Abstract
Guanidinoacetate methyltransferase (GAMT) deficiency is an autosomal recessive genetic disorder which results in global developmental delay and intellectual disability. There is evidence that early treatment prevents intellectual disability and seizures. GAMT deficiency is now being discussed as a potential addition to the U.S. Recommended Uniform Screening Panel (RUSP); the availability of suitable screening methods must be considered. A neonatal screening derivatized method to quantify creatine (CRE) and guanidinoacetic acid (GAA) in dried blood spots by tandem mass spectrometry (MS/MS) has been described. Its key feature is the ability to detect CRE and GAA in the same extract generated from neonatal dried blood spots (DBS’s) during amino acids (AA) and acylcarnitines (AC) analysis. More laboratories are adopting non-derivatized MS/MS screening methods. We describe an improved, non-derivatized DBS extraction and MS/MS analytical method (AAAC-GAMT) that incorporates quantitation of CRE and GAA into routine analysis of amino acids, acylcarnitines, and succinylacetone. The non-derivatized AAAC-GAMT method performs comparably to the stand-alone GAMT and non-derivatized AAAC screening methods, supporting its potential suitability for high-throughput GAMT neonatal screening.
1. Introduction
Guanidinoacetate methyltransferase (GAMT) deficiency (OMIM 612736) is an autosomal recessive genetic disorder which results in global developmental delay and intellectual disability [1,2]. It is due to a disorder of creatine synthesis caused by deficiency of guanidine acetate methyltransferase, resulting in a lack of creatine (CRE) and an accumulation of guanidinoacetic acid (GAA), the biochemical precursor of creatine [3,4]. Treatment of GAMT deficiency involves supplementing creatine intake and reducing guanidinoacetate concentrations [3]. Literature reports evidence that early treatment prevents intellectual disability and seizures [5]. GAMT deficiency is now being discussed as a potential addition to the U.S. Recommended Uniform Screening Panel (RUSP), and specific guidance has been offered to further study GAMT’s inclusion into the RUSP [6].
Several methods to quantify CRE and GAA in dried blood spots (DBS’s) have been published [1,5]. One key feature is the ability to detect CRE and GAA in the same extract from neonatal DBS’s using the classical (i.e., derivatized) method using flow injection–tandem mass spectrometry. We describe an improved, non-derivatized DBS extraction and flow injection–tandem mass spectrometry analytical method that incorporates quantitation of CRE and GAA into a routine analysis of amino acids (AA), acylcarnitines (AC), and succinylacetone (SUAC). We used the method to quantitate these biomarkers in quality control (QC) DBS specimens produced at the Centers for Disease Control and Prevention’s (CDC) Newborn Screening Quality Assurance Program and characterized for AA, AC, SUAC, CRE, and GAA via previously described methods [7]. Furthermore, we describe the method’s precision, linearity, and limit of detection.
2. Materials and Methods
2.1. Reagents
Stable-isotope labeled CRE, GAA, AA, AC, and SUAC were from Cambridge Isotope Laboratories (Tewksbury, MA, USA). HPLC-MS grade water, methanol, acetonitrile, and formic acid were from Fisher Scientific (Pittsburg, PA, USA). Hydrazine hydrate was from Sigma-Aldrich (St. Louis, MO, USA). 3N Hydrochloric acid (HCl) in n-butanol was obtained from Regis Technologies (Morton Grove, IL, USA). All reagents were used as received.
2.2. Dried Blood Spots
QC DBS materials were enriched with AA, AC, and SUAC (lots 1532 (low) and 1534 (high)), and CRE and GAA (lots 20,151 (unenriched), 20,152 (low) and 20,154 (high)). Three additional QC pools enriched with CRE and GAA were used as low (A1512), medium (C1512), and high (E1512) QC for means comparison. All DBS sets were assayed with derivatized and non-derivatized methods. Assay linearity was examined using a separate 9-level, CRE/GAA-enriched set of QC materials prepared in-house. All punches were 3 mm (1/8′′) in diameter. The blood used to prepare the QC materials was hematocrit-adjusted to 50% ± 1% and lysed by freezing. Lysed DBS’s were 100 µL each. All DBS’s were prepared on Whatman 903 paper, dried overnight, and stored at −20 °C with low (<30%) humidity as previously described [8].
