The Hidden Effects of Lockdown on Child Health: Evidence from Madrid’s ASOMAD Study
Abstract
1. Introduction
2. Materials and Methods
2.1. Study Design and Participants
2.2. Sample Size and School Selection
2.3. Inclusion and Exclusion Criteria
2.4. Materials
2.5. Statistical Analysis
3. Results
4. Discussion
5. Conclusions
Author Contributions
Funding
Institutional Review Board Statement
Informed Consent Statement
Data Availability Statement
Acknowledgments
Conflicts of Interest
References
- World Health Organization. Nutrition, Physical Activity, Well-Being and COVID-19; World Health Organization: Copenhagen, Denmark, 2023. [Google Scholar]
- La Rosa, V.L.; Oddo-Sommerfeld, S.; Schermelleh-Engel, K.; Commodari, E. From Lockdown to Cradle: Navigating the Psychological Challenges of Childbirth during the COVID-19 Pandemic in Italy–Evidence from a 3-Year Analysis. Curr. Psychol. 2024, 43, 35616–35629. [Google Scholar] [CrossRef]
- Gómez, S.F.; Lorenzo, L.; Ribes, C. Physical Activity, Sedentarism, Lifestyles and Obesity in Spanish Youth. PASOS 2022. 2022. Available online: www.gasolfoundation.org (accessed on 18 December 2024).
- Michels, N. Poor Mental Health Is Related to Excess Weight via Lifestyle: A Cross-Sectional Gender- and Age-Dependent Mediation Analysis. Nutrients 2021, 13, 406. [Google Scholar] [CrossRef] [PubMed]
- Pereira, S.; Katzmarzyk, P.T.; Hedeker, D.; Maia, J. Change and Stability in Sibling Resemblance in Obesity Markers: The Portuguese Sibling Study on Growth, Fitness, Lifestyle, and Health. J. Obes. 2019, 2019, 2432131. [Google Scholar] [CrossRef] [PubMed]
- Esposito, S.; Giannitto, N.; Squarcia, A.; Neglia, C.; Argentiero, A.; Minichetti, P.; Cotugno, N.; Principi, N. Development of Psychological Problems Among Adolescents During School Closures Because of the COVID-19 Lockdown Phase in Italy: A Cross-Sectional Survey. Front. Pediatr. 2021, 8, 628072. [Google Scholar] [CrossRef]
- Orgilés, M.; Morales, A.; Delvecchio, E.; Mazzeschi, C.; Espada, J.P. Immediate Psychological Effects of the COVID-19 Quarantine in Youth From Italy and Spain. Front. Psychol. 2020, 11, 579038. [Google Scholar] [CrossRef]
- Ajanovic, S.; Garrido-Aguirre, J.; Baro, B.; Balanza, N.; Varo, R.; Millat-Martínez, P.; Arias, S.; Fonollosa, J.; Perera-Lluna, A.; Jordan, I.; et al. How Did the COVID-19 Lockdown Affect Children and Adolescent’s Well-Being: Spanish Parents, Children, and Adolescents Respond. Front. Public Health 2021, 9, 746052. [Google Scholar] [CrossRef]
- Child Mind Institute. El Impacto de la Pandemia de COVID-19 en la Salud Mental de los Niños: Qué Sabemos Hasta Ahora. [Online]. 2021. Available online: https://childmind.org/wp-content/uploads/2021/10/CMI_CMHR_2021_Spanish_vF_AB.pdf (accessed on 25 November 2024).
- Schröder, H.; Benitez Arciniega, A.; Soler, C.; Covas, M.I.; Baena-Díez, J.M.; Marrugat, J. Validity of Two Short Screeners for Diet Quality in Time-Limited Settings. Public Health Nutr. 2012, 15, 618–626. [Google Scholar] [CrossRef]
- Sánchez, J.; Rodríguez, A.; Gómez, M.; Hernández, R. Sedentarismo y beneficios de la actividad física en los adolescentes: Una revisión sistemática. Mentor 2022, 2, 315–331. [Google Scholar] [CrossRef]
- Mariscal-Arcas, M.; Rivas, A.; Velasco, J.; Ortega, M.; Caballero, A.M.; Olea-Serrano, F. Evaluation of the Mediterranean Diet Quality Index (KIDMED) in children and adolescents in Southern Spain. Public Health Nutr. 2009, 12, 1408–1412. [Google Scholar] [CrossRef]
- Martínez-Gómez, D.; Gómez-Martínez, S.; Ruiz, J.R.; Díaz, L.E.; Ortega, F.B.; Widhalm, K.; Vicente-Rodríguez, G.; Rey-López, J.P.; Castillo, R.; Sjöström, M.; et al. Objectively-measured and self-reported sedentary time in female adolescents: Comparison in different European countries. Scand. J. Med. Sci. Sports 2012, 23, 311–318. [Google Scholar] [CrossRef]
- Pachay Arriaga, M.P.; Masaquiza Masaquiza, E.V.; Jaya Correa, M.C.; Barcia Briones, M.F. The family context in the emotional state of children in initial education. Pol. Con. (Edición Núm. 83) 2023, 8, 470–485. Available online: https://dialnet.unirioja.es/descarga/articulo/9152481.pdf (accessed on 10 February 2025).
