Next Article in Journal
Urban Institutional Vulnerabilities: A Multi-Source SETS Framework Analysis of Flood Disaster Management Breakdown in Valencia’s Urban–Ecological Interface
Previous Article in Journal
Backyard Poultry Farming Among Urban Poor Households in Bangladesh: Production Capacity and Potential Contribution to Food Security
 
 
Font Type:
Arial Georgia Verdana
Font Size:
Aa Aa Aa
Line Spacing:
Column Width:
Background:
Article

A 4-Year Field Experiment on an Urban Permeable Sidewalk on Its Runoff and Surface Temperature Performance

Department of Civil Engineering, National Taipei University of Technology, Taipei City 106344, Taiwan
*
Author to whom correspondence should be addressed.
Urban Sci. 2025, 9(11), 473; https://doi.org/10.3390/urbansci9110473
Submission received: 2 October 2025 / Revised: 1 November 2025 / Accepted: 6 November 2025 / Published: 11 November 2025
(This article belongs to the Topic Sustainable Built Environment, 2nd Volume)

Abstract

Permeable pavement is commonly used for urban stormwater management and urban heat island mitigation. It has been proven that permeable pavement has such benefits; however, the clogged permeable pavement could lose its function, and there are relatively few studies on its long-term monitoring. This study monitored an in-use permeable sidewalk in central Taipei City, Taiwan, and presented its four-year performance. In the study area, the permeable sidewalk occupies nearly half of the drainage area. The onsite data showed that the average runoff reduction rate in the first year (2021) was 41.2% but decreased to 28.8% in the fourth year (2024). The differences in runoff reduction rate between different rainfall patterns are also discussed. If the permeable pavement is not cleaned, it might lose its permeability after 7 years. The results of the surface temperature monitoring show that the average surface temperature of permeable pavement is maintained at 28.8 °C over the four-year period, whereas the surface temperature of impermeable pavement increases annually. This finding verified that permeable pavement is helpful in stabilizing surface temperatures in urban areas, thereby combating the warming environment. In addition, Wet Bulb Globe Temperature (WBGT) was tested in this study. The results of WBGT showed that the WBGT above the permeable pavement is lower than that on impermeable pavements by about 1–2 °C from 12 p.m. to 16 p.m. This implies that permeable pavement may contribute to a comfortable thermal environment for the public. The results of this study provide crucial information for maintaining permeable pavement and enhancing its beneficial functions.

1. Introduction

Urbanization, coupled with climate change, is leading to increasingly high temperatures in cities, exacerbating the urban heat island effect. Global temperatures have been rising in recent years, with frequent high-temperature and heat-related incidents reported worldwide [1,2]. Land use would change surface albedo, and urbanization with dense land cover enhances the albedo-induced warming [3]. Therefore, urban areas have an increasing surface temperature compared to vegetated areas [4]. As a result, urban heat island (UHI) effects become worse. Cooling cities and helping people reduce heat risk have been urgent topics in recent years. Many adaptation solutions are adopted, for example, Feng et al. (2023) [5] summarized innovative mitigation materials, advanced urban greenery, heat dissipation, and evaporative techniques as strategies to offset urban overheating.
Among the discussions on reducing UHI in urban areas, the change in land cover is fundamentally recommended, and the use of permeable pavement is suggested [6,7,8,9]. Permeable pavement serves as a reflective and evaporative pavement, which provides cooler surface temperature [10,11,12]. Not only is it reflective, but the absorbed water also evaporates, helping to release heat. Therefore, the absorbed water in permeable pavement and the evaporative cooling effect are the crucial factors which keep a cool temperature [9,11,13,14,15]. Permeable pavements modify urban surface properties, offering multiple benefits, including environmental, ecological, social, and economic aspects [16,17]. Before the attention on UHI, permeable pavement has been applied as a green infrastructure for urban stormwater control [18,19]. Rainfall can be infiltrated and stored in permeable pavement, reducing runoff and possible flooding. It is a frontline infrastructure for delaying flood peaks and reducing water pollution, possessing both engineering and ecological benefits [20,21]. Therefore, permeable pavements provide a stormwater management and UHI management strategy simultaneously [22,23,24]. Both benefits are related to the water retention ability provided by permeable pavement. It absorbs rainwater, slowing surface heat accumulation through stored water and evaporation, thereby creating a moderating urban microclimate [17,25]. In Lu et al.’s (2022) [26] study, the maximum cooling performance is 5–6 °C, and the cooling duration can last up to 10 h on rainy days. Callejas et al. (2023) [15] observed that the cooling effect after precipitation could last on average 12 h. Moreover, Li et al. (2013) [10] found that the evaporative cooling effect of permeable pavements performed 2–7 °C lower for 25 h after watering. The water-holding pavement is the key factor in cooling down surface temperature; however, the moisture in the layer would reduce the infiltration ability and then reduce the function of retaining runoff. The design of permeable pavement, such as the pore characteristics and aggregate size, should consider adequate permeability [21,27]. In the study by Zhao et al. [24], ceramic permeable bricks (PB) are an optimal material choice.
Permeable pavements contribute to urban stormwater management and UHI management because of their adequate permeability. The water retention or cooling benefits of permeable pavements come from their ability to retain water, but permeable pavements can become clogged over time, and reduced porosity directly impacts their permeability and cooling capabilities. Currently, there is a lack of long-term observations on the performance of permeable pavements, particularly the actual permeable pavement cases [19,28]. Clogging naturally occurs in outdoor sites, and the performance of permeable pavement is reduced by clogging [29]. Therefore, reducing or preventing prolonged clogging is a key way to maintain the performance of permeable pavements. In this study, an in-use permeable pavement sidewalk in Taipei City, the capital city of Taiwan, was measured, and the four-year field data were presented. Taipei City is situated in a basin with high-density buildings, and urban temperatures are consistently 1–3 °C higher than those in suburban areas year-round, with nighttime temperature differences reaching 5 °C under extreme conditions [30,31]. The increased surface heat accumulation and runoff caused by the imperviousness of urban surfaces pose challenges for Taipei City. The Taipei City government aimed to build a water and green city and modify the impermeable pavement with permeable pavement. In this field site, a permeable sidewalk, an impermeable sidewalk, and the nearby asphalt were measured. In addition to surface temperature, the Wet-Bulb Globe Temperature (WBGT), a commonly used indicator for assessing outdoor heat risk [32,33], is also monitored. Some studies have suggested that permeable paving has the potential to improve local thermal environments, but field measurements of WBGT are rare, and its impact on thermal comfort over time remains unclear [34,35]. Therefore, the objective of this study is to analyze the long-term performance of a field permeable pavement to clarify its ability to cool the temperature and reduce runoff over time. Although numerous studies on permeable pavement are available, the monitoring of an operational case for several years remains rare. In this study, surface temperature, WBGT, and runoff reduction are measured from an in-use permeable sidewalk in a highly dense urban area, not a pilot case or a laboratory experiment. With these observations, a better understanding of the pavements’ actual performance is achieved, and effective maintenance suggestions can be derived.

