A Review of Basic Energy Reconstruction Techniques in Liquid Xenon and Argon Detectors for Dark Matter and Neutrino Physics Using NEST
Abstract
1. Introduction
2. Methods
2.1. General
2.2. NEST-Specific Details
- A Fano-like factor sets variation in total quanta, with a binomial distribution for differentiating excitons/ions (inelastic scattering). In LXe, it is not sub-Poissonian as in GXe, as experimentally verified in each phase [50].
- Recombination fluctuations [51,52,53]: the “slosh” of vs. caused by recombination probability for ionization s, which may either recombine to make more S1, or escape to make S2. These are worse (i.e., larger) than expected naïvely (non-binomial). This is distinct from Fano factor, and canceled by combined E.
- is used to define a binomial distribution for the S1 photon detection efficiency with .
- For an S1 to be above the trigger threshold, most experiments require that O(0.1) phe must be observed in N PMTs for N-fold coincidence, where usually or 3, within a coincidence window, of 50–150 ns, requiring a basic timing model for singlet and triplet states and photon propagation time. The 2 or 3-fold coincidence prevents triggering on photo-sensor dark counts. Baseline noise O(0.1) phe is also modeled.
- The pulse areas of single phe are assumed to follow a truncated (negative phe are not possible) Gaussian distribution, with O(10%) resolution differing by photon-sensor, but a detector-wide average is used for NEST, as an approximation. If single phe detection efficiency is reported, it can be used instead of a threshold applied to a Gaussian random number generator, thus taking non-Gaussianity and other detector-specific idiosyncrasies into account. This and others numbers are collected from arXiv, publications, and theses.
- Drifting, diffusing electrons are removed via an exponential electron lifetime, and are assumed to follow a binomial extraction efficiency, while the number of photons produced per surviving extracted electron depends on the gas density, electroluminescence electric field, and gas gap size, in a 2-phase TPC [54,55].
- A special Fano factor, typically also >1 for S2 accounts for non-Poissonian behavior, due for example to grid wire sagging. A value of 2–4 is normal [56]. S2 photons experience a similar binomial photon detection efficiency as S1 photons, moving along from photons to phe (for S2, from electrons to photons to phe). A raw, total S2 threshold O(100) phe removes the lowest-energy events, to avoid few-electron backgrounds [57].
- S1 and S2 XYZ variation is simulated in NEST if provided in analytical form, then realistically corrected back out, based upon finite position resolution, not MC truth positions, thus allowing not only for correct means but correct widths. (Z or drift correction applies only to S1, handled for S2 by the electron lifetime.)
- falls while rises with drift field in anti-correlated fashion, and fields can be non-uniform.
3. Results
3.1. Liquid Xenon Electron Recoil
3.1.1. Low Energy: keV-scale (Dark Matter Background, Signal) Basic Reconstruction of Mono-E Peaks
3.1.2. More Advanced Energy Reconstruction Strategies, from keV to MeV Scales, and Resolution
3.1.3. High Energy: The MeV Scale (Neutrinoless Double-Beta Decay)
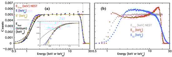
3.1.4. Energy Reconstruction and Efficiencies for a Continuous Spectrum
3.2. Liquid Xenon Nuclear Recoil (Dark Matter Signal, and Boron-8 Background)
3.3. Liquid Xenon Summaries
- A combined scale reconstructs monoenergetic ER peaks best for DM/ projects, but below 3 keV at least this is not true according to an Ar study with S2-only best (outperforming S1 as well) if lifetime is high. A combination can be established with two numbers, S1 and S2 gains, leading to a 1D histogram (XENON/LUX style) or equivalently a 2D rotation angle (Conti/EXO method).
- An optimal weighting of S1 and S2 can result in better resolution than simple combined energy, down to keV even, and mitigation of threshold bias and skew. Higher, the best resolution occurs when the weights applied to the S1 and S2 are and , but machine learning is likely to outperform analytic methods, if more parameters (beyond S1, S2) are considered.
- For neutrinoless double-beta decay, O(1%) resolution has been achieved in the relevant energy range by a multitude of different experiments and technologies, while the best feasible may be 0.4–0.6%, in liquid, which may be limited by a Fano factor (often confused with recombination fluctuations) that is higher than in gas. No one experiment has yet reached its full potential.
- For a continuous ER spectrum, the combined scale is a clear winner over S1-only and S2-only alike, at least for a uniform energy distribution (uniform in neither S1 nor S2, as and are functions of energy, not flat). Optimization with re-weighting is still possible, just in a different manner than done for monoenergetic peaks, because of cross-contamination between bins.
- While impossible to obtain from truly monoenergetic lines, a summation of separate and data sets results in strong evidence of NR anti-correlation akin to ER’s and no statistically significant difference from Lindhard even sub-keV, at least given additional high-E quenching.
- Despite the point above, the advantages of a combined scale are not significant compared to the S1-only default (but S2 comparable) as so much E is lost to heat (>80%) decreasing pulse areas.
- An optimized combination scale, which corrects for order-of-magnitude discrepancies in efficiency below 1 keV, is still best, but likely requires fine-tuning by energy spectrum. It is also likely to be highly detector-dependent and only important after a WIMP discovery is made, to fit the mass and cross-section the most precisely. A uniform spectrum is a bad approximation in any case.
3.4. Liquid Argon Electron Recoil
3.4.1. Low Energy: keV-scale (Dark Matter Backgrounds/Calibrations) Monoenergetic Peaks
3.4.2. High Energies: The MeV and GeV Scales (Neutrino Physics)
3.5. Liquid Argon Nuclear Recoil (Dark Matter Signal, and CEvNS)
3.6. Liquid Argon Summaries
- A combined S1 + S2 scale continues to reconstruct ER energies best for DM/neutrino experiments, due to anti-correlation between channels, but not if is very low (≪1%) or very high (e.g., 2-phase TPC). An additional challenge is created by sitting on top of a continuous background like the beta decay of Ar for combined energies, but noise in Q can make S1 more favorable.
- is more important than just E at the GeV scales of greatest relevance to neutrino projects and it is most commonly reconstructed utilizing (ignoring ).
- A correction (∼0.8) must be inserted into the simulation of charge yields for use in the traditional Q-only scale, lowering the Q that is output, if the delta-ray production threshold is set above the -ion thermalization radius O(1 m) in MC. Energy resolution may also be affected, not just mean yields, and high-energy, low- (MIP) interactions are not immune to this problem due to secondary particle production, handled with, e.g., Geant4.
- Due to differences in delta rays and other secondaries, an analytical fit may be impossible across all particle types, leading to different recombination probabilities even if you consider only the averages versus or energy.
- Either escape probability or recombination can be modeled as a function of the (or the LET, which includes the effects of density).
- While possible to measure for only approximately monoenergetic peaks, a summation of the few available plus data sets results in evidence for NR anti-correlation (akin to ERs) and modest agreement with Lindhard. This is important for both DM and CENS.
- Due to uncertainty in the scintillation yield, an S2-only scale may be beneficial, but exploration of combined E may still be interesting in the future (as stated above). Non-zero-field measurements are not as plentiful for charge yields as zero-field light-only ones for NR in liquid argon.
4. Discussion and General Conclusions
- The first comparison as far as we know of the same one monoenergetic ER peak (Ar calibration) across S1-only, S2-only, and two versions of combined energy (standard and optimized) with both real data and NEST, with skew-Gaussians adjusting for detection efficiency and other effects. Width for S1 only was shown to be ∼4x worse than the best possible.
- The only full explanation published for an optimized (weighted) combined-E scale (not in a thesis or an internal report).
- While the combined-E scale has already been established as superior to S1-only in past work, we explore also an S2-only scale and show it may outperform combined energy at the keV level, but only for monoenergetic peaks and high .
- Demonstration that combined energies (even non-optimal) improve not just the widths and thus energy resolution, as already established in the community, but also reconstructed mean energies, and shape (i.e., symmetry or skewness).
- Replication of measured upward bias in E reconstruction with NEST, suggesting it is due to both thresholds and physics.
- A summary of energy resolutions from experiments, with MCs suggesting where to make improvements.
- Clear delineation of the difference between recombination fluctuations, which affect S1 vs. S2, and the Fano factor, that controls their total, as the literature is currently unclear on this, with one term often being used incorrectly for the other.
- A complete comparison analogous to (1) above for the efficiency vs. reconstructed E, for both ER/NR, as reconstructed by S1, S2, and both (standard and optimum combination) compared together for a simple continuous spectrum (box/WIMP).
- The most complete compilation to date of NR , showing also a Lindhard-like power law matches the total yield.
- The first comparisons of NEST performed for LAr, in plots for dark matter at low energies and neutrino physics for high Es (vs. ) never presented before, demonstrating a new understanding of mean yields and widths, requiring G4.
- An exhaustive simulated table relevant to neutrino physics that goes beyond existing data, and predicts a significant improvement in E reconstruction at an energy (1 MeV, low LET) still relevant to neutrinos, for sufficiently high .
- A demonstration that anti-correlation was “hiding” in seminal work by Doke et al. with an explicit reanalysis of the original paper showing photons and electrons sum to a constant for a MIP in LAr as a function of E-field at fixed E.
- A clarification of confusing/conflicting definitions of work function, recombination probability, and charge yield.
- Quantitative proof confirming the hypothesis ICARUS’ data required a correction specifically for not having delta rays activated in simulation, plus the first evidence not just mean reconstruction of charge is affected but also the width.
- A comprehensive compilation of all existing data and models for NR in terms of total yield not just light, beyond 0 V/cm.
