Sign in to use this feature.

Years

Between: -

Subjects

remove_circle_outline
remove_circle_outline
remove_circle_outline
remove_circle_outline
remove_circle_outline
remove_circle_outline
remove_circle_outline
remove_circle_outline
remove_circle_outline

Journals

remove_circle_outline
remove_circle_outline
remove_circle_outline
remove_circle_outline
remove_circle_outline
remove_circle_outline
remove_circle_outline
remove_circle_outline
remove_circle_outline
remove_circle_outline
remove_circle_outline
remove_circle_outline
remove_circle_outline
remove_circle_outline
remove_circle_outline

Article Types

Countries / Regions

remove_circle_outline
remove_circle_outline
remove_circle_outline
remove_circle_outline
remove_circle_outline

Search Results (1,496)

Search Parameters:
Keywords = creatine

Order results
Result details
Results per page
Select all
Export citation of selected articles as:
20 pages, 4419 KB  
Article
Structural Characteristics of Theragra chalcogramma Milt Peptides and Their Anti-Fatigue Activity via AMPK/PGC-1αMediated Energy Metabolism Regulation in Exercised Mice
by Jiangjiang Zhang, Yulian Ding, Shanshan Zhang, Tingting Yang, Chaozhong Fan, Xiaoyun Zhu and Hu Hou
Nutrients 2026, 18(5), 805; https://doi.org/10.3390/nu18050805 (registering DOI) - 28 Feb 2026
Abstract
Objectives: While several physiological functions of milt peptides have been discovered, the structural characteristics of Theragra chalcogramma milt peptides (TMP) and their anti-fatigue mechanisms remain unclear. Methods: TMP was obtained by hydrolysis via flavor enzyme and alkaline protease, and its structural [...] Read more.
Objectives: While several physiological functions of milt peptides have been discovered, the structural characteristics of Theragra chalcogramma milt peptides (TMP) and their anti-fatigue mechanisms remain unclear. Methods: TMP was obtained by hydrolysis via flavor enzyme and alkaline protease, and its structural characteristics were analyzed. A mice model of exercise-induced fatigue was established. The anti-fatigue effect of TMP was evaluated by determining the main biochemical indices in the serum, liver, and skeletal muscle of mice. Additionally, qPCR analysis was conducted to investigate its regulatory effects on relevant energy metabolism pathways. Results: TMP contained 18.2% branched-chain amino acids, with those with molecular weights below 1000 Da accounting for 91.6%. A total of 154 characteristic peptides, such as VPFPR and LPPGR, were identified from TMP, among which 64% of the peptides contained glutamic acid, arginine, or aspartic acid. Molecular docking of potential bioactive peptides to AMP-activated protein kinase (AMPK) revealed binding energies from −9.1 to −5.5 kcal/mol. The exhaustive swimming test showed that oral administration of TMP prolonged the swimming duration. In the fatigue murine model, TMP reduced blood urea nitrogen and blood lactic acid levels while enhancing the content of muscle glycogen. Meanwhile, TMP significantly increased the activity of glutathione peroxidase and superoxide dismutase and reduced the accumulation of malondialdehyde, demonstrating antioxidant properties. Additionally, TMP significantly decreased creatine kinase and lactate dehydrogenase extravasation, thereby protecting muscle tissue, as corroborated by immunohistochemical analyses. Mechanistically, TMP upregulated AMPK and peroxisome proliferator-activated receptor gamma coactivator-1α (PGC-1α) expression, promoting mitochondrial biogenesis via the AMPK/PGC-1α pathway. Conclusions: These findings suggest TMP has potential as a dietary supplement for alleviating physical fatigue. Full article
(This article belongs to the Special Issue Functional Nutrients in Disease Intervention and Health Promotion)
Show Figures

Figure 1

16 pages, 1157 KB  
Systematic Review
Adverse Events and Toxicity of Systemic Treatments for Uveal Melanoma: A Systematic Review
by Katia Lanzafame, Giusi Blanco, Sabrina Paratore, Maria Grazia Maratta, Angela Russo, Salvatore Asero, Maria Gaetana Ursino, Paola Marino and Roberto Bordonaro
Cancers 2026, 18(5), 781; https://doi.org/10.3390/cancers18050781 (registering DOI) - 28 Feb 2026
Abstract
Background/Objectives: The primary objective of this systematic review is to synthesize the available evidence regarding the safety of the various treatment options for advanced uveal melanoma. A thorough understanding of a drug’s safety profile enables early identification and management of adverse reactions, [...] Read more.
Background/Objectives: The primary objective of this systematic review is to synthesize the available evidence regarding the safety of the various treatment options for advanced uveal melanoma. A thorough understanding of a drug’s safety profile enables early identification and management of adverse reactions, thereby preventing clinical deterioration and minimizing the need for dose reduction, treatment delays, or therapy discontinuation. Methods: In accordance with the PRISMA (Preferred Reporting Items for Systematic Reviews and Meta-Analyses) and AMSTAR (Assessing the Methodological Quality of Systematic Reviews) guidelines, this review included all clinical studies that examined the most common adverse events associated with all available systemic treatments for metastatic uveal melanoma. Following the study selection process, nine studies were considered eligible and were included in the review. Results: Treatment with the bispecific antibody was associated with a favorable toxicity profile. The most severe adverse event observed was limited to cutaneous toxicity. Analysis of treatment-related adverse events (TRAEs) of grade ≥3 showed that patient cohorts receiving trametinib, selumetinib, and darovasertib experienced the lowest incidence of severe events (with the exception of creatine phosphokinase elevation observed with selumetinib), suggesting a comparatively more favorable safety profile for these agents. At present, the most robust efficacy data in the metastatic uveal melanoma setting are available for tebentafusp and darovasertib. Conclusions: This study provides the most comprehensive analysis of TRAEs in randomized trials of UM, delineating the toxicity and safety profiles of current therapies to guide personalized treatment decisions. Full article
(This article belongs to the Section Systematic Review or Meta-Analysis in Cancer Research)
Show Figures