2. Materials and Methods

2.1. Study Area

Taipei City is located in northern Taiwan within the Taipei Basin, covering an area of approximately 271.79 square kilometers. Surrounded by mountains, the terrain is characterized by high elevations on all sides and low elevations in the center, which traps air and heat. This results in a particularly pronounced UHI effect in Taipei City, with the city center, particularly Wanhua, Zhongzheng, and Datong districts, experiencing significantly higher temperatures than the suburbs. Taipei City has a subtropical monsoon climate with distinct seasonal variations, abundant rainfall, hot and humid summers, and relatively mild winters. The average annual temperature is approximately 23.3 °C, with the coldest month being January (average 17.7 °C) and the hottest month being August (average 32.5 °C). In recent years, due to climate change and the UHI effect, summer highs have frequently exceeded 38 °C, and nighttime temperatures have been relatively high, leading to decreased thermal comfort. Over 70% of Taipei’s urban area is built up, but its green space is lower than that of other international cities.
The site selected for this study was located at the intersection of two major roads in Taipei City, on the sidewalk in front of the Zhongxiao Xinsheng MRT Station exit. This site features three types of pavement: permeable, impermeable, and asphalt pavement, all of which are adjacent and in similar conditions, making it a suitable control area for long-term comparisons. The original road pavement was impermeable, but the pavement in front of the MRT exit was converted to permeable due to sidewalk improvements. The permeable pavement was completed in 2020, and monitoring began in March 2021. In addition to the pavement thermometer, a triangular weir and water level gauge were installed in the roadside drainage ditch to measure runoff within the area. The drainage ditch’s collection area covers a portion of the road’s asphalt pavement and the permeable sidewalk. Not all runoff from the permeable sidewalk area will flow into the outfall where the water level meter is installed. On-site measurements revealed that the drainage area of the runoff outfall contained 221.6 m2 of permeable pavement (sidewalk) and 393.9 m2 of asphalt pavement (road). Figure 1 shows its aerial view and the drainage area of the measured runoff outfall.
The permeable pavement was a multi-layered structure designed to balance infiltration, water storage, and structural stability. From top to bottom, it consisted of six layers (see Figure 2). It comprised 6 cm permeable bricks, 3 cm permeable mortar, 15 cm permeable concrete, and 8 cm graded concrete. The bottom layer was the subsoil, a natural foundation soil layer.
To understand the performance of permeable pavement under natural conditions, this study installed various monitoring devices at the site to record rainfall, pavement temperature, water level, and thermal comfort data. This included a small weather station, a WSC-120 (Jetec Electronics Co., Ltd., Taichung, Taiwan), which monitored temperature, humidity, wind speed, and solar radiation with a 5 min resolution. Precipitation was recorded using a HOBO RG3-M (Onset Computer Corporation, Bourne, MA, USA)rain gauge. For temperature monitoring, a Pt1000-grade (Fenri Co., Ltd., New Taipei City, Taiwan) temperature sensor was installed 5 cm below the surface of each of the three types of pavement to record surface temperature fluctuations. Runoff was measured using an eyc-tech L051 (Yuden-tech C., Ltd., New Taipei City, Taiwan) water level sensor and triangular weirs placed in the drainage ditch, and surface runoff was estimated using a weir-flow formula. The monitoring instrument locations are shown in Figure 3, and the monitoring equipment is shown in Figure 4.

2.2. Runoff Reduction Rate

Rainfall runoff is analyzed using hydrometers and triangular weirs. The weir flow formula is Q = 0.2744 × (h − 0.2)2.5 (m3/s), where h is the water depth above the crest and is measured by the water level meter. The water level sensor is adjusted every two weeks. This flow rate represents the runoff generated within the entire drainage area. To understand the runoff reduction due to permeable pavement, the total runoff for the entire area must be estimated first. The recorded runoff is deducted from the total runoff. The reduction is then the runoff reduction contribution of the permeable pavement, and the runoff reduction rate is calculated from this. The calculation formula is as follows:
r u n o f f   r e d u c t i o n   r a t e   % = t h e   t o t a l   r a i n f a l l     v o l u m e   i n   t h e   d r a i n a g e   a r e a     t h e   o b s e r v e d   r u n o f f   v o l u m e t h e   t o t a l   r a i n f a l l   v o l u m e   r e c e i v e d   b y   p e r m e a b l e   p a v e m e n t × 100 %
The total rainfall volume on the site is calculated by multiplying the measured rainfall by the catchment area. Assuming no other losses occur during a rainfall event, such as evaporation or ponding, the reduced runoff volume is attributed to the infiltration and storage provided by the permeable pavement. Each rainfall event is individually calculated to serve as the basis for evaluating the benefits of runoff regulation. Since this calculation is based on each rainfall event, evaporation in wet weather is assumed to be zero. The pavements are assumed to have no ponding. The total drainage area is not large, so it is assumed that there is no lateral flow. Ponding and lateral flow are difficult to measure; therefore, they are simplified to zero in the calculation.
To systematically analyze the impact of rainfall patterns on runoff reduction from permeable pavement, this study categorizes rainfall patterns into nine types based on rainfall delay and intensity, as shown in Table 1. The statistical classification of different rainfall events is shown in Table 2. Subsequent analyses will not only analyze individual rainfall events but also examine the effect of permeable pavement on reducing different rainfall types.