Funding
Acknowledgments
Conflicts of Interest
References
- Akerib, D.; Akerlof, C.; Alsum, S.; Araújo, H.; Arthurs, M.; Bai, X.; Bailey, A.; Balajthy, J.; Balashov, S.; Bauer, D.; et al. Projected WIMP sensitivity of the LUX-ZEPLIN dark matter experiment. Phys. Rev. D 2020, 101, 052002. [Google Scholar] [CrossRef]
- Aprile, E.; Aalbers, J.; Agostini, F.; Alfonsi, M.; Amaro, F.; Anthony, M.; Arneodo, F.; Barrow, P.; Baudis, L.; Bauermeister, B.; et al. First Dark Matter Search Results from the XENON1T Experiment. Phys. Rev. Lett. 2017, 119. [Google Scholar] [CrossRef]
- Cui, X.; Abdukerim, A.; Chen, W.; Chen, X.; Chen, Y.; Dong, B.; Fang, D.; Fu, C.; Giboni, K.; Giuliani, F.; et al. Dark Matter Results from 54-Ton-Day Exposure of PandaX-II Experiment. Phys. Rev. Lett. 2017, 119, 181302. [Google Scholar] [CrossRef] [PubMed]
- Li, C.Y.; Si, Z.G.; Zhou, Y.F. Constraints on dark matter interactions from the first results of DarkSide-50. Nucl. Phys. B 2019, 945, 114678. [Google Scholar] [CrossRef]
- Ajaj, R.; Amaudruz, P.A.; Araujo, G.; Baldwin, M.; Batygov, M.; Beltran, B.; Bina, C.; Bonatt, J.; Boulay, M.; Broerman, B.; et al. Search for dark matter with a 231-day exposure of liquid argon using DEAP-3600 at SNOLAB. Phys. Rev. D 2019, 100, 022004. [Google Scholar] [CrossRef]
- McCabe, C. Astrophysical uncertainties of dark matter direct detection experiments. Phys. Rev. D 2010, 82, 023530. [Google Scholar] [CrossRef]
- Aprile, E.; Aalbers, J.; Agostini, F.; Alfonsi, M.; Althueser, L.; Amaro, F.; Anthony, M.; Arneodo, F.; Barrow, P.; Baudis, L.; et al. Search for bosonic super-WIMP interactions with the XENON100 experiment. Phys. Rev. D 2017, 96, 122002. [Google Scholar] [CrossRef]
- Abi, B.; Acciarri, R.; Acero, M.A.; Adamov, G.; Adams, D.; Adinolfi, M.; Ahmad, Z.; Ahmed, J.; Monsalve, A.T.; Alonso, S. Deep Underground Neutrino Experiment (DUNE), Far Detector Technical Design Report, Volume I: Introduction to DUNE. arXiv 2020, arXiv:2002.02967. [Google Scholar]
- Abratenko; Alrashed, P.; An, M.; Anthony, R.; Asaadi, J.; Ashkenazi, J.; Balasubramanian, A.S.; Baller, B.; Barnes, C.; Barr, G.; et al. A Convolutional Neural Network for Multiple Particle Identification in the MicroBooNE Liquid Argon Time Projection Chamber. arXiv 2020, arXiv:2010.08653. [Google Scholar]
- Anton, G.; Badhrees, I.; Barbeau, P.; Beck, D.; Belov, V.; Bhatta, T.; Breidenbach, M.; Brunner, T.; Cao, G.; Cen, W.; et al. Search for Neutrinoless Double-Beta Decay with the Complete EXO-200 Dataset. Phys. Rev. Lett. 2019, 123, 161802. [Google Scholar] [CrossRef]
- Woodruff, K.; Baeza-Rubio, J.; Huerta, D.; Jones, B.; McDonald, A.; Norman, L.; Nygren, D.; Adams, C.; Álvarez, V.; Arazi, L.; et al. Radio frequency and DC high voltage breakdown of high pressure helium, argon, and xenon. J. Instrum. 2020, 15, P04022. [Google Scholar] [CrossRef]
- Akerib, D.; Bai, X.; Bedikian, S.; Bernard, E.; Bernstein, A.; Bolozdynya, A.; Bradley, A.; Byram, D.; Cahn, S.; Camp, C.; et al. The Large Underground Xenon (LUX) experiment. Nucl. Instrum. Methods Phys. Res. Sect. A Accel. Spectrometers Detect. Assoc. Equip. 2013, 704, 111–126. [Google Scholar] [CrossRef]
- Albert, J.B.; Auty, D.J.; Barbeau, P.S.; Beauchamp, E.; Beck, D.; Belov, V.; Benitez-Medina, C.; Bonatt, J.; Breidenbach, M.; Brunner, T.; et al. Search for Majorana neutrinos with the first two years of EXO-200 data. Nature 2014, 510, 229–234. [Google Scholar]
- Fernandes, L.M.P.; Freitas, E.D.C.; Ball, M.; Gómez-Cadenas, J.J.; Monteiro, C.M.B.; Yahlali, N.; Nygren, D.; Santos, J.M.F. Primary and secondary scintillation measurements in a Xenon Gas Proportional Scintillation Counter. J. Instrum. 2010, 5, P09006. [Google Scholar] [CrossRef]
- Szydagis, M.; Andaloro, S.; Cutter, J.; Jimenez, G.; Kozlova, E.S.; Ni, K.; Rischbieter, G.R.C.; Tripathi, M.; Velan, V.; Walsh, N.; et al. NEST: Noble Element Simulation Technique, A Symphony of Scintillation. 2020 UC Davis. Available online: http://nest.physics.ucdavis.edu (accessed on 18 March 2021).
- Faham, C.; Gehman, V.; Currie, A.; Dobi, A.; Sorensen, P.; Gaitskell, R. Measurements of wavelength-dependent double photoelectron emission from single photons in VUV-sensitive photomultiplier tubes. J. Instrum. 2015, 10, P09010. [Google Scholar] [CrossRef]
- Aprile, E.; Arisaka, K.; Arneodo, F.; Askin, A.; Baudis, L.; Behrens, A.; Bokeloh, K.; Brown, E.; Cardoso, J.M.R.; Choi, B.; et al. First Dark Matter Results from the XENON100 Experiment. Phys. Rev. Lett. 2010, 105, 131302. [Google Scholar] [CrossRef]
- Akerib, D.; Araújo, H.; Bai, X.; Bailey, A.; Balajthy, J.; Beltrame, P.; Bernard, E.; Bernstein, A.; Biesiadzinski, T.; Boulton, E.; et al. Improved Limits on Scattering of Weakly Interacting Massive Particles from Reanalysis of 2013 LUX Data. Phys. Rev. Lett. 2016, 116, 161301. [Google Scholar] [CrossRef]
- Akerib, D.; Alsum, S.; Araújo, H.; Bai, X.; Bailey, A.; Balajthy, J.; Beltrame, P.; Bernard, E.; Bernstein, A.; Biesiadzinski, T.; et al. Results from a Search for Dark Matter in the Complete LUX Exposure. Phys. Rev. Lett. 2017, 118, 021303. [Google Scholar] [CrossRef] [PubMed]
- Abe, K.; Hieda, K.; Hiraide, K.; Hirano, S.; Kishimoto, Y.; Ichimura, K.; Kobayashi, K.; Moriyama, S.; Nakagawa, K.; Nakahata, M.; et al. Search for Bosonic Superweakly Interacting Massive Dark Matter Particles with the XMASS-I Detector. Phys. Rev. Lett. 2014, 113, 121301. [Google Scholar] [CrossRef] [PubMed]
- Hackett, B.R. The DarkSide-50 Experiment: Electron Recoil Calibrations and A Global Energy Variable. Ph.D. Thesis, University of Hawaii, Manoa, HI, USA, 2017. [Google Scholar] [CrossRef]
- Agnes, P. Direct Search for Dark Matter with the DarkSide Experiment. Ph.D. Thesis, APC, Paris, France, 2016. [Google Scholar]
- Pagani, L. Direct Dark Matter Detection with the DarkSide-50 Experiment. Ph.D. Thesis, University of Genoa, Genova, Italy, 2017. [Google Scholar]
- Akerib, D.; Alsum, S.; Araújo, H.; Bai, X.; Balajthy, J.; Baxter, A.; Bernard, E.; Bernstein, A.; Biesiadzinski, T.; Boulton, E.; et al. Improved modeling of beta electronic recoils in liquid xenon using LUX calibration data. J. Instrum. 2020, 15, T02007. [Google Scholar] [CrossRef]
- Boulton, E. Applications of Two-Phase Xenon Time Projection Chambers: Searching for Dark Matter and Special Nuclear Materials. Ph.D. Thesis, Yale University, New Haven, CT, USA, 2019. [Google Scholar]
- Akerib, D.; Alsum, S.; Araújo, H.; Bai, X.; Bailey, A.; Balajthy, J.; Beltrame, P.; Bernard, E.; Bernstein, A.; Biesiadzinski, T.; et al. Kr83m calibration of the 2013 LUX dark matter search. Phys. Rev. D 2017, 96, 112009. [Google Scholar] [CrossRef]
- Akerib, D.S.; Alsum, S.; Araújo, H.M.; Bai, X.; Bailey, A.J.; Balajthy, J.; Beltrame, P.; Bernard, E.P.; Bernstein, A.; Biesiadzinski, T.P.; et al. Low-energy (0.7–74 keV) nuclear recoil calibration of the LUX dark matter experiment using D-D neutron scattering kinematics. arXiv 2016, arXiv:1608.05381. [Google Scholar]
- Sarkis, Y.; Aguilar-Arevalo, A.; D’Olivo, J.C. Study of the ionization efficiency for nuclear recoils in pure crystals. Phys. Rev. D 2020, 101, 102001. [Google Scholar] [CrossRef]
- Angle, J.; Aprile, E.; Arneodo, F.; Baudis, L.; Bernstein, A.; Bolozdynya, A.; Brusov, P.; Coelho, L.C.C.; Dahl, C.E.; DeViveiros, L.; et al. First Results from the XENON10 Dark Matter Experiment at the Gran Sasso National Laboratory. Phys. Rev. Lett. 2008, 100, 021303. [Google Scholar] [CrossRef] [PubMed]
- Manzur, A.; Curioni, A.; Kastens, L.; McKinsey, D.; Ni, K.; Wongjirad, T. Scintillation efficiency and ionization yield of liquid xenon for mono-energetic nuclear recoils down to 4 keV. Phys. Rev. C 2010, 81, 025808. [Google Scholar] [CrossRef]
- Plante, G.; Aprile, E.; Budnik, R.; Choi, B.; Giboni, K.L.; Goetzke, L.W.; Lang, R.F.; Lim, K.E.; Melgarejo Fernandez, A.J. New measurement of the scintillation efficiency of low-energy nuclear recoils in liquid xenon. Phys. Rev. C 2011, 84, 045805. [Google Scholar] [CrossRef]
