How Just Culture and Personal Goals Moderate the Positive Relation between Commercial Pilots’ Safety Citizenship Behavior and Voluntary Incident Reporting
Abstract
:1. Introduction
1.1. Learning from Incidents and Experience
1.2. Safety Citizenship Behavior and Voluntary Reporting Behavior
Reflecting Incidents
1.3. Factors Influencing Reporting Behavior
Other Planned Analyses
2. Materials and Methods
2.1. Participant Characteristics
2.2. Sampling Procedure
Sample Size
2.3. Measures
2.3.1. Outcome Variables: Reporting Behaviors
2.3.2. Predictor Variable: Safety Citizenship Behavior
2.3.3. Moderators
2.4. Descriptive Items Statistics
2.5. Pretest
2.6. Procedure
2.7. Analysis
2.7.1. Statistical Requirements and Missing Values
2.7.2. Outliers and Influential Data Points
2.7.3. Hypotheses Testing
2.7.4. Other Planned Analyses
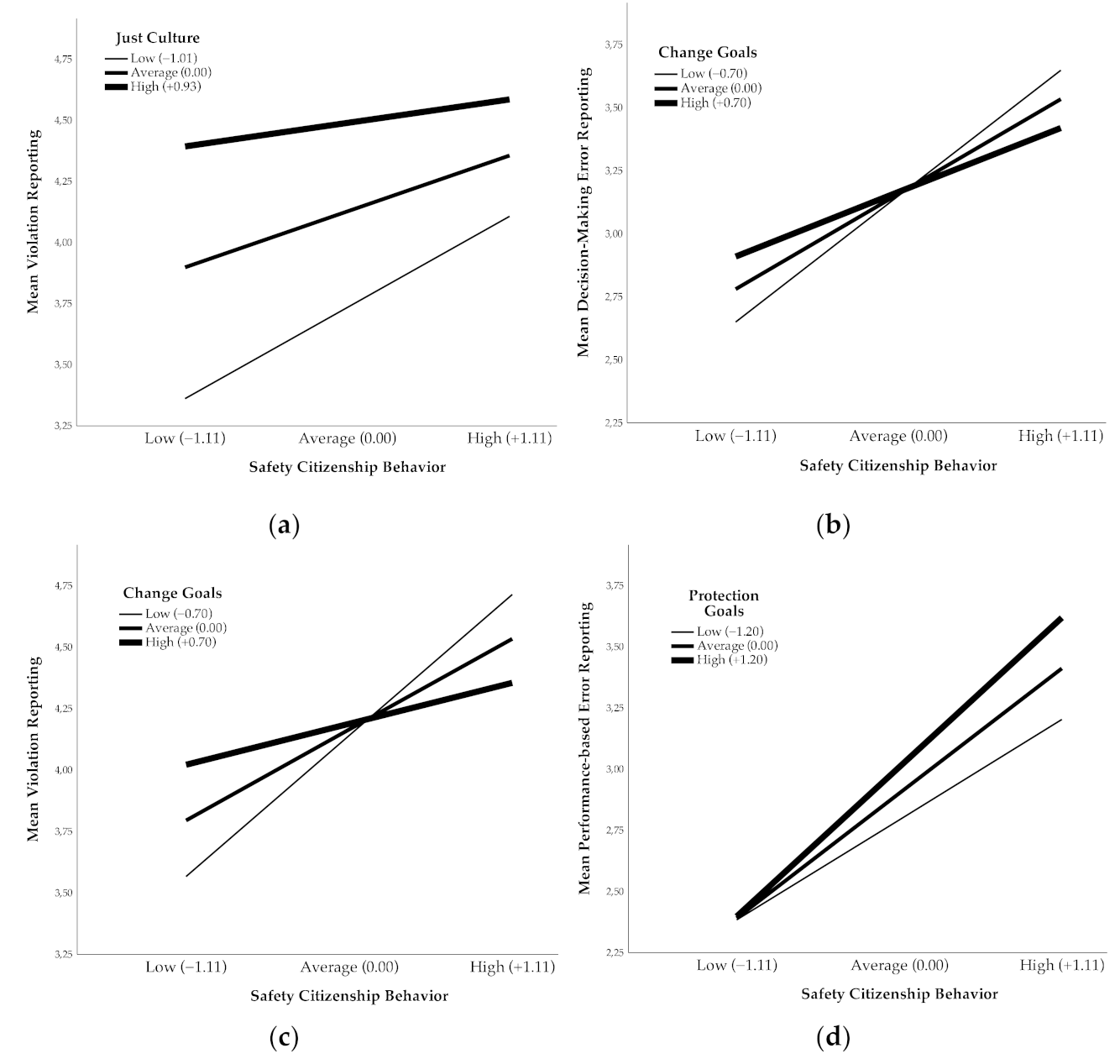
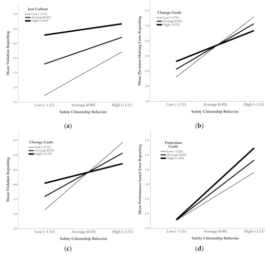
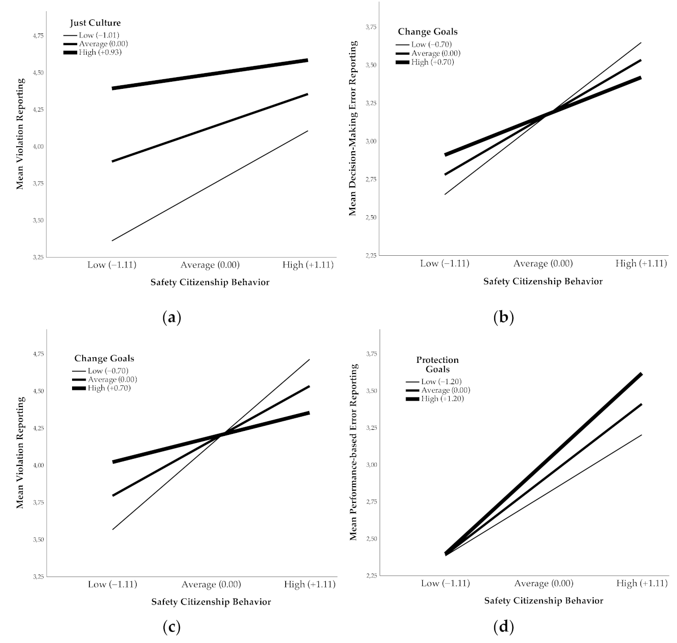
3. Results
3.1. Hypotheses Testing
| Variable | n | M | SD | 1 | 2 | 3 | 4 | 5 | 6 | 7 | 8 | 9 | |
| 1. | Performance-based Error Reporting a | 202 | 2.90 | 0.90 | — | ||||||||
| 2. | Decision Making Error Reporting a | 202 | 3.10 | 0.88 | .64 ** | — | |||||||
| 3. | Violation Reporting a | 202 | 4.07 | 0.95 | .58 ** | .60 ** | — | ||||||
| 4. | SCB a | 202 | 3.53 | 1.11 | .57 ** | .51 ** | .51 ** | — | |||||
| 5. | Fear a | 202 | 2.06 | 1.03 | −.19 ** | −.21 ** | −.42 ** | −.27 ** | — | ||||
| 6. | Shame a | 202 | 3.16 | 0.87 | −.07 | .04 | −.14 | −.17 * | .39 ** | — | |||
| 7. | Just Culture a | 202 | 4.07 | 1.01 | .39 ** | .36 ** | .61 * | .42 ** | −.61 ** | −.16 * | — | ||
| 8. | Change Goals a | 202 | 4.20 | 0.70 | .42 ** | .30 ** | .34 ** | .48 ** | −.28 ** | −.23 ** | .49 ** | — | |
| 9. | Protection Goals a | 202 | 3.12 | 1.20 | .11 | −.11 | .01 | −.02 | −.08 | .01 | .13 | .09 | — |
