Assessing Body Composition in Paralympians: Accuracy of Different Measurement Methods Compared with Dual-Energy X-Ray Absorptiometry
Abstract
1. Introduction
2. Materials and Methods
2.1. Participants
2.2. Procedures
2.2.1. Anthropometric Assessment
2.2.2. Bioelectrical Impedance Analysis (BIA) Assessment
2.2.3. Air Displacement Plethysmography (ADP) Assessment
2.2.4. Dual-Energy X-Ray Absorptiometry (DXA) Assessment
2.2.5. Statistical Analysis
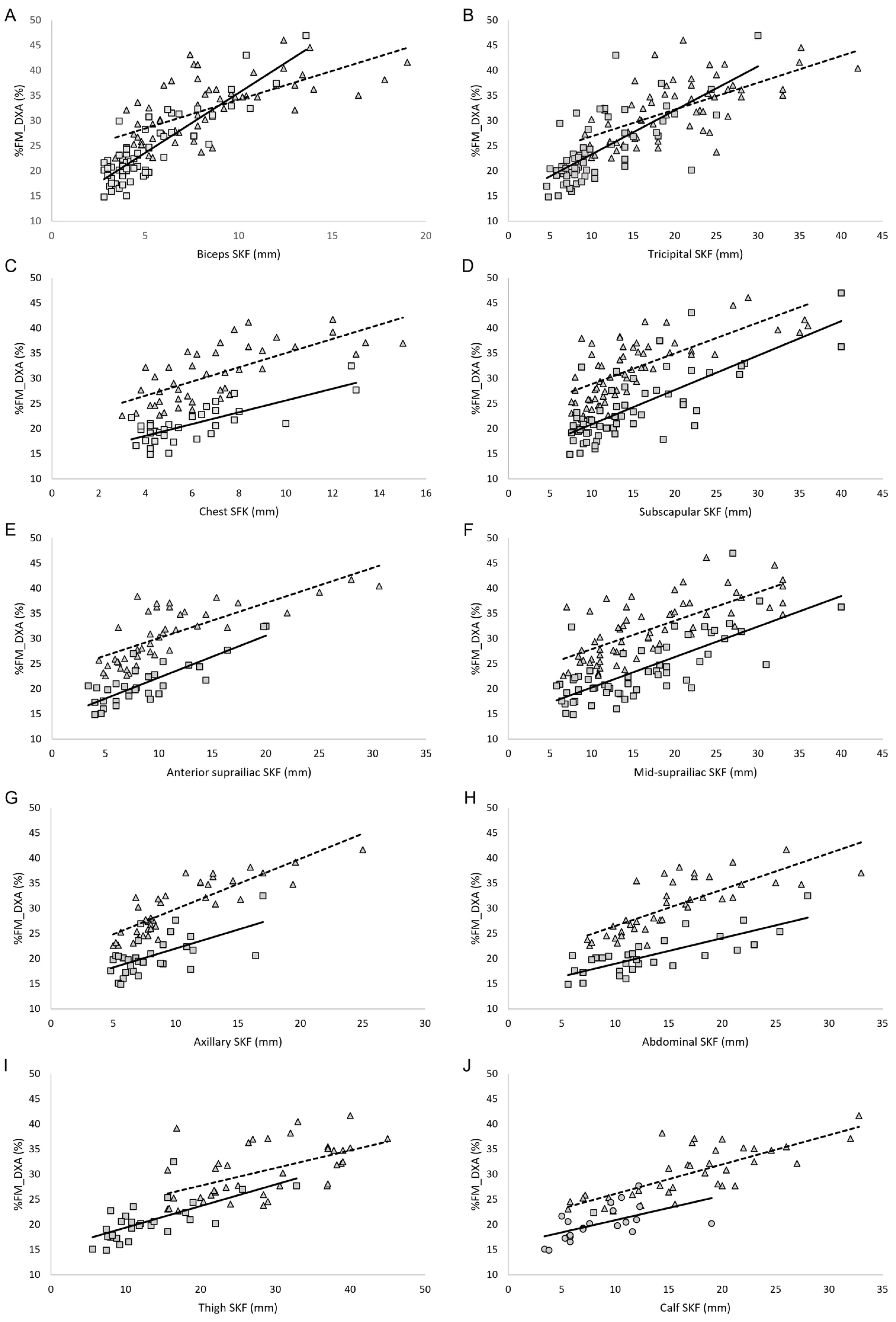
3. Results
| Descriptive Statistics | Paired t-Test | CCC | RMA Regression | Bland–Altman Analysis | ||||||||
|---|---|---|---|---|---|---|---|---|---|---|---|---|
| Method | Mean | SD | Bias (95% CI) | t | p | ES | ρc (95% CI) | Slope | Int | U LoA (95% CI) | L LoA (95% CI) | Range |
| Males | ||||||||||||
| %FM_DW (n = 59) | 19.17 | 5.80 | −4.55 (−5.48; −3.62) | 9.59 | <0.001 | −1.28 | 0.64 (0.51; 0.74) | 0.92 | −2.71 | 2.43 (0.8; 3.86) | −11.53 (−13.33; −9.54) | 13.96 |
| %FM_EV3 (n = 28) | 11.49 | 3.26 | −9.23 (−10.01; −8.45) | 22.93 | <0.001 | −4.55 | 0.20 (0.10; 0.29) | 0.81 | −5.36 | −5.25 (−6.97; −5.12) | −13.21 (−15.08; −11.29) | 7.95 |
| %FM_EV7 (n = 28) | 11.04 | 2.99 | −9.68 (−10.44; −8.92) | 26.47 | <0.001 | −5.07 | 0.17 (0.09; 0.26) | 0.74 | −4.38 | −5.94 (−6.97; −5.12) | −13.42 (−14.42; −12.14) | 7.47 |
| %FM_POL (n = 28) | 9.91 | 3.42 | −10.69 (−11.03; −9.35) | 21.90 | <0.001 | −4.72 | 0.16 (0.08; 0.24) | 0.85 | −7.64 | −6.46 (−7.57; −5.58) | −14.91 (−16.11; −13.47) | 8.45 |
| %FM_THO3 (n = 28) | 14.53 | 6.32 | −5.66 (−7.22; −4.10) | 6.70 | <0.001 | −1.30 | 0.38 (0.20; 0.53) | 1.92 | −24.25 | 2.90 (−0.43; 5.74) | −14.22 (−16.01; −12.02) | 17.12 |
| %FM_THO7 (n = 25) | 12.64 | 5.83 | −8.02 (−9.20; −6.84) | 9.18 | <0.001 | −2.80 | 0.35 (0.20; 0.49) | 1.48 | −17.91 | −2.40 (−4.91; −0.13) | −13.64 (−15.01; −11.68) | 11.25 |
| %FM_BIA (n = 58) | 13.97 | 10.18 | −9.16 (−10.96; −7.36) | 10.38 | <0.001 | −1.36 | 0.42 (0.30; 0.53) | 1.69 | −25.21 | 4.01 (−0.36; 8.04) | −22.33 (−24.56; −19.76) | 26.34 |
| %FM_ADP (n = 27) | 15.10 | 6.63 | −5.33 (−6.53; −4.13) | 5.72 | <0.001 | −1.37 | 0.50 (0.31; 0.64) | 1.71 | −19.74 | 2.31 (−0.27; 4.44) | −12.97 (−15.02; −10.47) | 15.27 |
| Females | ||||||||||||
| %FM_DW (n = 61) | 29.99 | 5.09 | −1.78 (−2.26; −1.30) | 4.03 | <0.001 | −0.51 | 0.76 (0.64; 0.85) | 0.86 | 2.54 | 4.99 (3.62; 6.29) | −8.56 (−10.33; −6.78) | 13.55 |
| %FM_EV3 (n = 38) | 24.50 | 4.20 | −5.92 (−6.91; −4.93) | 10.96 | <0.001 | −1.78 | 0.42 (0.26; 0.56) | 0.80 | 0.27 | 0.60 (−1.12; 2.07) | −12.44 (−14.58; −9.97) | 13.04 |
| %FM_EV7 (n = 38) | 23.26 | 3.82 | −7.15 (−8.03; −6.27) | 16.45 | <0.001 | −2.67 | 0.37 (0.24; 0.49) | 0.72 | 1.24 | −1.90 (−3.06; −0.85) | −12.41 (−13.84; −10.60) | 10.51 |
| %FM_POL (n = 39) | 23.71 | 5.52 | −6.96 (−8.28; −5.64) | 10.91 | <0.001 | −1.75 | 0.40 (0.24; 0.54) | 1.01 | −7.33 | 0.85 (−0.82; 2.22) | −14.77 (−17.01; −12.28) | 15.62 |
| %FM_THO3 (n = 59) | 22.43 | 7.49 | −9.00 (−10.66; −7.34) | 10.84 | <0.001 | −1.41 | 0.28 (0.15; 0.40) | 1.31 | −18.65 | 3.50 (0.98; 5.52) | −21.51 (−24.66; −18.24) | 25.01 |