- Szydagis, M.; Barry, N.; Kazkaz, K.; Mock, J.; Stolp, D.; Sweany, M.; Tripathi, M.; Uvarov, S.; Walsh, N.; Woods, M. NEST: A comprehensive model for scintillation yield in liquid xenon. J. Instrum. 2011, 6, P10002. [Google Scholar] [CrossRef]
- Aprile, E.; Budnik, R.; Choi, B.; Contreras, H.A.; Giboni, K.L.; Goetzke, L.W.; Koglin, J.E.; Lang, R.F.; Lim, K.E.; Melgarejo Fernandez, A.J.; et al. Measurement of the scintillation yield of low-energy electrons in liquid xenon. Phys. Rev. D 2012, 86, 112004. [Google Scholar] [CrossRef]
- Szydagis, M.; Fyhrie, A.; Thorngren, D.; Tripathi, M. Enhancement of NEST capabilities for simulating low-energy recoils in liquid xenon. J. Instrum. 2013, 8, C10003. [Google Scholar] [CrossRef][Green Version]
- Sorensen, P.; Dahl, C.E. Nuclear recoil energy scale in liquid xenon with application to the direct detection of dark matter. Phys. Rev. D 2011, 83, 063501. [Google Scholar] [CrossRef]
- Dahl, C.E. The Physics of Background Discrimination in Liquid Xenon, and First Results from Xenon10 in the Hunt for WIMP Dark Matter. Ph.D. Thesis, Princeton University, Princeton, NJ, USA, 2009. [Google Scholar]
- Szydagis, M.; Akerib, D.S.; Araújo, H.M.; Bai, X.; Bailey, A.J.; Balajthy, J.; Bernard, E.; Bernstein, A.; Bradley, A.; Byram, D.; et al. A Detailed Look at the First Results from the Large Underground Xenon (LUX) Dark Matter Experiment. arXiv 2014, arXiv:1402.3731. [Google Scholar]
- Angle, J.; Aprile, E.; Arneodo, F.; Baudis, L.; Bernstein, A.; Bolozdynya, A.I.; Coelho, L.C.C.; Dahl, C.E.; DeViveiros, L.; Ferella, A.D.; et al. Search for Light Dark Matter in XENON10 Data. Phys. Rev. Lett. 2011, 107, 051301. [Google Scholar] [CrossRef]
- Aprile, E.; Aalbers, J.; Agostini, F.; Alfonsi, M.; Althueser, L.; Amaro, F.; Antochi, V.; Angelino, E.; Arneodo, F.; Barge, D.; et al. Light Dark Matter Search with Ionization Signals in XENON1T. Phys. Rev. Lett. 2019, 123. [Google Scholar] [CrossRef]
- Aprile, E.; Angle, J.; Arneodo, F.; Baudis, L.; Bernstein, A.; Bolozdynya, A.; Brusov, P.; Coelho, L.; Dahl, C.; DeViveiros, L.; et al. Design and performance of the XENON10 dark matter experiment. Astropart. Phys. 2011, 34, 679–698. [Google Scholar] [CrossRef]
- Aprile, E.; Aalbers, J.; Agostini, F.; Alfonsi, M.; Althueser, L.; Amaro, F.D.; Antochi, V.C.; Angelino, E.; Angevaare, J.; Arneodo, F.; et al. Energy resolution and linearity of XENON1T in the MeV energy range. Eur. Phys. J. C 2020, 80. [Google Scholar] [CrossRef]
- Aprile, E.; Aalbers, J.; Agostini, F.; Alfonsi, M.; Althueser, L.; Amaro, F.; Antochi, V.; Angelino, E.; Angevaare, J.; Arneodo, F.; et al. Excess electronic recoil events in XENON1T. Phys. Rev. D 2020, 102. [Google Scholar] [CrossRef]
- Obodovskii, I.; Ospanov, K. Scintillation output of liquid xenon for low-energy gamma-quanta. Instrum. Exp. Tech. 1994, 37, 42–45. [Google Scholar]
- Aprile, E.; Giboni, K.L.; Majewski, P.; Ni, K.; Yamashita, M.; Hasty, R.; Manzur, A.; McKinsey, D.N. Scintillation response of liquid xenon to low energy nuclear recoils. Phys. Rev. D 2005, 72, 072006. [Google Scholar] [CrossRef]
- Aprile, E.; Dahl, C.E.; de Viveiros, L.; Gaitskell, R.J.; Giboni, K.L.; Kwong, J.; Majewski, P.; Ni, K.; Shutt, T.; Yamashita, M. Simultaneous Measurement of Ionization and Scintillation from Nuclear Recoils in Liquid Xenon for a Dark Matter Experiment. Phys. Rev. Lett. 2006, 97, 081302. [Google Scholar] [CrossRef]
- Baudis, L.; Dujmovic, H.; Geis, C.; James, A.; Kish, A.; Manalaysay, A.; Marrodán Undagoitia, T.; Schumann, M. Response of liquid xenon to Compton electrons down to 1.5 keV. Phys. Rev. D 2013, 87. [Google Scholar] [CrossRef]
- Aprile, E.; Aalbers, J.; Agostini, F.; Alfonsi, M.; Althueser, L.; Amaro, F.; Anthony, M.; Arneodo, F.; Baudis, L.; Bauermeister, B.; et al. Dark Matter Search Results from a One Ton-Year Exposure of XENON1T. Phys. Rev. Lett. 2018, 121, 111302. [Google Scholar] [CrossRef]
- Szydagis, M.; Balajthy, J.; Brodsky, J.; Cutter, J.; Huang, J.; Kozlova, E.; Lenardo, B.; Manalaysay, A.; McKinsey, D.; Mooney, M.; et al. Noble Element Simulation Technique. 2018 Zenodo. Available online: https://zenodo.org/record/4062516#.YFIAFS2ZO8o (accessed on 18 March 2021). [CrossRef]
- Akerib, D.; Araújo, H.; Bai, X.; Bailey, A.; Balajthy, J.; Bedikian, S.; Bernard, E.; Bernstein, A.; Bolozdynya, A.; Bradley, A.; et al. First Results from the LUX Dark Matter Experiment at the Sanford Underground Research Facility. Phys. Rev. Lett. 2014, 112, 091303. [Google Scholar] [CrossRef]
- Yahlali, N.; Ball, M.; Cárcel, S.; Díaz, J.; Gil, A.; Gómez Cadenas, J.; Martín-Albo, J.; Monrabal, F.; Serra, L.; Sorel, M. NEXT: Neutrino Experiment with high pressure Xenon gas TPC. Nucl. Instrum. Methods Phys. Res. Sect. A Accel. Spectrometers Detect. Assoc. Equip. 2010, 617, 520–522. [Google Scholar] [CrossRef]
- Conti, E.; DeVoe, R.; Gratta, G.; Koffas, T.; Waldman, S.; Wodin, J.; Akimov, D.; Bower, G.; Breidenbach, M.; Conley, R.; et al. Correlated fluctuations between luminescence and ionization in liquid xenon. Phys. Rev. B 2003, 68, 054201. [Google Scholar] [CrossRef]
- Akerib, D.; Alsum, S.; Araújo, H.; Bai, X.; Bailey, A.; Balajthy, J.; Beltrame, P.; Bernard, E.; Bernstein, A.; Biesiadzinski, T.; et al. Signal yields, energy resolution, and recombination fluctuations in liquid xenon. Phys. Rev. D 2017, 95, 012008. [Google Scholar] [CrossRef]
- Akerib, D.S.; Alsum, S.; Araújo, H.M.; Bai, X.; Balajthy, J.; Baxter, A.; Bernard, E.P.; Bernstein, A.; Biesiadzinski, T.P.; Boulton, E.M.; et al. Discrimination of electronic recoils from nuclear recoils in two-phase xenon time projection chambers. arXiv 2020, arXiv:2004.06304. [Google Scholar]
- Mock, J.; Barry, N.; Kazkaz, K.; Stolp, D.; Szydagis, M.; Tripathi, M.; Uvarov, S.; Woods, M.; Walsh, N. Modeling pulse characteristics in Xenon with NEST. J. Instrum. 2014, 9, T04002. [Google Scholar] [CrossRef][Green Version]
- Chepel, V.; Araújo, H. Liquid noble gas detectors for low energy particle physics. J. Instrum. 2013, 8, R04001. [Google Scholar] [CrossRef]
- Araújo, H. Revised performance parameters of the ZEPLIN-III dark matter experiment. arXiv 2020, arXiv:2007.01683. [Google Scholar]
- Akerib, D.S.; Alsum, S.; Araújo, H.M.; Bai, X.; Balajthy, J.; Baxter, A.; Bernard, E.P.; Bernstein, A.; Biesiadzinski, T.P.; Boulton, E.M.; et al. Investigation of background electron emission in the LUX detector. arXiv 2020, arXiv:2004.07791. [Google Scholar]
- Szydagis, M.; Levy, C.; Blockinger, G.M.; Kamaha, A.; Parveen, N.; Rischbieter, G.R.C. Investigating the XENON1T Low-Energy Electronic Recoil Excess Using NEST. arXiv 2020, arXiv:2007.00528. [Google Scholar]
- Boulton, E.; Bernard, E.; Destefano, N.; Edwards, B.; Gai, M.; Hertel, S.; Horn, M.; Larsen, N.; Tennyson, B.; Wahl, C.; et al. Calibration of a two-phase xenon time projection chamber with a 37Ar source. J. Instrum. 2017, 12, P08004. [Google Scholar] [CrossRef]
- Akerib, D.; Alsum, S.; Araújo, H.; Bai, X.; Bailey, A.; Balajthy, J.; Beltrame, P.; Bernard, E.; Bernstein, A.; Biesiadzinski, T.; et al. Ultra-low energy calibration of LUX detector using Xe127 electron capture. Phys. Rev. D 2017, 96. [Google Scholar] [CrossRef]
- Aprile, E.; Aalbers, J.; Agostini, F.; Alfonsi, M.; Amaro, F.; Anthony, M.; Arneodo, F.; Barrow, P.; Baudis, L.; Bauermeister, B.; et al. Signal yields of keV electronic recoils and their discrimination from nuclear recoils in liquid xenon. Phys. Rev. D 2018, 97, 092007. [Google Scholar] [CrossRef]
- Akerib, D.; Alsum, S.; Araújo, H.; Bai, X.; Bailey, A.; Balajthy, J.; Beltrame, P.; Bernard, E.; Bernstein, A.; Biesiadzinski, T.; et al. Calibration, event reconstruction, data analysis, and limit calculation for the LUX dark matter experiment. Phys. Rev. D 2018, 97, 102008. [Google Scholar] [CrossRef]
- Cutter, J. The Noble Element Simulation Technique v2; NorCal HEP-EXchange; 2017 Indico. Available online: indico.physics.lbl.gov/event/560/contributions/1332/attachments/1209/1341/cutter_nest_norcal_2017.pdf (accessed on 18 March 2021).