2.3. WBGT

This study selected WBGT as the thermal comfort evaluation metric because it simultaneously considers comprehensive heat load factors, including temperature, humidity, solar radiation, and wind speed, and is highly representative of outdoor environments. Based on the ISO 7243 standard [36], the WBGT calculation formula is as follows:
W B G T = 0.7 T a + 0.2 T g + 0.1 T w
where Ta is dry-ball temperature, Tg is black-ball temperature, and Tw is wet-ball temperature.
To thoroughly analyze the impact of different pavement types and years of use on pedestrian thermal comfort, WBGT tests were conducted. This was performed to compare the WBGT values of permeable and impermeable pavements. Additionally, the WBGT of permeable pavements after four years of use and one year of use was estimated. The permeable pavement of this base was completed in 2020 and has been in use for four years by 2024. However, part of the area was cleaned with a high-pressure water gun in October 2024. After the area was cleaned, an on-site infiltration test was conducted, and it showed that the infiltration rate exceeded the standard set by the Public Works Commission, as if it had just been installed. The required infiltration rate of permeable pavement is equal to or larger than 1 × 10−2 cm/s. Before cleaning, the on-site infiltration test was implemented to estimate the rate after four years of use. The test is the falling-head test, and Darcy’s law is used. This on-site experiment tested 5 points in the study area, and the average rate was 1.31 × 10−2 cm/s. This means that after four years of use, the permeable pavement still matches the required standard. However, after cleaning with a high-pressure wash, the infiltration rate increased to 1.64 × 10−1 cm/s, which represents a newly installed or one-year permeable pavement. Therefore, this study regarded it as “permeable pavement with one year of use”. The current permeable pavement, which has not been cleaned, was considered “permeable pavement with four years of use.” The locations of the three experimental objects are shown in Figure 5.
This study used the Tenmars TM-188D (Tenmars Electronics Co., Ltd., Taipei, Taiwan) Integrated Temperature Heat Index Meter to measure WBGT (Figure 6A). This device is a highly sensitive, fast-response capacitive humidity sensor designed specifically for monitoring the wet-bulb globe temperature (WBGT) index. It is suitable for environmental heat stress assessment and can be widely used in high-temperature workplaces such as factories, construction sites, sports fields, and training grounds to prevent health risks such as heatstroke and heat exhaustion. It also features maximum, minimum, average, and reading hold functions to ensure real-time monitoring of environmental heat loads. Furthermore, according to ISO 7726 [37], the measuring instrument should be mounted at a height of 0.6 or 1.1 m, corresponding to the center of gravity height of a person in a sitting or standing position (Figure 6B). Therefore, this study used a measuring instrument mounted on a tripod 0.6 m above the ground and placed at the center of each measurement point. Depending on the site’s environmental conditions, the instrument’s placement could be fine-tuned to ensure data accuracy. Data was recorded every five minutes.

3. Results and Discussion

3.1. Runoff Reduction

During the four years of observed rainfall events, measurements began in March 2021 due to equipment issues. A total of 34 rainfall events were recorded in 2021, 38 in 2022, 33 in 2023, and 43 in 2024. Records of each rainfall event were listed in the supplementary materials. Comparative analysis of the four-year cumulative data revealed a decreasing annual reduction rate (Figure 7). Reduction performance was similar in the first and second years, but declined from the third year, with the fourth year achieving a lower reduction rate. The average runoff rates for each year were 41.2%, 37.9%, 35.7%, and 28.8%, respectively. However, even after four years of operation, the permeable pavement system maintained a runoff reduction efficiency of 25%.
Using the four-year performance to predict the future trend, shown in Figure 8, it was estimated that the runoff rate will drop to 1% in the seventh year after operation. The clogging processes are not linear, but clogging might be cleaned by natural rainfall events. It is challenging to identify a suitable function to model the clogging process in the real world. For example, the reference [29] focused on the clogging and cooling performance of permeable pavements. In their model, although clogging is nonlinear, a linear model was employed to illustrate the relationship between cooling performance and porosity in permeable pavements. Several regression models were tested in this study, and the quadratic equation had the highest R2. Therefore, the resulting trend was demonstrated, providing the prediction. If this pavement were operated as usual, it might lose its permeable function after 7 years.
Table 3 summarizes the average runoff reduction rate of the permeable pavement under different rainfall patterns from 2021 to 2024, demonstrating that the effectiveness of permeable pavement declines annually with age. Under heavy rainfall scenarios, the reduction rate showed a significant downward trend, regardless of rainfall duration. For example, under short-duration and strong intensity rainfall, the reduction rate dropped from 32.4% in 2021 to 22.1% in 2024, indicating that the pavement system’s drainage and water retention capacity declined most significantly under high-intensity rainfall. The reduction rate was relatively high under moderate and light rainfall conditions and was particularly stable under long-delay light rainfall (50.9% in 2021 and 48.1% in 2024), demonstrating that permeable pavement retains its effective water storage and infiltration capabilities even under milder rainfall. Overall, the reduction rate decreased more significantly with greater rainfall intensity and shorter rainfall delays, reflecting the need for regular maintenance of permeable pavement to maintain its runoff regulation effectiveness.
Permeable pavement’s runoff reduction benefits were relatively low during short-duration and intense rainfall events. Conversely, long-duration rainfall events exhibit significantly greater runoff reduction. Figure 9 below shows that runoff reduction rates decrease with increasing total rainfall and rainfall intensity. This indicates that when rainfall intensity or accumulated rainfall is excessively high, the permeable pavement’s water retention and reduction capabilities gradually reach saturation, leading to a decline in its benefits.
A significance analysis revealed that the effect of different rainfall patterns on runoff reduction efficiency was highly significant at the α = 0.05 level (p < 0.001), meaning that different rainfall conditions significantly affected the runoff reduction rate. However, the average runoff reduction rate did not differ significantly between years (p = 0.57). Although the average runoff reduction rate showed a downward trend over the years, the influence of different rainfall patterns prevented the inter-annual variation from reaching statistical significance. Therefore, the variability in runoff reduction efficiency of permeable pavement is primarily controlled by rainfall patterns. The results confirmed that rainfall patterns had significant impacts on runoff reduction. This is consistent with references [20,23,38].
Clogging is the critical issue for pavement management. At the initial stage, the clogging begins, then transitions, and finally becomes fully clogged, all pore space filled. However, when the pavement is clogged, a high-intensity rainfall event might wash away and clean it, and the clogging process might be restarted. It is a complex process related to external and internal factors, such as rainfall, traffic conditions, and the structure and materials used. In this study, we monitored the overall results of the runoff reduction and found that it still had an annual decrease. The trend of the runoff reduction rate has been observed over the years, encompassing hundreds of rainfall events. We assumed it was the result of actual clogging. In addition, the case from reference [20] was compared. The case in ref. [20] was also a field study in Taipei City, but with a higher runoff reduction rate. This is because the case features an underground storage system beneath the pavement, which facilitates the infiltration of more rainfall and leads to a higher reduction rate. The drainage area is also different. The case study [20] received rainfall only from the sidewalk, whereas in our case, the drainage area includes a nearby asphalt road and is not a 100% permeable area. It indicated that the runoff reduction is related to rainfall patterns, drainage area, and the structure itself.