| %FM_THO7 (n = 36) | 30.34 | 10.34 | 0.13 (−2.27; −2.01) | −0.12 | 0.909 | −0.02 | 0.67 (0.55; 0.76) | 2.02 | −30.67 | 13.08 (8.45; 16.98) | −12.82 (−14.93; −10.06) | 25.90 |
| %FM_BIA (n = 63) | 22.90 | 8.44 | −9.56 (−11.47; −7.65) | 11.66 | <0.001 | −1.47 | 0.35 (0.22; 0.47) | 1.27 | −18.23 | 3.20 (−0.20; 6.35) | −22.31 (−25.33; −19.02) | 25.51 |
| %FM_ADP (n = 36) | 29.43 | 8.03 | −2.33 (−3.21; −1.45) | 4.38 | <0.001 | −0.73 | 0.85 (0.76; 0.90) | 1.39 | −14.57 | 4.00 (2.07; 5.54) | −8.48 (−9.98; −6.83) | 12.48 |



4. Discussion
Author Contributions
Funding
Institutional Review Board Statement
Informed Consent Statement
Data Availability Statement
Acknowledgments
Conflicts of Interest
Abbreviations
| PA | Paralympic athletes |
| DXA | Dual-Energy X-ray Absorptiometry |
| BIA | Bioelectrical Impedance Analysis |
| ADP | Air Displacement Plethysmography |
| %FM_DXA | DXA-assessed whole-body relative fat mass |
| SKFs | skinfolds |
| %FM_BIA | BIA-assessed whole-body relative fat mass |
| %FM_ADP | ADP-assessed whole-body relative fat mass |
| %FM_DW | %FM estimated by the Durnin and Womersley equation |
| %FM_EV3 | %FM estimated using the three-site equation by Evans and colleagues |
| %FM_EV7 | %FM estimated using the seven-site equation by Evans and colleagues |
| %FM_POL | %FM estimated using the equation by Pollock and colleagues |
| %FM_THO3 | %FM estimated using the three-site equation by Thorland and colleagues |
| %FM_THO7 | %FM estimated using the seven-site equation by Thorland and colleagues |
| SCI | Spinal Cord Injuries and Related Disorders Group |
| AMP | Amputation Group |
| BI | Brain Injury Group |
| OTH | Other Health Conditions Group |
| VI | Vision and Intellectual Health Conditions Group |
| BMI | Body Mass Index |
| rP | Pearson product–moment correlation coefficient |
| rs | Spearman rank correlation coefficient |
| p | p-value |
References
- International Paralympic Committee Annual Report 2019. Available online: https://www.paralympic.org/sites/default/files/2020-12/IPC_Annual_Report_2019_2020%20NEW.pdf (accessed on 27 November 2025).
- International Paralympic Committee Annual Report 2020. Available online: https://www.paralympic.org/sites/default/files/2021-10/IPC_21_Annual_Report_2020_final_0.pdf (accessed on 27 November 2025).
- International Paralympic Committee Annual Report 2022. Available online: https://www.paralympic.org/sites/default/files/2023-09/2023_08_IPC_Annual%20Report_final_acc_0.pdf (accessed on 27 November 2025).
- Bundon, A.; Ashfield, A.; Smith, B.; Goosey-Tolfrey, V.L. Struggling to Stay and Struggling to Leave: The Experiences of Elite Para-Athletes at the End of Their Sport Careers. Psychol. Sport Exerc. 2018, 37, 296–305. [Google Scholar] [CrossRef]
- Nabhan, D.; Lewis, M.; Taylor, D.; Bahr, R. Expanding the Screening Toolbox to Promote Athlete Health: How the US Olympic & Paralympic Committee Screened for Health Problems in 940 Elite Athletes. Br. J. Sports Med. 2021, 55, 226–230. [Google Scholar] [CrossRef] [PubMed]