Figure 1

16 pages, 4484 KB  
Article
Induced Sputum Multi-Omics Reveals Airway Signatures of COPD in Smokers: A Pilot Study
by Kaja Pulik, Piotr Korczyński, Katarzyna Mycroft-Rzeszotarska, Iga Ciesielska-Markowska, Magdalena Kucia, Magdalena Paplińska-Goryca, Diana Wierzbicka, Kannathasan Thetchinamoorthy, Zofia Wicik and Katarzyna Górska
Int. J. Mol. Sci. 2026, 27(5), 2271; https://doi.org/10.3390/ijms27052271 (registering DOI) - 28 Feb 2026
Abstract
Chronic obstructive pulmonary disease (COPD) is a leading cause of mortality worldwide, yet only a fraction of smokers develops the disease, suggesting protective mechanisms in resilient individuals. Identifying airway-localized molecular signatures may improve our understanding of disease pathomechanisms and support hypothesis generation for [...] Read more.
Chronic obstructive pulmonary disease (COPD) is a leading cause of mortality worldwide, yet only a fraction of smokers develops the disease, suggesting protective mechanisms in resilient individuals. Identifying airway-localized molecular signatures may improve our understanding of disease pathomechanisms and support hypothesis generation for biomarker research. In this pilot study, induced sputum from smokers with COPD (n = 28) and smokers without COPD (n = 16; Global Initiative for Chronic Obstructive Lung Disease (GOLD)-defined pre-COPD) was analyzed by untargeted proteomics, metabolomics, and lipidomics. After quality control, 1180 proteins, 187 metabolites, and 1234 lipids were retained. Analyses included univariate models with false discovery rate adjustment and multivariate analyses (PCA, PLS-DA), followed by pathway enrichment and protein interaction network analysis. While few features remained significant after FDR correction, consistent cross-omics patterns were observed. COPD was characterized by ↑ glutathione, creatine, and L-arginine; ↓ CCDC88A and ↑ STAT3 and SYDE2; and broad lipid remodeling involving phosphatidylcholines, sphingolipids, and eicosanoids. Network analysis highlighted STAT3 as a highly connected node linking COPD-related genes. These findings suggest that the multi-omic profiling of induced sputum can capture coherent airway-localized molecular signatures such as oxidative stress, cytoskeletal remodeling, and Rho-family GTPase signaling. However, the results should be interpreted as exploratory and require validation in functional studies. Full article
(This article belongs to the Section Molecular Biology)
Show Figures

Figure 1

28 pages, 1595 KB  
Review
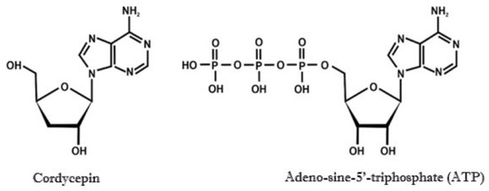
Current Evidence of Ergogenic and Post-Exercise Recovery Effects of Dietary Supplementation with Cordyceps militaris in Humans—A Narrative Review
by Maciej Jędrejko, Karol Jędrejko, Dominika Granda, Katarzyna Kała, Andrzej Pokrywka and Bożena Muszyńska
Nutrients 2026, 18(5), 781; https://doi.org/10.3390/nu18050781 - 27 Feb 2026
Viewed by 44
Abstract
Cordyceps militaris is an entomopathogenic fungus traditionally used in Asian ethnomedicine and increasingly investigated for its potential health-promoting properties, including immunomodulatory and anti-inflammatory activities. In recent years, it has gained attention as a dietary supplement with possible applications in sports nutrition. This narrative [...] Read more.
Cordyceps militaris is an entomopathogenic fungus traditionally used in Asian ethnomedicine and increasingly investigated for its potential health-promoting properties, including immunomodulatory and anti-inflammatory activities. In recent years, it has gained attention as a dietary supplement with possible applications in sports nutrition. This narrative review summarizes and critically evaluates the current human evidence regarding the ergogenic and post-exercise recovery effects of C. militaris supplementation in healthy individuals. A structured database search was conducted using predefined eligibility criteria, and the methodological quality of included studies was appraised through domain-based risk-of-bias assessment. Five intervention studies published between 2017 and 2024, comprising 321 participants aged 16–35 years, were identified. Supplementation protocols ranged from 1 to 16 weeks, with daily doses of 1–12 g administered either as isolated fungal material or as a part of multi-ingredient formulations. Assessed outcomes included indices of aerobic performance and exercise capacity, such as maximal or peak oxygen uptake (VO2max/VO2peak), time to exhaustion, power output, running performance, and maintenance of peripheral oxygen saturation during high-intensity exercise. Several studies also evaluated biochemical markers related to muscle damage and inflammatory responses, including creatine kinase, blood urea nitrogen, and white blood cell counts. Although some studies reported improvements in selected performance and recovery parameters, the findings were inconsistent. The certainty of the evidence is limited by small sample sizes, heterogeneity of participants and exercise protocols, insufficient reporting of randomization, lack of trial registration in most studies, absence of standardized preparations with quantified bioactive constituents, and the use of multi-ingredient supplements. Well-designed randomized controlled trials using chemically characterized preparations and homogeneous athletic populations are required to clarify the efficacy and practical relevance of C. militaris in sports nutrition. Full article
(This article belongs to the Special Issue Food First: A New Perspective on Sports Nutrition)
Show Figures