3.2. Temperature Reduction

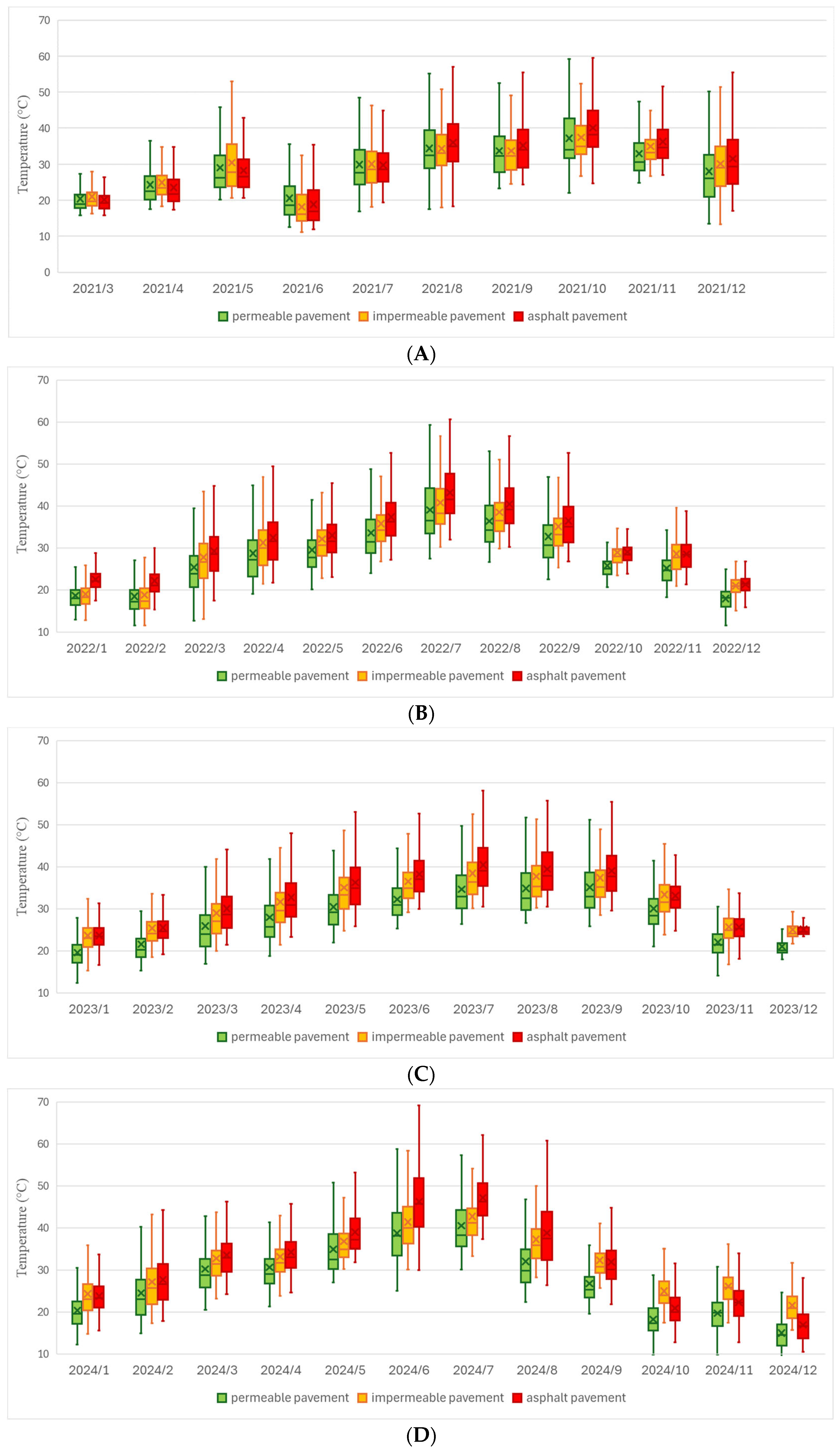
The permeable pavement exhibited relatively low surface temperatures throughout the year, demonstrating its effective cooling effect (Figure 10). In the four years, the average surface temperature of the permeable pavement was 28.8 °C, that of impermeable and asphalt pavement was 31.6 °C and 32.9 °C, respectively (Table 4). The results showed that the permeable pavement had a 2.8 °C cooler surface temperature than the impermeable pavement and 4.1 °C cooler than the asphalt pavement. These observations are aligned with previous studies [10,26]. The cooler performance was more significant during the hot summer months (May to September). Asphalt pavement was the hottest pavement type throughout the year, with peak temperatures exceeding 60 °C during the summer months of June to August. The impermeable pavement temperature was slightly lower than the asphalt pavement, but its average temperature and temperature range remained higher than those of the permeable pavement in most months. The ANOVA results showed that the temperature in different pavements received high significance, with a p-value of zero.
Figure 10 also shows that the temperature difference in the permeable pavement was narrower than the others, meaning that the permeable pavement maintained the most stable and lowest temperatures. Overall, permeable pavement has a stable and long-term surface cooling capability, which is of substantial benefit in reducing the urban thermal environment and improving thermal comfort.
Figure 11A shows the annual average temperature trends of permeable, impermeable, and asphalt pavement, as well as air temperature, over the four-year period. The data shows that the overall air temperature gradually increased from 24.2 °C in 2021 to 25.4 °C in 2024. However, the surface temperature of conventional pavement shows a clear trend of increasing year by year: the asphalt pavement increased from 30.3 °C to 33.2 °C, an increase of approximately 2.8 °C, and the impermeable pavement increased from 29.6 °C to 32.9 °C, an increase of 3.3 °C. These results suggest that if the traditional pavement is impermeable pavement, as climate change and the urban heat island effect intensify, surface heat accumulation will become increasingly severe, potentially exacerbating the surrounding microclimate and outdoor heat exposure. In contrast, the permeable pavement showed a slight increase from 28.8 °C to 28.9 °C over the same four-year period, representing a near-steady state. This demonstrated that its permeable structural pores and water-retaining evaporative cooling mechanism enable it to continuously regulate surface temperature, effectively maintaining its cooling function even in an environment of rising temperatures. Furthermore, Figure 11B shows the annual average surface temperature difference between the asphalt pavement and the impermeable pavement compared to the permeable pavement from 2021 to 2024. The results indicate that the annual temperature difference between the traditional pavements and the permeable pavements has increased. Starting in 2021, the average temperature difference between the asphalt pavement and the permeable pavement was 0.8 °C, and the average temperature difference between the impermeable pavement and the permeable pavement was 1.5 °C. By 2024, the temperature difference had widened to 4.1 °C for the impermeable pavement and 4.3 °C for asphalt pavement. Despite four years of use, the cooling effect of the permeable pavement has not significantly diminished, and the surface temperature has remained stable, resulting in a wider temperature difference in other pavement surfaces.
As a result, if impermeable or asphalt pavement is used instead of permeable pavement, the overall urban surface temperature is likely to increase in tandem with continued temperature increases, increasing the risk of heat exposure and weakening urban resilience. The stable cooling performance of permeable pavement provides an important and worthy design basis for urban thermal adaptation and sustainable development.
However, it is worth noting that even during the hot summer months (e.g., June to August), permeable pavement can reach temperatures exceeding 40 °C. Under high temperatures, the surface temperature of the permeable pavement behaved similarly to that of the impermeable pavement. In Table 4, the maximum temperature of the permeable pavement was higher than 55 °C, and that of the other two pavements was 59 °C. Therefore, maintaining a lower surface temperature during extremely high temperatures requires additional measures, such as watering. For example, the temperature performance during a typical rainfall event, shown in Figure 12, showed that the hottest temperature of the permeable pavement was close to that of asphalt pavement. However, after rainfall, the permeable pavement experienced an immediate drop of over 5 °C and remains 2–3 °C cooler than the other pavement surfaces for the following hours. It might be because rainwater infiltrates and temporarily stores within the pavement structure, and infiltrated water provides a source of evaporation, prolonging the surface wetness. Re-wetting permeable pavement at a suitable time helps to decrease surface temperature [29]. Therefore, if pavement watering is implemented during extremely high temperatures, permeable pavement can contribute to water storage and cooling in urban areas, playing a crucial role in mitigating extreme heat events.