| 10. | Procrastination a | 202 | 2.97 | 1.07 | −.22 ** | −.20 ** | −.33 ** | −.32 ** | .35 ** | .18 ** | −.42 ** | −.33 ** | −.14 ** |
| H1a: Performance-Based Error Reporting a | H1b: Decision-Making Error Reporting a | H1c: Violation Reporting a | |||||||||||||||||
| 95% CI | 95% CI | 95% CI | |||||||||||||||||
| b | SE | β | LL | UL | t | b | SE | β | LL | UL | t | b | SE | β | LL | UL | t | ||
| Constant | 1.28 | .17 | .94 | 1.62 | 7.32 *** | 1.68 | .18 | 1.34 | 2.04 | 9.46 *** | 2.52 | .19 | 2.14 | 2.90 | 13.03 *** | ||||
| 1 | 1.15 | .17 | .82 | 1.48 | 6.91 *** | 1.71 | .18 | 1.35 | 2.07 | 9.33 ** | 3.00 | .19 | 2.63 | 3.37 | 15.91 *** | ||||
| SCB b | .46 | −.05 | .57 | .37 | .55 | 9.74 *** | .40 | .05 | .51 | .31 | .50 | 8.28 *** | .44 | .05 | .51 | .34 | .54 | 8.40 *** | |
| 1 | .48 | .05 | .62 | .40 | .58 | 10.84 ** | .40 | .04 | .51 | .30 | .50 | 8.10 *** | .34 | .05 | .45 | .24 | .44 | 6.79 *** | |
| R2 | .32 | .26 | .26 | ||||||||||||||||
| 1 | R2 1 | .38 | .26 | .20 | |||||||||||||||
| F (df1, df2) | 94.79 (1, 200) | 68.59 (1, 200) | 70.48 (1, 200) | ||||||||||||||||
| 1 | F 1 (df1, df2) | 117.39 (1, 193) | 65.64 (1, 189) | 46.13 (1, 184) | |||||||||||||||
| Performance-Based Error Reporting a | Decision-Making Error Reporting a | Violation Reporting a | |||||||||||||||||||||||
| SCB b,* moderator | SCB b,* moderator | SCB b,* moderator | |||||||||||||||||||||||
| 95% CI | 95% CI | 95% CI | |||||||||||||||||||||||
| Moderator | b | SE | LL | UL | t | df | p | ΔR2 | b | SE | LL | UL | t | df | p | ΔR2 | b | SE | LL | UL | t | df | p | ΔR2 | |
| H2a | Fear c | .08 | .04 | .00 | .17 | 1.86 | 198 | .064 | .08 | .05 | −.01 | .17 | 1.73 | 198 | .084 | .11 | .06 | −.01 | 0.2 | 1.86 | 198 | .065 | |||
| H2a 1 | .06 | .04 | .01 | .13 | 1.79 | 186 | .074 | .04 | .04 | −.03 | .12 | 1.1 | 186 | .260 | .11 | .05 | .02 | 0.2 | 2.4 | 182 | .016 | .021 | |||