Figure 1

17 pages, 5506 KB  
Article
Integrated Untargeted and Targeted Metabolomics Reveals Distinct Bioactive Metabolite Profiles Between Probiotic Supplements and Yogurt
by Sang Hyeon Noh, Su-Hyun Kim, Do Hoon Kwon and Choong Hwan Lee
Int. J. Mol. Sci. 2026, 27(5), 2180; https://doi.org/10.3390/ijms27052180 - 26 Feb 2026
Viewed by 142
Abstract
Probiotics are widely consumed as health-promoting agents, with probiotic supplements (PS) and yogurt (YG) representing formulated products and fermented foods, respectively. Despite their broad consumption, systematic comparisons of their biochemical characteristics remain limited. In this study, integrated untargeted and targeted metabolomics approaches were [...] Read more.
Probiotics are widely consumed as health-promoting agents, with probiotic supplements (PS) and yogurt (YG) representing formulated products and fermented foods, respectively. Despite their broad consumption, systematic comparisons of their biochemical characteristics remain limited. In this study, integrated untargeted and targeted metabolomics approaches were applied to compare the comprehensive metabolite profiles of PS and YG. PS exhibited relatively higher levels of amino acids, dicarboxylic acids, and lysophospholipids, along with short-chain fatty acids such as acetate and propionate, and amino acid-derived bioactive metabolites, including γ-aminobutyric acid, branched-chain hydroxy acids, indole derivatives, and γ-glutamylpeptides. In contrast, YG showed higher relative abundances of carbohydrates, acylcarnitines, sphingolipids, and bioactive metabolites such as butyrate, creatine, carnitine, and orotic acid. Based on these metabolomic differences, 27 PS-specific and 17 YG-specific marker metabolites were identified. To explore their functional relevance, in vitro antioxidant and antiglycation activities were evaluated. PS exhibited significantly higher antioxidant and antiglycation activities than YG, which were positively correlated with amino acids and indole derivatives. Indole-3-acrylic acid, indole-3-acetic acid, and indole-3-propionic acid showed antiglycation activity and were identified as PS-specific bioactive marker metabolites. These findings reveal the distinct biochemical characteristics of PS and YG and highlight potential bioactive candidate metabolites that may contribute to their functional differences. Full article
(This article belongs to the Section Biochemistry)
Show Figures

Figure 1

17 pages, 2039 KB  
Article
Short-Term Effects of Broccoli-Derived Glucoraphanin on Recovery from Eccentric Muscle Damage: A Double-Blind Randomized Crossover Study
by Leonardo Cesanelli, Thomas Rono, Mickevičius Mantas, Sniečkus Audrius, Dalia Mickevičienė, Tomas Venckūnas, Stasiulis Arvydas and Sigitas Kamandulis
Nutrients 2026, 18(4), 710; https://doi.org/10.3390/nu18040710 - 23 Feb 2026
Viewed by 373
Abstract
Background/Objectives: Broccoli-derived glucoraphanin (a sulforaphane precursor that activates Nrf2 defenses) may aid repair; however, its short-term effects in humans remain unknown. This study aimed to evaluate whether short-term supplementation with broccoli-derived glucoraphanin improves recovery from exercise-induced muscle damage. We hypothesized that short-term [...] Read more.
Background/Objectives: Broccoli-derived glucoraphanin (a sulforaphane precursor that activates Nrf2 defenses) may aid repair; however, its short-term effects in humans remain unknown. This study aimed to evaluate whether short-term supplementation with broccoli-derived glucoraphanin improves recovery from exercise-induced muscle damage. We hypothesized that short-term supplementation with broccoli-derived glucoraphanin would attenuate exercise-induced muscle damage and accelerate recovery. Methods: In a randomized, double-blind, placebo-controlled crossover design, fifteen participants consumed either high-glucoraphanin broccoli powder (320 μg) or placebo for two weeks, followed by elbow flexor eccentric exercise. Strength, soreness, creatine kinase (CK), range of motion (ROM), arm girths, and ultrasound-assessed muscle and tendon morphology were measured at baseline, immediately post-exercise, and at 48 and 96 h post-exercise. Results: Significant main effects of time were observed for isometric and isokinetic torque (p < 0.05), CK (p < 0.05), soreness (p < 0.05), and structural swelling markers (p < 0.05), confirming exercise-induced muscle damage. However, there were no significant Time × Supplement interactions for any variable (p > 0.05), indicating that glucoraphanin did not influence recovery dynamics. Conclusions: These findings suggest that short-term high-dose broccoli supplementation reconstituted with hot water does not modulate recovery following eccentric muscle damage under the conditions tested, including the chosen preparation method and experimental context. Full article
(This article belongs to the Special Issue Nutrition Strategy and Resistance Training)
Show Figures

