Prediction of Dielectric Constant of Polyurethane Grouting Materials Based on Fractal Characteristics
Abstract
1. Introduction
2. Fractal Dimension Calculation of Polyurethane Grouting Materials
2.1. Fractal Theory
2.2. Box-Counting Method Based on Binary Image
2.2.1. Box-Counting Method
2.2.2. Box Counting Method Based on the Binary Image and Algorithm Validation
2.3. Box-Counting Method Based on Binary Image
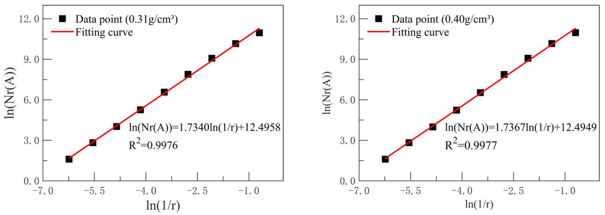
2.3.1. Fractal Dimension Calculation
| 2 | 4 | 8 | 16 | 32 | 64 | 128 | 256 | 512 | |
|---|---|---|---|---|---|---|---|---|---|
| 57,537 | 25,804 | 8765 | 2663 | 711 | 192 | 56 | 17 | 5 | |
| 57,898 | 25,925 | 8731 | 2630 | 690 | 188 | 54 | 17 | 5 |
2.3.2. Fractal Dimension Verification
3. Dielectric Model of Polyurethane Grouting Material Based on Fractal Geometry
3.1. Series-Parallel Dielectric Model
3.2. Menger Sponge Fractal Model
3.3. n-Stage Dielectric Model Construction
3.3.1. ε1 and ε3 Calculation
3.3.2. n-Stage Dielectric Model
4. Model Parameter Calculation and Model Validation
4.1. Dielectric Property Testing
4.1.1. Raw Materials
4.1.2. Specimen Fabrication
4.1.3. Experimental Methods and Equipment
4.2. Model Parameter Determination
4.3. Model Validation
5. Conclusions
Author Contributions
Funding
Data Availability Statement
Conflicts of Interest
Abbreviations
| PU | polyurethane |
| MRE | mean relative error |
| 2D | two-dimensional |
| 3D | Three-dimensional |
References
- Thovert, J.F.; Wary, F.; Adler, P.M. Thermal conductivity of random media and regular fractals. J. Appl. Phys. 1990, 68, 3872–3883. [Google Scholar] [CrossRef]
- Adler, P.M. Transports in fractal porous media. J. Hydrol. 1996, 187, 195–213. [Google Scholar] [CrossRef]
- Tang, Y.; Yu, B.; Hu, Y.; Cai, J.; Feng, Y.; Xu, P. A self-similarity model for dielectric constant of porous ultra low-k dielectrics. J. Phys. D Appl. Phys. 2007, 40, 5377. [Google Scholar] [CrossRef]
- Hegedus, L.L.; Pereira, C.J. Reaction engineering for catalyst design. Chem. Eng. Sci. 1990, 45, 2027–2044. [Google Scholar] [CrossRef]
- Thompson, A.H.; Katz, A.J.; Krohn, C.E. The microgeometry and transport properties of sedimentary rock. Adv. Phys. 1987, 36, 625–694. [Google Scholar] [CrossRef]
- Dong, X. Studies on the Microstructure and Its Impact on Electrical and Thermal Properties of Porous Low-K Materials. Ph.D. Thesis, Huazhong University of Science and Technology, Wuhan, China, 2010. [Google Scholar]
- Krohn, C.; Thompson, A. Fractal sandstone pores: Automated measurements using scanning-electron-microscope images. Phys. Rev. B 1986, 33, 6366–6374. [Google Scholar] [CrossRef]
- Li, Z.; Gong, Y.; Wao, D.; Sun, Y.; Hong, X.; Wu, Z.; Wu, Z. Fractal characteristics of mesoporous silica. Nucl. Tech. 2004, 1, 14–17. [Google Scholar]
- Lv, J.; Dai, J.; Song, X.; Sun, Z. Multi-fractal spectra of TEM images of MoO3nanofibres. J. Funct. Mater. 2008, 6, 1056–1058. [Google Scholar]
- Peng, R.; Yang, Y.; Ju, Y.; Mao, L.; Yang, Y. Computation of fractal dimension of rock pores based on gray CT images. Chin. Sci. Bull. 2011, 56, 3346–3357. [Google Scholar] [CrossRef]
- Liu, F. Preparation and Properties of Superhydrophobic Wood Based on Fractal Theory. Ph.D. Thesis, Northeast Forestry University, Harbin, China, 2023. [Google Scholar] [CrossRef]