2.3. Sample Preparation
2.3.1. Non-Derivatized AAAC Method
DBS sample punches were placed into 96-well polypropylene microtiter plates and extracted with 100 µL of a working internal standard solution (WISS) comprised of 80:20 acetonitrile/water containing 0.1% formic acid, 15 mmol/L hydrazine hydrate (0.1% by volume), and stable isotope-labeled standards for AA, AC, and SUAC. The DBS punches were then incubated for 45 min at 45 °C, and the eluates transferred to another 96-well microtiter plate. The eluates were dried down under nitrogen and reconstituted in 50 µL of methanol, followed by another dry-down step to remove excess hydrazine. The extracts were reconstituted with 100 µL of mobile phase (acetonitrile/water/formic acid; 50%:50%:0.02% by volume), then shaken for 3 min, and placed in the LC-MS/MS system for analysis.
2.3.2. Derivatized GAMT Method
DBS sample punches were prepared as previoulsy described [1] using 3N HCl as the derivatizing agent.
2.3.3. Non-Derivatized AAAC-GAMT Method
The non-derivatized AAAC-GAMT method followed the same sample preparation as the non-derivatized AAAC method (Section 2.3.1), with the following modification: the WISS also included 100 µM and 1 µM isotopically-labeled CRE and GAA, respectively.
2.4. Instrumentation and Data Analysis
All samples were analyzed via flow injection–tandem mass spectrometry on a Waters Xevo TQD MS/MS system (Milford, MA, USA) with electrospray ionization, coupled to a Waters Acquity UPLC system. All data were analyzed using StatisPro and the Analyse-it® Excel add-on.
3. Results
3.1. Amino Acids and Acylcarnitines Analysis Comparison
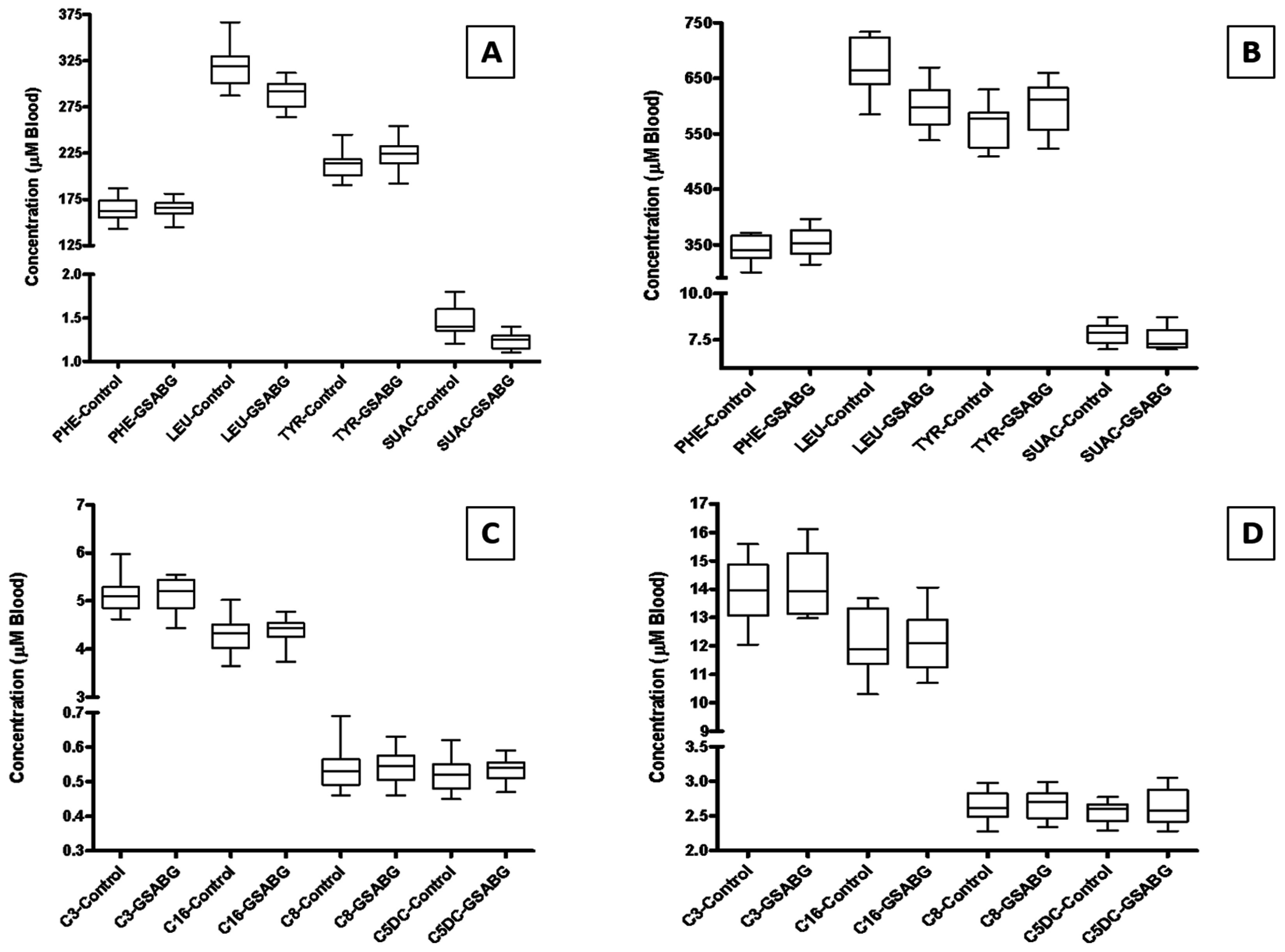
Group means (µM blood) for all AA and AC analyzed via an AAAC non-derivatized (control) method, and the new AAAC-GAMT non-derivatized were comparable (n = 12 over five days). Means for selected analytes using the AAAC non-derivatized method were as follows: leucine (Leu)—318.3; tyrosine (Tyr)—212.4; phenylalanine (Phe)—163.0; succinylacetone (SUAC)—1.5; methionine (Met)—81.1; propionylcarnitine (C3)—5.13; isovalerylcarnitine (C5)—0.51; octadecanoylcarnitine (C18)—1.53. Means for selected analytes using the new AAAC-GAMT non-derivatized method were as follows: leucine (Leu)—288.8; tyrosine (Tyr)—223.0 phenylalanine (Phe)—164.4; succinylacetone (SUAC)—1.2; methionine (Met)—79.1; propionylcarnitine (C3)—5.12; isovalerylcarnitine (C5)—0.53; octadecanoylcarnitine (C18)—1.57. No statistically significant differences were observed for all analytes during this investigation (n = 34). Group means (Figure 1) for selected analytes are presented below.
Figure 1.