3.3. WBGT Results

Figure 13 shows the measured WBGT results. The WBGT measurements were performed twice for each pair, and one of the results was selected to be demonstrated in the manuscript. For the permeable and impermeable pair, the measurement days are April 22 and May 13. For the one-year and four-year pair, the days are February 17 and April 14. All are tested from 9 a.m. to 6 p.m. during the day. The weather is sunny, and there has been no rainfall prior to that day. Figure 13A shows measurements on the permeable pavement and the impermeable pavement. The results show that the temperature started at approximately 28 °C in the morning and rose to 34–35 °C in the afternoon. The WBGT index showed a significant difference during the hottest hours of the day, from midday to the afternoon (approximately 12:00 p.m.–4:00 p.m.). The maximum reduction of 2.8 °C occurred between 12:50 and 13:00, when the WBGT on the permeable pavement was 29.7 °C, and it was 32.5 °C on the impermeable pavement. The WBGT of the permeable pavement (green line) was approximately 1 °C lower than that of the impermeable pavement (orange line). In particular, the WBGT of the permeable pavement remained consistently between 28 and 30 °C in the afternoon, while that of the impermeable pavement exceeded 32 °C. Permeable pavement can reduce WBGT during hot periods, helping to alleviate human heat load and improve thermal comfort. The results showed that permeable pavement generally exhibited lower WBGT values than both asphalt and impermeable pavement.
A further comparison of pavements of different ages, as shown in Figure 13B, between the WBGT index for the one-year-old permeable pavement (green line) and the four-year-old permeable pavement (blue line), shows the overall difference remaining within 0.5–1 °C. During the hot hours (12:00–15:00), the WBGT difference between the one-year-old and the four-year-old permeable pavements ranged from 0.7 to 1.8 °C, with a maximum difference of 2.5 °C. According to the on-site infiltration rate experiments, the infiltration rate of the one-year permeable pavements was greater than 10 times that of the four-year ones. With good permeability, the newly cleaned permeable pavements provide a more thermally comfortable surface than clogged pavements.
The WBGT difference between the permeable and impermeable pavement was nearly significant, with a p-value of 0.051. However, the WBGT difference between the one-year and four-year permeable pavement was not significant, with a p-value of 0.219. These statistical tests would confirm that the permeable pavement has better WBGT mitigation than impermeable pavement. The annual performance of the permeable pavement was decreasing, but it was not significant.
Permeable pavement not only has a stable cooling effect but also makes a positive contribution to human thermal comfort at the microclimate scale, which is especially important during periods of extremely high temperatures. In addition to surface cooling, permeable pavement also contributes to cooling in the comprehensive thermal index (WBGT). The WBGT difference between different heat hazard categories is 2 °C, which means that cooling by 2 °C helps to change to a lower category. According to the ISO 7243 [36] reference value, different metabolic rates and work phases have different suggested WBGT, and a 2–3 °C difference between different levels. Therefore, a 1–2 °C reduction is meaningful for heat stress thresholds. Overall, the WBGT analysis results confirm that permeable pavements have the potential to alleviate thermal stress. If permeable pavements are combined with other measures, such as increasing shade or sprinkling water, they can maintain cooling benefits and microclimate regulation functions even in extremely high temperatures, providing an efficient strategy to improve urban pavement management and thermal environment resilience.

3.4. The Limitations and Assumptions of This Study

All the data in this study were collected from the field sidewalk case in Taipei City at the entrance of a highly used MRT station. The permeable pavement’s performance is influenced by various factors, including usage frequency, traffic conditions, rainfall patterns, pavement structure, and the material itself. Therefore, the performance presented in this study is under these actual conditions. According to the analysis results, clogging and rainfall patterns are the most influential factors of the permeable pavement. With dense use and frequent rainfall, the permeable pavement could have a similar performance to that of this study. With dense use but little rainfall, the clogging process might be quicker than in this case. However, with less use but frequent rainfall, the permeable pavement might perform better than in this case. In addition, unlike temperature data, which is recorded directly, the runoff reduction is calculated by water level measurement and Equation (1). In the calculation, it assumes that on-site ponding and lateral flow are neglected because of the lack of measurement data. The performance shown in this study is under these site conditions and assumptions.

