Quasi-Supplementation, Plenitudinous Coincidentalism, and Gunk
Abstract
1. Introduction
2. Core Mereology
2.1. Reflexivity and Transitivity
- ∀xP(x, x) ReflexivityEach thing is a part of itself.
 - ∀x∀y∀z[(P(x, y) & P(y, z)) → P(x, z)] TransitivityIf x is a part of y and y is a part of z, then x is a part of z.
 
- (D1)
 - O(x, y) = df. ∃z[P(z, x) & P(z, y)] Overlap‘x overlaps y’ means ‘x and y have a common part’.
 - (D2)
 - F(x, s) = df. ∀y[y∈s → P(y, x)] & Fusion∀y[P(y, x) → ∃z[z∈s & O(y, z)]‘x fuses s’ (or ‘x is a fusion of s’) means ‘s is non-empty, each of s’s members is a part of x, and each part of x overlaps some member of s’.
 
- 3.
 - ∀x∀y∀s[(F(x, s) & F(y, s)) → x = y] UniquenessA set of things has at most one fusion.
 - 4.
 - ∀s[∃x(x∈s) → ∃yF(y, s)] UNREach non-empty set of things has at least one fusion.
 
| Accept Uniqueness | Reject Uniqueness | |
| Accept UNR | Lewis [24], Sider [7] | Thomson [25] | 
| Reject UNR | van Inwagen [3], Koslicki [6] | Korman [26], Simons [10]5 | 
2.2. Anti-Symmetry?
- 5.
 - ∀x∀y[(P(x, y) & P(y, x)) → x = y] Anti-SymmetryNo two things are parts of each other.
 
- (D3)
 - D(x, y) = df. ~O(x, y) Disjointness‘x is disjoint from y’ means ‘x does not overlap y’.
 
- 6.
 - ∀x∀y[~P(x, y) → ∃z(P(z, x) & D(z, y))] Strong SupplementationIf x is not a part of y, then x has a part that is disjoint from y.
 
- Lump1 and Goliath both fuse s but are not identical. It is not the case that Goliath is a part of Lump1 and Lump1 is a part of Goliath. Goliath’s head is a part of Goliath but not a part of Lump1.8
 
- Lump1 and Goliath both fuse s but are not identical. They are parts of each other. Goliath’s head is a part of both Goliath and Lump1.9
 
2.3. Weak Supplementation?
- (D4)
 - PPNI(x, y) = df. P(x, y) & x≠y ProperNI Parthood‘x is a properNI part of y’ means ‘x is a part of but not identical to y’.
 
- 7.
 - ∀x∀y[PPNI(x, y) → ∃z(P(z, y) & D(z, x))] WSPNIIf x is a properNI part of y, then y has somepart z that is disjoint from x.
 
2.4. Virtues and Vices of WSPNI

- 8.
 - ∀x∀y[PPNI(x, y) → ∃z(PPNI(z, y) & z≠x)] Weak CompanyNIIf a thing has a properNI part, then it hasat least two properNI parts.
 
- 9.
 - ∀x∀y[PPNI(x, y) → ∃z(PPNI(z, y) & ~P(z, x))] Strong CompanyNIIf a thing y has a properNI part x, then y has a properNI part z that is not a part of x.11
 

- 10.
 - ∀x∀y[PPNI(x, y) → ∃z(P(z, y) & D(z, x) & MSPNI∀w(P(w, y) → (O(w, x) v O(w, z)))]If x is a properNI part of y, then y has a part z disjoint from x such that y fuses {x, z}.
 



- 11.
 - ∀x∀y[∃z[PPNI(z, x)] → (E)[∀w[PPNI(w, x) ↔ PPNI(w, y)] → x = y]]‘No two things have exactly the same proper[NI] parts (unless they are atomic, i.e., have no proper[NI] parts at all)’ (Varzi [35]).
 

[A]ll that is needed, to get (E), is finitary Universalism [(U)], i.e., the assumption that any pair of objects has a fusion. For suppose that x and y are distinct non-atomic objects. There are two possibilities:(a) One object, say x, is part of the other, y. Then, obviously x and y don’t have the same proper parts. For x must be a proper part of y, though it cannot be a proper part of itself (on pain of being non-self-identical).(b) Neither x nor y is part of the other. Then let z be a fusion of x and y, whose existence follows from (U). By definition of ‘fusion’, x must be part of z, in fact, a proper part. (If x were identical to z, then y, which must also be part of z, would be part of x, contrary to what we are assuming.) Thus, by [WSPNI], z has a part, z1, that is disjoint from x. By definition of ‘fusion’, again, z1 cannot be also disjoint from y, which is to say that it must have a part, z2, in common with y. Now, either z2 is a proper part of y, or z2 is y. In the first case, it is clear that z2 cannot be part of x, let alone a proper part, since x is disjoint from z1. In the second case, let z3 be a proper part of y (which is not atomic). By [Transitivity], z3 must be part of z1, hence, again, it cannot be part of x, let alone a proper part. It follows that in both cases, x does not have the same proper parts as y.Since (a)–(b) are the only possibilities, this shows that the non-identity of x and y is reflected in their different mereological composition. (E) now follows by generalization (Varzi [35] (p. 600)).
What we have here is a universe all of whose parts overlap. But surely if a universe is complex (i.e., has proper parts at all) then at least two of these parts will be disjoint. To express this we first define overlapping and disjointness [via the definitions that are here labeled ‘(D1)’ and ‘(D3)’—CG]. . . . We then have:SA3 PP(x, y) → ∃z[PP(z, y) & D(z, x)] (WSP)
2.5. Quasi-Supplementation
- 12.
 - ∀x∀y[(P(x, y) & x≠y) → Quasi-Supplementation∃z∃w(P(z, y) & P(w, y) & D(z, w))]Anything that has a distinct part has disjoint parts.
 
- 13.
 - ∀x∀y[PPNI(x, y) → QS *∃z∃w[z≠w & D(z, w) & PPNI(z, y) & PPNI(w, y)]]If a thing has a properNI part, then it has at least two disjoint properNI parts.
 