Figure 1

12 pages, 885 KB  
Article
Short-Term Metabolic and Inflammatory Effects of Upadacitinib in Biologic-Refractory Spondyloarthritis: Real-World Evidence on Lipid Paradox and Safety
by Zeynel Abidin Akar, Dilan Yıldırım, Ömer Karakoyun and Mehmet Çağlayan
Pharmaceutics 2026, 18(2), 272; https://doi.org/10.3390/pharmaceutics18020272 - 22 Feb 2026
Viewed by 208
Abstract
Background: Upadacitinib (UPA), a selective Janus kinase 1 (JAK1) inhibitor, is an established therapeutic option for spondyloarthritis (SpA). Although its clinical efficacy has been demonstrated in randomized trials, real-world evidence regarding its early metabolic effects—particularly in the context of the inflammatory “lipid paradox”—remains [...] Read more.
Background: Upadacitinib (UPA), a selective Janus kinase 1 (JAK1) inhibitor, is an established therapeutic option for spondyloarthritis (SpA). Although its clinical efficacy has been demonstrated in randomized trials, real-world evidence regarding its early metabolic effects—particularly in the context of the inflammatory “lipid paradox”—remains limited. This study aimed to evaluate the short-term impact of UPA on inflammatory, hematologic, and metabolic parameters in a biologic-refractory SpA cohort. Methods: This retrospective cohort study included 61 patients (51 with ankylosing spondylitis and 10 with psoriatic arthritis) who had an inadequate response to tumor necrosis factor inhibitors (TNFi-IR). The study evaluated the short-term effects of UPA treatment on disease activity, inflammatory markers, and lipid-related atherogenic risk, as assessed using the LDL/HDL ratio, over a three-month period. Demographic characteristics, disease activity (BASDAI), inflammatory markers (CRP, ESR), safety parameters (creatine kinase [CK], ALT, AST), and lipid profiles were assessed at baseline, Month 1, and Month 3. Results: The mean age was 42.6 ± 10.8 years. By Month 3, UPA treatment resulted in significant reductions in BASDAI (5.8 ± 1.4 to 3.6 ± 1.2, p < 0.001), CRP (11.4 ± 10.2 to 6.9 ± 5.8 mg/L), and ESR (p < 0.01). Hemoglobin and albumin levels increased significantly (p < 0.05), while liver enzymes remained stable. CK levels demonstrated a modest but statistically significant increase without exceeding three times the upper limit of normal and without clinical evidence of myopathy. Total cholesterol, LDL-C, and HDL-C increased significantly (p ≤ 0.003); however, triglycerides and the LDL/HDL ratio remained unchanged (p > 0.05). No significant differences in inflammatory or metabolic responses were observed between ankylosing spondylitis and psoriatic arthritis subgroups (p > 0.05). Conclusions: In biologic-refractory SpA patients, upadacitinib provides rapid anti-inflammatory and clinical benefits. Although quantitative increases in lipid subfractions were observed, the stability of the LDL/HDL ratio suggests a balanced metabolic recalibration consistent with inflammation control rather than an immediate pro-atherogenic shift. These findings highlight the importance of early lipid monitoring and individualized cardiovascular risk assessment while maintaining the therapeutic advantages of JAK1 inhibition in complex SpA populations. Full article
(This article belongs to the Section Clinical Pharmaceutics)
Show Figures

Figure 1

11 pages, 1206 KB  
Article
Morphological and Biochemical Abnormalities of Gracilis Muscle from Children with Cerebral Palsy
by Vadim Evreinov, Maksim Stogov, Elena Kireeva, Galina Filimonova, Tatyana Zhirova, Margarita Alisa Popkova and Dmitry Popkov
J. Funct. Morphol. Kinesiol. 2026, 11(1), 90; https://doi.org/10.3390/jfmk11010090 - 22 Feb 2026
Viewed by 152
Abstract
Background: Developing an evidence base for physiotherapy programs for patients with Cerebral Palsy (CP) requires an understanding of the microscopic and metabolic processes in striated muscle. The gracilis muscle represents a logical object of study due to the significant morphological changes in individuals [...] Read more.
Background: Developing an evidence base for physiotherapy programs for patients with Cerebral Palsy (CP) requires an understanding of the microscopic and metabolic processes in striated muscle. The gracilis muscle represents a logical object of study due to the significant morphological changes in individuals with cerebral palsy. This research aims to study morphological and biochemical alterations in the gracilis muscle depending on the severity of motor impairments in CP patients. Methods: The cross-sectional study included 24 patients stratified by the severity of motor impairment. Intraoperative gracilis muscle samples were obtained during tenomyotomies. Nutritional status of patients, morphometric, and biochemical parameters were evaluated. Results: Initial body mass and Quetelet index (p = 0.02) were lower in GMFCS V patients (p = 0.01) compared to GMFCS IV and GMFCS II-III. Muscle tissue predominated in histological samples of GMFCS II-III and GMFCS V patients (p = 0.79), while connective tissue content was higher in the GMFCS IV group (p = 0.03). Strong, fast-twitch, anaerobic fibers (p = 0.761) with reduced creatine phosphokinase activity (p = 0.012) were more frequently observed in the intraoperative samples of GMFCS V patients. Low creatine phosphokinase activity was revealed in children in the GMFCS V group (p = 0.012). Conclusions: The structural and metabolic abnormalities observed in gracilis muscle of patients with spastic cerebral palsy indicates profound functional muscular dysfunction, representing one of the factors limiting children’s motor ability. The morphological and biochemical alterations in the striated muscle of CP children correlate with severity of motor dysfunction conditioned by the primary upper motor neuron disorders. Less significant changes in muscles in ambulatory children reflect favorable basis for physical therapy. Full article
(This article belongs to the Section Functional Anatomy and Musculoskeletal System)
Show Figures