Comparison of selected AA and AC concentrations of QC DBS materials analyzed using a routine non-derivatized method (Control) and a non-derivatized method with CRE and GAA (GSABG): (A) Low AAAC QC—AA; (B) High AAAC QC—AA; (C) Low AAAC QC—AC; (D) High AAAC QC—AC. The boxes correspond to the 10th to 90th percentile, the whiskers to the 1st to 99th percentile, and the horizontal line is the median value for the analyte.
3.2. Creatine and Guanidinoacetic Acid Analysis Comparison
Group means for CRE and GAA analyzed by GAMT derivatized (control) method and the new AAAC-GAMT non-derivatized were comparable (n = 10 over five days). No statistically significant differences were observed during this investigation. Analyte group means are summarized in Table 1.
Table 1.
Creatine and guanidinoacetic acid group means comparisons using low, medium, and high GAMT QC pools. Units: µM blood.
The same low, medium, and high QC pools were characterized by three laboratories (two external) using derivatized non-kit MS/MS assays reporting ten results over five days (n = 30 total). The 95% confidence intervals are summarized in Table 2.
Table 2.
95% confidence intervals of creatine and guanidinoacetic acid using data from three laboratories using the low, medium, and high GAMT QC pools. Units: µM blood.
3.3. Non-Derivatized AAAC-GAMT Analytical Method Validation
3.3.1. Precision
Intraday and interday variability for CRE and GAA using the new AAAC-GAMT non-derivatized were determined via analysis of GAMT QC materials (Table 3) following CLSI EP5-A2, Evaluation of Precision Performance of Quantitative Measurement Methods; Approved Guideline—Second Edition. Intraday and interday variability was determined by analyzing the QC materials in duplicate for 20 days. The results were in agreement with the control GAMT derivatized method. Mean concentrations fall slightly below expected concentrations. This indicates less than 100% recovery typical for laboratory-produced DBS specimens.
Table 3.
Intraday and interday variability of GAMT QC materials via AAAC-GAMT non-derivatized assay (n = 40). Units: µM blood.
3.3.2. Linearity, Limit of Blank, Limit of Detection
The acceptable repeatability and nonlinearity should be no greater than 15%, with an acceptable increase to 20% as the measurements approach the limit of detection. Both analytes were linear in the measuring range of 226.97–1226.97 µM blood (CRE) and 2.41–7.41 µM blood (GAA).
The limit of blank (LoB) and the limit of detection (LoD) were calculated by examining 120 blank filter paper samples and 120 low-enrichment QC specimens over a five-day period using two WISS lots (Table 4), following CLSI EP17, Evaluation of Detection Capability for Clinical Laboratory Measurement Procedures; Approved Guideline [9].
Table 4.
AAAC-GAMT non-derivatized assay limit of blank (LoB) and limit of detection (LoD) (n = 120). Units: µM blood.
