Fractional Diffusion Equation under Singular and Non-Singular Kernel and Its Stability
Abstract
1. Introduction
2. A General Fractional Diffusion
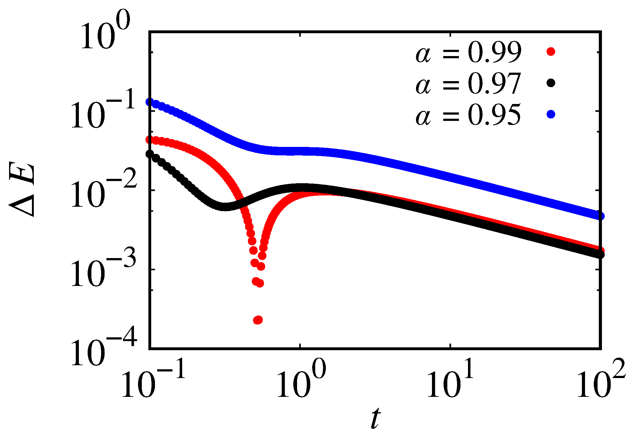
2.1. Stability Analysis—Standard and Fractional Cases
3. Fractional Operators—Power-Law Kernel
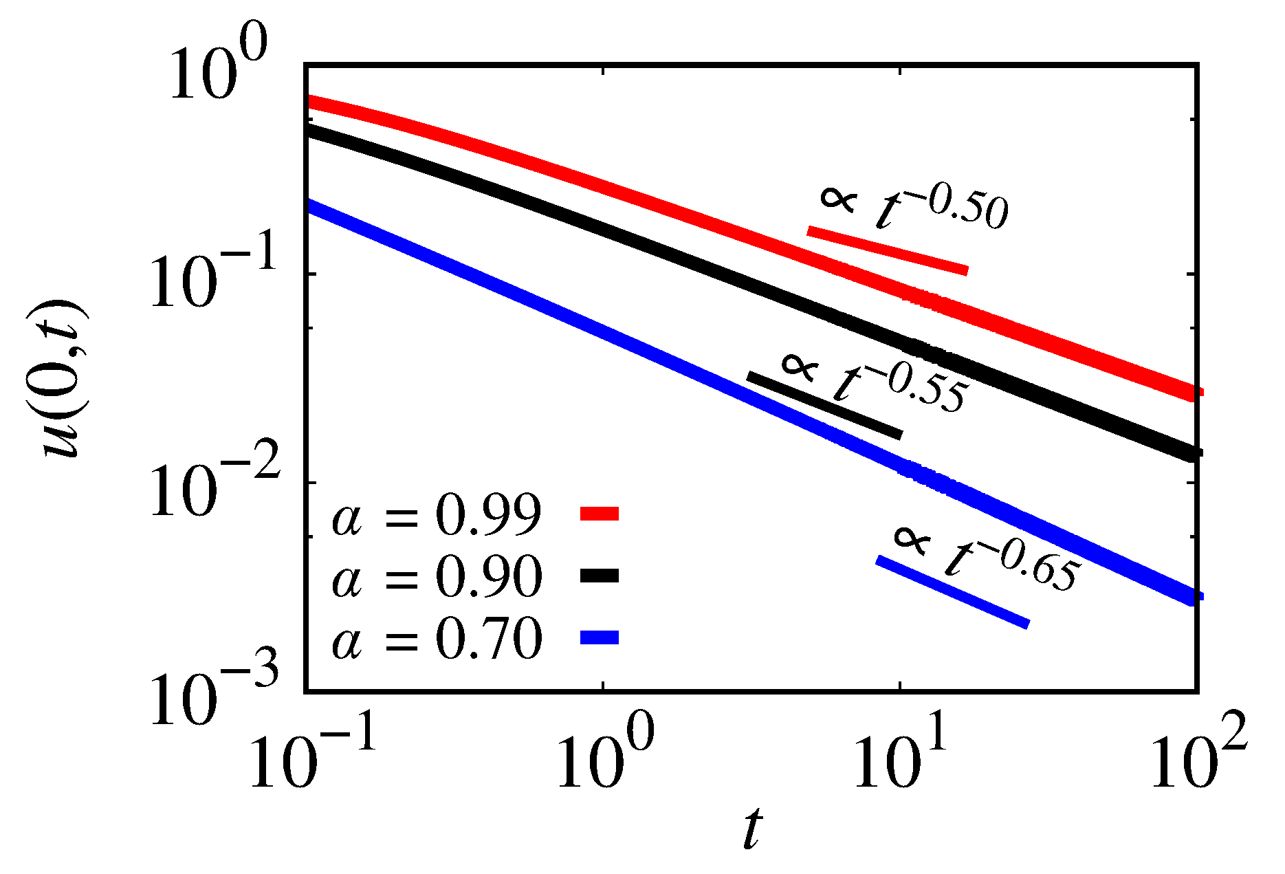
3.1. Power-Law in Time
3.2. Power-Law in Space
3.3. Power-Law in Time and Space
4. Fractional Operators—Exponential Kernel
5. Conclusions
Author Contributions
Funding
Institutional Review Board Statement
Informed Consent Statement
Data Availability Statement
Acknowledgments
Conflicts of Interest
References
- Evangelista, L.R.; Lenzi, E.K. Fractional Diffusion Equations and Anomalous Diffusion; Cambridge University Press: Cambridge, UK, 2018. [Google Scholar]
- Paul, A.; Laurila, T.; Vuorinen, V.; Divinski, S.V. Thermodynamics, Diffusion and the Kirkendall Effect in Solids; Springer: Cham, Switzerland, 2014. [Google Scholar]
- Da Silva, S.T.; Viana, R.L. Reaction-diffusion equation with stationary wave perturbation in weakly ionized plasmas. Braz. J. Phys. 2020, 50, 780–787. [Google Scholar] [CrossRef]
- Benetti, M.H.; Silveira, F.E.M.; Caldas, I.L. Fundamental solution of diffusion equation for Kappa gas: Diffusion length for suprathermal electrons in solar wind. Phys. Rev. E 2023, 107, 055212. [Google Scholar] [CrossRef] [PubMed]
- Salman, A.M.; Mohd, M.H.; Muhammad, A. A novel approach to investigate the stability analysis and the dynamics of reaction–diffusion SVIR epidemic model. Commun. Nonlinear Sci. Numer. Simul. 2023, 126, 107517. [Google Scholar] [CrossRef]
- Zhao, H.; Zhu, L. Dynamic Analysis of a Reaction–DiffusionRumor Propagation Model. Int. J. Bifurc. Chaos 2016, 26, 1650101. [Google Scholar] [CrossRef]
- Pinar, Z. An Analytical Studies of the Reaction-Diffusion Systems of Chemical Reactions. Int. J. Appl. Comput. Math. 2021, 7, 81. [Google Scholar] [CrossRef]
- Ganguly, S.; Neogi, U.; Chakrabarti, A.S.; Chakraborti, A. Reaction-diffusion equations with applications to economic systems. In Proceedings of the Econophysics and Sociophysics: Recent Progress and Future Directions; Springer: Cham, Switzerland, 2017; pp. 131–144. [Google Scholar]
- Essa, K.; Etman, S.M.; El-Otaify, M.S.; Embaby, M.; Mosallem, A.M.; Shalaby, A.S. Different solutions of the diffusion equation and its applications. J. Basic Appl. Sci. 2021, 10, 82. [Google Scholar] [CrossRef]
- Leonel, E.D.; Kuwana, C.M.; Yoshida, M.; Oliveira, J.A. Application of the diffusion equation to prove scaling invariance on the transition from limited to unlimited diffusion. Europhys. Lett. 2020, 131, 10004. [Google Scholar] [CrossRef]