- Bird, N.; Díaz, M.C.; Saa, A.; Tarquis, A.M. Fractal and multifractal analysis of pore-scale images of soil. J. Hydrol. 2006, 322, 211–219. [Google Scholar] [CrossRef]
- Liu, K.; Ostadhassan, M. Multi-scale fractal analysis of pores in shale rocks. J. Appl. Geophys. 2017, 140, 1–10. [Google Scholar] [CrossRef]
- Pesquet-Popescu, B.; Vehel, J.L. Stochastic fractal models for image processing. Signal Process. Mag. IEEE 2011, 19, 48–62. [Google Scholar] [CrossRef]
- Wen, Y.; Liu, X.; Zhang, J.; Ma, Y. Mechanical properties and pore structure research of geopolymer cold-bonded lightweight aggregate concrete using fractal theory. Acta Mater. Compos. Sin. 2025, 42, 5122–5134. [Google Scholar] [CrossRef]
- Perrier, E.; Rieu, M.; Sposito, G.; De Marsily, G. Models of the water retention curve for soils with a fractal pore size distribution. Water Resour. Res. 1996, 32, 3025–3031. [Google Scholar] [CrossRef]
- Jain, R.; Pitchumani, R. Fractal Model for Wettability of Rough Surfaces. Langmuir 2017, 33, 7181–7190. [Google Scholar] [CrossRef]
- Hatte, S.; Pitchumani, R. Fractal Model for Drag Reduction on Multiscale Nonwetting Rough Surfaces. Langmuir 2020, 36, 14386–14402. [Google Scholar] [CrossRef]
- Wei, S.; Pengda, Z. Theoretical study of statistical fractal model with applications to mineral resource prediction. Comput. Geoences 2002, 32, 369–376. [Google Scholar] [CrossRef]
- Zhang, L.-Z. A fractal model for gas permeation through porous membranes. Int. J. Heat Mass Transf. 2008, 51, 5288–5295. [Google Scholar] [CrossRef]
- Huang, G.; Zhang, R. Evaluation of soil water retention curve with the pore–solid fractal model. Geoderma 2005, 127, 52–61. [Google Scholar] [CrossRef]
- Chao, X.; Tian, W.; Xu, F.; Shou, D. A fractal model of effective mechanical properties of porous composites. Compos. Sci. Technol. 2021, 213, 108957. [Google Scholar] [CrossRef]
- Pia, G.; Sanna, U. A geometrical fractal model for the porosity and thermal conductivity of insulating concrete. Constr. Build. Mater. 2013, 44, 551–556. [Google Scholar] [CrossRef]
- Atzeni, C.; Pia, G.; Sanna, U.; Spanu, N. A fractal model of the porous microstructure of earth-based materials. Constr. Build. Mater. 2008, 22, 1607–1613. [Google Scholar] [CrossRef]
- Pitchumani, R.; Yao, S.C. Correlation of Thermal Conductivities of Unidirectional Fibrous Composites Using Local Fractal Techniques. J. Heat Transf. 1991, 113, 788–796. [Google Scholar] [CrossRef]
- Pitchumani, R. Evaluation of Thermal Conductivities of Disordered Composite Media Using a Fractal Model. J. Heat Transf. 1999, 121, 163–166. [Google Scholar] [CrossRef]
- Zhang, D.; Jin, F.; Shi, M.; Yang, H. Heat Conduction in Fractal Porous Madia. J. Appl. Sci. 2003, 3, 253–257. [Google Scholar]
- Zhang, D.; Yang, H.; Shi, M. Important problems of fractal model in porous media. J. Southeast Univ. (Nat. Sci. Ed.) 2002, 5, 692–697. [Google Scholar]
- Rayleigh, L. On the influence of obstacles arranged in rectangular order upon the properties of a medium. Lond. Edinb. Dublin Philos. Mag. J. Sci. 1892, 34, 481–502. [Google Scholar] [CrossRef]
- Subedi, P.; Chatterjee, I. Dielectric Mixture Model for Asphalt-Aggregate Mixitures. J. Microw. Power Electromagn. Energy 1993, 28, 68–72. [Google Scholar] [CrossRef]
- Garnett, J.C.M. Colours in Metal Glasses and in Metallic Films. Proc. R. Soc. Lond 1904, 73, 443–445. [Google Scholar] [CrossRef]