4. Conclusions

This study conducted four years of continuous monitoring of surface temperature and runoff reduction rates at a sidewalk site in Taipei City, Taiwan, along with measurements of the WBGT. These statistical tests confirm that permeable pavement offers better runoff reduction, surface temperature, and WBGT mitigation compared to impermeable pavement. The annual performance of permeable pavement decreases, but it is not significant. Permeable pavement demonstrates stable cooling and moderate to high hydrological benefits over the long term, highlighting its potential as a sustainable urban climate adaptation infrastructure. Some findings are concluded as follows:
  • Permeable pavement demonstrated excellent runoff reduction performance in its early years, with an average reduction rate of 41.2% in the first year. However, with increasing service life, this rate dropped to 28.8% in the fourth year. If there is no pavement cleaning, permeable pavements might lose permeability after 7 years in such dense city sites. The significance analysis revealed that the runoff reduction rate was affected by rainfall amount and density.
  • The average surface temperature of permeable pavement is cooler than impermeable pavement by 2.8 °C and 4.1 °C compared to asphalt pavement. The surface temperature of permeable pavement remained consistently low over the four years, but the surface temperature of impermeable pavement increased cumulatively by approximately 2.8 °C during the four years, while that of asphalt pavement increased by approximately 3.3 °C.
  • The cooling effect of permeable pavement was significantly superior to that of conventional pavement during rainfall events. This result demonstrates that permeable pavement can effectively regulate ground surface temperature with the presence of water, so that frequent watering is important to maintain the cooling benefits of a permeable pavement.
  • This study’s WBGT monitoring results revealed that permeable pavement exhibited lower WBGT values, particularly during the high-temperature periods (12:00–15:00). Permeable pavement exhibited an average WBGT reduction of approximately 1–2 °C compared to impermeable pavement, with a maximum reduction of 2.8 °C.
  • Surface pore cleaning is recommended every 4 years to maintain the infiltration ability. Integrating with other measures, such as shade planting and watering systems, can enhance cooling and thermal comfort provided by permeable pavement.

Supplementary Materials

The recorded rainfall events in the four years can be downloaded at https://www.mdpi.com/article/10.3390/urbansci9110473/s1, Tables S1–S4: Runoff reduction rate of each rainfall event in 2021–2024; Table S5: ANOVA results.

Author Contributions

Conceptualization, C.-F.C. and C.-H.L.; methodology, C.-H.L.; validation, C.-F.C. and J.-Y.L.; investigation, C.-H.L.; resources, J.-Y.L.; writing—original draft preparation, C.-F.C. and C.-H.L.; writing—review and editing, C.-F.C.; supervision, C.-F.C. and J.-Y.L.; All authors have read and agreed to the published version of the manuscript.

Funding

This research received no external funding.

Data Availability Statement

Data is contained within the article or Supplementary Material.

Conflicts of Interest

The authors declare no conflicts of interest.