- Aymerich de Franchesci, C.M.; Miguel Miguel, C.; Arroba Basanta, M.L.; Arana Cañedo-Argüelles, C.; Cabello Ballesteros, L. Sleep patterns of healthy children at age four: Social factors and parenting styles. Rev. Pediatr. Aten. Primaria 2019, 21, 343–356. [Google Scholar]
- Alves, J.M.; Yunker, A.G.; DeFendis, A.; Xiang, A.H.; Page, K.A. Associations between Affect, Physical Activity, and Anxiety Among US Children During COVID-19. Medrxiv Prepr. Serv. Health Sci. 2020, 16, e12786. [Google Scholar] [CrossRef]
- Rosa, A.; García Cantó, E.; Carrillo, P.J. Percepción de salud, actividad física y condición física en escolares. Cuad. Psicol. Deporte 2018, 18, 179–189. Available online: http://scielo.isciii.es/scielo.php?script=sci_arttext&pid=S1578-84232018000300013&lng=es (accessed on 18 December 2024).
- Twig, G.; Yaniv, G.; Levine, H.; Leiba, A.; Goldberger, N.; Derazne, E.; Ben-Ami Shor, D.; Tzur, D.; Afek, A.; Shamiss, A.; et al. Body-mass index in 2.3 million adolescents and cardiovascular death in adulthood. N. Engl. J. Med. 2016, 25, 2430–2440. [Google Scholar] [CrossRef]
- Twig, G.; Afek, A.; Shamiss, A.; Derazne, E.; Rabbi, M.L.; Tzur, D.; Gordon, B.; Tirosh, A. Adolescence BMI and trends in adulthood mortality: A study of 2.16 million adolescents. J. Clin. Endocrinol. Metab. 2014, 99, 2095–2103. [Google Scholar] [CrossRef][Green Version]
- Abdullah, A.; Wolfe, R.; Stoelwinder, J.U.; de Courten, M.; Stevenson, C.; Walls, H.L.; Peeters, A. The number of years lived with obesity and the risk of all-cause and cause-specific mortality. Int. J. Epidemiol. 2011, 40, 985–996. [Google Scholar] [CrossRef]
- Pollock, N.K. Childhood obesity, bone development, and cardiometabolic risk factors. Mol. Cell Endocrinol. 2015, 410, 52–63. [Google Scholar] [CrossRef]
- Nakhleh, A.; Sakhnini, R.; Furman, E.; Shehadeh, N. Cardiometabolic risk factors among children and adolescents with overweight and Class 1 obesity: A cross-sectional study. Insights from stratification of Class 1 obesity. Front. Endocrinol. 2023, 14, 1108618. [Google Scholar] [CrossRef]
- Puhl, R.M.; Lessard, L.M. Weight Stigma in Youth: Prevalence, Consequences, and Considerations for Clinical Practice. Curr. Obs. Rep. 2020, 9, 402–411. [Google Scholar] [CrossRef]
- Braddock, A.; Browne, N.T.; Houser, M.; Blair, G.; Williams, D.R. Weight Stigma and Bias: A Guide for Pediatric Clinicians. Obes. Pillars 2023, 6, 100058. [Google Scholar] [CrossRef] [PubMed]
- Kansra, A.R.; Lakkunarajah, S.; Jay, M.S. Childhood and Adolescent Obesity: A Review. Front. Pediatr. 2021, 8, 581461. [Google Scholar] [CrossRef] [PubMed]
- Abdeen, Z.; Hamid, Z.A.; Abu-Rmeileh, N.M.; Acosta-Cazares, B.; Acuin, C.; Adams, R.J.; Aekplakorn, W.; Afsana, K.; Aguilar-Salinas, C.A.; Agyemang, C.; et al. Worldwide Trends in Body-Mass Index, Underweight, Overweight, and Obesity from 1975 to 2016: A Pooled Analysis of 2416 Population-Based Measurement Studies in 128·9 Million Children, Adolescents, and Adults. Lancet 2017, 390, 2627–2642. [Google Scholar] [CrossRef]
- Pulgarón, E.R. Childhood Obesity: A Review of Increased Risk for Physical and Psychological Comorbidities. Clin. Ther. 2013, 35, A18–A32. [Google Scholar] [CrossRef]
- Ali, M.M.; Fang, H.; Rizzo, J.A. Body Weight, Self-Perception and Mental Health Outcomes among Adolescents. J. Ment. Health Policy Econ. 2010, 13, 53–63. [Google Scholar]
- González-Gross, M.; Meléndez, A. Sedentarism, Active Lifestyle and Sport: Impact on Health and Obesity Prevention. Nutr. Hosp. 2013, 28 (Suppl. S5), 89–98. [Google Scholar]
- Carpena Lucas, P.J.; Sánchez-Cubo, F.; Vargas, M.V.; Jiménez, J.M. Influence of Lifestyle Habits in the Development of Obesity during Adolescence. Int. J. Environ. Res. Public Health 2022, 19, 4124. [Google Scholar] [CrossRef]
- Wong, S.L.; Scott, T.L. Association Between Sedentary Behavior, Physical Activity, and Obesity: Inactivity Among Active Kids; USA. 2009; Volume 6. Available online: http://www.cdc.gov/pcd/issues/2009/jan/07_0242.htm (accessed on 18 December 2024).