- Lenzi, E.; Lenzi, M.; Ribeiro, H.; Evangelista, L. Extensions and solutions for non-linear diffusion equations and random walks. Proc. R. Soc. A 2019, 475, 20190432. [Google Scholar] [CrossRef]
- Belova, I.V.; Afikuzzaman, M.; Murch, G.E. A new approach for analysing interdiffusion in multicomponent alloys. Scr. Mater. 2021, 204, 114143. [Google Scholar] [CrossRef]
- Belova, I.V.; Afikuzzaman, M.; Murch, G.E. Novel Interdiffusion Analysis in Multicomponent Alloys—Part 2: Application to Quaternary, Quinary and Higher Alloys. Diffus. Found. 2021, 29, 179–203. [Google Scholar] [CrossRef]
- Luo, H.; Liu, W.; Gong, H.; Liang, C. First Principles Calculation of Composition Dependence Tracer and Interdiffusion with Phase Change: A Case Study of Ir/Ir3nb Superalloy. SSRN 2023. [Google Scholar] [CrossRef]
- Li, F.; Feng, J.; Zhang, H.; Li, W.Y. Particle-scale heat and mass transfer processes during the pyrolysis of millimeter-sized lignite particles with solid heat carriers. Appl. Therm. Eng. 2023, 219, 119372. [Google Scholar] [CrossRef]
- Markowich, P.A.; Szmolyan, P. A system of convection–diffusion equations with small diffusion coefficient arising in semiconductor physics. J. Differ. Eqs. 1989, 81, 234–254. [Google Scholar] [CrossRef][Green Version]
- Chaffey, N. Molecular Biology of the Cell; Oxford University Press: Oxford, UK, 2003. [Google Scholar]
- Kucharski, A.J.; Russell, T.W.; Diamond, C.; Liu, Y.; Edmunds, J.; Funk, S.; Eggo, R.M. Early dynamics of transmission and control of COVID-19: A mathematical modelling study. Lancet Infect. Dis. 2020, 20, 553–558. [Google Scholar] [CrossRef] [PubMed]
- Ratnakar, R.R.; Dindoruk, B. The Role of Diffusivity in Oil and Gas Industries: Fundamentals, Measurement, and Correlative Techniques. Processes 2022, 10, 1194. [Google Scholar] [CrossRef]
- Criado, C.; Galán-Montenegro, P.; Velásquez, P.; Ramos-Barrado, J. Diffusion with general boundary conditions in electrochemical systems. J. Electroanal. Chem. 2000, 488, 59–63. [Google Scholar] [CrossRef]
- Yan, H.S.; Ma, K.P. Competitive diffusion process of repurchased products in knowledgeable manufacturing. Eur. J. Oper. Res. 2011, 208, 243–252. [Google Scholar] [CrossRef]
- Mahajan, V.; Muller, E.; Bass, F.M. New product diffusion models in marketing: A review and directions for research. J. Mark. 1990, 54, 1–26. [Google Scholar] [CrossRef]
- Shinde, A.; Takale, K. Study of Black–Scholes Model and its Applications. Procedia Eng. 2012, 38, 270–279. [Google Scholar] [CrossRef]
- Lebedeva, M.I.; Brantley, S.L. Weathering and erosion of fractured bedrock systems. Earth Surf. Process. Landforms 2017, 42, 2090–2108. [Google Scholar] [CrossRef]