2.6. Alternatives?
2.6.1. WSPNM
- (D4)
 - PPNM(x, y) =df. P(x, y) & ~P(y, x) ProperNM Parthood‘x is a properNM part of y’ means ‘x is a part of y but not vice versa’.
 
- 14.
 - ∀x∀y[PPNM(x, y) → ∃z(P(z, y) & D(z, x))] WSPNMIf x is a properNM part of y, then y has apart z that is disjoint from x.
 
[A]ll that is needed, to get (E), is finitary Universalism [(U)], i.e., the assumption that any pair of objects has a fusion. For suppose that x and y are distinct non-atomic objects [i.e., that each of these objects has at least one properNI part, so that the antecedent of (E) is satisfied]. There are two possibilities:(a) One object, say x, is part of the other, y. Then obviously x and y don’t have the same proper[NI] parts. For x must be a proper[NI] part of y, though it cannot be a proper[NI] part of itself (on pain of being non-self-identical).(b) Neither x nor y is part of the other. Then let z be a fusion of x and y, whose existence follows from (U). By definition of ‘fusion’, x must be part of z, in fact a proper[NM] part. (If [z were a part of x], then y, which must also be part of z, would [by Transitivity] be part of x, contrary to what we are assuming.) Thus, by [WSPNM], z has a part, z1, that is disjoint from x. By definition of ‘fusion’, again, z1 cannot be also disjoint from y, which is to say that it must have a part, z2, in common with y. Now, either z2 is a proper[NI] part of y, or z2 is y. In the first case, it is clear that z2 cannot be part of x, let alone a proper part, since x is disjoint from z1. In the second case, let z3 be a proper[NI] part of y (which is not atomic, [i.e., which has at least one properNI part]). By [Transitivity], z3 must be part of z1, hence again it cannot be part of x, let alone a proper[NI] part. It follows that in both cases x does not have the same proper[NI] parts as y.Since (a)–(b) are the only possibilities, this shows that the non-identity of x and y is reflected in their different mereological composition [i.e., in the fact that they have different proper[NI] parts, as (E) requires, given their compositeness]. (E) now follows by generalization [35] (p. 600).

2.6.2. WSPS
- 15.
 - ∀x∀y[PPS(x, y) → ∃z(PS(z, y) & DS(z, x))] WSPSIf x is a properS part of y, then y has a parts that is disjointS from x.
 
3. Plenitudinous Coincidentalism, Simples, and Gunk
- (D5)
 - CO(x, y) =df. ∀z[O(x, z) ↔ O(y, z)] Coincidence
 
If only some of the possible modal profiles are instantiated in a region, we can always ask why those are so special—which, given the view about objects just described, is just to ask why the things that exist there have the modal properties they do. An answer of ‘they just do’ sounds decidedly mysterious and obfuscatory. But if all of the possible modal profiles are instantiated, the question simply does not arise. Thus the fullness of each spatiotemporal region explains—or at least explains away—the primitiveness of the de re modal facts [41] (p. 355).
Even setting aside possible cases where objects spatiotemporally coincide without mereologically coinciding, we must still decide whether pairs of distinct objects ever mereologically coincide for the entirety of their careers. . . . I explore a more unbridled plenitude that recognizes a multitude of coinciding objects for any given filled region. . . . Having allowed for multiple coinciding objects with matching spatiotemporal boundaries, one is naturally led to wonder just how many objects inhabit a given boundary. Here again, it seems arbitrary to suggest anything but the modally plenitudinous answer: for any function from possible worlds to filled regions, there is an object whose modal profile is given by that function [42] (p. viii).
3.1. From Plenitude to the Actual Gunkiness of All Things?
- (AP1)
 - Plenitude is true.
 - (AP2)
 - If Plenitude is true, then everything has disjoint parts.
 - (AP3)
 - If everything has disjoint parts, then everything is strongly gunky.
 - (AC1)
 - So, everything is strongly gunky.
 
- (BP1)
 - Coincidentalism is true. (Carry out the Lump1/Goliath case; reflect on the mereological content and modal profiles of the resulting objects.)
 - (BP2)
 - If Coincidentalism is true, then Plenitude is true. (Appeal to Bennett/Hawthorne-style considerations.)
 - (AP1)
 - So, Plenitude is true.
 
- (D6)
 - G(x) = df. ∀y[P(y, x) → ∃z(PPNI(z, y))] Gunkiness‘x is gunky’ means ‘each of x’s parts has properNI parts’.
 

- (D7)
 - SG(x) = df. ∀y[P(y, x) → Strong Gunkiness∃z∃w(PPNI(z, y) & PPNI(w, y) & D(z, w))]‘x is strongly gunky’ means ‘each of x’s parts has disjoint properNI parts’.
 
- 16.
 - ∀x∃y[CO(x, y) & x≠y] No SolitudeEverything coincides with something other than itself.
 
- 17.
 - ∀x∃y∃z[P(y, x) & P(z, x) & D(y, z)] Disjoint PartsEverything has disjoint parts.
 
- 18.
 - ∀xSG(x) The Strong Gunk ThesisEverything is strongly gunky.
 

3.2. From the Possibility of Simples to the Thesis That Plenitude Is Not Necessary?
- (CP1)
 - Possibly, something is simple.
 - (CP2)
 - Necessarily, if a thing is simple, it does not coincide with any other thing.
 - (CC1)
 - So, possibly, there is a thing that does not coincide with any other thing.
 - (CP3)
 - Necessarily, if Plenitude is true, then each thing coincides with some other thing.
 - (CC2)
 - So, possibly, Plenitude is not true.
 