Figure 1

22 pages, 3684 KB  
Article
Combination of Feed Additives in the Diet of Jersey Cows and Their Impacts on Production, Milk Quality and Rumen Environment
by Patrícia Taís Wolschick, Maksuel Gatto de Vitt, Andriéli Vanessa Kroth, Maisa Damo, Melânia de Jesus da Silva, Luiz Eduardo Lobo e Silva, Roger Wagner, Miklos Maximiliano Bajay, Camila Ten Kathen Jung, Gilberto Vilmar Kozloski and Aleksandro Schafer da Silva
Fermentation 2026, 12(2), 118; https://doi.org/10.3390/fermentation12020118 - 19 Feb 2026
Viewed by 373
Abstract
The combination of additives in ruminant diets is a growing strategy focused on cow health and productivity; therefore, the additives need to have synergistic effects when combined. Because of this, the objective of this study was to evaluate the effects of combining functional [...] Read more.
The combination of additives in ruminant diets is a growing strategy focused on cow health and productivity; therefore, the additives need to have synergistic effects when combined. Because of this, the objective of this study was to evaluate the effects of combining functional additives (biocholine, live yeasts, Yucca schidigera extract, and exogenous enzymes) on the productive performance, milk quality, rumen environment, oxidative status, and metabolic parameters of lactating Jersey cows maintained in an intensive system as well as verifying whether the effects on metabolism and the rumen environment (volatile fatty acids and microbiota) directly or indirectly influence productive efficiency. Eighteen Jersey cows in their second lactation were used, distributed in a completely randomized design into two groups: control, receiving a basal diet, and treatment, receiving the same diet plus the additive mixture. The experiment lasted 56 days. Dry matter intake, milk production and composition, feed efficiency, apparent digestibility, volatile fatty acid profile, rumen microbiota, hematological and biochemical parameters, and oxidative stress markers were evaluated. The combination of additives was able to increase milk production and production corrected for fat, protein, and energy, without altering dry matter intake, resulting in greater feed efficiency. There was an increase in milk protein content from day 28 onwards. In the rumen, a reduction in the protozoan population and an increase in the proportion of propionic acid were observed, without altering the ruminal pH or the total production of volatile fatty acids. The apparent digestibility of crude protein was higher in the treated group. The consumption of additives also promoted specific changes in the ruminal microbiota, with a greater abundance of microorganisms associated with carbohydrate degradation and less activity of pathways related to denitrification. From a systemic point of view, the treatment reduced markers of oxidative stress (reactive oxygen species—ROS and thiobarbituric acid reactive substances—TBARS), decreased creatine kinase and cholinesterase activity, and increased serum fructosamine concentration, indicating antioxidant, anti-inflammatory effects and improved energy status, respectively. It is concluded that the combination of plant biocholine, yeasts, Yucca schidigera extract, and exogenous enzymes improves productive efficiency, promotes ruminal fermentation, and contributes to greater metabolic and oxidative stability in lactating Jersey cows. Full article
(This article belongs to the Special Issue Research Progress of Rumen Fermentation, 2nd Edition)
Show Figures