- Steffen, K.; Bahr, R.; Clarsen, B.; Fossan, B.; Fredriksen, H.; Gjelsvik, H.; Haugvad, L.; Hoksrud, A.F.; Iversen, E.; Koivisto-Mørk, A.; et al. Comprehensive Periodic Health Evaluations of 454 Norwegian Paralympic and Olympic Athletes over 8 Years: What Did We Learn? Br. J. Sports Med. 2024, 58, 826–835. [Google Scholar] [CrossRef] [PubMed]
- Steffen, K.; Clarsen, B.; Gjelsvik, H.; Haugvad, L.; Koivisto-Mørk, A.; Bahr, R.; Berge, H. Illness and Injury among Norwegian Para Athletes over Five Consecutive Paralympic Summer and Winter Games Cycles: Prevailing High Illness Burden on the Road from 2012 to 2020. Br. J. Sports Med. 2021, 56, bjsports-2021. [Google Scholar] [CrossRef]
- Pelliccia, A.; Quattrini, F.M.; Squeo, M.R.; Caselli, S.; Culasso, F.; Link, M.S.; Spataro, A.; Bernardi, M. Cardiovascular Diseases in Paralympic Athletes. Br. J. Sports Med. 2016, 50, 1075–1080. [Google Scholar] [CrossRef]
- Bernardi, M.; Romano, S.; Squeo, M.R.; Guerra, E.; Adami, P.E.; Alviti, F.; Mattei, A.; Corsi, L.; Lanzano, R.; Curatulo, P.G.; et al. Aerobic Fitness Is a Potential Crucial Factor in Protecting Paralympic Athletes with Locomotor Impairments from Atherosclerotic Cardiovascular Risk. Sport Sci. Health 2021, 363–374. [Google Scholar] [CrossRef]
- Pinheiro, L.; Verhagen, E.; Ocarino, J.; Fagher, K.; Ahmed, O.H.; Dalton, K.; Mann, D.L.; Weiler, R.; Akinyi Okoth, C.; Blauwet, C.A.; et al. Periodic Health Evaluation in Para Athletes: A Position Statement Based on Expert Consensus. BMJ Open Sport Exerc. Med. 2024, 10, e001946. [Google Scholar] [CrossRef]
- Hawkeswood, J.P.; O’Connor, R.; Anton, H.; Finlayson, H. The Preparticipation Evaluation for Athletes with Disability. Int. J. Sports Phys. Ther. 2014, 9, 103–115. [Google Scholar]
- Van de Vliet, P. Paralympic Athlete’s Health. Br. J. Sports Med. 2012, 46, 458–459. [Google Scholar] [CrossRef]
- Slater, G.; Goosey-Tolfrey, V. Assessing Body Composition of Athletes. In Sports Nutrition for Paralympic Athletes, 2nd ed.; CRC Press: Boca Raton, FL, USA, 2019; ISBN 978-0-429-49195-5. [Google Scholar]
- International Paralympic Committee. IPC Classification—Paralympic Categories & How to Qualify; International Paralympic Committee: Bonn, Germany, 2025. [Google Scholar]
- Goosey-Tolfrey, V.L.; Sutton, L. Body Composition in Chronic Disease and Disability. In Body Composition in Sport, Exercise and Health; Routledge: New York, NY, USA, 2012; ISBN 978-0-203-13304-0. [Google Scholar]
- Flueck, J.L. Body Composition in Swiss Elite Wheelchair Athletes. Front. Nutr. 2020, 7, 1. [Google Scholar] [CrossRef]
- Cavedon, V.; Peluso, I.; Toti, E.; Sandri, M.; Pedrinolla, A.; Zancanaro, C.; Milanese, C. DXA-Measured Total and Regional Body Composition in Female Athletes with a Physical Impairment. J. Funct. Morphol. Kinesiol. 2025, 10, 49. [Google Scholar] [CrossRef]
