Unveiling the Acoustic Signature of Collichthys lucidus: Insights from X-ray Morphometry-Informed Acoustic Modeling and Empirical Analysis
Abstract
1. Introduction
2. Materials and Methods
2.1. Sample Collection
2.2. Measurement of Biological Parameters
2.3. Construction of the Tethered Experiment System
2.4. KRM Model
2.5. The TS of C. lucidus
2.6. Data Analysis
3. Results
3.1. Morphological Measurements of C. lucidus
3.2. TS of C. lucidus at Different Pitch Angles
3.3. Broadband Scattering Characteristics of C. lucidus
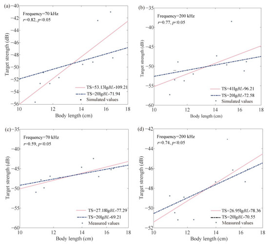
3.4. TS-BL Empirical Formula
4. Discussion
5. Conclusions
Author Contributions
Funding
Institutional Review Board Statement
Informed Consent Statement
Data Availability Statement
Acknowledgments
Conflicts of Interest
References
- Ma, J.; Tian, S.; Gao, C.; Kindong, R.; Zhao, J. Evaluation of sampling designs for different fishery groups in the Yangtze River estuary, China. Reg. Stud. Mar. Sci. 2020, 38, 101373. [Google Scholar] [CrossRef]
- Tang, S.; Zhang, F.; Feng, S.; Dai, F.; Wang, Y. Biological community of fishery resources in the Yangtze River Estuary and adjacent sea areas in the summer of 2015. Mar. Sci. 2017, 39, 490–499. [Google Scholar]
- Wang, R.; Yang, G.; Geng, Z.; Zhao, F.; Feng, X.; Zhang, T. Application of environmental DNA technology in fish diversity analysis in the Yangtze river estuary. Acta Hydrobiol. Sin. 2023, 47, 365–375. [Google Scholar]
- Chen, J.; Wang, X.; Tian, S.; Wu, J.; Dai, L.; Gao, C.; Tong, J.; Zhao, J. Community structure of fishery biology in the Yangtze River estuary and its adjacent waters. Resour. Environ. Yangtze Basin 2021, 30, 122–136. [Google Scholar]
- Ma, J.; Huang, J.; Chen, J.; Li, B.; Zhao, J.; Gao, C.; Wang, X.; Tian, S. Analysis of spatiotemporal fish density distribution and its influential factorsbased on generalized additive model (GAM) in the Yangtze River estuary. J. Fish. China 2020, 44, 936–946. [Google Scholar]
- Zhao, J.; Yang, K.; Ma, J. Optimization of sampling effort for different fishery groups in the Yangtze River Estuary, China. Mar. Coast. Fish. 2022, 14, e10214. [Google Scholar] [CrossRef]
- Wang, J.; Zhao, F.; Song, C.; Yang, G.; Hou, J.; Zhuang, P. Diet composition and seasonal variation in feeding habits of Collichthy lucidus in Yangtze Estuary, China. Chin. J. Appl. Ecol. 2016, 27, 291–298. [Google Scholar]
- Xiong, P.; Xu, S.; Chen, Z.; Zhang, S.; Jiang, P.; Fan, J. Spatiotemporal distribution of Collichthy lucidus in the Pearl River Estuary and its relationship with environmental factors. Mar. Sci. 2022, 46, 79–87. [Google Scholar]
- Xiong, P.; Chen, Z.; Hou, G.; Zhang, S.; Qiu, Y.; Fan, J.; Xu, S. Decadal change in biological traits of Collichthys lucidus in Pearl River Estuary. South China Fish. Sci. 2021, 17, 31–38. [Google Scholar]
- Liu, J.; Song, W.; Jiang, K.; Liang, S.; Zhang, F.; Chen, W.; Ma, L. Observation of embryonic development and larval morpholoy of Collichthys lucidus. Mar. Fish. 2018, 40, 691–702. [Google Scholar]