- Akerib, D.; Alsum, S.; Aquino, C.; Araújo, H.; Bai, X.; Bailey, A.; Balajthy, J.; Beltrame, P.; Bernard, E.; Bernstein, A.; et al. First Searches for Axions and Axionlike Particles with the LUX Experiment. Phys. Rev. Lett. 2017, 118, 261301. [Google Scholar] [CrossRef]
- Goetzke, L.; Aprile, E.; Anthony, M.; Plante, G.; Weber, M. Measurement of light and charge yield of low-energy electronic recoils in liquid xenon. Phys. Rev. D 2017, 96, 103007. [Google Scholar] [CrossRef]
- Aprile, E.; Agostini, F.; Alfonsi, M.; Arisaka, K.; Arneodo, F.; Auger, M.; Balan, C.; Barrow, P.; Baudis, L.; Bauermeister, B.; et al. First axion results from the XENON100 experiment. Phys. Rev. D 2014, 90, 062009. [Google Scholar] [CrossRef]
- Akerib, D.; Bai, X.; Bedikian, S.; Bernard, E.; Bernstein, A.; Bradley, A.; Cahn, S.; Carmona-Benitez, M.; Carr, D.; Chapman, J.; et al. LUXSim: A component-centric approach to low-background simulations. Nucl. Instrum. Methods Phys. Res. Sect. A Accel. Spectrometers Detect. Assoc. Equip. 2012, 675, 63–77. [Google Scholar] [CrossRef]
- Aprile, E.; Aalbers, J.; Agostini, F.; Alfonsi, M.; Althueser, L.; Amaro, F.; Antochi, V.; Arneodo, F.; Baudis, L.; Bauermeister, B.; et al. XENON1T dark matter data analysis: Signal and background models and statistical inference. Phys. Rev. D 2019, 99, 112009. [Google Scholar] [CrossRef]
- Bloch, I.M.; Caputo, A.; Essig, R.; Redigolo, D.; Sholapurkar, M.; Volansky, T. Exploring New Physics with O(keV) Electron Recoils in Direct Detection Experiments. arXiv 2020, arXiv:2006.14521. [Google Scholar]
- Delaquis, S.; Jewell, M.; Ostrovskiy, I.; Weber, M.; Ziegler, T.; Dalmasson, J.; Kaufman, L.; Richards, T.; Albert, J.; Anton, G.; et al. Deep neural networks for energy and position reconstruction in EXO-200. J. Instrum. 2018, 13, P08023. [Google Scholar] [CrossRef]
- Carrara, N.; Ernst, J.A. On the Upper Limit of Separability. arXiv 2017, arXiv:1708.09449. [Google Scholar]
- Akerib, D.; Alsum, S.; Araújo, H.; Bai, X.; Bailey, A.; Balajthy, J.; Beltrame, P.; Bernard, E.; Bernstein, A.; Biesiadzinski, T.; et al. Liquid xenon scintillation measurements and pulse shape discrimination in the LUX dark matter detector. Phys. Rev. D 2018, 97, 112002. [Google Scholar] [CrossRef]
- Akerib, D.; Bai, X.; Bernard, E.; Bernstein, A.; Bradley, A.; Byram, D.; Cahn, S.; Carmona-Benitez, M.; Chapman, J.; Coffey, T.; et al. Technical results from the surface run of the LUX dark matter experiment. Astropart. Phys. 2013, 45, 34–43. [Google Scholar] [CrossRef]
- Akerib, D.; Alsum, S.; Araújo, H.; Bai, X.; Balajthy, J.; Baxter, A.; Beltrame, P.; Bernard, E.; Bernstein, A.; Biesiadzinski, T.; et al. Extending light WIMP searches to single scintillation photons in LUX. Phys. Rev. D 2020, 101, 042001. [Google Scholar] [CrossRef]
- Manalaysay, A.; Undagoitia, T.M.; Askin, A.; Baudis, L.; Behrens, A.; Ferella, A.D.; Kish, A.; Lebeda, O.; Santorelli, R.; Vénos, D.; et al. Spatially uniform calibration of a liquid xenon detector at low energies using 83mKr. Rev. Sci. Instrum. 2010, 81, 073303. [Google Scholar] [CrossRef] [PubMed]
- Akerib, D.; Araújo, H.; Bai, X.; Bailey, A.; Balajthy, J.; Beltrame, P.; Bernard, E.; Bernstein, A.; Biesiadzinski, T.; Boulton, E.; et al. Tritium calibration of the LUX dark matter experiment. Phys. Rev. D 2016, 93, 072009. [Google Scholar] [CrossRef]
- Akerib, D.; Alsum, S.; Araújo, H.; Bai, X.; Bailey, A.; Balajthy, J.; Beltrame, P.; Bernard, E.; Bernstein, A.; Biesiadzinski, T.; et al. 3D modeling of electric fields in the LUX detector. J. Instrum. 2017, 12, P1102. [Google Scholar] [CrossRef][Green Version]
- Doke, T.; Hitachi, A.; Kikuchi, J.; Masuda, K.; Okada, H.; Shibamura, E. Absolute Scintillation Yields in Liquid Argon and Xenon for Various Particles. Jpn. J. Appl. Phys. 2002, 41, 1538–1545. [Google Scholar] [CrossRef]
- Dobi, A. Measurement of the Electron Recoil Band of the LUX Dark Matter Detector With a Tritium Calibration Source. Ph.D. Thesis, The University of Maryland, College Park, MD, USA, 2014. [Google Scholar] [CrossRef]
- Aprile, E.; Aalbers, J.; Agostini, F.; Alfonsi, M.; Althueser, L.; Amaro, F.; Antochi, V.; Arneodo, F.; Baudis, L.; Bauermeister, B.; et al. XENON1T dark matter data analysis: Signal reconstruction, calibration, and event selection. Phys. Rev. D 2019, 100, 052014. [Google Scholar] [CrossRef]
- Lenardo, B.; Xu, J.; Pereverzev, S.; Akindele, O.A.; Naim, D.; Kingston, J.; Bernstein, A.; Kazkaz, K.; Tripathi, M.; Awe, C.; et al. Measurement of the ionization yield from nuclear recoils in liquid xenon between 0.3–6 keV with single-ionization-electron sensitivity. arXiv 2019, arXiv:1908.00518. [Google Scholar]
- Auger, M.; Auty, D.J.; Barbeau, P.S.; Beauchamp, E.; Belov, V.; Benitez-Medina, C.; Breidenbach, M.; Brunner, T.; Burenkov, A.; Cleveland, B.; et al. Search for Neutrinoless Double-Beta Decay in Xe136 with EXO-200. Phys. Rev. Lett. 2012, 109, 032505. [Google Scholar] [CrossRef] [PubMed]
- Akerib, D.S.; Akerlof, C.W.; Alqahtani, A.; Alsum, S.K.; Anderson, T.J.; Angelides, N.; Araújo, H.M.; Armstrong, J.E.; Arthurs, M.; Bai, X.; et al. Projected sensitivity of the LUX-ZEPLIN experiment to the 0neutrinoBetaBeta decay of Xe136. Phys. Rev. C 2020, 102, 014602. [Google Scholar] [CrossRef]
- Aprile, E.; Alfonsi, M.; Arisaka, K.; Arneodo, F.; Balan, C.; Baudis, L.; Behrens, A.; Beltrame, P.; Bokeloh, K.; Brown, E.; et al. Analysis of the XENON100 dark matter search data. Astropart. Phys. 2014, 54, 11–24. [Google Scholar] [CrossRef]
- Ackerman, N.; Aharmim, B.; Auger, M.; Auty, D.J.; Barbeau, P.S.; Barry, K.; Bartoszek, L.; Beauchamp, E.; Belov, V.; Benitez-Medina, C.; et al. Observation of Two-Neutrino Double-Beta Decay in Xe136 with the EXO-200 Detector. Phys. Rev. Lett. 2011, 107, 212501. [Google Scholar] [CrossRef] [PubMed]
- Davis, C.; Hall, C.; Albert, J.; Barbeau, P.; Beck, D.; Belov, V.; Breidenbach, M.; Brunner, T.; Burenkov, A.; Cao, G.; et al. An optimal energy estimator to reduce correlated noise for the EXO-200 light readout. J. Instrum. 2016, 11, P07015. [Google Scholar] [CrossRef]
- Albert, J.B.; Auger, M.; Auty, D.J.; Barbeau, P.S.; Beauchamp, E.; Beck, D.; Belov, V.; Benitez-Medina, C.; Bonatt, J.; Breidenbach, M.; et al. An improved measurement of the 2nuBetaBeta half-life of 136Xe with the EXO-200 detector. Phys. Rev. C 2014, 89, 015502. [Google Scholar] [CrossRef]
- Albert, J.; Anton, G.; Badhrees, I.; Barbeau, P.; Bayerlein, R.; Beck, D.; Belov, V.; Breidenbach, M.; Brunner, T.; Cao, G.; et al. Searches for double beta decay of Xe134 with EXO-200. Phys. Rev. D 2017, 96, 092001. [Google Scholar] [CrossRef]
- Auger, M.; Auty, D.J.; Barbeau, P.S.; Bartoszek, L.; Baussan, E.; Beauchamp, E.; Benitez-Medina, C.; Breidenbach, M.; Chauhan, D.; Cleveland, B.; et al. The EXO-200 detector, part I: Detector design and construction. J. Instrum. 2012, 7, P05010. [Google Scholar] [CrossRef]
- Albert, J.B.; Auty, D.J.; Barbeau, P.S.; Beck, D.; Belov, V.; Benitez-Medina, C.; Breidenbach, M.; Brunner, T.; Burenkov, A.; Cao, G.F.; et al. Investigation of radioactivity-induced backgrounds in EXO-200. Phys. Rev. C 2015, 92, 015503. [Google Scholar] [CrossRef]
- Albert, J.; Auty, D.; Barbeau, P.; Beck, D.; Belov, V.; Breidenbach, M.; Brunner, T.; Burenkov, A.; Cao, G.; Chambers, C.; et al. Cosmogenic backgrounds to ZeroNuBetaBeta in EXO-200. J. Cosmol. Astropart. Phys. 2016, 2016, 029. [Google Scholar] [CrossRef]
- Albert, J.; Barbeau, P.; Beck, D.; Belov, V.; Breidenbach, M.; Brunner, T.; Burenkov, A.; Cao, G.; Chambers, C.; Cleveland, B.; et al. First search for Lorentz and CPT violation in double beta decay with EXO-200. Phys. Rev. D 2016, 93, 072001. [Google Scholar] [CrossRef]
- Leonard, D.; Auty, D.; Didberidze, T.; Gornea, R.; Grinberg, P.; MacLellan, R.; Methven, B.; Piepke, A.; Vuilleumier, J.L.; Albert, J.; et al. Trace radioactive impurities in final construction materials for EXO-200. Nucl. Instrum. Methods Phys. Res. Sect. A Accel. Spectrometers Detect. Assoc. Equip. 2017, 871, 169–179. [Google Scholar] [CrossRef]
- Albert, J.; Anton, G.; Badhrees, I.; Barbeau, P.; Bayerlein, R.; Beck, D.; Belov, V.; Breidenbach, M.; Brunner, T.; Cao, G.; et al. Search for Neutrinoless Double-Beta Decay with the Upgraded EXO-200 Detector. Phys. Rev. Lett. 2018, 120, 072701. [Google Scholar] [CrossRef]