- Landry, B.W.; Driscoll, S.W. Physical Activity in Children and Adolescents. PM R 2012, 4, 826–832. [Google Scholar] [CrossRef]
- Sampasa-Kanyinga, H.; Colman, I.; Goldfield, G.S.; Janssen, I.; Wang, J.; Hamilton, H.A.; Chaput, J.-P. Associations between the Canadian 24 h Movement Guidelines and Different Types of Bullying Involvement among Adolescents. Child Abus. Negl. 2020, 108, 104638. [Google Scholar] [CrossRef]
- Gupta, P.; Srivastava, N.; Gupta, V.; Tiwari, S.; Banerjee, M. Association of Sleep Duration and Sleep Quality with Body Mass Index among Young Adults. J. Fam. Med. Prim. Care 2022, 11, 3251. [Google Scholar] [CrossRef]
- Chaput, J.P.; Dutil, C. Lack of Sleep as a Contributor to Obesity in Adolescents: Impacts on Eating and Activity Behaviors. Int. J. Behav. Nutr. Phys. Act. 2016, 13, 103. [Google Scholar] [CrossRef] [PubMed]
- Gruber, J.; Anna Clark, L.; Abramowitz, J.S.; Aldao, A.; Chung, T.; Forbes, E.E.; Nagayama Hall, G.C.; Hinshaw, S.P.; Hollon, S.D.; Klein, D.N.; et al. Mental Health and Clinical Psychological Science in the Time of COVID-19: Challenges, Opportunities, and a Call to Action. Am. Psychol. 2021, 76, 409–426. [Google Scholar] [CrossRef] [PubMed]
- Baldassano, S.; Alioto, A.; Amato, A.; Rossi, C.; Messina, G.; Bruno, M.R.; Stallone, R.; Proia, P. Fighting the Consequences of the COVID-19 Pandemic: Mindfulness, Exercise, and Nutrition Practices to Reduce Eating Disorders and Promote Sustainability. Sustainability 2023, 15, 2120. [Google Scholar] [CrossRef]
- Gobierno de España. Real Decreto 463/2020, de 14 de Marzo, Por El Que Se Declara El Estado de Alarma Para La Gestión de La Situación de Crisis Sanitaria Ocasionada Por El COVID-19. 2020. Available online: https://www.boe.es (accessed on 10 December 2024).
- Agencia Española de Seguridad Alimentaria y Nutrición (AESAN). Estudio Sobre La Alimentación, Actividad Física, Desarrollo Infantil y Obesidad En España 2019. Madrid 2020. Available online: https://www.aesan.gob.es/AECOSAN/web/nutricion/detalle/aladino_2023.htm (accessed on 10 December 2024).
- Ortega Anta, R.M.; López Sobaler, A.M.; Aparicio Vizuete, A.; González Rodríguez, L.G.; Navia Lombán, B.; Perea Sánchez, J.M. Estudio de Vigilancia Del Crecimiento, Alimentación, Actividad Física, Desarrollo Infantil y Obesidad En España. 2013. Available online: https://www.aesan.gob.es/AECOSAN/web/nutricion/detalle/aladino_2023.htm (accessed on 10 December 2024).