- Mironov, V.L.; Dobson, M.C.; Kaupp, V.H.; Komarov, S.A.; Kleshchenko, V.N. Generalized refractive mixing dielectric model for moist soils. IEEE Trans. Geosci. Remote Sens. 2004, 42, 773–785. [Google Scholar] [CrossRef]
- Zhai, Y.; Zhang, B.; Wang, F.; Zhong, Y.; Li, X. Composite Dielectric Model of Asphalt Mixtures Considering Mineral Aggregate Gradation. J. Mater. Civ. Eng. 2019, 31, 04019091. [Google Scholar] [CrossRef]
- Cai, Y.; Wang, F.; Liu, J. Road surface material dielectric constant non-uniform model radar electromagnetic wave simulation. J. Dalian Univ. Technol. 2009, 49, 571–575. [Google Scholar]
- Fang, H.; Dong, Z.; Xue, B.; Lei, J. Analysis of Ground Penetrating Radar Wave Field Characteristics of Dam Face Disengaging Repaired by Polymer Grouting. J. Zhengzhou Univ. (Eng. Sci.) 2024, 45, 1–6+13. [Google Scholar] [CrossRef]
- Fang, H.; Liu, K.; Du, X.; Wang, F. Experiment and numerical simulation of water plugging law of permeable polymer in the water-rich sand layer. Sci. Sin. Technol. 2023, 53, 457–472. [Google Scholar] [CrossRef]
- Zhang, C.; Pan, W.; Fang, H.; Wang, J.; Wang, C.; Du, M. Research Progress of the Cell Structure Characteristics and Compressive Properties of Polyurethane Foam Grouting Rehabilitation Materials. Mater. Rep. 2024, 38, 229–242. [Google Scholar]
- Zhong, Y. Inverse Analysis of Dielectric Properties of Layered Structuresand the Applications in Engineering. Ph.D.Thesis, Dalian University of Technology, Dalian, China, 2006. [Google Scholar]
- Li, S. The Multiclass Inverse Analysis of the Multiphase VolumeRatio of Asphalt Mixtures Based on Dielectric Modelingand Its Engineering Applications. Ph.D.Thesis, Zhengzhou University, Zhengzhou, China, 2020. [Google Scholar]
- Zhu, H.; Ji, C. Fractal Theory and Its Applications; Science Press: Beijing, China, 2011. [Google Scholar]
- Robertson, M.C.; Sammis, C.G.; Sahimi, M.; Martin, A.J. Fractal analysis of 3D spatial distributions of earthquakes with a percolation interpretation. J. Geophys. Res. 1995, 100, 609–620. [Google Scholar] [CrossRef]
- Gibson, J.R.; Lin, H.; Bruns, M.A. A comparison of fractal analytical methods on 2- and 3-dimensional computed tomographic scans of soil aggregates. Geoderma 2006, 134, 335–348. [Google Scholar] [CrossRef]
- Wang, J.; Li, X.; Wang, C.; Zhang, C.; Fang, H.; Deng, Y. Quantitative analysis of the representative volume element of polymer grouting materials based on geometric homogenization. Constr. Build. Mater. 2021, 300, 124223. [Google Scholar] [CrossRef]
- Meng, M.L.; Zhao, X.; Yao, J.H.; Yang, M.L. Polymer Strength Prediction Model Based on Dielectric Constant. Adv. Polym. Technol. 2025, 2025, 7762703. [Google Scholar] [CrossRef]
- Liu, H. Research on Anchoring Characters of Non-Water Reacted Polymer Grouting Materials. Ph.D. Thesis, Zhengzhou University, Zhengzhou, China, 2017. [Google Scholar]
- Fang, H.; Su, Y.; Du, X.; Wang, F.; Li, B. Experimental and Numerical Investigation on Repairing Effect of Polymer Grouting for Settlement of High-Speed Railway Unballasted Track. Appl. Sci. 2019, 9, 4496. [Google Scholar] [CrossRef]
- GB/T 8811-2008; Rigid Cellular Plastics—Test Method for Dimensional Stability. National Standardization Administration: Beijing, China, 2008.