- Cavedon, V.; Sandri, M.; Peluso, I.; Zancanaro, C.; Milanese, C. Body Composition and Bone Mineral Density in Athletes with a Physical Impairment. PeerJ 2021, 9, e11296. [Google Scholar] [CrossRef] [PubMed]
- Sutton, L.; Wallace, J.; Goosey-Tolfrey, V.; Scott, M.; Reilly, T. Body Composition of Female Wheelchair Athletes. Int. J. Sports Med. 2009, 30, 259–265. [Google Scholar] [CrossRef] [PubMed]
- Cavedon, V.; Zancanaro, C.; Milanese, C. Body Composition Assessment in Athletes with Physical Impairment Who Have Been Practicing a Wheelchair Sport Regularly and for a Prolonged Period. Disabil. Health J. 2020, 13, 100933. [Google Scholar] [CrossRef] [PubMed]
- Miyahara, K.; Wang, D.-H.; Mori, K.; Takahashi, K.; Miyatake, N.; Wang, B.-L.; Takigawa, T.; Takaki, J.; Ogino, K. Effect of Sports Activity on Bone Mineral Density in Wheelchair Athletes. J. Bone Miner. Metab. 2008, 26, 101–106. [Google Scholar] [CrossRef]
- Cavedon, V.; Milanese, C. Body Composition in Athletes with Physical Impairments. In The Routledge Handbook of Disability Sport Science; Routledge: New York, NY, USA, 2025. [Google Scholar]
- Sherk, V.D.; Bemben, M.G.; Bemben, D.A. Interlimb Muscle and Fat Comparisons in Persons with Lower-Limb Amputation. Arch. Phys. Med. Rehabil. 2010, 91, 1077–1081. [Google Scholar] [CrossRef]
- Gorgey, A.S.; Dudley, G.A. Skeletal Muscle Atrophy and Increased Intramuscular Fat after Incomplete Spinal Cord Injury. Spinal Cord 2007, 45, 304–309. [Google Scholar] [CrossRef]
- Gorgey, A.S.; Shepherd, C. Skeletal Muscle Hypertrophy and Decreased Intramuscular Fat after Unilateral Resistance Training in Spinal Cord Injury: Case Report. J. Spinal Cord Med. 2010, 33, 90–95. [Google Scholar] [CrossRef]
- Stillman, M.D.; Williams, S. Guideline for the Identification and Management of Cardiometabolic Risk after Spinal Cord Injury: A Case of Unsubstantiated Recommendations. Spinal Cord Ser. Cases 2019, 5, 97. [Google Scholar] [CrossRef]
- Farkas, G.J.; Gater, D.R. Neurogenic Obesity and Systemic Inflammation Following Spinal Cord Injury: A Review. J. Spinal Cord Med. 2018, 41, 378–387. [Google Scholar] [CrossRef]
- Bernardi, M.; Carucci, S.; Faiola, F.; Egidi, F.; Marini, C.; Castellano, V.; Faina, M. Physical Fitness Evaluation of Paralympic Winter Sports Sitting Athletes. Clin. J. Sport Med. 2012, 22, 26–30, Erratum in Clin. J. Sport Med. 2012, 22, 209. https://doi.org/10.1097/jsm.0b013e31824237b5. [Google Scholar] [CrossRef] [PubMed]
- van der Scheer, J.W.; Totosy de Zepetnek, J.O.; Blauwet, C.; Brooke-Wavell, K.; Graham-Paulson, T.; Leonard, A.N.; Webborn, N.; Goosey-Tolfrey, V.L. Assessment of Body Composition in Spinal Cord Injury: A Scoping Review. PLoS ONE 2021, 16, e0251142. [Google Scholar] [CrossRef] [PubMed]
- Stewart, A.D.; Sutton, L. Body Composition in Sport, Exercise and Health; Routledge: New York, NY, USA, 2012; ISBN 978-0-415-61497-9. [Google Scholar]
- Keil, M.; Totosy de Zepetnek, J.O.; Brooke-Wavell, K.; Goosey-Tolfrey, V.L. Measurement Precision of Body Composition Variables in Elite Wheelchair Athletes, Using Dual-Energy X-Ray Absorptiometry. Eur. J. Sport Sci. 2016, 16, 65–71, Erratum in Eur. J. Sport Sci. 2016, 16, 391. https://doi.org/10.1080/17461391.2014.966763. [Google Scholar] [CrossRef]