- The KamLAND-Zen Collaboration. Results from KamLAND-Zen. arXiv 2014, arXiv:1409.0077. [Google Scholar]
- Shirai, J. KamLAND-Zen Experiment. Proc. Sci. 2018, HQL2018. [Google Scholar] [CrossRef][Green Version]
- Asakura, K.; Gando, A.; Gando, Y.; Hachiya, T.; Hayashida, S.; Ikeda, H.; Inoue, K.; Ishidoshiro, K.; Ishikawa, T.; Ishio, S.; et al. Search for double-beta decay of 136Xe to excited states of 136Ba with the KamLAND-Zen experiment. Nucl. Phys. A 2016, 946, 171–181. [Google Scholar] [CrossRef]
- Gando, A.; Gando, Y.; Hanakago, H.; Ikeda, H.; Inoue, K.; Ishidoshiro, K.; Kato, R.; Koga, M.; Matsuda, S.; Mitsui, T.; et al. Limit on Neutrinoless Beta Beta Decay of Xe136 from the First Phase of KamLAND-Zen and Comparison with the Positive Claim in Ge76. Phys. Rev. Lett. 2013, 110. [Google Scholar] [CrossRef]
- Gando, A.; Gando, Y.; Hanakago, H.; Ikeda, H.; Inoue, K.; Kato, R.; Koga, M.; Matsuda, S.; Mitsui, T.; Nakada, T.; et al. Limits on Majoron-emitting Double-Beta Decays of 136Xe in the KamLAND-Zen experiment. Phys. Rev. C 2012, 86, 021601. [Google Scholar] [CrossRef]
- Gando, A.; Gando, Y.; Hanakago, H.; Ikeda, H.; Inoue, K.; Kato, R.; Koga, M.; Matsuda, S.; Mitsui, T.; Nakada, T.; et al. Measurement of the double-beta decay half-life of 136Xe with the KamLAND-Zen experiment. Phys. Rev. C 2012, 85, 045504. [Google Scholar] [CrossRef]
- Gando, A.; Gando, Y.; Hachiya, T.; Hayashi, A.; Hayashida, S.; Ikeda, H.; Inoue, K.; Ishidoshiro, K.; Karino, Y.; Koga, M.; et al. Search for Majorana Neutrinos Near the Inverted Mass Hierarchy Region with KamLAND-Zen. Phys. Rev. Lett. 2016, 117, 082503. [Google Scholar] [CrossRef] [PubMed]
- Leonard, D.S.; Grinberg, P.; Weber, P.; Baussan, E.; Djurcic, Z.; Keefer, G.; Piepke, A.; Pocar, A.; Vuilleumier, J.L.; Vuilleumier, J.M.; et al. Systematic study of trace radioactive impurities in candidate construction materials for EXO-200. arXiv 2008, arXiv:0709.4524. [Google Scholar] [CrossRef]
- Gallina, G.; Giampa, P.; Retière, F.; Kroeger, J.; Zhang, G.; Ward, M.; Margetak, P.; Li, G.; Tsang, T.; Doria, L.; et al. Characterization of the Hamamatsu VUV4 MPPCs for nEXO. Nucl. Instrum. Methods Phys. Res. Sect. A Accel. Spectrometers Detect. Assoc. Equip. 2019, 940, 371–379. [Google Scholar] [CrossRef]
- Nakarmi, P.; Ostrovskiy, I.; Soma, A.; Retière, F.; Kharusi, S.A.; Alfaris, M.; Anton, G.; Arnquist, I.; Badhrees, I.; Barbeau, P.; et al. Reflectivity and PDE of VUV4 Hamamatsu SiPMs in liquid xenon. J. Instrum. 2020, 15, P01019. [Google Scholar] [CrossRef]
- Akerib, D.; Bai, X.; Bernard, E.; Bernstein, A.; Bradley, A.; Byram, D.; Cahn, S.; Carmona-Benitez, M.; Carr, D.; Chapman, J.; et al. An ultra-low background PMT for liquid xenon detectors. Nucl. Instrum. Methods Phys. Res. Sect. A Accel. Spectrometers Detect. Assoc. Equip. 2013, 703, 1–6. [Google Scholar] [CrossRef][Green Version]
- Aprile, E.; Agostini, F.; Alfonsi, M.; Arazi, L.; Arisaka, K.; Arneodo, F.; Auger, M.; Balan, C.; Barrow, P.; Baudis, L.; et al. Lowering the radioactivity of the photomultiplier tubes for the XENON1T dark matter experiment. Eur. Phys. J. C 2015, 75, 1–10. [Google Scholar] [CrossRef]
- Álvarez, V.; Borges, F.I.G.M.; Cárcel, S.; Castel, J.; Cebrián, S.; Cervera, A.; Conde, C.A.N.; Dafni, T.; Dias, T.H.V.T.; Diaz, J.; et al. Near-Intrinsic Energy Resolution for 30 to 662 keV Gamma Rays in a High Pressure Xenon Electroluminescent TPC. Nucl. Instrum. Meth. A 2013, 708, 101–114. [Google Scholar] [CrossRef]
- Lorca, D.; Martín-Albo, J.; Laing, A.; Ferrario, P.; Gómez-Cadenas, J.J.; Álvarez, V.; Borges, F.I.G.; Camargo, M.; Cárcel, S.; Cebrián, S.; et al. Characterisation of NEXT-DEMO using xenon KαX-rays. J. Instrum. 2014, 9, P10007. [Google Scholar] [CrossRef]
- Aprile, E.; Mukherjee, R.; Suzuki, M. Performance of a liquid xenon ionization chamber irradiated with electrons and gamma-rays. Nucl. Instrum. Methods Phys. Res. Sect. A Accel. Spectrometers Detect. Assoc. Equip. 1991, 302, 177–185. [Google Scholar] [CrossRef]
- Anton, G.; Badhrees, I.; Barbeau, P.S.; Beck, D.; Belov, V.; Bhatta, T.; Breidenbach, M.; Brunner, T.; Cao, G.F.; Cen, W.R.; et al. Measurement of the scintillation and ionization response of liquid xenon at MeV energies in the EXO-200 experiment. Phys. Rev. C 2020, 101, 065501. [Google Scholar] [CrossRef]
- Lebedenko, V.N.; Araújo, H.M.; Barnes, E.J.; Bewick, A.; Cashmore, R.; Chepel, V.; Currie, A.; Davidge, D.; Dawson, J.; Durkin, T.; et al. Results from the first science run of the ZEPLIN-III dark matter search experiment. Phys. Rev. D 2009, 80, 052010. [Google Scholar] [CrossRef]
- Aprile, E.; Bolotnikov, A.E.; Bolozdynya, A.I.; Doke, T. Front Matter. In Noble Gas Detectors; John Wiley & Sons, Ltd.: Hoboken, NJ, USA, 2006; pp. I–XVI. [Google Scholar] [CrossRef]
- Akerib, D.; Alsum, S.; Araújo, H.; Bai, X.; Balajthy, J.; Baxter, A.; Beltrame, P.; Bernard, E.; Bernstein, A.; Biesiadzinski, T.; et al. Improved measurements of the beta-decay response of liquid xenon with the LUX detector. Phys. Rev. D 2019, 100, 022002. [Google Scholar] [CrossRef]
- You, L. Superconducting nanowire single-photon detectors for quantum information. Nanophotonics 2020, 9, 2673–2692. [Google Scholar] [CrossRef]
- Kravitz, S.; Smith, R.; Hagaman, L.; Bernard, E.; Mckinsey, D.; Rudd, L.; Tvrznikova, L.; Gann, G.; Sakai, M. Measurements of angle-resolved reflectivity of PTFE in liquid xenon with IBEX. Eur. Phys. J. C 2019, 80, 1–20. [Google Scholar] [CrossRef]
- Escobar, C.O.; Rubinov, P.; Tilly, E. Near-infrared scintillation of liquid argon: Recent results obtained with the NIR facility at Fermilab. J. Instrum. 2018, 13, C03031. [Google Scholar] [CrossRef]
- Araújo, H.; Akimov, D.; Barnes, E.; Belov, V.; Bewick, A.; Burenkov, A.; Chepel, V.; Currie, A.; DeViveiros, L.; Edwards, B.; et al. Radioactivity backgrounds in ZEPLIN–III. Astropart. Phys. 2012, 35, 495–502. [Google Scholar] [CrossRef][Green Version]
- Akerib, D.; Araújo, H.; Bai, X.; Bailey, A.; Balajthy, J.; Bernard, E.; Bernstein, A.; Bradley, A.; Byram, D.; Cahn, S.; et al. Radiogenic and muon-induced backgrounds in the LUX dark matter detector. Astropart. Phys. 2015, 62, 33–46. [Google Scholar] [CrossRef]
- Li, S.; Chen, X.; Cui, X.; Fu, C.; Ji, X.; Lin, Q.; Liu, J.; Liu, X.; Tan, A.; Wang, X.; et al. Krypton and radon background in the PandaX-I dark matter experiment. J. Instrum. 2017, 12, T02002. [Google Scholar] [CrossRef][Green Version]
- Aprile, E.; Aalbers, J.; Agostini, F.; Alfonsi, M.; Amaro, F.D.; Anthony, M.; Arneodo, F.; Barrow, P.; Baudis, L.; Bauermeister, B.; et al. Intrinsic backgrounds from Rn and Kr in the XENON100 experiment. Eur. Phys. J. C 2018, 78. [Google Scholar] [CrossRef]
- Aprile, E.; Anthony, M.; Lin, Q.; Greene, Z.; de Perio, P.; Gao, F.; Howlett, J.; Plante, G.; Zhang, Y.; Zhu, T. Simultaneous measurement of the light and charge response of liquid xenon to low-energy nuclear recoils at multiple electric fields. Phys. Rev. D 2018, 98. [Google Scholar] [CrossRef]
- Huang, D. Ultra-Low Energy Calibration of the LUX and LZ Dark Matter Detectors. Ph.D. Thesis, Brown University, Providence, RI, USA, 2020. [Google Scholar] [CrossRef]
- Edwards, B.; Bernard, E.; Boulton, E.; Destefano, N.; Gai, M.; Horn, M.; Larsen, N.; Tennyson, B.; Tvrznikova, L.; Wahl, C.; et al. Extraction efficiency of drifting electrons in a two-phase xenon time projection chamber. J. Instrum. 2018, 13, P01005. [Google Scholar] [CrossRef]
- Xu, J.; Pereverzev, S.; Lenardo, B.; Kingston, J.; Naim, D.; Bernstein, A.; Kazkaz, K.; Tripathi, M. Electron extraction efficiency study for dual-phase xenon dark matter experiments. Phys. Rev. D 2019, 99. [Google Scholar] [CrossRef]
- Sorensen, P.; Manzur, A.; Dahl, C.; Angle, J.; Aprile, E.; Arneodo, F.; Baudis, L.; Bernstein, A.; Bolozdynya, A.; Coelho, L.; et al. The scintillation and ionization yield of liquid xenon for nuclear recoils. Nucl. Instrum. Methods Phys. Res. Sect. A Accel. Spectrometers Detect. Assoc. Equip. 2009, 601, 339–346. [Google Scholar] [CrossRef][Green Version]
- Sorensen, P. A coherent understanding of low-energy nuclear recoils in liquid xenon. J. Cosmol. Astropart. Phys. 2010, 2010, 033. [Google Scholar] [CrossRef]