- Pant, P. Diffusion Equations for Fluid Flow in Porous Rocks. SAMRIDDHI J. Phys. Sci. Eng. Technol. 2017, 9, 5–13. [Google Scholar] [CrossRef]
- Watson, E.B.; Baker, D.R. Chemical diffusion in magmas: An overview of experimental results and geochemical applications. In Physical Chemistry of Magmas; Springer: New York, NY, USA, 1991; pp. 120–151. [Google Scholar]
- Crank, J. The Mathematics of Diffusion; Oxford University Press: Oxford, UK, 1975. [Google Scholar]
- Almeida, R.; Bastos, N.R.; Monteiro, M.T.T. Modeling some real phenomena by fractional differential equations. Math. Methods Appl. Sci. 2016, 39, 4846–4855. [Google Scholar] [CrossRef]
- Tarasov, V.; Zaslavsky, G. Fractional dynamics of systems with long-range interaction. Commun. Nonlinear Sci. Numer. Simul. 2011, 11, 885–898. [Google Scholar] [CrossRef]
- Al-Refai, M.; Abdeljawad, T. Analysis of the fractional diffusion equations with fractional derivative of non-singular kernel. Adv. Differ. Eqs. 2017, 2017, 315. [Google Scholar] [CrossRef]
- Luchko, Y. Fractional differential equations with the general fractional derivatives of arbitrary order in the Riemann–Liouville sense. Mathematics 2022, 10, 849. [Google Scholar] [CrossRef]
- Almeida, R.; Malinowska, A.B.; Monteiro, M.T.T. Fractional differential equations with a Caputo derivative with respect to a kernel function and their applications. Math. Methods Appl. Sci. 2018, 41, 336–352. [Google Scholar] [CrossRef]
- Hassan, S.K.; Alazzawi, S.N.A.; Ibrahem, N.M. Some Results in Grűnwald–Letnikov Fractional Derivative and its Best Approximation. J. Phys. Conf. Ser. 2021, 1818, 012020. [Google Scholar] [CrossRef]
- Odibat, Z.; Baleanu, D. On a New Modification of the Erdélyi–Kober Fractional Derivative. Fractal Fract. 2021, 5, 121. [Google Scholar] [CrossRef]
- Omaba, M.E.; Enyi, C.D. Atangana–Baleanu time-fractional stochastic integro-differential equation. Partial. Differ. Equ. Appl. Math. 2021, 4, 100100. [Google Scholar] [CrossRef]
- Herrmann, R. Fractional Calculus: An Introduction for Physicists; World Scientific: Singapore, 2014. [Google Scholar]
- Guo, B.; Pu, X.; Huang, F. Fractional Partial Differential Equations and Their Numerical Solutions; World Scientific: Singapore, 2015. [Google Scholar]
- Lin, Y.; Xu, C. Finite difference/spectral approximations for the time-fractional diffusion equation. J. Comput. Phys. 2007, 225, 1533–1552. [Google Scholar] [CrossRef]
- Li, L.; Wang, D. Numerical stability of Grünwald–Letnikov method for time fractional delay differential equations. BIT Numer. Math. 2022, 62, 995–1027. [Google Scholar] [CrossRef]