- Zhao, L.; Qu, F.; Song, N.; Han, Z.; Gao, T.; Zhang, Z. Population genomics provides insights into the population structure and temperature-driven adaptation of Collichthys lucidus. BMC Genom. 2021, 22, 729. [Google Scholar] [CrossRef] [PubMed]
- Shi, D.; Zhang, K.; Cai, Y.; Xu, Y.; Sun, M.; Xu, S.; Zhu, J.; Chen, Z. Stock assessment of Collichthys lucidus in the Pearl River Estuary in data-limited conditions. Mar. Fish. 2022, 44, 435–445. [Google Scholar]
- Zhu, Z.; Tong, J.; Xue, M.; Sarr, O.; Gao, T. Assessing the influence of abiotic factors on small pelagic fish distribution across diverse water layers in the Northwest Pacific Ocean through acoustic methods. Ecol. Indic. 2024, 158, 111563. [Google Scholar] [CrossRef]
- Wan, S.; Chen, X.; Tong, J. Review on acoustic scattering models and its applications used in fish body target strength and fish species classification. J. Shanghai Ocean Univ. 2023, 32, 171–180. [Google Scholar]
- Henderson, M.J.; Horne, J.K. Comparison of in situ, ex situ, and backscatter model estimates of Pacific hake (Merluccius productus) target strength. Can. J. Fish. Aquat. Sci. 2007, 64, 1781–1794. [Google Scholar] [CrossRef]
- Clay, C.S. Composite ray-mode approximations for backscattered sound from gas-filled cylinders and swimbladders. J. Acoust. Soc. Am. 1992, 92, 2173–2180. [Google Scholar] [CrossRef]
- Madirolas, A.; Membiela, F.A.; Gonzalez, J.D.; Cabreira, A.G.; dell’Erba, M.; Prario, I.S.; Blanc, S. Acoustic target strength (TS) of argentine anchovy (Engraulis anchoita): The nighttime scattering layer. ICES J. Mar. Sci. 2017, 74, 1408–1420. [Google Scholar] [CrossRef]
- Smith, J.N.; Ressler, P.H.; Warren, J.D. A distorted wave Born approximation target strength model for Bering Sea euphausiids. ICES J. Mar. Sci. 2013, 70, 204–214. [Google Scholar] [CrossRef][Green Version]
- Sobradillo, B.; Boyra, G.; Pérez-Arjona, I.; Martinez, U.; Espinosa, V. Ex situ and in situ target strength measurements of European anchovy in the Bay of Biscay. ICES J. Mar. Sci. 2021, 78, 782–796. [Google Scholar] [CrossRef]
- Clay, C.S.; Horne, J.K. Acoustic models of fish: The Atlantic cod (Gadus morhua). J. Acoust. Soc. Am. 1994, 96, 1661–1668. [Google Scholar] [CrossRef]
- Li, C.; Chu, D.; Horne, J.; Li, H. Comparison of coherent to incoherent kirchhoff-ray-mode (KRM) models in predicting backscatter by swim-bladder-bearing fish. J. Mar. Sci. Eng. 2023, 11, 473. [Google Scholar] [CrossRef]
- Yoon, E.; Oh, W.-S.; Lee, H.; Hwang, K.; Kim, D.-N.; Lee, K. Comparison of target strength of Pacific Herring (Clupea pallasii Valenciennes, 1847) from Ex-Situ measurements and a theoretical model. Water 2021, 13, 3009. [Google Scholar] [CrossRef]