- Palermi, S.; Vecchiato, M.; Pennella, S.; Marasca, A.; Spinelli, A.; De Luca, M.; De Martino, L.; Fernando, F.; Sirico, F.; Biffi, A. The Impact of the COVID-19 Pandemic on Childhood Obesity and Lifestyle—A Report from Italy. Pediatr. Rep. 2022, 14, 410–418. [Google Scholar] [CrossRef]
- Ochoa-Moreno, I.; Taheem, R.; Woods-Townsend, K.; Chase, D.; Godfrey, K.M.; Modi, N.; Hanson, M. Projected Health and Economic Effects of the Increase in Childhood Obesity during the COVID-19 Pandemic in England: The Potential Cost of Inaction. PLoS ONE 2024, 19, e0296013. [Google Scholar] [CrossRef]
- Pietrobelli, A.; Fearnbach, N.; Ferruzzi, A.; Vrech, M.; Heo, M.; Faith, M.; Pecoraro, L.; Zoller, T.; Antoniazzi, F.; Piacentini, G.; et al. Effects of COVID-19 Lockdown on Lifestyle Behaviors in Children with Obesity: Longitudinal Study Update. Obes. Sci. Pract. 2022, 8, 525–528. [Google Scholar] [CrossRef]
- Chaabane, S.; Doraiswamy, S.; Chaabna, K.; Mamtani, R.; Cheema, S. The Impact of COVID-19 School Closure on Child and Adolescent Health: A Rapid Systematic Review. Children 2021, 8, 415. [Google Scholar] [CrossRef]
- Censo de Población y Viviendas 2021—Ayuntamiento de Madrid. Available online: https://www.madrid.es/portales/munimadrid/es/Inicio/El-Ayuntamiento/Estadistica/Areas-de-informacion-estadistica/Demografia-y-poblacion/Censos-de-Poblacion/Censo-de-Poblacion-y-Viviendas-2021/?vgnextfmt=default&vgnextoid=772b6f7c0af08810VgnVCM1000001d4a900aRCRD&vgnextchannel=583011fc98916410VgnVCM2000000c205a0aRCRD (accessed on 26 November 2024).
- Comunidad de Madrid. DECRETO 29/2020, de 26 de Octubre, de La Presidenta de La Comunidad de Madrid, Por El Que Se Establecen Las Medidas de Contención Adoptadas Para Hacer Frente a La COVID-19, En Aplicación Del Real Decreto 926/2020, de 25 de Oc- Tubre, Del Consejo de Ministros, Por El Que Se Declara El Estado de Alarma Para La Propagación de Infecciones Causadas Por El SARS-CoV-2. 2020. Available online: https://www.bocm.es/boletin/CM_Orden_BOCM/2020/10/26/BOCM-20201026-206.PDF (accessed on 10 December 2024).
- Comunidad de Madrid. DECRETO 4/2021, de 22 de Enero, de La Presidenta de La Comunidad de Madrid, Por El Que Se Establecen Medidas Temporales Para Hacer Frente a La COVID-19, En Del Real Decreto 926/2020, de 25 de Octubre, Del Consejo de Minis- Tros, Por El Que Se Declara El Estado de Alarma Para Contener La Propagación de Infecciones Causadas Por El SARS-CoV-2. 2021. Available online: https://www.bocm.es/boletin/CM_Orden_BOCM/2021/01/23/BOCM-20210123-1.PDF (accessed on 10 December 2024).
- Gobierno de España. Real Decreto 286/2022, de 19 de Abril, Por El Que Se Modifica La Del Uso de Mascarillas Durante La Situación de Crisis Sanitaria Por La COVID-19. 2022. Available online: https://www.boe.es/buscar/doc.php?id=BOE-A-2022-6449 (accessed on 10 December 2024).
- Núm. Real Decreto 132/2010, de 12 de Febrero, Por El Que Se Establecen Los Requisitos de Los Centros Que Impartan Las Enseñanzas Del Segundo Ciclo de La Infantil, La Educación Primaria y La Educación Secundaria. 2010. Available online: https://www.boe.es/boe/dias/2010/03/12/pdfs/BOE-A-2010-4132.pdf (accessed on 10 December 2024).
- European Health Information Gateway. Cut-Off for BMI According to WHO Standards. Available online: https://gateway.euro.who.int/en/indicators/mn_survey_19-cut-off-for-bmi-according-to-who-standards/#id=32083 (accessed on 21 April 2024).
- Schröder, H.; Subirana, I.; Wärnberg, J.; Medrano, M.; González-Gross, M.; Gusi, N.; Aznar, S.; Alcaraz, P.E.; González-Valeiro, M.A.; Serra-Majem, L.; et al. Validity, reliability, and calibration of the physical activity unit 7 item screener (PAU-7S) at population scale. Int. J. Behav. Nutr. Phys. Act. 2021, 18, 116. [Google Scholar] [CrossRef]