3.2.1. First Response: (CP1) Begs the Question Against the Plenitude Theorist
[A]ssume that in every possible world everything is composed of simples without proper parts . . . Note that the notion of ‘proper part’ needs to be treated with care by someone who believes Plenitude. If a proper part of x is a part of x that is not identical to x, then there are no simples (according to the Plenitude Lover), since every purported simple will be mereologically coincident with sundry objects that differ in their modal profiles. For current purposes, think of a proper part of x as some y that is part of x and is such that there is some z that is part of x that does not overlap y [42] (p. 55).
- (D8)
 - SS(x) = df. ~∃yPPNI(y, x) Strong Simplicity‘x is a strong (s-)simple’ means ‘x does not have any properNI parts (any parts with which x is not identical)’.
 - (D9)
 - PPH(x, y) = df. P(x, y) & ∃z[P(z, y) & D(z, x)] ProperH Parthood‘x is a properH part of y’ means ‘x is a part of y and some part of y is disjoint from x’.
 - (D10)
 - HS(x) = df. ~∃yPPH(y, x) Hawthorne Simplicity‘x is a Hawthorne (h-)simple’ means ‘x does not have any properH parts’.
 
- (DP1)
 - Possibly, something is an h-simple.
 - (DP2)
 - Necessarily, if a thing is an h-simple, then it does not coincide with any other thing.
 - (DC1)
 - So, possibly, there is a thing that does not coincide with any other thing.
 - (DP3)
 - Necessarily, if Plenitude is true, then each thing coincides with some other thing.
 - (DC2)
 - So, possibly, Plenitude is not true.
 
3.2.2. Second Response: QS Should Be Replaced with WSPH
- 19.
 - ∀x∀y[PPH(x, y) → ∃z(P(z, y) & D(z, x))] WSPHIf x is a properH part of y, then y has a part z that is disjoint from x.
 
3.2.3. Third Response: Conceding Argument D and Restricting Plenitude
Extreme: the ‘hyperessentialist’ modal profile that takes all of o’s properties (intrinsic and extrinsic alike) to be essential to o, andModerate: a modal profile that picks one or more of the following families:
- ○
  intrinsic properties,- ○
  perfectly natural properties,- ○
  location properties,- ○
  causal powers,and takes a property F of o to be essential to o just in case F belongs to one of the chosen families.
4. Formal Components?
4.1. From Restricted Plenitude to a ‘Constituent Ontology’
4.2. An Abductive, QS-Based Argument Against Formal Components
- (Q1)
 - Can an artist cause it to happen that an m-composite mereologically coincides with some other object?
 - (Q2)
 - Can an artist cause it to happen that an m-simple mereologically coincides with some other object?
 
- (E1)
 - It is impossible for two different material objects to coincide.
 - (E2)
 - As a matter of necessity, m-simples are too small and/or too short-lived to coincide with an artwork (which must be large enough and long-enough lived for a human being to perceive).
 - (E3)
 - Genuine coincidence requires career-long spatial co-location. Hence, in order to cause it to happen that an object x coincides with object y, an artist must cause both x and y to begin to exist. Artists may be able to cause m-composites to begin to exist—say, by bringing smaller material objects together. But an artist cannot cause an m-simple to begin to exist.
 
- (E4)
 - It is necessary that: (i) Reflexivity is true, (ii) QS is true, and (iii) any part of a material object is itself a material object.
 