Figure 1

13 pages, 1114 KB  
Article
Predictors of Long-Term Prognosis Focused on Kidney Function in Patients with Chronic Coronary Syndrome
by Katarzyna Charkiewicz-Szeremeta, Emilia Sawicka-Śmiarowska, Marlena Dubatówka, Małgorzata Knapp, Klaudia Mickiewicz, Jacek Jamiołkowski, Andrzej Raczkowski, Marcin Kondraciuk, Anna Szpakowicz, Katarzyna Ptaszyńska and Karol A. Kamiński
Diseases 2026, 14(2), 78; https://doi.org/10.3390/diseases14020078 - 19 Feb 2026
Viewed by 196
Abstract
Background: The number of patients with chronic coronary syndromes (CCS) is growing, influenced by factors such as increasing life expectancy and prevalence of risk factors. Thus, cardiovascular (CV) disease remains the leading cause of mortality and morbidity worldwide. The main objective of the [...] Read more.
Background: The number of patients with chronic coronary syndromes (CCS) is growing, influenced by factors such as increasing life expectancy and prevalence of risk factors. Thus, cardiovascular (CV) disease remains the leading cause of mortality and morbidity worldwide. The main objective of the study was to identify factors associated with long-term survival in patients with chronic coronary syndrome, with a focus on kidney function described by eGFR and albuminuria (assessed by uACR). Methods: The study comprised a total of 257 patients from Bialystok (Poland), aged ≤ 80 years, who 6–18 months earlier were hospitalized for acute coronary syndrome or elective myocardial revascularization. During the 80-month follow-up, 40 (15.6%) patients died, while there was no information about three (1.2%) patients. Patients with preserved eGFR and without albuminuria were characterized by the longest survival, with deterioration of prognosis in groups of progressive kidney dysfunction as defined by KDIGO based on eGFR and uACR. The primary endpoint was death from any cause. Results: Those who survived the 80-month follow-up period were younger (p < 0.001), had a lower waist circumference (p = 0.028), higher diastolic blood pressure (p = 0.026), lower NTproBNP (p < 0.001) and hsCRP (p = 0.001) concentrations, reduced eGFR (p = 0.004) and increased ACR (p = 0.023) were strongly associated with mortality. In logistic regression analysis with stepwise elimination of variables, the strongest factors affecting survival were hemoglobin concentration, left ventricle ejection fraction (LVEF) and hsCRP. Conclusions: Measurement of albuminuria, in addition to eGFR, allows patients to be correctly classified into CV risk categories and facilitates appropriate treatment of patients with CCS. Higher diastolic blood pressure (but still within normal range) was found in patients who later survived 6 years. Measurements of hsCRP, hemoglobin concentration and LVEF help to identify CCS patients at the highest risk of mortality in long-term follow-up. Full article
(This article belongs to the Section Cardiology)
Show Figures

Graphical abstract

14 pages, 1997 KB  
Article
In Vivo Evaluation of Oxidative Stress Induced by Intraperitoneal Administration of Mannosylerythritol Lipid Biosurfactant in Swiss Mice
by Paulo Emilio Feuser, Ana Letícia Silva Coelho, Mariana de Melo Cardoso, Rahisa Scussel, Mírian Ívens Fagundes, Lariani Tamires Witt Titbohl, Isabela Karina Della-Flora, Ricardo Andrez Machado-de-Ávila, Paulo Cesar Lock Silveira, Debora de Oliveira and Cristiano José de Andrade
Biomolecules 2026, 16(2), 310; https://doi.org/10.3390/biom16020310 - 16 Feb 2026
Viewed by 190
Abstract
Mannosylerythritol lipid-B (MEL-B) is a glycolipid whose biological properties have been widely investigated, especially in the skincare, food, and therapeutic fields. Despite this, few studies have addressed the toxicity of this glycolipid in vivo. Therefore, this work aimed to evaluate the in vivo [...] Read more.
Mannosylerythritol lipid-B (MEL-B) is a glycolipid whose biological properties have been widely investigated, especially in the skincare, food, and therapeutic fields. Despite this, few studies have addressed the toxicity of this glycolipid in vivo. Therefore, this work aimed to evaluate the in vivo oxidative stress induced by MEL-B in Swiss mice. MEL-B (50 and 150 mg/kg) was administered intraperitoneally at two exposure times, 24 and 72 h. Biochemical damage was quantified in the gastrocnemius, lungs, kidneys, heart, liver, and spleen. This study assessed the levels of reactive oxygen species, oxidative damage markers, antioxidant defenses, protein concentration, triglycerides, creatine kinase (CK-MB), and lactate dehydrogenase (LDH). DCF (2′,7′-dichlorofluorescein), sulfhydryl, and SOD (superoxide dismutase) levels were used to assess oxidative damage and antioxidant defenses in cells. The results indicate that MEL-B did not trigger acute toxicity in the tested animals in a systemic context. Oxidative stress was observed in the liver samples, likely due to the metabolization of MEL-B. The levels of triglycerides and of CK-MB and LDH enzymes did not present any significant alteration (p < 0.05), indicating that glycolipids do not trigger tissue damage. These findings open new perspectives for the safe use of MEL-B in cosmetic and medicinal products. Full article
(This article belongs to the Section Chemical Biology)
Show Figures