- Goosey-Tolfrey, V.; Keil, M.; Brooke-Wavell, K.; de Groot, S. A Comparison of Methods for the Estimation of Body Composition in Highly Trained Wheelchair Games Players. Int. J. Sports Med. 2016, 37, 799–806. [Google Scholar] [CrossRef] [PubMed]
- Heyward, V.H.; Wagner, D.R. Applied Body Composition Assessment; Human Kinetics: Champaign, IL, USA, 2004; ISBN 978-0-7360-4630-5. [Google Scholar]
- Mojtahedi, M.C.; Valentine, R.J.; Evans, E.M. Body Composition Assessment in Athletes with Spinal Cord Injury: Comparison of Field Methods with Dual-Energy X-Ray Absorptiometry. Spinal Cord 2009, 47, 698–704. [Google Scholar] [CrossRef]
- Cavedon, V.; Zancanaro, C.; Milanese, C. Anthropometric Prediction of DXA-Measured Body Composition in Female Team Handball Players. PeerJ 2018, 6, e5913. [Google Scholar] [CrossRef]
- Willems, A.; Paulson, T.A.W.; Keil, M.; Brooke-Wavell, K.; Goosey-Tolfrey, V.L. Dual-Energy X-Ray Absorptiometry, Skinfold Thickness, and Waist Circumference for Assessing Body Composition in Ambulant and Non-Ambulant Wheelchair Games Players. Front. Physiol. 2015, 6, 356. [Google Scholar] [CrossRef]
- Pelliccia, A.; Quattrini, F.M.; Cavarretta, E.; Squeo, M.R.; Adami, P.E.; Di Paolo, F.M.; Spataro, A.; Bernardi, M. Physiologic and Clinical Features of the Paralympic Athlete’s Heart. JAMA Cardiol. 2021, 6, 30–39, Erratum in JAMA Cardiol. 2021, 6, 728. https://doi.org/10.1001/jamacardio.2020.4306. [Google Scholar] [CrossRef]
- Lohman, T.G.; Roche, A.F.; Martorell, R. Anthropometric Standardization Reference Manual; Books on Demand: Hamburg, Germany, 1988; ISBN 978-0-608-06440-6. [Google Scholar]
- Evans, E.M.; Rowe, D.A.; Misic, M.M.; Prior, B.M.; Arngrímsson, S.A. Skinfold Prediction Equation for Athletes Developed Using a Four-Component Model. Med. Sci. Sports Exerc. 2005, 37, 2006–2011. [Google Scholar] [CrossRef]
- Durnin, J.V.G.A.; Womersley, J. Body Fat Assessed from Total Body Density and Its Estimation from Skinfold Thickness: Measurements on 481 Men and Women Aged from 16 to 72 Years. Br. J. Nutr. 1974, 32, 77–97. [Google Scholar] [CrossRef]
- Pollock, M.L.; Hickman, T.; Kendrick, Z.; Jackson, A.; Linnerud, A.C.; Dawson, G. Prediction of Body Density in Young and Middle-Aged Men. J. Appl. Physiol. 1976, 40, 300–304. [Google Scholar] [CrossRef]
- Thorland, W.G.; Johnson, G.O.; Tharp, G.D.; Housh, T.J.; Cisar, C.J. Estimation of Body Density in Adolescent Athletes. Hum. Biol. 1984, 56, 439–448. [Google Scholar] [PubMed]
- Siri, W. Body Volume Measurement by Gas Dilution; National Academy of Sciences: Washington, DC, USA, 1961. [Google Scholar]
- COSMED BOD POD Gold Standard Body Composition Tracking System Operator’s Manual-P/N 210-2400 Rev. M-DCO 1765 2015. Available online: https://www.cosmed.com/en/products/body-composition/bod-pod-gs-x (accessed on 27 November 2025).