5. Conclusions
Funding
Institutional Review Board Statement
Informed Consent Statement
Data Availability Statement
Acknowledgments
Conflicts of Interest
| 1 | Though see Johnston [1] for dissent. And, strictly speaking, what is almost universally accepted is not that parthood is reflexive and transitive, but that, if it is two-place, then it is reflexive and transitive, and if it is three-place (and time-relative, say), then it has ‘adicity-appropriate analogues’ of reflexivity and transitivity, and so on. Many philosophers deny that parthood is two-place. See, e.g., Thomson [2], van Inwagen [3], Hudson [4], McDaniel [5], and Koslicki [6]. Gilmore [7] argues that parthood might be a four-place relation and formulates analogues of reflexivity and transitivity principles that it plausibly obeys in such a case. Similar ideas are independently developed, and ultimately rejected, in Kleinschmidt [8]. Further, there is a dispute about how many fundamental parthood relations there are. (See McDaniel [9] on this.) Since these complications are not relevant here, I assume that there is exactly one fundamental parthood relation and that it is two-place.  | 
| 2 | Among those who attribute a special status to WSP are Simons [10], Oppy [11] (pp. 213–215), Effingham and Robson [12], Koslicki [6], Varzi [13], Bynoe [14], and van Inwagen [3]. Van Inwagen distinguishes between those mereological principles that ‘we shall presuppose’ and those that ‘we shall not presuppose’ (even though he ultimately endorses some in this second category). Among the principles that van Inwagen accepts but does not ‘presuppose’ are a version of Uniqueness and the claim that some things have simple parts. Among those that he ‘presupposes’ are the transitivity of parthood and WSPPVI: “if x is a proper part of y, there are zs (none of which is x) such that x and the zs compose y” [3] (p. 55). His definition of “compose” entails that if x and the zs compose y, then x and all of the zs are parts of y, and none of the zs overlaps x or any of the other zs. So WSPPVI entails that if x is a proper part of y, then y has some part disjoint from x. For further discussion of WSP and additional references, see Koslicki [6], Russell [15], Donnelly [16], Smith [17], Caplan, Tillman, and Reeder [18], and Gilmore [7] and [19].  | 
| 3 | For a defense of Transitivity against a recent challenge, see Varzi [20].  | 
| 4 | |
| 5 | |
| 6 | For very different reasons for doubting Anti-Symmetry, see Tillman and Fowler [27].  | 
| 7 | We can derive a contradiction from this set of claims. From the negation of Uniqueness we obtain the result that there are non-identical objects, call them a and b, that both fuse a common set of things, call it s. So, (i) a fuses s, (ii) b fuses s, and (iii) a≠b. Together with Transitivity, (i) and (ii) guarantee that neither a nor b has any part that is disjoint from the other. To see this, suppose (for reductio) that (iv) a has a part that is disjoint from b. Let c be such a part. This gives us (v) c is a part of a, and (vi) c is disjoint from b. From (v), (i), and the definition of ‘fuses’, we obtain (vii) c overlaps some member of s. Let d be such a thing. Then we have (viii) d is a member of s, and (ix) c overlaps d. From (ix) and definition of ‘overlaps’ we obtain (x) something is a part of both c and d. If we let e be such a thing, we have (xi) e is a part of c, and (xii) e is a part of d. Now recall that (viii) d is a member of s and that (ii) b fuses s. Together with the definition of ‘fuses’, these entail that (xiii) d is part of b. So, (xii) e is a part of d, and (xiii) d is a part of b. Given Transitivity, these yield (xiv) e is a part of b. But, as we already know, (xi) e is a part of c. So, (xv) something is a part of both c and b. Given the definition of ‘overlap’, this entails that (xvi) c overlaps b, which, given the definition of ‘disjoint’, entails that (xvii) c is not disjoint from b. This contradicts (vi), which lets us conclude that (xviii) a does not have a part that is disjoint from b. A parallel argument obtains the result that (xix) b does not have a part that is disjoint from a. (More generally, if there a set that x and y both fuse then, given Transitivity, neither x nor y has a part that is disjoint from the other. This is a useful point to keep in mind.) Now, in the presence of Strong Supplementation, (xviii) entails that (xx) a is a part of b, and (xix) entails that (xxi) b is a part of a. But, given Anti-Symmetry, (xx) and (xxi) entail that (xxii) a = b, which contradicts (iii).  | 
| 8 | |
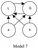
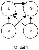
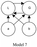
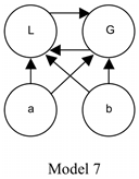
| 9 | |
| 10 | Upward-running lines stand for properNI parthood.  | 
| 11 | In the presence of Reflexivity, (i) Weak CompanyNI follows from Strong CompanyNI (but not vice versa), (ii) both principles follow from WSPNI (but it follows from neither), and (iii) none of the three follow from Strong Supplementation (nor does it follow from any of them).  | 
| 12 | As with WSPNI, neither MSPNI nor Strong Supplementation follows from the other.  | 
| 13 | Smith [17] rejects WSP on the basis of cases described by Effingham and Robson [12]. Gilmore [7] shows that if parthood is a four-place relation (expressed by ‘x at y is a part of z at w’), the cases in question do not threaten the ‘four-place counterpart’ of WSP, and argues that there are independent reasons to take parthood to be four-place. (Kleinschmidt [8] develops similar ideas independently.) See Forrest [33], Russell [15] and Caplan, Tillman, and Reeder [18] for a discussion of certain other pressures against WSP that lie beyond the scope of this paper.  | 
| 14 | Suppose for reduction that these claims are all true. Given S-Coincidentalism (Strong Supplementation + the negation of Uniqueness), we obtain the result that there are non-identical objects, call them a and b, that fuse a common set, call it s. This gives us (i) a fuses s, (ii) b fuses s, and (iii) a≠b. Earlier, we saw that (i) and (ii), together with Transitivity, yield the following consequences: (xviii) a does not have a part that is disjoint from b, and (xix) b does not have a part that is disjoint from a. In the presence of Strong Supplementation, (xviii) entails that (xx) a is a part of b, which, together with (iii) and the definition of ‘properNI part’, entails that (xxi) a is a properNI part of b. Together with WSPNI, (xxi) entails that (xxii) b has a part that is disjoint from a, which contradicts (xix).  | 
| 15 | See Cotnoir [34] (p. 399) on the use of directed graphs (as opposed to Hasse diagrams) to specify models in which parthood fails to be anti-symmetric.  | 
| 16 | Neither is Strong CompanyNI. L is a properNI part of G, but G does not have any properNI parts that are not parts of L. (G’s properNI parts are L, a, and b, and they are all parts of L).  | 
| 17 | Extensionality and Uniqueness both fail in Models 4 and 6. In Model 7, Extensionality is satisfied but Uniqueness is not.  | 
| 18 | See Rea [37] for a response to Varzi’s argument.  | 
| 19 | Although his versions of those principles employ a primitive notion of proper parthood, whereas ours employ the defined notion properNI parthood. See the next note.  | 
| 20 | I have replaced Simons’s notation with my own. (E.g., I have replaced Simons’s ‘⊃’ with my ‘→’ and his ‘<<’ with my ‘PP’.) He treats ‘proper part’ as primitive, and he defines ‘x is a part of y’ as ‘either x is a proper part of y or x = y’.  | 
| 21 | The fact that Model 7 satisfies QS but not Strong CompanyNI (see note 14) shows that QS is not logically stronger than Strong Company. This may come as a surprise, given that Strong CompanyNI fails to rule out all of Models 1–3, whereas QS succeeds in ruling these out (as I show in the main text below).  | 