- Sorensen, P.; Angle, J.; Aprile, E.; Arneodo, F.; Baudis, L.; Bernstein, A.; Bolozdynya, A.; Brusov, P.; Coelho, L.C.C.; Dahl, C.E.; et al. Lowering the low-energy threshold of xenon detectors. arXiv 2010, arXiv:1011.6439. [Google Scholar]
- Horn, M.; Belov, V.; Akimov, D.; Araújo, H.; Barnes, E.; Burenkov, A.; Chepel, V.; Currie, A.; Edwards, B.; Ghag, C.; et al. Nuclear recoil scintillation and ionisation yields in liquid xenon from ZEPLIN-III data. Phys. Lett. B 2011, 705, 471–476. [Google Scholar] [CrossRef]
- Aprile, E.; Alfonsi, M.; Arisaka, K.; Arneodo, F.; Balan, C.; Baudis, L.; Bauermeister, B.; Behrens, A.; Beltrame, P.; Bokeloh, K.; et al. Response of the XENON100 dark matter detector to nuclear recoils. Phys. Rev. D 2013, 88, 012006. [Google Scholar] [CrossRef]
- Yan, B.; Abdukerim, A.; Chen, W.; Chen, X.; Chen, Y.; Cheng, C.; Cui, X.; Fan, Y.; Fang, D.; Fu, C.; et al. Determination of responses of liquid xenon to low energy electron and nuclear recoils using the PandaX-II detector. arXiv 2021, arXiv:2102.09158v1. [Google Scholar]
- Hitachi, A. Properties of liquid xenon scintillation for dark matter searches. Astropart. Phys. 2005, 24, 247–256. [Google Scholar] [CrossRef]
- Sorensen, P. Atomic limits in the search for galactic dark matter. Phys. Rev. D 2015, 91, 083509. [Google Scholar] [CrossRef]
- Bezrukov, F.; Kahlhoefer, F.; Lindner, M. Interplay between scintillation and ionization in liquid xenon Dark Matter searches. Astropart. Phys. 2011, 35, 119–127. [Google Scholar] [CrossRef][Green Version]
- Mu, W.; Xiong, X.; Ji, X. Scintillation Efficiency for Low-Energy Nuclear Recoils in Liquid-Xenon Dark Matter Detectors. arXiv 2013, arXiv:1306.0170. [Google Scholar] [CrossRef]
- Mu, W.; Ji, X. Ionization Yield from Nuclear Recoils in Liquid-Xenon Dark Matter Detection. arXiv 2013, arXiv:1310.2094. [Google Scholar] [CrossRef]
- Aprile, E.; Alfonsi, M.; Arisaka, K.; Arneodo, F.; Balan, C.; Baudis, L.; Bauermeister, B.; Behrens, A.; Beltrame, P.; Bokeloh, K.; et al. The neutron background of the XENON100 dark matter search experiment. J. Phys. G Nucl. Part. Phys. 2013, 40, 115201. [Google Scholar] [CrossRef]
- Aprile, E.; Arisaka, K.; Arneodo, F.; Askin, A.; Baudis, L.; Behrens, A.; Bokeloh, K.; Brown, E.; Cardoso, J.M.R.; Choi, B.; et al. Study of the electromagnetic background in the XENON100 experiment. arXiv 2013, arXiv:1101.3866. [Google Scholar] [CrossRef]
- Akerib, D.; Akerlof, C.; Alsum, S.; Angelides, N.; Araújo, H.; Armstrong, J.; Arthurs, M.; Bai, X.; Balajthy, J.; Balashov, S.; et al. Measurement of the gamma ray background in the Davis cavern at the Sanford Underground Research Facility. Astropart. Phys. 2020, 116, 102391. [Google Scholar] [CrossRef]
- Lewin, J.; Smith, P. Review of mathematics, numerical factors, and corrections for dark matter experiments based on elastic nuclear recoil. Astropart. Phys. 1996, 6, 87–112. [Google Scholar] [CrossRef]
- Verbus, J.R. An Absolute Calibration of Sub-1 keV Nuclear Recoils in Liquid Xenon Using D-D Neutron Scattering Kinematics in the LUX Detector. Ph.D. Thesis, Brown University, Providence, RI, USA, 2016. [Google Scholar] [CrossRef]
- Wang, L.; Mei, D.M. A comprehensive study of low-energy response for xenon-based dark matter experiments. J. Phys. G Nucl. Part. Phys. 2017, 44, 055001. [Google Scholar] [CrossRef][Green Version]
- Aprile, E.; Aalbers, J.; Agostini, F.; Alfonsi, M.; Althueser, L.; Amaro, F.; Antochi, V.; Angelino, E.; Arneodo, F.; Barge, D.; et al. Search for Light Dark Matter Interactions Enhanced by the Migdal Effect or Bremsstrahlung in XENON1T. Phys. Rev. Lett. 2019, 123, 241803. [Google Scholar] [CrossRef] [PubMed]
- Lindhard, J. Range Concepts and Heavy Ion Ranges; Munksgaard: Copenhagen, Denmark, 1963; Volume 33. [Google Scholar]
- Lenardo, B.; Kazkaz, K.; Manalaysay, A.; Mock, J.; Szydagis, M.; Tripathi, M. A Global Analysis of Light and Charge Yields in Liquid Xenon. IEEE Trans. Nucl. Sci. 2015, 62, 3387–3396. [Google Scholar] [CrossRef]
- Akerib, D.; Alsum, S.; Araújo, H.; Bai, X.; Balajthy, J.; Beltrame, P.; Bernard, E.; Bernstein, A.; Biesiadzinski, T.; Boulton, E.; et al. Results of a Search for Sub-GeV Dark Matter Using 2013 LUX Data. Phys. Rev. Lett. 2019, 122, 131301. [Google Scholar] [CrossRef]
- Akimov, D.; Albert, J.B.; An, P.; Awe, C.; Barbeau, P.S.; Becker, B.; Belov, V.; Brown, A.; Bolozdynya, A.; Cabrera-Palmer, B.; et al. Observation of Coherent Elastic Neutrino-Nucleus Scattering. Science 2017, 357, 1123–1126. [Google Scholar] [CrossRef]
- Akimov, D.; Albert, J.B.; An, P.; Awe, C.; Barbeau, P.S.; Becker, B.; Belov, V.; Blackston, M.A.; Blokland, L.; Bolozdynya, A.; et al. First Detection of Coherent Elastic Neutrino-Nucleus Scattering on Argon. arXiv 2020, arXiv:2003.10630. [Google Scholar]
- Aprile, E.; Aalbers, J.; Agostini, F.; Alfonsi, M.; Althueser, L.; Amaro, F.D.; Antochi, V.C.; Angelino, E.; Angevaare, J.R.; Arneodo, F.; et al. Projected WIMP Sensitivity of the XENONnT Dark Matter Experiment. arXiv 2020, arXiv:2007.08796. [Google Scholar]
- Plante, G. The XENON100 Dark Matter Experiment: Design, Construction, Calibration and 2010 Search Results with Improved Measurement of the Scintillation Response of Liquid Xenon to Low-Energy Nuclear Recoils. Ph.D. Thesis, Columbia University, New York, NY, USA, 2012. [Google Scholar]
- Akerib, D.; Akerlof, C.; Alqahtani, A.; Alsum, S.; Anderson, T.; Angelides, N.; Araújo, H.; Armstrong, J.; Arthurs, M.; Bai, X.; et al. Simulations of events for the LUX-ZEPLIN (LZ) dark matter experiment. Astropart. Phys. 2021, 125, 102480. [Google Scholar] [CrossRef]
- Bernabei, R.; Belli, P.; Cappella, F.; Cerulli, R.; Montecchia, F.; Nozzoli, F.; Incicchitti, A.; Prosperi, D.; Dai, C. The DAMA pure liquid xenon experiment. In International Workshop on Technique and Application of Xenon Detectors; World Scientific: Singapore, 2001; pp. 1–57. [Google Scholar]
- Chepel, V.; Solovov, V.; Neves, F.; Pereira, A.; Mendes, P.; Silva, C.; Lindote, A.; da Cunha, P.J.; Lopes, M.; Kossionides, S. Scintillation efficiency of liquid xenon for nuclear recoils with the energy down to 5 keV. Astropart. Phys. 2006, 26, 58–63. [Google Scholar] [CrossRef][Green Version]
- Verbus, J.R.; Rhyne, C.A.; Malling, D.C.; Genecov, M.; Ghosh, S.; Moskowitz, A.G.; Chan, S.; Chapman, J.J.; de Viveiros, L.; Faham, C.H.; et al. Proposed low-energy absolute calibration of nuclear recoils in a dual-phase noble element TPC using D-D neutron scattering kinematics. Nucl. Instrum. Meth. A 2017, 851, 68–81. [Google Scholar] [CrossRef]
- Agostinelli, S.; Allison, J.; Amako, K.A.; Apostolakis, J.; Araújo, H.; Arce, P.; Asai, M.; Axen, D.; Banerjee, S.; Barrand, G.; et al. Geant4—A simulation toolkit. Nucl. Instrum. Methods Phys. Res. Sect. A Accel. Spectrometers Detect. Assoc. Equip. 2003, 506, 250–303. [Google Scholar] [CrossRef]
- Allison, J.; Amako, K.; Apostolakis, J.E.A.; Araújo, H.A.A.H.; Dubois, P.A.; Asai, M.A.A.M.; Barrand, G.; Capra, R.; Chauvie, S.; Chytracek, R.; et al. Geant4 developments and applications. IEEE Trans. Nucl. Sci. 2006, 53, 270. [Google Scholar] [CrossRef]
- Arisaka, K.; Beltrame, P.; Ghag, C.; Lung, K.; Scovell, P. A new analysis method for WIMP searches with dual-phase liquid Xe TPCs. Astropart. Phys. 2012, 37, 51–59. [Google Scholar] [CrossRef][Green Version]
- Lippincott, W.H.; Cahn, S.B.; Gastler, D.; Kastens, L.W.; Kearns, E.; McKinsey, D.N.; Nikkel, J.A. Calibration of liquid argon and neon detectors with Kr83m. Phys. Rev. C 2010, 81, 045803. [Google Scholar] [CrossRef]
- Kimura, M.; Aoyama, K.; Tanaka, M.; Yorita, K. Liquid argon scintillation response to electronic recoils between 2.8–1275 keV in a high light yield single-phase detector. Phys. Rev. D 2020, 102, 092008. [Google Scholar] [CrossRef]
- Agnes, P.; Alexander, T.; Alton, A.; Arisaka, K.; Back, H.; Baldin, B.; Biery, K.; Bonfini, G.; Bossa, M.; Brigatti, A.; et al. First results from the DarkSide-50 dark matter experiment at Laboratori Nazionali del Gran Sasso. Phys. Lett. B 2015, 743, 456–466. [Google Scholar] [CrossRef]