- Nana, A.; Slater, G.J.; Stewart, A.D.; Burke, L.M. Methodology Review: Using Dual-Energy X-Ray Absorptiometry (DXA) for the Assessment of Body Composition in Athletes and Active People. Int. J. Sport Nutr. Exerc. Metab. 2015, 25, 198–215. [Google Scholar] [CrossRef] [PubMed]
- Cohen, J. Statistical Power Analysis for the Behavioral Sciences, 2nd ed.; Routledge: New York, NY, USA, 2013; ISBN 978-0-203-77158-7. [Google Scholar]
- Lin, L.I. A Concordance Correlation Coefficient to Evaluate Reproducibility. Biometrics 1989, 45, 255–268. [Google Scholar] [CrossRef] [PubMed]
- Harper, W.V. Reduced Major Axis Regression. In Wiley StatsRef: Statistics Reference Online; John Wiley & Sons: Hoboken, NJ, USA, 2016; pp. 1–6. ISBN 978-1-118-44511-2. [Google Scholar]
- Bland, J.M.; Altman, D.G. Agreed Statistics: Measurement Method Comparison. Anesthesiology 2012, 116, 182–185. [Google Scholar] [CrossRef]
- Heymsfield, S.B.; Peterson, C.M.; Thomas, D.M.; Heo, M.; Schuna, J.M. Why Are There Race/Ethnic Differences in Adult Body Mass Index–Adiposity Relationships? A Quantitative Critical Review. Obes. Rev. 2016, 17, 262–275. [Google Scholar] [CrossRef]


| References | Abbreviation | Sex | Skinfold Equation |
|---|---|---|---|
| Durnin and Womersley, 1974 [40] | %FM_DW | M | BD = 1.1765 − [0.0744 · log10 (BI + TR + SS + SI)] |
| F | BD = 1.1567 − [0.0717 · log10 (BI + TR + SS + SI)] | ||
| Evans et al., 2005 [39] | %FM_EV3 | M/F | %FM = 8.997 + [0.24658 · (TR + AB + TH)] − (6.343 · Sex) − (1.998 · Race) |
| Evans et al., 2005 [39] | %FM_EV7 | M/F | %FM = 10.566 + [0.12077 · (TR + SI + TH + SS + AX + CH + AB)] − (8.057 · Sex) − (2.545 · Race) |
| Pollock et al., 1976 [41] | %FM_POL | M | BD = 1.09716 − (0.00065 · CH) − (0.00055 · SS) − (0.0008 ·TH) |
| F | BD = 1.0852 − (0.0008 · SI) − (0.00011 · TH) | ||
| Thorland et al., 1984 [42] | %FM_THO3 | M | BD = 1.1136 − [0.00154 · (TR + SS + AX)] + [0.00000516 · (TR + SS + AX)2] |
| F | BD = 1.0987 − [0.00122 · (TR + SS + SI)] + [0.00000263 · (TR + SS + SI)2] | ||
| Thorland et al., 1984 [42] | %FM_THO7 | M | BD = 1.1091 − [0.00052 · (TR + SS + AX + SI + AB + TH + CA)] + [0.00000032 · (TR + SS + AX + SI + AB + TH + CA)2] |
| F | BD = 1.1046 − [0.00059 · (TR + SS + AX + SI + AB + TH + CA)] + [0.00000060 · (TR + SS + AX + SI + AB + TH + CA)2] |
| Males | Females | ||||
|---|---|---|---|---|---|
| Variable | Group | Mean | SD | Mean | SD |
| Age (years) | SCI | 35.3 | 10.7 | 35.0 | 10.1 |
| AMP | 29.1 | 6.4 | 29.5 | 8.0 | |
| BI | 32.3 | 9.3 | 27.3 | 2.1 | |
| OTH | 32.6 | 9.3 | 35.5 | 10.2 | |
| VI | 24.0 | 4.4 | 31.1 | 10.5 | |
| Body Mass (kg) | SCI | 69.1 | 11.5 | 58.2 | 8.0 |
| AMP | 68.1 | 14.6 | 56.5 | 7.7 | |
| BI | 65.9 | 8.5 | 67.4 | 17.7 | |
| OTH | 68.4 | 16.1 | 67.4 | 10.7 | |
| VI | 83.3 | 11.8 | 74.1 | 26.8 | |
| Stature (cm) | SCI | 175.0 | 12.9 | 166.3 | 9.9 |