- Organización Mundial de la Salud. Directrices de La OMS Sobre Actividad Física y Hábitos Sedentarios: De Un Vistazo (WHO Guidelines on Physical Activity and Sedentary Behaviour: At a Glance); Organización Mundial de la Salud: Ginebra, Switzerland, 2020. [Google Scholar]
- Serra-Majem, L.; Ribas, L.; Ngo, J.; Ortega, R.M.; García, A.; Pérez-Rodrigo, C.; Aranceta, J. Food, Youth and the Mediterranean Diet in Spain. Development of KIDMED, Mediterranean Diet Quality Index in Children and Adolescents. Public Health Nutr. 2004, 7, 931–935. [Google Scholar] [CrossRef]
- Rey-López, J.P.; Ruiz, J.R.; Ortega, F.B.; Verloigne, M.; Vicente-Rodriguez, G.; Gracia-Marco, L.; Gottrand, F.; Molnar, D.; Widhalm, K.; Zaccaria, M.; et al. Reliability and Validity of a Screen Time-Based Sedentary Behaviour Questionnaire for Adolescents: The HELENA Study. Eur. J. Public Health 2012, 22, 373–377. [Google Scholar] [CrossRef]
- Ravens-Sieberer, U.; Erhart, M.; Rajmil, L.; Herdman, M.; Auquier, P.; Bruil, J.; Power, M.; Duer, W.; Abel, T.; Czemy, L.; et al. Reliability, Construct and Criterion Validity of the KIDSCREEN-10 Score: A Short Measure for Children and Adolescents’ Well-Being and Health-Related Quality of Life. Qual. Life Res. 2010, 19, 1487–1500. [Google Scholar] [CrossRef] [PubMed]
- Wolfson, A.R.; Carskadon, M.A.; Acebo, C.; Seifer, R.; Fallone, G.; Labyak, S.E.; Martin, J.L. Evidence for the Validity of a Sleep Habits Survey for Adolescents. Sleep 2002, 26, 213–216. [Google Scholar] [CrossRef] [PubMed]
- Tremblay, M.S.; Carson, V.; Chaput, J.-P.; Connor Gorber, S.; Dinh, T.; Duggan, M.; Faulkner, G.; Gray, C.E.; Gruber, R.; Janson, K.; et al. Canadian 24-Hour Movement Guidelines for Children and Youth: An Integration of Physical Activity, Sedentary Behaviour, and Sleep. Appl. Physiol. Nutr. Metab. 2016, 41 (Suppl. S3), S311–S327. [Google Scholar] [CrossRef] [PubMed]
- Ruiz, J.R.; España Romero, V.; Castro Piñero, J.; Artero, E.G.; Ortega, F.B.; Cuenca García, M.; Jiménez Pavón, D.; Chillón, P.; Girela Rejón, J.M.; Mora, J.; et al. Batería Alpha-Fitness: Test de Campo Para La Evaluación de La Condición Física Relacionada Con La Salud En Niños y Adolescentes. Nutr. Hosp. 2011, 26, 1210–1214. [Google Scholar] [CrossRef]
- MAPFRE Economics. COVID-19: Un Análisis Preliminar de Los Impactos Demográficos y Sobre El Sector Asegurador; MAPFRE Economics: Madrid, Spain, 2022. [Google Scholar]
- Gómez, F.S.; Lorenzo, L.; Ribes, C.; Homs, C. Physical Activity, Sedentarism and Obesity of Spanish Youth. Estudio PASOS 2019; Gasol Foundation: Los Angeles, CA, USA, 2019. [Google Scholar]
- López-Sobaler, A.M.; Aparicio, A.; Salas-González, M.D.; Loria Kohen, V.; Bermejo López, L.M. Childhood obesity in Spain and associated factors. Nutr. Hosp. 2021, 38, 27–30. Available online: http://scielo.isciii.es/scielo.php?script=sci_arttext&pid=S0212-16112021000500007&lng=es (accessed on 10 February 2025). [CrossRef]
- Zarate-Osuna, F.; Quesada-González, C.; Zapico, A.G.; González-Gross, M. Overweight Prevalence Changes Before and After COVID-19 in Spain: The PESCA Program Longitudinal Outcomes 2018–2021. Nutrients 2024, 16, 3993. [Google Scholar] [CrossRef]
- López Sobaler, A.M.; Ortega Anta, R.M.; Bermejo López, L.M.; Aparicio Vizuete, A. Estudio de Vigilancia del Crecimiento, Alimentación, Actividad Física, Desarrollo Infantil y Obesidad en España. 2019, Volume 5. Available online: https://www.aesan.gob.es/AECOSAN/docs/documentos/nutricion/observatorio/Informe_Aladino_2019.pdf (accessed on 14 September 2024).