| 22 | For further defenses of QS (and its adicity-appropriate analogues), see Gilmore [7], where a four-place counterpart of QS is shown to harmonize with endurantist interpretations of certain puzzling time travel cases (Effingham and Robson [12]), and Gilmore [19], where a four-place counterpart of QS is shown to harmonize with Russellian theories of propositions, contrary to what one might think on the basis of the arguments in Bynoe [14].  | 
| 23 | To see that QS is weaker than WSPNI, note two points. First, WSPNI is not a logical consequence of QS. This is shown by the fact that there are models (e.g., Models 7 and 9) in which QS is satisfied but WSPNI fails. Second, QS is a logical consequence of WSPNI. To see this, suppose that WSPNI is true. Then either (i) there are some things that satisfy its antecedent or (ii) there are not. Either way, QS comes out true too. Given (ii), nothing is a properNI part of anything and, hence, given the definition of ‘properNI part’, there is no pair such that x is a part of but not identical to y. In that case, there are not any things that satisfy the antecedent of QS either, which makes QS true (vacuously). On the other hand, suppose that (i) is true, and in particular, suppose that (iii) a is a properNI part of b. Then, given WSPNI, we obtain the result there is a part of b, call it c, that is disjoint from a. So, now we know that (iv) c is a part of b and (v) c is disjoint from a. But a is a properNI part of b and, hence, (given the definition of ‘properNI part’) a part of b. So, b has parts, namely, a and c, that are disjoint from each other, and hence, the consequent of QS is satisfied too.  | 
| 24 | To see this, first note that the failure of Uniqueness entails the existence of distinct coinciding objects. (This direction is easy.) For suppose that x and y fuse the same set, s, but are not identical. Now suppose for reductio that they do not overlap exactly the same things. Then, there will be an object z that overlaps one them, say x, but not the other, y. By the definition of ‘overlaps’, there is a thing z1 that is a part of both z and x; and by the definition of ‘fuses’, z1 overlaps some member m1 of s. So, by the definition of ‘overlaps’ again, there is a thing z2 that is a part of both z1 and m1. Now, since z2 is a part of z1 and z1 is a part of z, Transitivity lets us conclude that z2 is a part of z. And since z2 is a part of m1 and m1 (by the definition of ‘fuses’) is a part of y, Transitivity also lets us conclude that z2 is a part of y. So, since z2 is a part of both z and y, we can conclude (by the definition of ‘overlap’) that z overlaps y, which contradicts what we said earlier. This shows that if two objects fuse the same set, then (given Transitivity) they overlap exactly the same things, i.e., they coincide. Now, for the other direction: the existence of distinct coinciding objects entails the failure of Uniqueness. (This is harder, at least for me.) Suppose that x and y coincide but are not identical. By Reflexivity, x is a part of, and hence overlaps, itself. Mutatis mutandis for y. So, by the definition of ‘coincide’, x and y overlap each other. Hence, there is a thing z that is a part of both x and y. Now, let s be the set of things that are parts of both x and y, i.e., let s = {w: w is a part of x and w is a part of y}. We now show that x and y both fuse s. We know that (i) s has at least one member, z. And we know that (ii) each member of s is a part of x and is a part of y. So, all that remains is to show that (iii) each part of x overlaps at least one member of s and (iv) each part of y overlaps at least one member of s. Start with (iii). Assume for reductio that x has a part x1 that does not overlap any member of s. Now, x1 is a part of itself (given Reflexivity) and of x, hence, given the definition of ‘overlap’, x overlaps x1. So, by the definition of ‘coincide’, y overlaps x1 too. So, there is a thing y1 that is a part of both x1 and y. Since y1 is a part of x1 and x1 is a part of x, Transitivity lets us conclude that y1 is a part of x. But it is also a part of y. So, y1 is a member of s, the set of those things that are parts of both x and y. But y1 is a part of both itself (given Reflexivity) and x1. So, by the definition of ‘overlaps’, x1 overlaps y1, a member of s. This contradicts our assumption, which lets us conclude that (iii) is true. The case for (iv) is exactly parallel. Given (i)—(iv), it follows by the definition of ‘fuses’ that x and y both fuse s even though they are not identical. Uniqueness fails.  | 
| 25 | As is emphasized, e.g., by Heller [38].  | 
| 26 | Region R is matter-filled just in case each subregion of R spatiotemporally overlaps the path of some material object. The path of an object is the sum or union of spacetime regions at which the object is exactly located. These definitions leave open the possibility of a region that is matter-filled but not the path of any material object. Such a region might, e.g., be the sum of the paths of two distant particles that do not themselves compose any larger object.  | 
| 27 | Similar views are discussed by Sosa [43], Yablo [44], and, in the context of a trope bundle theory, McDaniel [45]. Hawthorne also expresses sympathy for extensions of Plenitude that make no distinction between regions that are ‘matter-filled’ and those that are not [42] (p. viii, p. 118). Such views posit a great many objects for every region, bar none. As Hawthorne notes, one might think of such objects as not merely occupying, but mereologically coinciding with, the regions at which they are located. For further relevant discussion, see Schaffer [46].  | 
| 28 | Though see Korman [26] for resistance.  | 
| 29 | To see this, assume for reductio that the antecedent (‘everything has disjoint parts’) is true and that the consequent (‘everything is strongly gunky’) is false, hence, that there is some object, call it x, that is not strongly gunky. By the definition of ‘strongly gunky’, it follows that there is a part x1 of x that does not have disjoint properNI parts. But given the antecedent, x1 does have disjoint parts, call them x2 and x3. Since x1 does not have disjoint properNI parts, it follows by the definition of ‘properNI part’ that at least one of x2 or x3, say x2, is identical to x1. So, since x3 is part of x1, and since x2 is identical to x1, it follows that x3 is a part of x2. And since, given Reflexivity, x3 is a part of itself, it follows that x3 and x2 have a common part (namely, x3) and hence, by the definitions of ‘overlap’ and ‘disjoint’, that they are not disjoint, which contradicts what we said earlier. This yields the desired conclusion.  | 