4. Discussion
The non-derivatized AAAC-GAMT method performance characteristics shown provide preliminary evidence of the method’s suitability for high-throughput GAMT neonatal screening. Small differences (<15%) in group means were observed for both AAAC and GAMT analytes between the assays. Our results indicated that the recoveries of all the assayed biomarkers were comparable to the results obtained from the two stand-alone methods. As interest in GAMT screening increases, it is expected that many programs will implement GAMT assays into their laboratory practice. The addition of CRE and GAA internal standards to existing AAAC non-derivatized methods provides a simple approach to implementing GAMT screening by laboratories currently performing routine non-derivatized AAAC assays, without an increase in instrument time per specimen.
Acknowledgments
Carter K. Asef and Kameron M. Khaksarfard were funded by the Research Participation Program at the Centers for Disease Control and Prevention, an interagency agreement with the U.S. Department of Energy administered by the Oak Ridge Institute for Science and Education. The opinions expressed by authors contributing to this journal do not necessarily reflect the opinions of the Centers for Disease Control and Prevention, nor the authors’ affiliated institutions. Use of trade names is for identification only and does not imply endorsement.
Author Contributions
Víctor R. De Jesús and Carter K. Asef conceived and designed the experiments; Carter K. Asef and Kameron M. Khaksarfard performed the experiments; Víctor R. De Jesús, Kameron M. Khaksarfard, and Carter K. Asef analyzed the data; Víctor R. De Jesús and Carter K. Asef wrote the paper.
Conflicts of Interest
The authors declare no conflict of interest.
References
- Pasquali, M.; Schwarz, E.; Jensen, M.; Yuzyuk, T.; DeBiase, I.; Randall, H.; Longo, N. Feasibility of newborn screening for guanidinoacetate methyltransferase (gamt) deficiency. J. Inherit. Metab. Dis. 2014, 37, 231–236. [Google Scholar] [CrossRef] [PubMed]
- Longo, N.; Ardon, O.; Vanzo, R.; Schwartz, E.; Pasquali, M. Disorders of creatine transport and metabolism. Am. J. Med. Genet. C Semin. Med. Genet. 2011, 157C, 72–78. [Google Scholar] [CrossRef] [PubMed]
- Schulze, A.; Mayatepek, E.; Bachert, P.; Marescau, B.; De Deyn, P.P.; Rating, D. Therapeutic trial of arginine restriction in creatine deficiency syndrome. Eur. J. Pediatr. 1998, 157, 606–607. [Google Scholar] [CrossRef] [PubMed]
- Gordon, N. Guanidinoacetate methyltransferase deficiency (gamt). Brain Dev. 2010, 32, 79–81. [Google Scholar] [CrossRef] [PubMed]
- El-Gharbawy, A.H.; Goldstein, J.L.; Millington, D.S.; Vaisnins, A.E.; Schlune, A.; Barshop, B.A.; Schulze, A.; Koeberl, D.D.; Young, S.P. Elevation of guanidinoacetate in newborn dried blood spots and impact of early treatment in gamt deficiency. Mol. Genet. Metab. 2013, 109, 215–217. [Google Scholar] [CrossRef] [PubMed]
- U.S. Department of Health and Human Services, Advisory Committe on Heritable Disorders in Newborns and Children. Guanidinoacetate Methyltransferase Deficiency (gamt)—Update from the Nomination and Priotization Workgroup. Available online: http://www.hrsa.gov/advisorycommittees/mchbadvisory/heritabledisorders/meetings/2016/eleventh/index.html (accessed on 30 June 2016).
- Slazyk, W.E.; Hannon, W.H. Quality assurance in the newborn screening laboratory. In Laboratory Methods for Neonatal Screening; Therrell, B.L., Ed.; American Public Health Association: Washington, DC, USA, 1993. [Google Scholar]
- Mei, J.V.; Alexander, J.R.; Adam, B.W.; Hannon, W.H. Use of filter paper for the collection and analysis of human whole blood specimens. J. Nutr. 2001, 131, 1631S–1636S. [Google Scholar] [PubMed]
- Clinical & Laboratory Standards Institute (CLSI). Evaluation of Detection Capability for Clinical Laboratory Measurement Procedures, Approved Guideline-Second Edition; EP17-A2; CLSI: Wayne, PA, USA, 2012. [Google Scholar]
© 2016 by the authors; licensee MDPI, Basel, Switzerland. This article is an open access article distributed under the terms and conditions of the Creative Commons Attribution (CC-BY) license (http://creativecommons.org/licenses/by/4.0/).