- World Health Organization. WHO European Childhood Obesity Surveillance Initiative (COSI); World Health Organization: Copenhagen, Denmark, 2022. [Google Scholar]
- Medrano, M.; Cadenas-Sanchez, C.; Oses, M.; Arenaza, L.; Amasene, M.; Labayen, I. Changes in Lifestyle Behaviours during the COVID-19 Confinement in Spanish Children: A Longitudinal Analysis from the MUGI Project. Pediatr. Obes. 2021, 16, e12731. [Google Scholar] [CrossRef]
- Massy-Westropp, N.M.; Gill, T.K.; Taylor, A.W.; Bohannon, R.W.; Hill, C.L. Hand Grip Strength: Age and Gender Stratified Normative Data in a Population-Based Study. BMC Res. Notes 2011, 4, 127. [Google Scholar] [CrossRef]
- Hwang, I.C.; Ahn, H.Y.; Choi, S.J. Association between Handgrip Strength and Mental Health in Korean Adolescents. Fam. Pract. 2021, 38, 826–829. [Google Scholar] [CrossRef]
- Soysal, P.; Hurst, C.; Demurtas, J.; Firth, J.; Howden, R.; Yang, L.; Tully, M.A.; Koyanagi, A.; Ilie, P.C.; López-Sánchez, G.F.; et al. Handgrip Strength and Health Outcomes: Umbrella Review of Systematic Reviews with Meta-Analyses of Observational Studies. J. Sport Health Sci. 2021, 10, 290–295. [Google Scholar] [CrossRef]





| Sex | ASOMAD 1 | ASOMAD 2 | ASOMAD 3 | |||||||||
|---|---|---|---|---|---|---|---|---|---|---|---|---|
| M ± SD (MIN, MAX) | N | N% | M ± SD (MIN, MAX) | N | N% | M ± SD (MIN, MAX) | N | % N | p Value | |||
| Boys | BMI (kg/m2) | 18.8 ± 3.9 (14–38) | 18.6 ± 4.0 (10–38) | 17.7 ± 2.8 (13–26) | <0.001 ↔ <0.001 ϕ <0.001 Ψ | |||||||
| BMI Group | Normal weight | 96 | 51.3 | 152 | 63.9 | 153 | 75 | 0.002 ↔ 0.001 ϕ | ||||
| Overweight | 53 | 28.3 | 48 | 20.2 | 30 | 14.7 | ||||||
| Obesity | 38 | 20.3 | 38 | 16.0 | 21 | 10.3 | ||||||
| Strength Risk | 0 | 162 | 86.6 | 210 | 88.2 | 186 | 89.4 | <0.001 ϕ | ||||
| 1 | 25 | 13.4 | 28 | 11.8 | 22 | 10.6 | ||||||
| Handgrip Strength (kg) | 16.1 ± 3.7 (7–34) | 17.3 ± 4.0 (8–37) | 18 ± 3.4 (9–30) | |||||||||
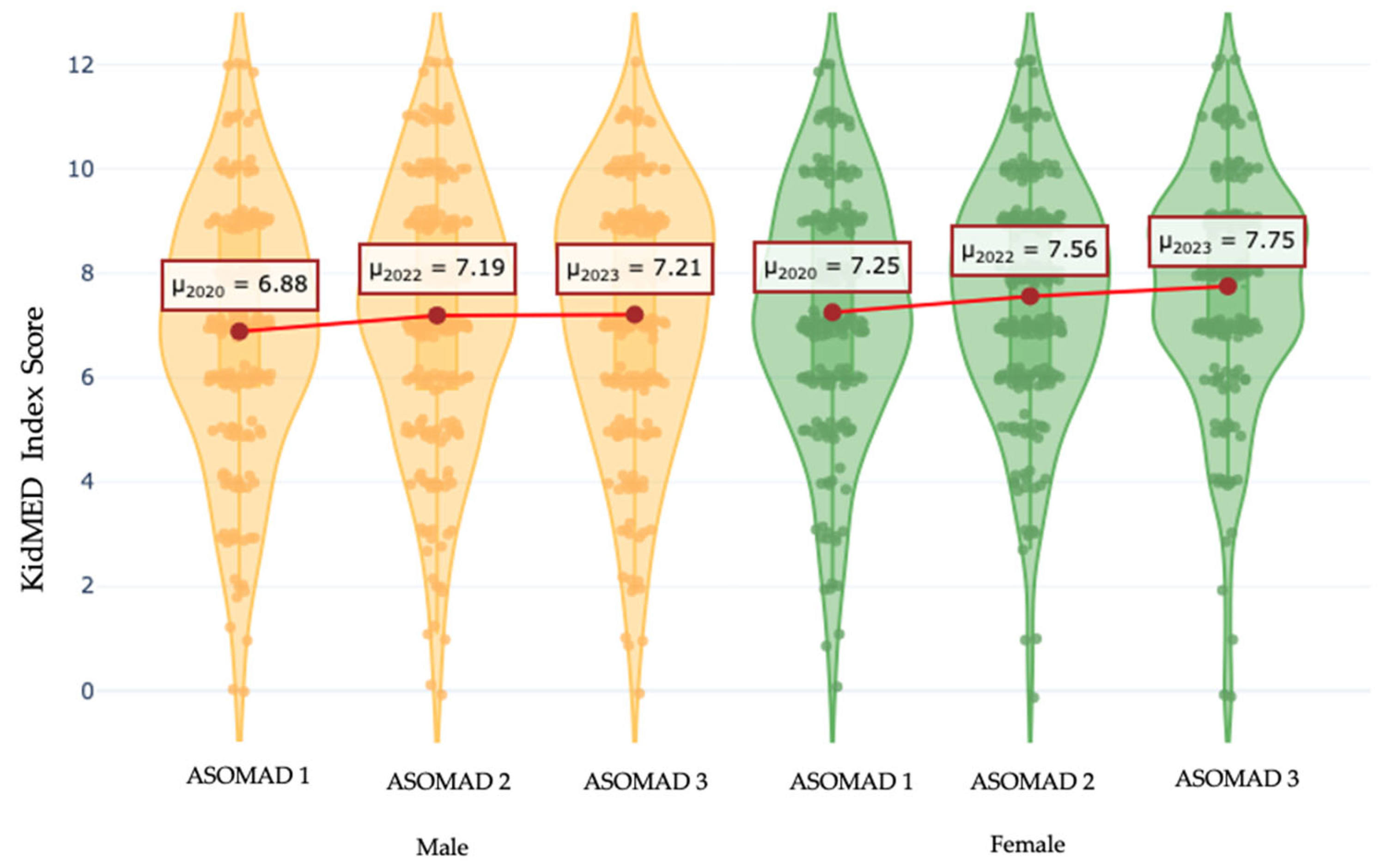
| MDA | 6.9 ± 2.5 (0–12) | 7.2 ± 2 (0–12) | 7.2 ± 2.4 (0–12) | 0.039 ↔ 0.001 ϕ | ||||||||
| MDA Group | Low | 19 | 10.1 | 18 | 7.6 | 17 | 8.2 | 0.047 ↔ 0.013 ϕ | ||||
| Medium | 92 | 48.9 | 109 | 45.8 | 89 | 42.8 | ||||||
| Optimal | 77 | 41.0 | 111 | 46.6 | 102 | 49 | ||||||
| Screen Time WK (min) | 147.7 ± 162.6 (0–720) | 125.7 ± 138 (0–660) | 119.4 ± 131.2 (0–660) | 0.012 ϕ | ||||||||
| Meets Screen Time WK | 0 | 69 | 63.3 | 103 | 56.5 | 83 | 60.1 | 0.022 ↔ <0.001 ϕ | ||||