| 30 | Assume for reductio that (A) No Solitude, Reflexivity, QS the negation of Disjoint Parts are all true. From the negation of Disjoint Parts and the definition of ‘disjoint’, it follows that there is an object, call it x, such that any parts a and b of x overlap. Given No Solitude, there is an object, call it y, that coincides with but is not identical to x. Given Reflexivity, x is a part of itself and hence has a part in common with itself (namely, x), from which it follows, by the definition of ‘overlap’ that x overlaps itself. Now, since x coincides with y, and since x overlaps x, by the definition of ‘coincides’ it follows that y overlaps x. So, given the definition of ‘overlap’, there is a thing z that is a part of both x and y. Since x≠y, it follows that z is identical to at most one of x and y. Thus we have only three possibilities: (i) z is identical neither to x nor to y, (ii) z is identical to y but not x, and (iii) z is identical to x but not y. In each case we obtain a contradiction. First suppose that (i) is true. Then, since z is a part of x but not identical to x, QS kicks in and yields the result that x has parts x1 and x2 that are disjoint from each other and hence (given the definition of ‘disjoint’) do not overlap each other. This contradicts our initial claim about x in the previous paragraph. So suppose that (ii) is true. Then, once again, since z is a part of x but not identical to x, QS yields the result that x has parts that are disjoint and hence do not overlap, which contradicts that same initial claim about x. Finally, suppose that (iii) is true. Then, since z is a part of but not identical to y, QS yields the result that y has parts y1 and y2 that are disjoint. Now y1 is a part of y and (by Reflexivity) of y1, which means that y and y1 have a common part (namely, y1). Hence, (by the definition of ‘overlaps’) y overlaps y1. A parallel argument shows that y overlaps y2. So, by the definition of ‘coincides’, x overlaps y1 and x overlaps y2. So, there is a thing z1 that is a part of both x and y1, and there is a thing z2 that is a part of both x and y2. Now, we have two sub-cases: either (iii.1) z1 = z2 or (iii.2) z1≠z2. Each one leads to a contradiction. Suppose that (iii.1) is true. Then, since z2 is a part of y2, it follows that z1 is a part of y2. But we already know that z1 is a part of y1. So y1 and y2 have a common part (namely, z1). Hence, by the definitions of ‘overlap’ and ‘disjoint’, y1 is not disjoint from y2, which contradicts our initial claim about them in the second sentence of the previous paragraph. So, suppose instead that (iii.2) is true, and z1≠z2. Then, by Leibniz’s law, at least one of them, say z1, fails to be identical to x. So, z1 is a part of and not identical to x. Given QS, it follows from this that x has parts, call them a1 and b1, that are disjoint and hence (by the definition of ‘disjoint) do not overlap. But this contradicts our initial claim about x. Since there were only three possibilities—(i), (ii), and (iii)—and since each of them yields a contradiction, our initial assumption, (A), must be false. Disjoint parts is a logical consequence of No Solitude, Reflexivity, and QS.  | 
| 31 | |
| 32 | Why not take these considerations to cast doubt on QS’s status as a core principle? After all, WSPNI was called into question on the basis of the fact that it was in tension with ‘a respectable form of coincidentalism’, namely S-Coincidentalism. Why cannot we, with equal justice, call QS into question on the basis of the fact that it is in tension with another respectable form of coincidentalism—one we might call Plenitudinous-Coincidentalism-with-Simples? (Thanks to Dana Goswick and Maureen Donnelly for pressing me on this.) In reply, I want to make three points. (1) I am just assuming that Simons’s point (that our core mereology should include some principle that rules out Models 1—3) is true and non-negotiable. Personally, I find the point compelling (far more compelling than the claim that Plenitudinous-Coincidentalism-with-Simples is a respectable view that our core mereology should not rule out) and I think that, all things considered, QS is the best candidate for the given job. (2) Even if one insists that our core mereology should not rule out Plenitudinous-Coincidentalism-with-Simples, it is not clear that QS is the principle to blame. Why not blame Reflexivity instead? (3) If one finds Simons’s point less compelling than I do and if one insists that our core mereology must include Reflexivity, then of course one is free to use the above considerations as a reason for denying ‘core status’ to QS. In light of the fact that QS has so much going for it (and avoids so many of the vices of WSPNI), this would seem to be a surprising and significant result in its own right.  | 
| 33 | A strong simple has at most one part. Since, by Reflexivity, each thing is a part of and hence overlaps itself, we can conclude that if a thing x is a strong simple, then if y and z are parts of x, y and z are identical and hence overlap and hence fail to be disjoint.  | 
| 34 | Modal operators aside, this was established in our proof of Result 1. We assumed that x coincides with some distinct object y, and we were able to prove, by appeal to just Reflexivity and QS, that x has disjoint parts (and hence is not an h-simple). I assume that those who find Reflexivity, Transitivity, and QS especially obvious will find their necessitations roughly equally obvious.  | 
| 35 | |
| 36 | I say ‘typically’ because there might be cases in which two fundamental particles happen to interpenetrate for a while, in which case one might think that there are simple temporal parts of one and simple temporal parts of another that are distinct and co-located. For a defense of such things, see McDaniel [54]; for a criticism, see Schaffer [55]. Schaffer does think, however, that simple tropes can be co-located. See also Schaffer [46].  | 
| 37 | The hyperessentialist answer, though, has consequences that are so counterintuitive that they seem to undermine the arguments that motivated Coincidentalism in the first place. For example, the hyperessentialist answer entails that for any object x, if there are some simples, the Ys, such that it is essential to x that at least one of the Ys is a part of x, then x has all of its properties essentially. So, for example, if Lump1 never in fact was squashed, and if there are some simple ‘clay particles’, the cs, such that it is essential to Lump1 that at least one of the cs is a part of Lump1, then Lump1 could not have survived being squashed.  | 
| 38 | What I am calling ‘material objects’, others might call ‘concrete material particulars’ or ‘physical substances’. I have in mind things like planets, tables, trees, cats, perhaps quarks and electrons, temporal parts of things like these (if they have temporal parts), and any fusions of sets of things like these.  | 
| 39 | Some philosophers seem to hold that there are properties, relations, or tropes that are both (i) simple and (ii) material objects in their own right. (David Robb [56], e.g., claims that there are simple objects, and that each of them is identical to a simple trope.) This view is inconsistent with Restricted Plenitude, Version 3, since it entails that some material objects are simple. Thus it seems that Restricted Plenitude, Version 3 works best under the assumption that no property, relation, or trope is itself a material object. Thanks to Robert Garcia for this point. For a discussion of ‘object-like’ and ‘non-object-like’ conceptions of tropes, see Garcia [57].  | 
| 40 | I take a constituent ontology to be a view according to which material objects have formal components as parts or constituents. I take bundle theories and hylomorphic theories to be constituent ontologies.  | 
| 41 | But it is not obvious that all unsaturated ‘cousins’ (or parts) of propositions are properties or relations. For one might think, e.g., that the sentential connective ‘and’ expresses an unsaturated entity, CONJ, that is a part of various propositions but that is neither a property nor a relation. See Gilmore [19].  | 
| 42 | A qualification is required. Some friends of constituent ontologies will say that material objects have their formal components as constituents but not as parts (or as partsf but not as partsm, where these two predicates are taken to express different fundamental parthood relations). See McDaniel [9] on ‘compositional pluralist’ views like these. The argument that I give in this section does not apply to such views.  | 
References
- Johnston, M. Parts and Principles: False Axioms in Mereology. Philos. Top. 2002, 30, 129–166. [Google Scholar] [CrossRef]