- Amaudruz, P.A.; Baldwin, M.; Batygov, M.; Beltran, B.; Bina, C.E.; Bishop, D.; Bonatt, J.; Boorman, G.; Boulay, M.G.; Broerman, B.; et al. First results from the DEAP-3600 dark matter search with argon at SNOLAB. arXiv 2018, arXiv:1707.08042. [Google Scholar] [CrossRef]
- Gastler, D.; Kearns, E.; Hime, A.; Stonehill, L.C.; Seibert, S.; Klein, J.; Lippincott, W.H.; McKinsey, D.N.; Nikkel, J.A. Measurement of scintillation efficiency for nuclear recoils in liquid argon. Phys. Rev. C 2012, 85, 065811. [Google Scholar] [CrossRef]
- Galbiati, C.; Acosta-Kane, D.; Acciarri, R.; Amaize, O.; Antonello, M.; Baibussinov, B.; Ceolin, M.B.; Ballentine, C.J.; Bansal, R.; Basgall, L.; et al. Discovery of underground argon with a low level of radioactive 39Ar and possible applications to WIMP dark matter detectors. J. Phys. Conf. Ser. 2008, 120, 042015. [Google Scholar] [CrossRef]
- Abi, B.; Acciarri, R.; Acero, M.A.; Adamov, G.; Adams, D.; Adinolfi, M.; Ahmad, Z.; Ahmed, J.; Alion, T.; Monsalve, S.A.; et al. Deep Underground Neutrino Experiment (DUNE), Far Detector Technical Design Report, Volume IV Far Detector Single-phase Technology. JINST 2020, 15, T08010. [Google Scholar] [CrossRef]
- Abratenko, P.; Alrashed, M.; An, R.; Anthony, J.; Asaadi, J.; Ashkenazi, A.; Balasubramanian, S.; Baller, B.; Barnes, C.; Barr, G.; et al. The Continuous Readout Stream of the MicroBooNE Liquid Argon Time Projection Chamber for Detection of Supernova Burst Neutrinos. arXiv 2020, arXiv:2008.13761. [Google Scholar]
- Abi, B.; Acciarri, R.; Acero, M.A.; Adamov, G.; Adams, D.; Adinolfi, M.; Ahmad, Z.; Ahmed, J.; Alion, T.; Monsalve, S.A.; et al. Supernova Neutrino Burst Detection with the Deep Underground Neutrino Experiment. arXiv 2020, arXiv:2008.06647. [Google Scholar]
- Kimura, M.; Tanaka, M.; Washimi, T.; Yorita, K. Measurement of the scintillation efficiency for nuclear recoils in liquid argon under electric fields up to 3 kV/cm. Phys. Rev. D 2019, 100, 032002. [Google Scholar] [CrossRef]
- Kimura, M.; Aoyama, K.; Takeda, T.; Tanaka, M.; Yorita, K. Measurements of argon-scintillation and -electroluminescence properties for low mass WIMP dark matter search. J. Instrum. 2020, 15, C08012. [Google Scholar] [CrossRef]
- Doke, T.; Hitachi, A.; Kubota, S.; Nakamoto, A.; Takahashi, T. Estimation of Fano factors in liquid argon, krypton, xenon and xenon-doped liquid argon. Nucl. Instrum. Methods 1976, 134, 353–357. [Google Scholar] [CrossRef]
- Doke, T.; Crawford, H.J.; Hitachi, A.; Kikuchi, J.; Lindstrom, P.J.; Masuda, K.; Shibamura, E.; Takahashi, T. LET dependence of scintillation yields in liquid argon. Nucl. Instrum. Methods Phys. Res. Sect. A Accel. Spectrometers Detect. Assoc. Equip. 1988, 269. [Google Scholar] [CrossRef]
- Alexander, T.; Alton, D.; Arisaka, K.; Back, H.O.; Beltrame, P.; Benziger, J.; Bonfini, G.; Brigatti, A.; Brodsky, J.; Bussino, S.; et al. DarkSide search for dark matter. J. Instrum. 2013, 8, C11021. [Google Scholar] [CrossRef]
- Sangiorgio, S.; Joshi, T.; Bernstein, A.; Coleman, J.; Foxe, M.; Hagmann, C.; Jovanovic, I.; Kazkaz, K.; Mavrokoridis, K.; Mozin, V.; et al. First demonstration of a sub-keV electron recoil energy threshold in a liquid argon ionization chamber. Nucl. Instrum. Methods Phys. Res. Sect. A Accel. Spectrometers Detect. Assoc. Equip. 2013, 728, 69–72. [Google Scholar] [CrossRef]
- Aprile, E.; Aalbers, J.; Agostini, F.; Alfonsi, M.; Amaro, F.; Anthony, M.; Arneodo, F.; Barrow, P.; Baudis, L.; Bauermeister, B.; et al. XENON100 dark matter results from a combination of 477 live days. Phys. Rev. D 2016, 94, 122001. [Google Scholar] [CrossRef]
- Zani, A. The WArP Experiment: A Double-Phase Argon Detector for Dark Matter Searches. Adv. High Energy Phys. 2014, 2014, 205107. [Google Scholar] [CrossRef]
- Agnes, P.; Albuquerque, I.; Alexander, T.; Alton, A.; Araujo, G.; Ave, M.; Back, H.; Baldin, B.; Batignani, G.; Biery, K.; et al. DarkSide-50 532-day dark matter search with low-radioactivity argon. Phys. Rev. D 2018, 98, 102006. [Google Scholar] [CrossRef]
- Agnes, P.; Dawson, J.; De Cecco, S.; Fan, A.; Fiorillo, G.; Franco, D.; Galbiati, C.; Giganti, C.; Johnson, T.; Korga, G.; et al. Measurement of the liquid argon energy response to nuclear and electronic recoils. Phys. Rev. D 2018, 97, 112005. [Google Scholar] [CrossRef]
- Weinstein, A.; theDUNE Collaboration. Supernova Neutrinos at the DUNE Experiment. J. Phys. Conf. Ser. 2020, 1342, 012052. [Google Scholar] [CrossRef]
- Aguilar-Arevalo, A.A.; Anderson, C.E.; Bazarko, A.O.; Brice, S.J.; Brown, B.C.; Bugel, L.; Cao, J.; Coney, L.; Conrad, J.M.; Cox, D.C.; et al. Search for core-collapse supernovae using the MiniBooNE neutrino detector. Phys. Rev. D 2010, 81, 032001. [Google Scholar] [CrossRef]
- Acciarri, R.; Acero, M.A.; Adamowski, M.; Adams, C.; Adamson, P.; Adhikari, S.; Ahmad, Z.; Albright, C.H.; Alion, T.; Amador, E.; et al. Long-Baseline Neutrino Facility (LBNF) and Deep Underground Neutrino Experiment (DUNE): Conceptual Design Report, Volume 1: The LBNF and DUNE Projects. arXiv 2016, arXiv:1601.05471. [Google Scholar]
- Acciarri, R.; Adams, C.; Asaadi, J.A.; Backfish, M.; Badgett, W.; Baller, B.; Rodrigues, O.B.; Blaszczyk, F.M.; Bouabid, R.; Bromberg, C.; et al. The Liquid Argon In A Testbeam (LArIAT) Experiment. JINST 2020, 15, P04026. [Google Scholar] [CrossRef]
- LArIAT Collaboration. Calorimetry for low-energy electrons using charge and light in liquid argon. Phys. Rev. D 2020, 101, 012010. [Google Scholar] [CrossRef]
- Adams, C.; Alrashed, M.; An, R.; Anthony, J.; Asaadi, J.; Ashkenazi, A.; Balasubramanian, S.; Baller, B.; Barnes, C.; Barr, G.; et al. Calibration of the charge and energy loss per unit length of the MicroBooNE liquid argon time projection chamber using muons and protons. J. Instrum. 2020, 15, P03022. [Google Scholar] [CrossRef]
- BIRKS, J. Chapter 8—Organic Liquid scintillators. In The Theory and Practice of Scintillation Counting; BIRKS, J., Ed.; International Series of Monographs in Electronics and Instrumentation; Pergamon Press: Oxford, UK, 1964; pp. 269–320. [Google Scholar] [CrossRef]
- Miyajima, M.; Takahashi, T.; Konno, S.; Hamada, T.; Kubota, S.; Shibamura, H.; Doke, T. Average energy expended per ion pair in liquid argon. Phys. Rev. A 1974, 9, 1438–1443. [Google Scholar] [CrossRef]
- Tanaka, M.; Doke, T.; Hitachi, A.; Kato, T.; Kikuchi, J.; Masuda, K.; Murakami, T.; Nishikido, F.; Okada, H.; Ozaki, K.; et al. LET dependence of scintillation yields in liquid xenon. Nucl. Instrum. Methods Phys. Res. Sect. A Accel. Spectrometers Detect. Assoc. Equip. 2001, 457, 454–463. [Google Scholar] [CrossRef]
- Thomas, J.; Imel, D.A. Recombination of electron-ion pairs in liquid argon and liquid xenon. Phys. Rev. A 1987, 36, 614–616. [Google Scholar] [CrossRef]
- Thomas, J.; Imel, D.A.; Biller, S. Statistics of charge collection in liquid argon and liquid xenon. Phys. Rev. A 1988, 38, 5793–5800. [Google Scholar] [CrossRef] [PubMed]
- Obodovskiy, I. Saturation curves and energy resolution of LRG ionization spectrometers. In Proceedings of the IEEE International Conference on Dielectric Liquids, ICDL, Coimbra, Portugal, 26 June–1 July 2005; pp. 321–324. [Google Scholar] [CrossRef]
- Amoruso, S.; Antonello, M.; Aprili, P.; Arneodo, F.; Badertscher, A.; Baiboussinov, B.; Baldo Ceolin, M.; Battistoni, G.; Bekman, B.; Benetti, P.; et al. Study of electron recombination in liquid argon with the ICARUS TPC. Nucl. Instrum. Methods Phys. Res. Sect. A Accel. Spectrometers Detect. Assoc. Equip. 2004, 523, 275–286. [Google Scholar] [CrossRef]
- Snider, E.; Petrillo, G. LArSoft: Toolkit for simulation, reconstruction and analysis of liquid argon TPC neutrino detectors. J. Phys. Conf. Ser. 2017, 898, 042057. [Google Scholar] [CrossRef]
- Mozumder, A. Free-ion yield in liquid argon at low-LET. Chem. Phys. Lett. 1995, 238, 143–148. [Google Scholar] [CrossRef]
- Aprile, E.; Ku, W.H.-M.; Park, J.; Schwartz, H. Energy resolution studies of liquid argon ionization detectors. Nucl. Instrum. Methods Phys. Res. Sect. A Accel. Spectrometers Detect. Assoc. Equip. 1987, 261, 519–526. [Google Scholar] [CrossRef]
- Kozlova, E.; Mueller, J. NEST Liquid Argon Mean Yields Note; NEST Collaboration Website: 2020 UC Davis. Available online: https://docs.google.com/document/d/1vLg8vvY5bcdl4Ah4fzyE182DGWt0Wr7_FJ12_B10ujU/edit?usp=sharing (accessed on 18 March 2021).