| 1 | 119 | 36.7 | 134 | 43.5 | 125 | 39.9 | ||||||
| Screen Time WD (min) | 282.9 ± 175.6 (15–720) | 285.4 ± 186 (0–720) | 257.8 ± 167.7 (0–720) | <0.001 ϕ | ||||||||
| Meets Screen Time WD | 0 | 14 | 92.6 | 16 | 93.2 | 11 | 94.7 | <0.001 ϕ | ||||
| 1 | 174 | 7.4 | 221 | 6.8 | 197 | 5.3 | ||||||
| MVPA diary (min) | 110.7 ± 65.7 (6–354) | 139.5 ± 76.4 (4–396) | 144.5 ± 72.2 (13–332) | <0.001 ↔ <0.001 ϕ <0.001 Ψ | ||||||||
| Meets MVPA 7 days per Week | 0 | 132 | 70.2 | 141 | 59.2 | 128 | 61.5 | <0.028 ↔ <0.001 ϕ | ||||
| 1 | 56 | 29.8 | 97 | 40.8 | 80 | 38.5 | ||||||
| Sleep Time WK (hour) | 9.8 ± 1.0 (6–12) | 9.9 ± 1 (7–13) | 9.8 ± 1.1 (5–12) | ns | ||||||||
| Meets Sleep Time WK | 0 | 25 | 13.3 | 32 | 13.4 | 29 | 13.9 | 0.003 ↔ | ||||
| 1 | 163 | 86.7 | 206 | 86.6 | 179 | 86.1 | ||||||
| Sleep Time WD (hour) | 10 ± 1.7 (5–14) | 10.2 ± 1.6 (6–16) | 9.8 ± 1.7 (6–17) | <0.003 ↔ | ||||||||
| Meets Sleep Time WD | 0 | 40 | 21.3 | 46 | 19.3 | 56 | 26.9 | <0.001 ϕ | ||||
| 1 | 148 | 78.7 | 192 | 80.7 | 152 | 73.1 | ||||||
| EW | 40.8 ± 5.9 (20–50) | 41.5 ± 5 (12–50) | 41.6 ± 5.5 (20–50) | ns | ||||||||
| Girls | BMI | 18.2 ± 3.4 (13–33) | 17.9 ± 2.9 (13–27) | 17.9 ± 3.1 (1132) | <0.001 ↔ <0.001 ϕ <0.001 Ψ | |||||||
| BMI (kg/m2) | Normal weight | 134 | 68.7 | 159 | 69.4 | 133 | 73.5 | 0.002 ↔ 0.001 ϕ | ||||
| Overweight | 44 | 22.6 | 49 | 21.4 | 33 | 18.2 | ||||||
| Obesity | 17 | 8.7 | 21 | 9.2 | 15 | 8.3 | ||||||
| Strength Risk | 0 | 181 | 92.3 | 219 | 95.2 | 166 | 93.3 | <0.001 ϕ | ||||
| 1 | 15 | 7.7 | 11 | 4.8 | 12 | 6.7 | ||||||
| Handgrip Strength (kg) | 15.6 ± 3.7 (3–28) | 16.3 ± 3.8 (9–30) | 17.4 ± 3.8 (9–26) | |||||||||
| MDA | 7.3 ± 2.3 (0–12) | 7.6 ± 2 (0–12) | 7.7 ± 2.2 (0–12) | 0.039 ↔ 0.001 ϕ | ||||||||
| MDA Group | Low | 15 | 7.7 | 9 | 3.9 | 6 | 3.4 | 0.047 ↔ 0.013 ϕ | ||||
| Medium | 93 | 47.4 | 96 | 41.7 | 71 | 39.9 | ||||||
| Optimal | 88 | 44.9 | 125 | 54.3 | 101 | 56.7 | ||||||
| Screen Time WK (min) | 103.5 ± 129 (0–720) | 86.8 ± 101 (0–600) | 83.6 ± 101.4 (0–720) | 0.012 ϕ | ||||||||
| Meets Screen Time WK | 0 | 94 | 52.0 | 109 | 52.6 | 83 | 53.4 | 0.022 ↔ <0.001 ϕ | ||||
| 1 | 102 | 48.0 | 121 | 47.4 | 95 | 46.6 | ||||||
| Screen Time WD (min) | 191 ± 170.6 (0–720) | 182.7 ± 138 (0–690) | 180.4 ± 138.6 (15–720) | <0.001 ϕ | ||||||||
| Meets Screen Time WD | 0 | 38 | 80.6 | 39 | 83.0 | 22 | 87.6 | <0.001 ϕ | ||||
| 1 | 158 | 19.4 | 191 | 17.0 | 156 | 12.4 | ||||||