- Demer, D.A.; Berger, L.; Bernasconi, M.; Bethke, E.; Boswell, K.; Chu, D.; Domokos, R.; Dunford, A.; Fassler, S.; Gauthier, S. Calibration of Acoustic Instruments, 1st ed.; International Council for the Exploration of the Sea: Copenhagen, Denmark, 2015; pp. 34–39. [Google Scholar]
- Loranger, S.; Jech, M.J.; Lavery, A.C. Broadband acoustic quantification of mixed biological aggregations at the New England shelf break. J. Acoust. Soc. Am. 2022, 152, 2319–2335. [Google Scholar] [CrossRef] [PubMed]
- Warren, J.D.; Stanton, T.K.; Wiebe, P.H.; Seim, H.E. Inference of biological and physical parameters in an internal wave using multiple-frequency, acoustic-scattering data. ICES J. Mar. Sci. 2003, 60, 1033–1046. [Google Scholar] [CrossRef]
- Sawada, K.; Ye, Z.; Kieser, R.; McFarlane, G.A.; Miyanohana, Y.; Furusawa, M. Target strength measurements and modeling of walleye pollock and Pacific hake. Fish. Sci. 1999, 65, 193–205. [Google Scholar] [CrossRef][Green Version]
- Yasuma, H.; Sawada, K.; Ohshima, T.; Miyashita, K.; Aoki, I. Target strength of mesopelagic lanternfishes (family Myctophidae) based on swimbladder morphology. ICES J. Mar. Sci. 2003, 60, 584–591. [Google Scholar] [CrossRef][Green Version]
- Li, B.; Liu, J.; Gao, X.; Huang, H.; Wang, F.; Huang, Z. Acoustic target strength of Thornfish (Terapon jarbua) based on the Kirchhoff-Ray Mode model. Electronics 2024, 13, 1279. [Google Scholar] [CrossRef]
- Yan, N.; Mukai, T.; Hasegawa, K.; Yamamoto, J.; Fukuda, Y. Broadband target strength of arabesque greenling, Pacific sand lance, and pointhead flounder. ICES J. Mar. Sci. 2024, 81, 195–203. [Google Scholar] [CrossRef]
- Foote, K.G. Importance of the swimbladder in acoustic scattering by fish: A comparison of gadoid and mackerel target strengths. J. Acoust. Soc. Am. 1980, 67, 2084–2089. [Google Scholar] [CrossRef]
- Kang, M.; Adrianus, A.; Cho, K.-H.; Kim, J.-H.; Son, W.; Yoo, J.; Yang, E.J.; La, H.S. Characterization of pelagic communities in the Pacific sector of the Arctic Ocean using a broadband acoustic system, net samplers, and optical instruments. J. Mar. Syst. 2024, 244, 103976. [Google Scholar] [CrossRef]
- Tong, J.; Xue, M.; Zhu, Z.; Wang, W.; Tian, S. Impacts of morphological characteristics on target strength of chub mackerel (Scomber japonicus) in the Northwest Pacific Ocean. Front. Mar. Sci. 2022, 9, 856483. [Google Scholar] [CrossRef]
- Yang, Y.; Gastauer, S.; Proud, R.; Mangeni-Sande, R.; Everson, I.; Kayanda, R.J.; Brierley, A.S. Modelling and in situ observation of broadband acoustic scattering from the Silver cyprinid (Rastrineobola argentea) in Lake Victoria, East Africa. ICES J. Mar. Sci. 2023, fsad137. [Google Scholar] [CrossRef]






| Transducer Type | ES70-7C | ES200-7C |
|---|---|---|
| Diameter of transducer (mm) | 250 | 100 |
| Broadband frequency (kHz) | 45~90 | 160~260 |
| Power (W) | 750 | 1000 |
| Pulse duration (ms) | 1.024 | 1.024 |
| Beam angle (degree) | 7 | 7 |
| Range resolution (cm) | 2 (chirp) | 0.8 (chirp) |
| Nearfield (m) | 2.34 | 1.07 |
| Ramping mode | Fast | Fast |