- Berger, M.; Coursey, J.; Zucker, M.; Chang, J. ESTAR, PSTAR, and ASTAR: Computer Programs for Calculating Stopping-Power and Range Tables for Electrons, Protons, and Helium Ions; National Institute of Standards and Technology: Gaithersburg, MD, USA, 2005. [Google Scholar]
- Acciarri, R.; Adams, C.; Asaadi, J.; Baller, B.; Bolton, T.; Bromberg, C.; Cavanna, F.; Church, E.; Edmunds, D.; Ereditato, A.; et al. Demonstration of MeV-scale physics in liquid argon time projection chambers using ArgoNeuT. Phys. Rev. D 2019, 99, 012002. [Google Scholar] [CrossRef]
- Agnes, P.; Albuquerque, I.; Alexander, T.; Alton, A.; Araujo, G.; Asner, D.; Ave, M.; Back, H.; Baldin, B.; Batignani, G.; et al. Low-Mass Dark Matter Search with the DarkSide-50 Experiment. Phys. Rev. Lett. 2018, 121, 081307. [Google Scholar] [CrossRef]
- Akimov, D.; Albert, J.B.; An, P.; Awe, C.; Barbeau, P.S.; Becker, B.; Belov, V.; Blackston, M.A.; Blokland, L.; Bolozdynya, A.; et al. COHERENT Collaboration data release from the first detection of coherent elastic neutrino-nucleus scattering on argon. arXiv 2020, arXiv:2006.12659. [Google Scholar] [CrossRef]
- Creus, W.; Allkofer, Y.; Amsler, C.; Ferella, A.; Rochet, J.; Scotto-Lavina, L.; Walter, M. Scintillation efficiency of liquid argon in low energy neutron-argon scattering. J. Instrum. 2015, 10, P08002. [Google Scholar] [CrossRef][Green Version]
- Regenfus, C.; Allkofer, Y.; Amsler, C.; Creus, W.; Ferella, A.; Rochet, J.; Walter, M. Study of nuclear recoils in liquid argon with monoenergetic neutrons. J. Phys. Conf. Ser. 2012, 375, 012019. [Google Scholar] [CrossRef]
- Alexander, T.; Back, H.O.; Cao, H.; Cocco, A.G.; DeJongh, F.; Fiorillo, G.; Galbiati, C.; Grandi, L.; Kendziora, C.; Lippincott, W.H.; et al. Observation of the dependence on drift field of scintillation from nuclear recoils in liquid argon. Phys. Rev. D 2013, 88, 092006. [Google Scholar] [CrossRef]
- Cao, H.; Alexander, T.; Aprahamian, A.; Avetisyan, R.; Back, H.O.; Cocco, A.G.; DeJongh, F.; Fiorillo, G.; Galbiati, C.; Grandi, L.; et al. Measurement of scintillation and ionization yield and scintillation pulse shape from nuclear recoils in liquid argon. Phys. Rev. D 2015, 91, 092007. [Google Scholar] [CrossRef]
- Hitachi, A.; Mozumder, A. Properties for liquid argon scintillation for dark matter searches. arXiv 2019, arXiv:1903.05815. [Google Scholar]
- Agnes, P.; Albuquerque, I.; Alexander, T.; Alton, A.; Arisaka, K.; Asner, D.; Ave, M.; Back, H.; Baldin, B.; Biery, K.; et al. The electronics, trigger and data acquisition system for the liquid argon time projection chamber of the DarkSide-50 search for dark matter. J. Instrum. 2017, 12, P12011. [Google Scholar] [CrossRef]
- Mei, D.M.; Yin, Z.B.; Stonehill, L.; Hime, A. A model of nuclear recoil scintillation efficiency in noble liquids. Astropart. Phys. 2008, 30, 12–17. [Google Scholar] [CrossRef]
- Broerman, B.; Boulay, M.; Cai, B.; Cranshaw, D.; Dering, K.; Florian, S.; Gagnon, R.; Giampa, P.; Gilmour, C.; Hearns, C.; et al. Application of the TPB Wavelength Shifter to the DEAP-3600 Spherical Acrylic Vessel Inner Surface. J. Instrum. 2017, 12, P04017. [Google Scholar] [CrossRef]
- Gehman, V.; Seibert, S.; Rielage, K.; Hime, A.; Sun, Y.; Mei, D.M.; Maassen, J.; Moore, D. Fluorescence efficiency and visible re-emission spectrum of tetraphenyl butadiene films at extreme ultraviolet wavelengths. Nucl. Instrum. Methods Phys. Res. Sect. A Accel. Spectrometers Detect. Assoc. Equip. 2011, 654, 116–121. [Google Scholar] [CrossRef]
- Tope, T.; Adamowski, M.; Carls, B.; Hahn, A.; Jaskierny, W.; Jostlein, H.; Kendziora, C.; Lockwitz, S.; Pahlka, B.; Plunkett, R.; et al. Extreme argon purity in a large, non-evacuated cryostat. AIP Conf. Proc. 2014, 1573, 1169–1175. [Google Scholar] [CrossRef]











| Experiment | Resolution [%] Gaussian 100*1/Mean | Uncertainty |
|---|---|---|
| XENON10 [40] | 0.89 * | |
| XENON100 [84] | 1.21 * | |
| XENON1T [41] | 0.80 | 0.02 |
| EXO-200 [85] single-scatter only | 4.5 for Q | |
| EXO-200 [86] | 1.9641 | 0.0039 |
| EXO-200 [87] | 1.84 (6.0–7.9 S1, 3.5 Q) | 0.03 |
| EXO-200 [82] | 1.67 | |
| EXO-200 [86,88,89] | 1.5820 or 1.6(0) | 0.0044 |
| EXO-200 [13,90,91,92,93] | 1.53 | 0.06 |
| EXO-200 [10,94] | 1.38 then 1.23 then 1.15 | 0.02 (last) |
| EXO-200 [70] | 0.94(1)–1.38(2) comb and 3.44(6)–4.08(4) for Q | |
| KamLAND-ZEN [95,96] | 4.0–4.3 (GXe dissolved in liquid scintillator) | |
| KamLAND-ZEN [97,98,99,100] | 4.2 | ∼0.2 |
| KamLAND-ZEN [101] | 4.66 |
| 0% Q noise | 1% | 2% | 5% | 10% | 20% | 50% | 100% | |
|---|---|---|---|---|---|---|---|---|
| 0.001 | 0.46 | 1.10 | 2.05 | 4.99 | 10.0 | 20.1 | 46.0 | 62.5 |
| 0.002 | 0.46 | 1.10 | 2.05 | 4.99 | 10.0 | 20.1 | 46.0 | 62.5 |
| 0.005 | 0.46 | 1.10 | 2.05 | 4.99 | 10.0 | 20.1 | 46.0 | 54.6 |
| 0.01 | 0.46 | 1.10 | 2.05 | 4.99 | 10.0 | 20.1 | 40.5 | 46.6 |
| 0.02 | 0.46 | 1.10 | 2.05 | 4.99 | 10.0 | 20.1 | 34.1 | 42.4 |
| 0.05 | 0.46 | 1.10 | 2.05 | 4.99 | 10.0 | 17.8 | 28.9 | 31.5 |
| 0.1 | 0.46 | 1.10 | 2.05 | 4.99 | 10.0 | 14.5 | 22.1 | 22.1 |
| 0.2 | 0.46 | 1.10 | 2.05 | 4.99 | 8.78 | 12.7 | 15.6 | 15.6 |
| 0.5 | 0.46 | 1.10 | 2.05 | 4.99 | 7.12 | 10.0 | 10.0 | 10.0 |
| 1 | 0.46 | 1.10 | 2.05 | 4.21 | 6.34 | 7.08 | 7.08 | 7.08 |
| 2 | 0.46 | 1.10 | 2.05 | 3.55 | 4.99 | 4.99 | 4.99 | 4.99 |
| 5 | 0.46 | 1.10 | 1.79 | 3.08 | 3.14 | 3.14 | 3.14 | 3.14 |
| 10 | 0.46 | 1.10 | 1.47 | 2.20 | 2.20 | 2.20 | 2.20 | 2.20 |
| 20 | 0.46 | 0.87 | 1.28 | 1.53 | 1.53 | 1.53 | 1.53 | 1.53 |
| 50 | 0.39 | 0.67 | 0.91 | 0.91 | 0.91 | 0.91 | 0.91 | 0.91 |
| 100 | 0.21 | 0.57 | 0.57 | 0.57 | 0.57 | 0.57 | 0.57 | 0.57 |
Publisher’s Note: MDPI stays neutral with regard to jurisdictional claims in published maps and institutional affiliations. |
© 2021 by the authors. Licensee MDPI, Basel, Switzerland. This article is an open access article distributed under the terms and conditions of the Creative Commons Attribution (CC BY) license (http://creativecommons.org/licenses/by/4.0/).
Share and Cite
Szydagis, M.; Block, G.A.; Farquhar, C.; Flesher, A.J.; Kozlova, E.S.; Levy, C.; Mangus, E.A.; Mooney, M.; Mueller, J.; Rischbieter, G.R.C.; et al. A Review of Basic Energy Reconstruction Techniques in Liquid Xenon and Argon Detectors for Dark Matter and Neutrino Physics Using NEST. Instruments 2021, 5, 13. https://doi.org/10.3390/instruments5010013
Szydagis M, Block GA, Farquhar C, Flesher AJ, Kozlova ES, Levy C, Mangus EA, Mooney M, Mueller J, Rischbieter GRC, et al. A Review of Basic Energy Reconstruction Techniques in Liquid Xenon and Argon Detectors for Dark Matter and Neutrino Physics Using NEST. Instruments. 2021; 5(1):13. https://doi.org/10.3390/instruments5010013
Chicago/Turabian StyleSzydagis, Matthew, Grant A. Block, Collin Farquhar, Alexander J. Flesher, Ekaterina S. Kozlova, Cecilia Levy, Emily A. Mangus, Michael Mooney, Justin Mueller, Gregory R. C. Rischbieter, and et al. 2021. "A Review of Basic Energy Reconstruction Techniques in Liquid Xenon and Argon Detectors for Dark Matter and Neutrino Physics Using NEST" Instruments 5, no. 1: 13. https://doi.org/10.3390/instruments5010013
APA StyleSzydagis, M., Block, G. A., Farquhar, C., Flesher, A. J., Kozlova, E. S., Levy, C., Mangus, E. A., Mooney, M., Mueller, J., Rischbieter, G. R. C., & Schwartz, A. K. (2021). A Review of Basic Energy Reconstruction Techniques in Liquid Xenon and Argon Detectors for Dark Matter and Neutrino Physics Using NEST. Instruments, 5(1), 13. https://doi.org/10.3390/instruments5010013