References

  1. Lindsey, R.; Dahlman, L. Climate Change: Global Temperature. 2025. Available online: https://www.climate.gov/news-features/understanding-climate/climate-change-global-temperature# (accessed on 10 August 2025).
  2. NASA. World of Change: Global Temperature. 2025. Available online: https://earthobservatory.nasa.gov/world-of-change/global-temperatures (accessed on 1 August 2025).
  3. Ouyang, Z.; Sciusco, P.; Jiao, T.; Feron, S.; Lei, C.; Li, F.; John, R.; Fan, P.; Li, X.; Williams, C.A.; et al. Albedo changes caused by future urbanization contribute to global warming. Nat. Commun. 2022, 13, 3800. [Google Scholar] [CrossRef] [PubMed]
  4. Bouzir, T.A.K.; Berkouk, D.; Ounis, S.; Melik, S.; Rusli, N.; Gomaa, M.M. Land Cover Transformations and Thermal Responses in Representative North African Oases from 2000 to 2023. Urban Sci. 2025, 9, 282. [Google Scholar] [CrossRef]
  5. Feng, J.; Gao, K.; Khan, H.; Ulpiani, G.; Vasilakopoulou, K.; Young, Y.G.; Santamouris, M. Overheating of cities: Magnitude, characteristics, impact, mitigation and adaptation, and future challenges. Annu. Rev. Environ. Resour. 2023, 48, 651–679. [Google Scholar] [CrossRef]
  6. Santamouris, M. Using cool pavements as a mitigation strategy to fight urban heat island—A review of the actual developments. Renew. Sustain. Energy Rev. 2013, 26, 224–240. [Google Scholar] [CrossRef]
  7. Qin, Y. A review on the development of cool pavements to mitigate urban heat island effect. Renew. Sustain. Energy Rev. 2015, 52, 445–459. [Google Scholar] [CrossRef]
  8. Vujovic, S.; Haddad, B.; Karaky, H.; Sebaibi, N.; Boutouil, M. Urban heat island: Causes, consequences, and mitigation measures with emphasis on reflective and permeable pavements. CivilEng 2021, 2, 459–484. [Google Scholar] [CrossRef]
  9. Irfeey, A.M.M.; Chau, H.W.; Sumaiya, M.M.F.; Wai, C.Y.; Muttil, N.; Jamei, E. Sustainable mitigation strategies for urban heat island effects in urban areas. Sustainability 2023, 15, 10767. [Google Scholar] [CrossRef]
  10. Li, H.; Harvey, J.T.; Holland, T.J.; Kayhanian, M.J.E.R.L. The use of reflective and permeable pavements as a potential practice for heat island mitigation and stormwater management. Environ. Res. Lett. 2013, 8, 015023. [Google Scholar] [CrossRef]
  11. Li, H.; Harvey, J.; Ge, Z. Experimental investigation on evaporation rate for enhancing evaporative cooling effect of permeable pavement materials. Constr. Build. Mater. 2014, 65, 367–375. [Google Scholar] [CrossRef]
  12. Anupam, B.R.; Sahoo, U.C.; Chandrappa, A.K.; Rath, P. Emerging technologies in cool pavements: A review. Constr. Build. Mater. 2021, 299, 123892. [Google Scholar] [CrossRef]
  13. Park, J.H.; Kim, Y.U.; Jeon, J.; Wi, S.; Chang, S.J.; Kim, S. Effect of eco-friendly pervious concrete with amorphous metallic fiber on evaporative cooling performance. J. Environ. Manag. 2021, 297, 113269. [Google Scholar] [CrossRef]
  14. Kappou, S.; Souliotis, M.; Papaefthimiou, S.; Panaras, G.; Paravantis, J.A.; Michalena, E.; Hills, J.M.; Vouros, A.P.; Ntymenou, A.; Mihalakakou, G. Cool pavements: State of the art and new technologies. Sustainability 2022, 14, 5159. [Google Scholar] [CrossRef]
  15. Callejas, I.J.A.; Krüger, E.; Durante, L.C.; de Andrade Carvalho Rosseti, K.; Neto, F.V.; Cordeiro, C.C.M. Hygrothermal performance of traditional and pervious concrete pavements used in sidewalks: Field experiments in the tropics. Theor. Appl. Climatol. 2023, 154, 219–233. [Google Scholar] [CrossRef]
  16. National Land Management Agency, Ministry of the Interior. Low Impact Development for Water Environment, 2nd ed.; Ministry of the Interior: Taipei, Taiwan, 2021. (In Chinese) [Google Scholar]
  17. Zhou, J.; Pang, Y.; Du, W.; Huang, T.; Wang, H.; Zhou, M.; Liu, J. Review of the development and research of permeable pavements. Hydrol. Process. 2024, 38, e15179. [Google Scholar] [CrossRef]
  18. Sansalone, J.; Kuang, X.; Ranieri, V. Permeable pavement as a hydraulic and filtration interface for urban drainage. J. Irrig. Drain. Eng. 2008, 134, 666–674. [Google Scholar] [CrossRef]
  19. Kuruppu, U.; Rahman, A.; Rahman, M.A. Permeable pavement as a stormwater best management practice: A review and discussion. Environ. Earth Sci. 2019, 78, 327. [Google Scholar] [CrossRef]
  20. Cheng, Y.-Y.; Lo, S.L.; Ho, C.C.; Lin, J.Y.; Yu, S.L. Field Testing of Porous Pavement Performance on Runoff and Temperature Control in Taipei City. Water 2019, 11, 2635. [Google Scholar] [CrossRef]
  21. Li, H.; Yang, J.; Yu, X.; Zhang, Y.; Zhang, L. Permeability prediction of pervious concrete based on mix proportions and pore characteristics. Constr. Build. Mater. 2023, 395, 132247. [Google Scholar] [CrossRef]
  22. Xie, N.; Akin, M.; Shi, X. Permeable concrete pavements: A review of environmental benefits and durability. J. Clean. Prod. 2019, 210, 1605–1621. [Google Scholar] [CrossRef]
  23. Wang, J.; Meng, Q.; Zou, Y.; Qi, Q.; Tan, K.; Santamouris, M.; He, B.J. Performance synergism of pervious pavement on stormwater management and urban heat island mitigation: A review of its benefits, key parameters, and co-benefits approach. Water Res. 2022, 221, 118755. [Google Scholar] [CrossRef]
  24. Zhao, J.; Lu, J.; Ge, J.; Fan, Y.; Wang, H.; Gu, M.; Xue, Y.; Zhao, Y.; Lv, G.; Lin, H.; et al. Influences of permeable pavements with different hydraulic properties on evaporative cooling and outdoor thermal environment: Field experiments. Build. Environ. 2025, 270, 112525. [Google Scholar] [CrossRef]
  25. Kubilay, A.; Ferrari, A.; Derome, D.; Carmeliet, J. Smart wetting of permeable pavements as an evaporative-cooling measure for improving the urban climate during heat waves. J. Build. Phys. 2021, 45, 36–66. [Google Scholar] [CrossRef]
  26. Lu, R.; Jiang, W.; Xiao, J.; Xing, C.; Ruan, C.; Li, Y.; Wu, W. Temperature characteristics of permeable asphalt pavement: Field research. Constr. Build. Mater. 2022, 332, 127379. [Google Scholar] [CrossRef]
  27. Ferić, K.; Sathish Kumar, V.; Romić, A.; Gotovac, H. Effect of aggregate size and compaction on the strength and hydraulic properties of pervious concrete. Sustainability 2023, 15, 1146. [Google Scholar] [CrossRef]
  28. Chen, C.F.; Lin, Y.T.; Lin, J.Y. Field temperature performances of in-use permeable sidewalks and asphalt vehicle roads and the potential impacts on apparent temperature and land surface temperature. Environ. Monit. Assess. 2024, 196, 205. [Google Scholar] [CrossRef]
  29. Xie, J.; Jia, S.; Li, H.; Gao, L. Study on the influence of clogging on the cooling performance of permeable pavement. Water 2018, 10, 299. [Google Scholar] [CrossRef]
  30. Sun, C.Y.; Jian, Z.X. Heat Island Effect of Taipei Metropolitan Area. City Plan. 2016, 43, 437–462. (In Chinese) [Google Scholar] [CrossRef]
  31. Hsu, H.H.; Wang, C.C.; Chen, J.D.; Li, M.S.; Chan, S.L. National Scientific Report 2024: Phenomenon, Impact, and Adaptation; National Science and Technology Council and Ministry of Environment: Taipei, Taiwan, 2024. (In Chinese)
  32. Kumar, P.; Sharma, A. Assessing outdoor thermal comfort conditions at an urban park during summer in the hot semi-arid region of India. Mater. Today: Proc. 2022, 61, 356–369. [Google Scholar] [CrossRef]
  33. Lung, S.C.C.; Hu, S.C.; Liu, C.H.; Wen, T.Y.J.; Wang, W.C.V. Assessing 7-year heat-stress exposures and adaptation strategies for children using a real-time monitoring network in Taiwan. Sci. Total Environ. 2024, 955, 176840. [Google Scholar] [CrossRef]
  34. Park, B.J.; Lee, D.K.; Yun, S.H.; Kim, E.S.; Lee, J.H.; Kim, S.H. Assessing the impact of green infrastructure on thermal comfort in relation to humidity: A case study in Korea. Urban For. Urban Green. 2024, 95, 128305. [Google Scholar] [CrossRef]