- Tian, Q.; Yang, X.; Zhang, H.; Xu, D. An implicit robust numerical scheme with graded meshes for the modified Burgers model with nonlocal dynamic properties. Comput. Appl. Math. 2023, 42, 1–26. [Google Scholar] [CrossRef]
- Jiang, X.; Wang, J.; Wang, W.; Zhang, H. A Predictor–Corrector Compact Difference Scheme for a Nonlinear Fractional Differential Equation. Fractal Fract. 2023, 7, 521. [Google Scholar] [CrossRef]
- Yang, X.; Wu, L.; Zhang, H. A space-time spectral order sinc-collocation method for the fourth-order nonlocal heat model arising in viscoelasticity. Appl. Math. Comput. 2023, 457, 128192. [Google Scholar] [CrossRef]
- Zhang, H.; Yang, X.; Tang, Q.; Xu, D. A robust error analysis of the OSC method for a multi-term fourth-order sub-diffusion equation. Comput. Math. Appl. 2022, 109, 180–190. [Google Scholar] [CrossRef]
- Zayernouri, M.; Matzavinos, A. Fractional Adams–Bashforth/Moulton methods: An application to the fractional Keller–Segel chemotaxis system. J. Comput. Phys. 2016, 317, 1–14. [Google Scholar] [CrossRef]
- Li, C.; Zeng, F. Finite difference methods for fractional differential equations. Int. J. Bifurc. Chaos 2012, 22, 1230014. [Google Scholar] [CrossRef]
- Daftardar-Gejji, V.; Sukale, Y.; Bhalekar, S. A new predictor–corrector method for fractional differential equations. Appl. Math. Comput. 2014, 244, 158–182. [Google Scholar] [CrossRef]
- Shen, S.; Liu, F. Error analysis of an explicit finite difference approximation for the space fractional diffusion equation with insulated ends. Anziam J. 2005, 46, C871–C887. [Google Scholar] [CrossRef]
- Liu, F.; Shen, S.; Anh, V.; Turner, I.T. Analysis of a discrete non-Markovian random walk approximation for the time fractional diffusion equation. Anziam J. 2005, 46, C488–C504. [Google Scholar] [CrossRef]
- Yang, Q.; Liu, F.; Turner, I. Numerical methods for fractional partial differential equations with Riesz space fractional derivatives. Appl. Math. Model. 2010, 34, 200–218. [Google Scholar] [CrossRef]
- Chan, T.F. Stability Analysis of Finite Difference Schemes for the Advection-Diffusion Equation. SIAM J. Numer. Anal. 1984, 21, 272–284. [Google Scholar] [CrossRef]
- Konangi, S.; Palakurthi, N.K.; Ghia, U. von Neumann stability analysis of first-order accurate discretization schemes for one-dimensional (1D) and two-dimensional (2D) fluid flow equations. Comput. Math. Appl. 2018, 75, 643–665. [Google Scholar] [CrossRef]
- Evangelista, L.R.; Lenzi, E.K. An Introduction to Anomalous Diffusion and Relaxation; Springer Nature: Cham, Switzerland, 2023. [Google Scholar]
- Mathai, A.M.; Saxena, R.K.; Haubold, H.J. The H-Function; Springer: New York, NY, USA, 2010. [Google Scholar]