 - Thomson, J.J. Parthood and Identity Across Time. J. Philos. 1983, 80, 201–220. [Google Scholar] [CrossRef]
 - van Inwagen, P. Material Beings; Cornell University Press: Ithaca, NY, USA, 1990. [Google Scholar]
 - Hudson, H. A Materialist Metaphysics of the Human Person; Cornell University Press: Ithaca, NY, USA, 2001. [Google Scholar]
 - McDaniel, K. Modal Realism with Overlap. Australas. J. Philos. 2004, 82, 137–152. [Google Scholar] [CrossRef]
 - Koslicki, K. The Structure of Objects; Oxford University Press: Oxford, UK, 2008. [Google Scholar]
 - Gilmore, C. Why Parthood Might Be a Four-Place Relation, and How It Behaves If It Is. In Unity and Time in Metaphysics; Honnefelder, L., Runggaldier, E., Schick, B., Eds.; de Gruyter: Berlin, Germany, 2009; pp. 83–133. [Google Scholar][Green Version]
 - Kleinschmidt, S. Multilocation and Mereology. Philos. Perspect. 2011, 25, 253–276. [Google Scholar] [CrossRef]
 - McDaniel, K. Structure-Making. Australas. J. Philos. 2009, 87, 251–274. [Google Scholar] [CrossRef]
 - Simons, P. Parts: A Study in Ontology; Oxford University Press: Oxford, UK, 1987. [Google Scholar][Green Version]
 - Oppy, G. Philosophical Perspectives on Infinity; Cambridge University Press: Cambridge, UK, 2006. [Google Scholar][Green Version]
 - Effingham, N.; Robson, J. A Mereological Challenge to Endurantism. Australas. J. Philos. 2007, 85, 633–640. [Google Scholar] [CrossRef]
 - Varzi, A. Mereology. In The Stanford Encyclopedia of Philosophy (Spring 2011 Edition); Zalta, E.N., Ed.; Stanford University: Stanford, CA, USA, 2011; Available online: https://plato.stanford.edu/archives/spr2011/entries/mereology/ (accessed on 1 July 2025).[Green Version]
 - Bynoe, W. Against the Compositional View of Facts. Australas. J. Philos. 2011, 89, 91–100. [Google Scholar] [CrossRef]
 - Russell, J. The Structure of Gunk: Adventures in the Ontology of Space. In Oxford Studies in Metaphysics; Zimmerman, D.W., Ed.; Oxford University Press: Oxford, UK, 2009; Volume 4, pp. 248–274. [Google Scholar]
 - Donnelly, M. Using Mereological Principles to Support Metaphysics. Philos. Q. 2011, 61, 225–246. [Google Scholar] [CrossRef]
 - Smith, D. Mereology without Weak Supplementation. Australas. J. Philos. 2009, 87, 505–511. [Google Scholar] [CrossRef]
 - Caplan, B.; Tillman, C.; Reeder, P. Parts of Singletons. J. Philos. 2010, 107, 501–533. [Google Scholar] [CrossRef]
 - Gilmore, C. Parts of Propositions. In Mereology and Location; Kleinschmidt, S., Ed.; Oxford University Press: Oxford, UK, 2014; pp. 156–208. [Google Scholar][Green Version]
 - Varzi, A. A Note on the Transitivity of Parthood. Appl. Ontol. 2006, 1, 141–146. [Google Scholar] [CrossRef]
 - Sider, T. Four Dimensionalism: An Ontology of Persistence and Time; Oxford University Press: Oxford, UK, 2001. [Google Scholar][Green Version]
 - McDaniel, K. Tropes and Ordinary Physical Objects. Philos. Stud. 2001, 104, 269–290. [Google Scholar] [CrossRef]
 - Paul, L.A. Coincidence as Overlap. Noûs 2006, 40, 623–659. [Google Scholar] [CrossRef]
 - Lewis, D. Parts of Classes; Blackwell: Oxford, UK, 1991. [Google Scholar][Green Version]
 - Thomson, J.J. The Statue and the Clay. Noûs 1998, 32, 149–173. [Google Scholar] [CrossRef]
 - Korman, D.Z. Strange Kinds, Familiar Kinds, and the Charge of Arbitrariness. In Oxford Studies in Metaphysics; Zimmerman, D.W., Ed.; Oxford University Press: Oxford, UK, 2010; Volume 5, pp. 119–144. [Google Scholar]
 - Tillman, C.; Fowler, G. Propositions and Parthood: The Universe and Anti-Symmetry. Australas. J. Philos. 2012, 90, 525–539. [Google Scholar] [CrossRef]
 - Doepke, F. Spatially Coinciding Objects. Ratio 1982, 24, 45–60. [Google Scholar]
 - Lowe, E.J. Substantial Change and Spatiotemporal Coincidence. Ratio 2003, 16, 140–160. [Google Scholar] [CrossRef]
 - Hovda, P. What is Classical Mereology? J. Philos. Log. 2009, 38, 55–82. [Google Scholar] [CrossRef]
 - Olson, E. Why I Have No Hands. Theoria 1995, 61, 182–197. [Google Scholar] [CrossRef]
 - Merricks, T. Objects and Persons; Oxford University Press: Oxford, UK, 2001. [Google Scholar][Green Version]
 - Forrest, P. Nonclassical Mereology and Its Application to Sets. Notre Dame J. Form. Log. 2002, 43, 79–94. [Google Scholar] [CrossRef]
 - Cotnoir, A. Anti-symmetry and non-extensional mereology. Philos. Q. 2010, 60, 396–405. [Google Scholar] [CrossRef]
 - Varzi, A. Universalism Entails Extensionalism. Analysis 2009, 69, 599–604. [Google Scholar] [CrossRef]
 - Varzi, A. The Extensionality of Parthood and Composition. Philos. Q. 2008, 58, 108–133. [Google Scholar] [CrossRef]
 - Rea, M. Universalism and Extensionalism: A Reply to Varzi. Analysis 2010, 70, 490–496. [Google Scholar] [CrossRef]
 - Heller, M. Temporal Overlap is Not Coincidence. Monist 2000, 83, 362–380. [Google Scholar] [CrossRef]
 - Dorr, C. What We Disagree about When We Disagree about Ontology. In Fictionalist Approaches to Metaphysics; Kalderon, M.E., Ed.; Oxford University Press: Oxford, UK, 2005. [Google Scholar][Green Version]
 - Rea, M. Constitution and Kind Membership. Philos. Stud. 2000, 97, 169–193. [Google Scholar] [CrossRef]
 - Bennett, K. Spatiotemporal Coincidence and the Grounding Problem. Philos. Stud. 2004, 118, 339–371. [Google Scholar] [CrossRef]
 - Hawthorne, J. Metaphysical Essays; Oxford University Press: Oxford, UK, 2006. [Google Scholar][Green Version]
 - Sosa, E. Subjects Among Other Things. Philos. Perspect. 1987, 1, 155–187. [Google Scholar] [CrossRef]
 - Yablo, S. Identity, Essence, and Indiscernibility. J. Philos. 1987, 84, 293–314. [Google Scholar] [CrossRef]
 - McDaniel, K. Modal Realisms. Philos. Perspect. 2006, 20, 303–331. [Google Scholar] [CrossRef]
 - Schaffer, J. Spacetime the One Substance. Philos. Stud. 2009, 145, 131–148. [Google Scholar] [CrossRef]
 - Zimmerman, D. Could Extended Objects Be Made Out of Simple Parts? An Argument for “Atomless Gunk”. Philos. Phenomenol. Res. 1996, 56, 1–29. [Google Scholar] [CrossRef]
 - Arntzenius, F. Gunk, Topology, and Measure. In Oxford Studies in Metaphysics; Zimmerman, D.W., Ed.; Oxford University Press: Oxford, UK, 2009; Volume 4, pp. 225–247. [Google Scholar]
 - McDonough, J. Leibniz’s Philosophy of Physics. In The Stanford Encyclopedia of Philosophy; Zalta, E.N., Ed.; Stanford University: Stanford, CA, USA, 2007; Available online: https://plato.stanford.edu/archives/win2007/entries/leibniz-physics/ (accessed on 1 July 2025).[Green Version]
 - McDaniel, K. John M. E. McTaggart. In The Stanford Encyclopedia of Philosophy; Zalta, E.N., Ed.; Stanford University: Stanford, CA, USA, 2009; Available online: https://plato.stanford.edu/archives/win2009/entries/mctaggart/ (accessed on 1 July 2025).[Green Version]
 - Wasserman, R. The Constitution Question. Noûs 2004, 38, 693–710. [Google Scholar] [CrossRef]
 - Hudson, H. Simple Statues. Philo 2006, 9, 40–46. [Google Scholar] [CrossRef]
 - Johansson, J. Constituted Simples? Philosophia 2009, 37, 87–89. [Google Scholar] [CrossRef]
 - McDaniel, K. Brutal Simples. In Oxford Studies in Metaphysics; Zimmerman, D.W., Ed.; Oxford University Press: Oxford, UK, 2007; Volume 3, pp. 233–256. [Google Scholar]
 - Schaffer, J. The Individuation of Tropes. Aust. J. Philos. 2003, 79, 247–257. [Google Scholar] [CrossRef]
 - Robb, D. Qualitative Unity and the Bundle Theory. Monist 2005, 88, 466–492. [Google Scholar] [CrossRef]
 - Garcia, R. Is Trope Theory a Divided House? In The Problem of Universals in Contemporary Philosophy; Loux, M., Galluzzo, G., Eds.; Cambridge University Press: Cambridge, UK, 2015; pp. 133–155. [Google Scholar][Green Version]
 - van Inwagen, P. A Theory of Properties. In Oxford Studies in Metaphysics; Zimmerman, D.W., Ed.; Oxford University Press: Oxford, UK, 2004; Volume 1, pp. 107–138. [Google Scholar]
 