| H2ba | Shame c | .00 | .04 | −.09 | .09 | 0.05 | 198 | .960 | .04 | .05 | −.07 | .14 | 0.67 | 198 | .501 | −.02 | .09 | −.19 | .16 | −0.21 | 198 | .835 | |||
| H2b 1 | .05 | .03 | −.03 | .10 | 1.19 | 188 | .234 | .08 | .05 | −.01 | .17 | 1.69 | 182 | .096 | .14 | .09 | −.04 | .31 | 1.56 | 182 | .121 | ||||
| H2c | Just Culture c | −.07 | .04 | −.16 | .01 | −1.65 | 198 | .101 | −.06 | −.05 | −.16 | .04 | −1.23 | 198 | .218 | −.13 | .05 | −.23 | −.03 | −2.52 | 198 | .013 | .033 | ||
| H2c 1 | −.08 | .04 | −.15 | −.01 | −2.12 | 187 | .036 | .012 | −.01 | .04 | −.09 | .06 | −0.33 | 185 | .739 | −.17 | .04 | −.25 | −.10 | −4.43 | 182 | < .001 | .049 | ||
| H2d | Change Goals c | −.05 | .05 | −.15 | .06 | −0.89 | 198 | .374 | −.16 | .06 | −.27 | −.05 | −2.85 | 198 | .005 | .025 | −.26 | .08 | −.41 | −.12 | −3.55 | 198 | < .001 | .059 | |
| H2d 1 | −.01 | .05 | −.11 | .09 | −0.22 | 190 | .823 | −.12 | .06 | −.24 | −.01 | 2.07 | 185 | .040 | .014 | −.16 | .06 | −.28 | −.04 | −2.55 | 184 | .011 | .022 | ||
| H2e | Protection Goals c | .08 | .03 | .01 | .14 | 2.19 | 198 | .030 | .014 | .04 | .04 | −.04 | .13 | 1.09 | 198 | .279 | −.05 | .05 | −.15 | .06 | −0.86 | 198 | .389 | ||
| H2e 1 | .08 | .03 | .03 | .13 | 3.08 | 189 | .002 | .015 | .06 | .03 | −.01 | .13 | 1.80 | 184 | .074 | −.01 | .04 | −.08 | .07 | −0.03 | 182 | .973 | |||
| H2f | Procrastination c | .06 | .03 | .00 | .12 | 1.98 | 198 | .049 | .007 | .05 | .04 | −.04 | .13 | 1.11 | 198 | .271 | .11 | .05 | −.01 | .22 | 1.95 | 198 | .052 | ||
| H2f 1 | .04 | .03 | −.01 | .09 | 1.49 | 191 | .137 | −.01 | .04 | −.07 | .07 | −0.02 | 186 | .984 | .09 | .05 | −.01 | .18 | 1.78 | 181 | .076 | ||||
3.2. Other Planned Analyses
4. Discussion
4.1. Limitations
4.2. Implications for Research
4.3. Implications for Airlines
Author Contributions
Funding
Institutional Review Board Statement
Informed Consent Statement