| MVPA diary (min) | 94.4 ± 55.2 (6–345) | 102.9 ± 56.7 (15–358) | 107.1 ± 58 (11–394) | <0.001 ↔ < 0.001 ϕ 0.003 Ψ | ||||||||
| Meets MVPA 7 days per Week | 0 | 158 | 80.6 | 179 | 77.8 | 133 | 74.7 | <0.028 ↔ <0.001 ϕ | ||||
| 1 | 38 | 19.4 | 51 | 22.2 | 45 | 25.3 | ||||||
| Sleep Time WK (hour) | 9.9 ± 1 (6–13) | 10 ± 0.8 (7–12) | 9.8 ± 0.9 (6–12) | ns | ||||||||
| Meets Sleep Time WK | 0 | 26 | 13.3 | 21 | 29.1 | 25 | 14 | 0.003 ↔ | ||||
| 1 | 170 | 86.7 | 209 | 90.9 | 153 | 86 | ||||||
| Sleep Time WD (hour) | 10.5 ± 1.5 (6–14) | 10.6 ± 1.6 (6–16) | 10.4 ± 1.4 (6–17) | <0.003 ↔ | ||||||||
| Meets Sleep Time WD | 0 | 22 | 11.2 | 25 | 10.9 | 19 | 10.7 | <0.001 ϕ | ||||
| 1 | 174 | 88.8 | 205 | 89.1 | 159 | 89.3 | ||||||
| EW | 40.9 ± 5.8 (23–50) | 41.2 ± 6 (22–50) | 40.8 ± 5.4 (22–50) | ns | ||||||||
Disclaimer/Publisher’s Note: The statements, opinions and data contained in all publications are solely those of the individual author(s) and contributor(s) and not of MDPI and/or the editor(s). MDPI and/or the editor(s) disclaim responsibility for any injury to people or property resulting from any ideas, methods, instructions or products referred to in the content. |
© 2025 by the authors. Licensee MDPI, Basel, Switzerland. This article is an open access article distributed under the terms and conditions of the Creative Commons Attribution (CC BY) license (https://creativecommons.org/licenses/by/4.0/).
Share and Cite
Portals-Riomao, A.; Nehari, A.; González-Gross, M.; Quesada-González, C.; Gesteiro, E.; Zapico, A.G. The Hidden Effects of Lockdown on Child Health: Evidence from Madrid’s ASOMAD Study. Sci 2025, 7, 25. https://doi.org/10.3390/sci7010025
Portals-Riomao A, Nehari A, González-Gross M, Quesada-González C, Gesteiro E, Zapico AG. The Hidden Effects of Lockdown on Child Health: Evidence from Madrid’s ASOMAD Study. Sci. 2025; 7(1):25. https://doi.org/10.3390/sci7010025
Chicago/Turabian StylePortals-Riomao, Alicia, Asmaa Nehari, Marcela González-Gross, Carlos Quesada-González, Eva Gesteiro, and Augusto G. Zapico. 2025. "The Hidden Effects of Lockdown on Child Health: Evidence from Madrid’s ASOMAD Study" Sci 7, no. 1: 25. https://doi.org/10.3390/sci7010025
APA StylePortals-Riomao, A., Nehari, A., González-Gross, M., Quesada-González, C., Gesteiro, E., & Zapico, A. G. (2025). The Hidden Effects of Lockdown on Child Health: Evidence from Madrid’s ASOMAD Study. Sci, 7(1), 25. https://doi.org/10.3390/sci7010025