Disclaimer/Publisher’s Note: The statements, opinions and data contained in all publications are solely those of the individual author(s) and contributor(s) and not of MDPI and/or the editor(s). MDPI and/or the editor(s) disclaim responsibility for any injury to people or property resulting from any ideas, methods, instructions or products referred to in the content.  | 
© 2025 by the author. Licensee MDPI, Basel, Switzerland. This article is an open access article distributed under the terms and conditions of the Creative Commons Attribution (CC BY) license (https://creativecommons.org/licenses/by/4.0/).
Share and Cite
Gilmore, C. Quasi-Supplementation, Plenitudinous Coincidentalism, and Gunk. Philosophies 2025, 10, 84. https://doi.org/10.3390/philosophies10040084
Gilmore C. Quasi-Supplementation, Plenitudinous Coincidentalism, and Gunk. Philosophies. 2025; 10(4):84. https://doi.org/10.3390/philosophies10040084
Chicago/Turabian StyleGilmore, Cody. 2025. "Quasi-Supplementation, Plenitudinous Coincidentalism, and Gunk" Philosophies 10, no. 4: 84. https://doi.org/10.3390/philosophies10040084
APA StyleGilmore, C. (2025). Quasi-Supplementation, Plenitudinous Coincidentalism, and Gunk. Philosophies, 10(4), 84. https://doi.org/10.3390/philosophies10040084
        
                                                