  35. Wang, J.; Meng, Q.; Tan, K.; Zhang, L.; Zhang, Y. Experimental investigation on the influence of evaporative cooling of permeable pavements on outdoor thermal environment. Build. Environ. 2018, 140, 184–193. [Google Scholar] [CrossRef]
  36. ISO 7243:2017; Ergonomics of the Thermal Environment—Assessment of Heat Stress Using the WBGT (Wet Bulb Globe Temperature) Index. International Organization for Standardization: Vernier, Switzerland, 2017.
  37. ISO 7726:1998; Ergonomics of the Thermal Environment—Instruments for Measuring and Monitoring Physical Quantities. International Organization for Standardization: Vernier, Switzerland, 1998.
  38. Chen, S.; Li, D.; Bu, S.; Li, Y. Modelling the effect of rainfall patterns on the runoff control performance of permeable pavements. Water Sci. Technol. 2021, 84, 1566–1578. [Google Scholar] [CrossRef] [PubMed]
Figure 1. Study area. (A) The aerial photo of the studied sidewalk. (B) The drainage area of the runoff outfall contained a portion of asphalt road and a permeable sidewalk.
Figure 1. Study area. (A) The aerial photo of the studied sidewalk. (B) The drainage area of the runoff outfall contained a portion of asphalt road and a permeable sidewalk.
Urbansci 09 00473 g001
Figure 2. The vertical structure of the studied permeable pavement.
Figure 2. The vertical structure of the studied permeable pavement.
Urbansci 09 00473 g002
Figure 3. The placement of monitoring sensors.
Figure 3. The placement of monitoring sensors.
Urbansci 09 00473 g003
Figure 4. The photos of monitoring equipment.
Figure 4. The photos of monitoring equipment.
Urbansci 09 00473 g004
Figure 5. The WBGT monitoring locations.
Figure 5. The WBGT monitoring locations.
Urbansci 09 00473 g005
Figure 6. The WBGT equipment and the onsite measurement photo. (A) WBGT meter (TM-188D). (B) WBGT onsite photo.
Figure 6. The WBGT equipment and the onsite measurement photo. (A) WBGT meter (TM-188D). (B) WBGT onsite photo.
Urbansci 09 00473 g006
Figure 7. Four-year trend of permeable pavement reduction rate.
Figure 7. Four-year trend of permeable pavement reduction rate.
Urbansci 09 00473 g007
Figure 8. Observed trend and future prediction of permeable pavement service years and runoff reduction rate.
Figure 8. Observed trend and future prediction of permeable pavement service years and runoff reduction rate.
Urbansci 09 00473 g008
Figure 9. Relationship between permeable pavement reduction and rainfall characteristics. (A) runoff reduction rate (%) and total rainfall amount (mm), and (B) runoff reduction rate (%) and the maximum hourly intensity (mm/h).
Figure 9. Relationship between permeable pavement reduction and rainfall characteristics. (A) runoff reduction rate (%) and total rainfall amount (mm), and (B) runoff reduction rate (%) and the maximum hourly intensity (mm/h).
Urbansci 09 00473 g009
Figure 10. Surface temperature in different pavement types. (A) 2021, (B) 2022, (C) 2023, (D) 2024.
Figure 10. Surface temperature in different pavement types. (A) 2021, (B) 2022, (C) 2023, (D) 2024.
Urbansci 09 00473 g010
Figure 11. (A) The annual average surface temperature in different pavement types. (B) The temperature difference between permeable, impermeable, and asphalt pavement in different years.
Figure 11. (A) The annual average surface temperature in different pavement types. (B) The temperature difference between permeable, impermeable, and asphalt pavement in different years.
Urbansci 09 00473 g011
Figure 12. The surface temperature in different pavement types after a rainfall event, 9 August 2024.
Figure 12. The surface temperature in different pavement types after a rainfall event, 9 August 2024.
Urbansci 09 00473 g012
Figure 13. The observed WBGT results. (A) WBGT on permeable and impermeable pavement. (B) WBGT on one-year and four-year permeable pavement.
Figure 13. The observed WBGT results. (A) WBGT on permeable and impermeable pavement. (B) WBGT on one-year and four-year permeable pavement.
Urbansci 09 00473 g013
Table 1. Definition of different rainfall patterns.
Table 1. Definition of different rainfall patterns.
FeaturesLevelDefinition
DurationShortRainfall duration is less than 6 h.
MedianRainfall duration between 6 and 24 h.
LongRainfall duration longer than 24 h.
IntensityLightMaximum hourly rainfall intensity is less than 5 mm/h.
MedianMaximum hourly rainfall intensity is between 5 and 15 mm/h.
StrongThe maximum hourly rainfall intensity is larger than 15 mm/h.
Table 2. The number of rainfall events in different rainfall types.
Table 2. The number of rainfall events in different rainfall types.
FeaturesLevel2021202220232024
DurationShort18131423
Median11181617
Long5733
IntensityLight14111323
Median12121413
Strong81567
Total34383343
Table 3. The average runoff reduction rate (%) classified by different rainfall events.
Table 3. The average runoff reduction rate (%) classified by different rainfall events.
Rainfall Classification2021202220232024
Short duration and strong intensity32.428.027.922.1
Median duration and strong intensity35.939.531.626.4
Long duration and strong intensity35.432.428.424.6
Short duration and median intensity44.437.337.330.3
Median duration and median intensity44.940.137.335.9
Long duration and median intensity65.839.043.031.6
Short duration and light intensity *0000
Median duration and light intensity57.044.450.545.5
Long duration and light intensity50.952.052.148.1
* The weather patterns in Taipei City are subtropical. In summer, the rainfall pattern is usually short and intense, while in winter it is long and light. Therefore, short and light intensive rainfall is sparse and is not recorded in these years.
Table 4. The annual surface temperature of different pavements.
Table 4. The annual surface temperature of different pavements.
Year Temp (°C) Permeable Pavement Impermeable Pavement Asphalt Pavement
2021average28.829.630.3
max59.859.660.2
min12.411.111.9
2022average27.930.131.6
max59.362.460.2
min11.511.515.3
2023average28.532.133.0
max55.463.159.7
min12.315.316.5
2024average28.832.933.1
max63.668.867.5
min8.414.810.4
TotalAverage28.831.6 (+2.8 °C)32.9 (+4.1 °C)
Disclaimer/Publisher’s Note: The statements, opinions and data contained in all publications are solely those of the individual author(s) and contributor(s) and not of MDPI and/or the editor(s). MDPI and/or the editor(s) disclaim responsibility for any injury to people or property resulting from any ideas, methods, instructions or products referred to in the content.

Share and Cite

MDPI and ACS Style

Chen, C.-F.; Lin, C.-H.; Lin, J.-Y. A 4-Year Field Experiment on an Urban Permeable Sidewalk on Its Runoff and Surface Temperature Performance. Urban Sci. 2025, 9, 473. https://doi.org/10.3390/urbansci9110473

AMA Style

Chen C-F, Lin C-H, Lin J-Y. A 4-Year Field Experiment on an Urban Permeable Sidewalk on Its Runoff and Surface Temperature Performance. Urban Science. 2025; 9(11):473. https://doi.org/10.3390/urbansci9110473

Chicago/Turabian Style

Chen, Chi-Feng, Cheng-Han Lin, and Jen-Yang Lin. 2025. "A 4-Year Field Experiment on an Urban Permeable Sidewalk on Its Runoff and Surface Temperature Performance" Urban Science 9, no. 11: 473. https://doi.org/10.3390/urbansci9110473

APA Style

Chen, C.-F., Lin, C.-H., & Lin, J.-Y. (2025). A 4-Year Field Experiment on an Urban Permeable Sidewalk on Its Runoff and Surface Temperature Performance. Urban Science, 9(11), 473. https://doi.org/10.3390/urbansci9110473

Article Metrics

Back to TopTop