| AMP | 173.1 | 17.5 | 166.3 | 4.9 | |
| BI | 176.4 | 8.4 | 166.3 | 8.4 | |
| OTH | 176.6 | 7.0 | 168.1 | 7.8 | |
| VI | 178.8 | 1.9 | 171.2 | 8.3 | |
| BMI (kg/m2) | SCI | 22.8 | 5.0 | 21.1 | 3.1 |
| AMP | 22.8 | 3.8 | 20.4 | 2.2 | |
| BI | 21.1 | 1.8 | 24.1 | 3.7 | |
| OTH | 21.8 | 4.3 | 23.9 | 4.0 | |
| VI | 26.1 | 4.2 | 24.8 | 6.7 |
| Males | Females | |||||||||||||||||
|---|---|---|---|---|---|---|---|---|---|---|---|---|---|---|---|---|---|---|
| Linear Regression Analysis | Cross-Validation | Linear Regression Analysis | Cross-Validation | |||||||||||||||
| Variable | n | rP/rs | Adj R2 | SEE | Int | Coe | p | RMSPE (M ± SD) | R2 (CV) (M ± SD) | n | rP/rs | Adj R2 | SEE | Int | Coe | p | RMSPE (M ± SD) | R2 (CV) (M ± SD) |
| Biceps SKF | 62 | 0.86 | 0.74 | 3.39 | 11.70 | 2.39 | <0.001 | 3.40 ± 0.69 | 0.76 ± 0.03 | 64 | 0.68 | 0.43 | 4.54 | 22.74 | 1.15 | <0.001 | 4.65 ± 0.48 | 0.51 ± 0.14 |
| Triceps SKF | 63 | 0.72 | 0.50 | 4.66 | 14.57 | 0.87 | <0.001 | 4.54 ± 1.34 | 0.55 ± 0.18 | 63 | 0.65 | 0.40 | 4.63 | 21.53 | 0.54 | <0.001 | 4.75 ± 1.34 | 0.55 ± 0.19 |
| Chest SKF | 34 | 0.75 | 0.55 | 2.47 | 13.87 | 1.17 | <0.001 | 2.64 ± 0.50 | 0.53 ± 0.30 | 43 | 0.73 | 0.50 | 3.99 | 20.88 | 1.42 | <0.001 | 3.89 ± 0.66 | 0.53 ± 0.05 |
| Subscapular SKF | 62 | 0.75 | 0.56 | 4.39 | 13.98 | 0.69 | <0.001 | 4.16 ± 1.74 | 0.56 ± 0.32 | 62 | 0.73 | 0.51 | 4.18 | 22.76 | 0.61 | <0.001 | 4.19 ± 0.58 | 0.55 ± 0.14 |
| Anterior suprailiac SKF | 31 | 0.83 | 0.68 | 2.50 | 13.91 | 0.83 | <0.001 | 2.44 ± 0.59 | 0.69 ± 0.22 | 44 | 0.81 | 0.55 | 3.71 | 23.10 | 0.70 | <0.001 | 3.65 ± 0.34 | 0.55 ± 0.11 |
| Mid-suprailiac SKF | 60 | 0.74 | 0.53 | 4.27 | 14.16 | 0.61 | <0.001 | 4.16 ± 1.52 | 0.59 ± 0.25 | 62 | 0.72 | 0.51 | 4.17 | 22.23 | 0.57 | <0.001 | 4.19 ± 0.29 | 0.56 ± 0.11 |
| Axillary SKF | 30 | 0.59 | 0.33 | 3.19 | 14.54 | 0.75 | 0.001 | 3.62 ± 0.98 | 0.35 ± 0.31 | 39 | 0.84 | 0.71 | 2.89 | 19.86 | 1.00 | <0.001 | 3.21 ± 0.92 | 0.80 ± 0.07 |
| Abdominal SKF | 30 | 0.79 | 0.61 | 2.41 | 13.92 | 0.51 | <0.001 | 2.55 ± 0.46 | 0.53 ± 0.35 | 40 | 0.84 | 0.59 | 3.45 | 19.28 | 0.72 | <0.001 | 3.60 ± 0.91 | 0.66 ± 0.16 |
| Thigh SKF | 28 | 0.67 | 0.42 | 3.04 | 15.07 | 0.43 | <0.001 | 3.23 ± 1.39 | 0.61 ± 0.31 | 39 | 0.59 | 0.28 | 4.63 | 20.76 | 0.35 | <0.001 | 4.70 ± 0.90 | 0.37 ± 0.19 |
| Calf SKF | 24 | 0.55 | 0.28 | 2.67 | 16.03 | 0.49 | 0.005 | 2.74 ± 0.68 | 0.55 ± 0.37 | 37 | 0.77 | 0.59 | 3.31 | 20.27 | 0.59 | <0.001 | 3.10 ± 1.11 | 0.62 ± 0.21 |
| Sum of three SKFs | 62 | 0.85 | 0.71 | 3.58 | 11.41 | 0.41 | <0.001 | 3.65 ± 0.92 | 0.70 ± 0.14 | 61 | 0.77 | 0.58 | 3.81 | 19.49 | 0.29 | <0.001 | 3.76 ± 0.63 | 0.58 ± 0.20 |
| Sum of four SKFs | 60 | 0.79 | 0.73 | 3.25 | 11.56 | 0.26 | <0.001 | 3.33 ± 0.71 | 0.71 ± 0.23 | 61 | 0.82 | 0.62 | 3.64 | 19.19 | 0.21 | <0.001 | 3.58 ± 0.81 | 0.66 ± 0.12 |