| Medium | Densities (kg/cm3) | Velocity (m/s) | Density Ratio | Sound Velocity Ratio |
|---|---|---|---|---|
| Water | 1030 | 1490 | - | - |
| Fish | 1070 | 1570 | 1.04 | 1.05 |
| Swimbladder | 1.24 | 345 | 0.001 | 0.22 |
| Number | Body Length (cm) | Swimbladder Length (cm) | Weight (g) |
|---|---|---|---|
| 1 | 16.61 | 4.97 | 48.54 |
| 2 | 13.97 | 4.61 | 57.75 |
| 3 | 15.33 | 8.76 | 55.01 |
| 4 | 16.39 | 3.77 | 53.43 |
| 5 | 14.90 | 4.61 | 49.19 |
| 6 | 12.42 | 3.57 | 27.40 |
| 7 | 11.21 | 2.50 | 34.40 |
| 8 | 11.78 | 2.86 | 24.58 |
| 9 | 11.40 | 3.87 | 19.01 |
| 10 | 10.91 | 2.30 | 19.49 |
| Frequency (kHz) | No. | TS (dB) | |
|---|---|---|---|
| KRM Model | Measured Experiment | ||
| 70 | 1 | −48.50 | −44.95 |
| 2 | −49.56 | −44.64 | |
| 3 | −42.41 | −47.01 | |
| 4 | −41.01 | −45.24 | |
| 5 | −49.19 | −42.44 | |
| 6 | −51.72 | −47.27 | |
| 7 | −52.68 | −47.85 | |
| 8 | −52.69 | −46.92 | |
| 9 | −50.9 | −49.87 | |
| 10 | −55.72 | −50.98 | |
| 200 | 1 | −48.82 | −46.1 |
| 2 | −47.32 | −47.36 | |
| 3 | −38.48 | −46.16 | |
| 4 | −51.18 | −47.34 | |
| 5 | −49.63 | −43.04 | |
| 6 | −51.98 | −51.17 | |
| 7 | −53.48 | −50.47 | |
| 8 | −53.73 | −48.9 | |
| 9 | −48.89 | −51.19 | |
| 10 | −57.29 | −48.77 | |
Disclaimer/Publisher’s Note: The statements, opinions and data contained in all publications are solely those of the individual author(s) and contributor(s) and not of MDPI and/or the editor(s). MDPI and/or the editor(s) disclaim responsibility for any injury to people or property resulting from any ideas, methods, instructions or products referred to in the content. |
© 2024 by the authors. Licensee MDPI, Basel, Switzerland. This article is an open access article distributed under the terms and conditions of the Creative Commons Attribution (CC BY) license (https://creativecommons.org/licenses/by/4.0/).
Share and Cite
Lyu, S.; Qiu, C.; Xue, M.; Zhu, Z.; Qiu, Y.; Tong, J. Unveiling the Acoustic Signature of Collichthys lucidus: Insights from X-ray Morphometry-Informed Acoustic Modeling and Empirical Analysis. Fishes 2024, 9, 304. https://doi.org/10.3390/fishes9080304
Lyu S, Qiu C, Xue M, Zhu Z, Qiu Y, Tong J. Unveiling the Acoustic Signature of Collichthys lucidus: Insights from X-ray Morphometry-Informed Acoustic Modeling and Empirical Analysis. Fishes. 2024; 9(8):304. https://doi.org/10.3390/fishes9080304
Chicago/Turabian StyleLyu, Shuo, Chuhan Qiu, Minghua Xue, Zhenhong Zhu, Yue Qiu, and Jianfeng Tong. 2024. "Unveiling the Acoustic Signature of Collichthys lucidus: Insights from X-ray Morphometry-Informed Acoustic Modeling and Empirical Analysis" Fishes 9, no. 8: 304. https://doi.org/10.3390/fishes9080304
APA StyleLyu, S., Qiu, C., Xue, M., Zhu, Z., Qiu, Y., & Tong, J. (2024). Unveiling the Acoustic Signature of Collichthys lucidus: Insights from X-ray Morphometry-Informed Acoustic Modeling and Empirical Analysis. Fishes, 9(8), 304. https://doi.org/10.3390/fishes9080304