- GB/T 6343-2009; Cellular Plastics and Rubbers—Determination of Apparent Density. Standardization Administration of the People’s Republic of China: Beijing, China, 2009.
- Meng, M.; Chen, Z. Construction of Dielectric Model of Nonaqueous Reactive Polyurethane Grouting Materials. Adv. Polym. Technol. 2022, 2022, 1398724. [Google Scholar] [CrossRef]











| Fractal Geometry | Image | Theoretical Value | BC Algorithm Calculation Value | Error (%) | Image Resolution |
|---|---|---|---|---|---|
| Sierpinski triangle | ![]() | 1.585 | 1.5836 | 0.088 | 1024 × 887 |
| DLA fractal | ![]() | 1.700 | 1.6591 | 2.406 | 750 × 712 |
| Koch fractal | ![]() | 1.262 | 1.2628 | 0.063 | 877 × 877 |
| Vicsek fractal | ![]() | 1.465 | 1.4549 | 0.689 | 1284 × 1286 |
| Square | ![]() | 2.000 | 1.9886 | 0.570 | 499 × 499 |
| Model Name | Equation | Parameters |
|---|---|---|
| Maxwell-Garnet model | —the dielectric constants of the composite material; —the dielectric constants of the matrix; -th type of inclusion; -th type of inclusion. | |
| Rayleigh model | —the volume fraction of the composite medium; —the dielectric constant of the components of the composite medium. | |
| Li Jianhao model | ||
| Series model | —the dielectric constants of PU grouting material; —the dielectric constants of the matrix; —the dielectric constants of the pores; —the volume fractions of the matrix; —the volume fractions of the pores. | |
| Parallel model |
| Category | Polyether Polyol | Isocyanate |
|---|---|---|
| Vulgo | White material | Black material |
| Color | Claybank | Brownish red |
| Solid content (%) | >99 | >99 |
| Density (25 °C)/g·cm−3 | 1.01 | 1.23 |
| Viscosity (25 °C)/MPa·s | 720 ± 50 | 350 ± 50 |
| -OH/mgKOH·g−1 | 330 ± 15 | —— |
| -NCO/wt% | —— | 21.7 ± 0.5% |
| Water content/% | <0.2 | 0 |
| Ignition points/°C | >200 | >200 |
| Smell | No obvious pungent odor | No obvious pungent odor |
Disclaimer/Publisher’s Note: The statements, opinions and data contained in all publications are solely those of the individual author(s) and contributor(s) and not of MDPI and/or the editor(s). MDPI and/or the editor(s) disclaim responsibility for any injury to people or property resulting from any ideas, methods, instructions or products referred to in the content. |
© 2026 by the authors. Licensee MDPI, Basel, Switzerland. This article is an open access article distributed under the terms and conditions of the Creative Commons Attribution (CC BY) license.
Share and Cite
Meng, M.; Zhao, X.; Song, S.; Yang, M. Prediction of Dielectric Constant of Polyurethane Grouting Materials Based on Fractal Characteristics. Fractal Fract. 2026, 10, 70. https://doi.org/10.3390/fractalfract10010070
Meng M, Zhao X, Song S, Yang M. Prediction of Dielectric Constant of Polyurethane Grouting Materials Based on Fractal Characteristics. Fractal and Fractional. 2026; 10(1):70. https://doi.org/10.3390/fractalfract10010070
Chicago/Turabian StyleMeng, Meili, Xiao Zhao, Shuangliang Song, and Maolin Yang. 2026. "Prediction of Dielectric Constant of Polyurethane Grouting Materials Based on Fractal Characteristics" Fractal and Fractional 10, no. 1: 70. https://doi.org/10.3390/fractalfract10010070
APA StyleMeng, M., Zhao, X., Song, S., & Yang, M. (2026). Prediction of Dielectric Constant of Polyurethane Grouting Materials Based on Fractal Characteristics. Fractal and Fractional, 10(1), 70. https://doi.org/10.3390/fractalfract10010070