| Sum of seven SKFs | 29 | 0.74 | 0.69 | 2.20 | 10.79 | 0.15 | <0.001 | 2.21 ± 0.54 | 0.71 ± 0.12 | 39 | 0.89 | 0.77 | 2.56 | 16.81 | 0.15 | <0.001 | 2.49 ± 0.53 | 0.81 ± 0.05 |
| Sum of nine SKFs | 24 | 0.88 | 0.76 | 1.54 | 10.92 | 0.11 | <0.001 | 1.60 ± 0.32 | 0.84 ± 0.08 | 37 | 0.90 | 0.79 | 2.37 | 15.18 | 0.11 | <0.001 | 2.39 ± 0.45 | 0.84 ± 0.01 |
| Waist circumference | 30 | 0.48 | 0.20 | 3.47 | 2.96 | 0.22 | 0.008 | 3.36 ± 0.83 | 0.25 ± 0.20 | 41 | 0.75 | 0.49 | 3.95 | 6.33 | 0.32 | <0.001 | 4.05 ± 0.68 | 0.60 ± 0.10 |
| Abdominal circumference | 30 | 0.46 | 0.18 | 3.50 | 2.32 | 0.22 | 0.011 | 3.63 ± 0.91 | 0.24 ± 0.24 | 40 | 0.48 | 0.21 | 4.93 | 18.78 | 0.15 | 0.002 | 5.51 ± 2.60 | 0.56 ± 0.31 |
| Hip circumference | 21 | 0.24 | 0.01 | 3.18 | 11.01 | 0.91 | 0.292 | 3.22 ± 0.85 | 0.29 ± 0.33 | 33 | 0.72 | 0.50 | 3.76 | −13.95 | 0.45 | <0.001 | 3.69 ± 1.04 | 0.59 ± 0.25 |
Disclaimer/Publisher’s Note: The statements, opinions and data contained in all publications are solely those of the individual author(s) and contributor(s) and not of MDPI and/or the editor(s). MDPI and/or the editor(s) disclaim responsibility for any injury to people or property resulting from any ideas, methods, instructions or products referred to in the content. |
© 2025 by the authors. Licensee MDPI, Basel, Switzerland. This article is an open access article distributed under the terms and conditions of the Creative Commons Attribution (CC BY) license.
Share and Cite
Spada, R.; Cavedon, V.; Macori, L.; Toraldo, A.; Torrisi, L.; Franco, A.; Squeo, M.R.; Bernardi, M. Assessing Body Composition in Paralympians: Accuracy of Different Measurement Methods Compared with Dual-Energy X-Ray Absorptiometry. J. Funct. Morphol. Kinesiol. 2026, 11, 1. https://doi.org/10.3390/jfmk11010001
Spada R, Cavedon V, Macori L, Toraldo A, Torrisi L, Franco A, Squeo MR, Bernardi M. Assessing Body Composition in Paralympians: Accuracy of Different Measurement Methods Compared with Dual-Energy X-Ray Absorptiometry. Journal of Functional Morphology and Kinesiology. 2026; 11(1):1. https://doi.org/10.3390/jfmk11010001
Chicago/Turabian StyleSpada, Raffaella, Valentina Cavedon, Lucrezia Macori, Amedeo Toraldo, Loredana Torrisi, Alessio Franco, Maria Rosaria Squeo, and Marco Bernardi. 2026. "Assessing Body Composition in Paralympians: Accuracy of Different Measurement Methods Compared with Dual-Energy X-Ray Absorptiometry" Journal of Functional Morphology and Kinesiology 11, no. 1: 1. https://doi.org/10.3390/jfmk11010001
APA StyleSpada, R., Cavedon, V., Macori, L., Toraldo, A., Torrisi, L., Franco, A., Squeo, M. R., & Bernardi, M. (2026). Assessing Body Composition in Paralympians: Accuracy of Different Measurement Methods Compared with Dual-Energy X-Ray Absorptiometry. Journal of Functional Morphology and Kinesiology, 11(1), 1. https://doi.org/10.3390/jfmk11010001