Graphical abstract

11 pages, 284 KB  
Article
Intensive Care Management and Outcomes of Neuroleptic Malignant Syndrome: A Single-Center Retrospective Study
by Fatma Özdemir, Dicle Birtane, Nurdan Yılmaz and Zafer Çukurova
Medicina 2026, 62(2), 378; https://doi.org/10.3390/medicina62020378 - 14 Feb 2026
Viewed by 322
Abstract
Background and Objectives: Neuroleptic malignant syndrome (NMS) is a rare but high-mortality clinical condition. The aim of this study was to describe the demographic characteristics, clinical and laboratory findings, management strategies, and clinical outcomes of adult patients with NMS treated in an adult [...] Read more.
Background and Objectives: Neuroleptic malignant syndrome (NMS) is a rare but high-mortality clinical condition. The aim of this study was to describe the demographic characteristics, clinical and laboratory findings, management strategies, and clinical outcomes of adult patients with NMS treated in an adult intensive care unit. Materials and Methods: This retrospective descriptive study included adult patients admitted to a tertiary care ICU with a diagnosis of NMS. Data were obtained from medical records and included demographic characteristics, suspected NMS-related drug exposures, clinical and laboratory findings at ICU admission, disease severity indicators, treatments administered, and clinical outcomes. Continuous variables were expressed as median and interquartile range (IQR), and categorical variables as number and percentage. Results: A total of 42 patients were included. The median age was 48 years (IQR: 24.1–75.5), and 61.9% were male. Atypical antipsychotics were the most frequently implicated agents (69.0%). Altered mental status was observed in 92.9% of patients, tachycardia in 61.9%, and hyperthermia in 47.6%. Creatine kinase levels >1000 U/L were present in 57.1%, and leukocytosis in 71.4%. Mechanical ventilation was required in 59.5% of patients. Acute kidney injury developed in 31%, and continuous renal replacement therapy (CRRT) was initiated in 21.4%. Bromocriptine was administered in 54.8% of cases, dantrolene in 4.8%, and amantadine in 11.9%. The ICU mortality rate was 9.5%. Conclusions: Patients with neuroleptic malignant syndrome often present with a severe clinical course requiring advanced organ support in the intensive care unit. However, with early diagnosis and appropriate intensive care management, mortality can be maintained at acceptable levels. Full article
(This article belongs to the Section Intensive Care/ Anesthesiology)
12 pages, 712 KB  
Article
Comparison of Molecule Clearance and Pro-Inflammatory Markers Between High-Flux and Medium Cut-Off Dialyzers (ELISIO™ 21): A Crossover Pilot Study
by María Paloma Flores-Paloma, Javier Ramírez-Santos, Llenalia Gordillo-García, Paula López-Sánchez, Manuel David Sánchez-Martos, María Eugenia Palacios-Gómez and Francisco Javier González-Martínez
Kidney Dial. 2026, 6(1), 10; https://doi.org/10.3390/kidneydial6010010 - 10 Feb 2026
Viewed by 232
Abstract
Background: Chronic kidney disease (CKD) is increasingly prevalent, leading to more patients requiring hemodialysis. Medium cut-off (MCO) membranes, such as the ELISIO™ HX dialyzer, may enhance middle-to-large molecule removal and reduce inflammation compared with conventional high-flux membranes. This study evaluated the efficacy and [...] Read more.
Background: Chronic kidney disease (CKD) is increasingly prevalent, leading to more patients requiring hemodialysis. Medium cut-off (MCO) membranes, such as the ELISIO™ HX dialyzer, may enhance middle-to-large molecule removal and reduce inflammation compared with conventional high-flux membranes. This study evaluated the efficacy and safety of ELISIO™ HX versus a standard high-flux dialyzer (Toraylight NS-21S) in terms of molecular reduction rate and inflammation. Methods: We performed a single-center, prospective, randomized crossover study with 12 hemodialysis patients, each treated with Toraylight NS-21S and ELISIO™ HX over four weeks. Pre- and post-dialysis levels of urea, creatinine, albumin, creatine kinase, phosphorus, parathyroid hormone, C-reactive protein (CRP), procalcitonin, interleukin 6 (IL-6), and β2-microglobulin were measured. Pre–post differences were assessed using dialyzer analysis, period-effect and carryover analysis, and non-inferiority analysis. Results: ELISIO™ HX was non-inferior to Toraylight NS-21S for creatinine, urea, phosphorus, procalcitonin, and β2-microglobulin. No significant serum albumin changes were observed with either dialyzer. Adverse events were infrequent and comparable between the dialyzers. Conclusions: ELISIO™ HX appears non-inferior to Toraylight NS-21S and suggests good safety and tolerability. These findings should be interpreted with caution given the study’s limited power. Full article
Show Figures