- Fan, E.; Li, C.; Stynes, M. Discretised general fractional derivative. Math. Comput. Simul. 2023, 208, 501–534. [Google Scholar] [CrossRef]
- Zhao, D.; Luo, M. Representations of acting processes and memory effects: General fractional derivative and its application to theory of heat conduction with finite wave speeds. Appl. Math. Comput. 2019, 346, 531–544. [Google Scholar] [CrossRef]
- Malacarne, L.C.; Mendes, R.S.; Lenzi, E.K.; Lenzi, M.K. General solution of the diffusion equation with a nonlocal diffusive term and a linear force term. Phys. Rev. E 2006, 74, 042101. [Google Scholar] [CrossRef] [PubMed]
- Zhang, H.; Liu, Y.; Yang, X. An efficient ADI difference scheme for the nonlocal evolution problem in three-dimensional space. J. Appl. Math. Comput. 2023, 69, 651–674. [Google Scholar] [CrossRef]













Disclaimer/Publisher’s Note: The statements, opinions and data contained in all publications are solely those of the individual author(s) and contributor(s) and not of MDPI and/or the editor(s). MDPI and/or the editor(s) disclaim responsibility for any injury to people or property resulting from any ideas, methods, instructions or products referred to in the content. |
© 2023 by the authors. Licensee MDPI, Basel, Switzerland. This article is an open access article distributed under the terms and conditions of the Creative Commons Attribution (CC BY) license (https://creativecommons.org/licenses/by/4.0/).
Share and Cite
Gabrick, E.C.; Protachevicz, P.R.; Lenzi, E.K.; Sayari, E.; Trobia, J.; Lenzi, M.K.; Borges, F.S.; Caldas, I.L.; Batista, A.M. Fractional Diffusion Equation under Singular and Non-Singular Kernel and Its Stability. Fractal Fract. 2023, 7, 792. https://doi.org/10.3390/fractalfract7110792
Gabrick EC, Protachevicz PR, Lenzi EK, Sayari E, Trobia J, Lenzi MK, Borges FS, Caldas IL, Batista AM. Fractional Diffusion Equation under Singular and Non-Singular Kernel and Its Stability. Fractal and Fractional. 2023; 7(11):792. https://doi.org/10.3390/fractalfract7110792
Chicago/Turabian StyleGabrick, Enrique C., Paulo R. Protachevicz, Ervin K. Lenzi, Elaheh Sayari, José Trobia, Marcelo K. Lenzi, Fernando S. Borges, Iberê L. Caldas, and Antonio M. Batista. 2023. "Fractional Diffusion Equation under Singular and Non-Singular Kernel and Its Stability" Fractal and Fractional 7, no. 11: 792. https://doi.org/10.3390/fractalfract7110792
APA StyleGabrick, E. C., Protachevicz, P. R., Lenzi, E. K., Sayari, E., Trobia, J., Lenzi, M. K., Borges, F. S., Caldas, I. L., & Batista, A. M. (2023). Fractional Diffusion Equation under Singular and Non-Singular Kernel and Its Stability. Fractal and Fractional, 7(11), 792. https://doi.org/10.3390/fractalfract7110792

