Daftardar-Gejji, V.; Bhalekar, S. Chaos in fractional ordered Liu system. Comput. Math. Appl. 2010, 59, 1117–1127. [Google Scholar] [CrossRef]
- Li, C.; Chen, G. Chaos, hyperchaos in the fractional-order Rossler equations. Phys. A Stat. Mech. Appl. 2004, 341, 55–61. [Google Scholar] [CrossRef]
- Moustafa, M.; Abdullah, F.A.; Shafie, S. Dynamical behavior of a fractional-order prey-predator model with infection and harvesting. J. Appl. Math. Comput. 2022, 68, 4777–4794. [Google Scholar] [CrossRef]
- Das, S.; Mahato, S.; Mondal, A.; Kaslik, E. Emergence of diverse dynamical responses in a fractional-order slow-fast pest-predator model. Nonlinear Dyn. 2023, 111, 8821–8836. [Google Scholar] [CrossRef]
- Kai, D. The Analysis of Fractional Differential Equations; Springer: Berlin/Heidelberg, Germany, 2010. [Google Scholar]
- Li, C.; Ma, Y. Fractional dynamical system and its linearization theorem. Nonlinear Dyn. 2013, 71, 621–633. [Google Scholar] [CrossRef]






Disclaimer/Publisher’s Note: The statements, opinions and data contained in all publications are solely those of the individual author(s) and contributor(s) and not of MDPI and/or the editor(s). MDPI and/or the editor(s) disclaim responsibility for any injury to people or property resulting from any ideas, methods, instructions or products referred to in the content. |
© 2023 by the author. Licensee MDPI, Basel, Switzerland. This article is an open access article distributed under the terms and conditions of the Creative Commons Attribution (CC BY) license (https://creativecommons.org/licenses/by/4.0/).
Share and Cite
Xu, M. Influences of the Order of Derivative on the Dynamical Behavior of Fractional-Order Antisymmetric Lotka–Volterra Systems. Fractal Fract. 2023, 7, 360. https://doi.org/10.3390/fractalfract7050360
Xu M. Influences of the Order of Derivative on the Dynamical Behavior of Fractional-Order Antisymmetric Lotka–Volterra Systems. Fractal and Fractional. 2023; 7(5):360. https://doi.org/10.3390/fractalfract7050360
Chicago/Turabian StyleXu, Mengrui. 2023. "Influences of the Order of Derivative on the Dynamical Behavior of Fractional-Order Antisymmetric Lotka–Volterra Systems" Fractal and Fractional 7, no. 5: 360. https://doi.org/10.3390/fractalfract7050360
APA StyleXu, M. (2023). Influences of the Order of Derivative on the Dynamical Behavior of Fractional-Order Antisymmetric Lotka–Volterra Systems. Fractal and Fractional, 7(5), 360. https://doi.org/10.3390/fractalfract7050360