Figure 1

17 pages, 2169 KB  
Article
Distinct Biomarker Patterns Reveal Metabolic–Inflammatory Profiles Across Mental Disorders
by Krissia F. Godoy, Joice M. A. Rodolpho, Jaqueline Bianchi, Bruna D. L. Fragelli, Fernanda O. Duarte, Luciana Camillo, Gustavo B. Silva, Juliana A. Prado, Carlos Speglich and Fernanda F. Anibal
Biomolecules 2026, 16(2), 260; https://doi.org/10.3390/biom16020260 - 5 Feb 2026
Viewed by 381
Abstract
Mental disorders, including anxiety, depression, and bipolar disorder, are frequently associated with metabolic, inflammatory, and behavioral alterations that modulate their clinical expression and increase the risk of physical comorbidities. This cross-sectional study aimed to characterize the profile of inflammatory, metabolic, and cardiac biomarkers [...] Read more.
Mental disorders, including anxiety, depression, and bipolar disorder, are frequently associated with metabolic, inflammatory, and behavioral alterations that modulate their clinical expression and increase the risk of physical comorbidities. This cross-sectional study aimed to characterize the profile of inflammatory, metabolic, and cardiac biomarkers in individuals with mental disorders compared to healthy controls, also considering anthropometric and lifestyle indicators. Fifty volunteers were evaluated and distributed into four groups: control, anxiety, depression, and bipolar disorder. All participants completed the Depression, Anxiety, and Stress Scale—21 items (DASS-21) and underwent blood collection for the assessment of inflammatory biomarkers such as C-Reactive Protein and its high-sensitivity detection (CRP/hs-CRP), Interleukins (IL-6, IL-1β) and Tumor Necrosis Factor alpha (TNF-α), metabolic biomarkers (vitamin D, cortisol, and D-dimer), and cardiac biomarkers such as N-terminal pro-B-type Natriuretic Peptide (NT-proBNP), Creatine Kinase—MB (CK-MB), troponin I (cTnI), and myoglobin (Myo). The results showed a significantly higher body mass index (BMI) in clinical groups, particularly in groups with anxiety and depression. Biomarker analyses revealed significant differences in groups with mental disorders. Elevated levels of CRP (p = 0.0038), hs-CRP (p = 0.0048), and IL-6 (p = 0.0030) were identified in the anxiety group, while the depression group was characterized by reduced vitamin D levels (p = 0.0302). Individuals with bipolar disorder presented significantly higher levels of CK-MB (p = 0.0016), CRP (p < 0.0001), IL-6 (p = 0.0198), and IL-1β (p = 0.0067). It was also observed that most individuals with mental disorders did not engage in physical activity. This inactivity was associated with worse emotional scores, higher systemic inflammation, and vitamin D deficiency. These findings reinforce the existence of an integrated axis between metabolism, inflammation, and behavior, in which excess weight, sedentary lifestyle, and nutritional deficiencies synergistically contribute to the maintenance of psychiatric symptoms and metabolic vulnerability. Integrating biomarkers, BMI, and behavioral factors may aid in identifying clinical subphenotypes and guiding more precise and individualized therapeutic strategies. Full article
(This article belongs to the Section Molecular Biomarkers)
Show Figures

Figure 1

47 pages, 1185 KB  
Review
The Effectiveness of Transcranial Direct Current Stimulation (tDCS) in Improving Performance in Soccer Players—A Scoping Review
by James Chmiel and Donata Kurpas
J. Clin. Med. 2026, 15(3), 1281; https://doi.org/10.3390/jcm15031281 - 5 Feb 2026
Viewed by 397
Abstract
Background/Objectives: Transcranial direct current stimulation (tDCS) is increasingly used by athletes, yet sport-performance-enhancement findings are mixed and often small, with outcomes depending on stimulation target, timing, and task demands. Aim: This scoping review mapped and synthesized the soccer-specific trial evidence to identify (i) [...] Read more.
Background/Objectives: Transcranial direct current stimulation (tDCS) is increasingly used by athletes, yet sport-performance-enhancement findings are mixed and often small, with outcomes depending on stimulation target, timing, and task demands. Aim: This scoping review mapped and synthesized the soccer-specific trial evidence to identify (i) which tDCS targets and application schedules have been tested in soccer players, (ii) which soccer-relevant outcomes show the most consistent immediate (minutes–hours) or training-mediated benefits, and (iii) where evidence gaps persist. Methods: We conducted a scoping review of clinical trials in footballers, following review best-practice guidance (PRISMA-informed) and a preregistered protocol. Searches (August 2025) spanned PubMed/MEDLINE, ResearchGate, Google Scholar, and Cochrane, using combinations of “football/soccer” and “tDCS/transcranial direct current stimulation,” with inclusion restricted to trials from 2008–2025. Dual independent screening was applied. Of 47 records identified, 21 studies met the criteria. Across these, the total N was 593 (predominantly male adolescents/young adults; wide range of levels). Results: Prefrontal protocols—most commonly left-dominant dorsolateral prefrontal cortex (DLPFC) (+F3/−F4, ~2 mA, ~20 min)—most consistently improved post-match recovery status/well-being (e.g., fatigue, sleep quality, muscle soreness, stress, mood), and when repeated and/or paired with practice, shortened decision times and promoted more efficient visual search. Effects on classic executive tests were inconsistent, and bilateral anodal DLPFC under fatigue increased risk-tolerant choices. Motor-cortex targeting (C3/C4/Cz) rarely changed rapid force–power performance after a single session—e.g., multiple well-controlled trials found no immediate CMJ gains—but when paired with multi-week training (core/lumbar stability, plyometrics, HIIT, sling), it augmented strength, jump height, sprint/agility, aerobic capacity, and task-relevant EMG. Autonomic markers (exercise HR, early HR recovery) showed time-dependent normalization without specific tDCS effects in single-session, randomized designs. In contrast, a season-long applied program that added prefrontal stimulation to standard recovery reported significantly reduced creatine kinase. Across studies, protocols and masking were athlete-friendly and rigorous (~2 mA for ~20 min; robust sham/blinding), with only mild, transient sensations reported and no serious adverse events. Conclusions: In soccer players, tDCS shows a qualified pattern of benefits that follows a specificity model: prefrontal stimulation can support post-match recovery status/well-being and decision efficiency, while M1-centered stimulation is most effective when coupled with structured training to bias neuromuscular adaptation. Effects are generally modest and heterogeneous; practitioners should treat tDCS as an adjunct, not a stand-alone enhancer, and align montage × task × timing while monitoring individual responses. Full article
(This article belongs to the Section Clinical Rehabilitation)
Show Figures

Figure 1

Back to TopTop