Data Availability Statement
Acknowledgments
Conflicts of Interest
Appendix A
| Item | Item Parameters | ||||
|---|---|---|---|---|---|
| M | SD | Pi | rit | α | |
| PERF_ERROR_REPORT_01 | 3.5 | 1.4 | 55 | .62 | 0.82 a |
| PERF_ERROR_REPORT_02 | 3.4 | 1.3 | 68 | .59 | |
| PERF_ERROR_REPORT_03 | 4.0 | 1.2 | 52 | .74 | |
| PERF_ERROR_REPORT_04 | 2.4 | 1.1 | 57 | .35 | |
| PERF_ERROR_REPORT_05 | 2.0 | 1.2 | 65 | .26 | |
| PERF_ERROR_REPORT_06 | 2.2 | 1.2 | 56 | .29 | |
| DEC_ERROR_REPORT_01 | 2.2 | 1.1 | 54 | .31 | 0.69 a |
| DEC_ERROR_REPORT_02 | 2.6 | 1.3 | 53 | .40 | |
| DEC_ERROR_REPORT_03 | 4.1 | 1.2 | 44 | .76 | |
| DEC_ERROR_REPORT_04 | 3.5 | 1.3 | 40 | .63 | |
| VIOLATION_REPORT_01 | 3.4 | 1.3 | 61 | .61 | 0.81 a |
| VIOLATION_REPORT_02 | 4.2 | 1.1 | 75 | .80 | |
| VIOLATION_REPORT_03 | 4.6 | 1.0 | 61 | .89 | |
| SCB_01 | 3.3 | 1.3 | 74 | .57 | 0.88 a |
| SCB_02 | 3.7 | 1.2 | 80 | .68 | |
| SCB_03 | 3.6 | 1.3 | 76 | .65 | |
| FEAR_01 | 2.2 | 1.3 | 83 | .29 | 0.93 a |
| FEAR_02 | 1.7 | 1.2 | 83 | .18 | |
| FEAR_03 | 2.5 | 1.3 | 77 | .37 | |
| FEAR_04 | 2.0 | 1.2 | 72 | .24 | |
| FEAR_05 | 2.0 | 1.2 | 72 | .26 | |
| FEAR_06 | 1.8 | 1.2 | 72 | .19 | |
| FEAR_07 | 2.3 | 1.3 | 81 | .31 | |
| FEAR_08 | 2.1 | 1.2 | 74 | .27 | |
| CHANGE_GOALS_01 | 4.2 | 0.8 | 66 | .80 | 0.81 a |
| CHANGE_GOALS_02 | 3.7 | 1.1 | 64 | .66 | |
| CHANGE_GOALS_03 | 4.4 | 0.8 | 63 | .84 | |
| CHANGE_GOALS_04 | 4.6 | 0.7 | 70 | .89 | |
| PROCRASTINATION_01 | 3.1 | 1.3 | 75 | .51 | 0.84 a |
| PROCRASTINATION_02 | 3.0 | 1.3 | 77 | .50 | |
| PROCRASTINATION_03 | 3.2 | 1.4 | 62 | .56 | |
| PROCRASTINATION_04 | 2.6 | 1.2 | 60 | .40 | |
| SHAME_1 | 3.3 | 1.2 | 50 | .59 | 0.74 a |
| SHAME_2 | 3.7 | 1.1 | 63 | .66 | |
| SHAME_3 | 2.6 | 1.2 | 43 | .39 | |
| SHAME_4 | 3.1 | 1.2 | 55 | .51 | |
| PROTECTION_GOALS_01 | 3.0 | 1.3 | 72 | .50 | 0.83 b |
| PROTECTION_GOALS_02 | 3.3 | 1.3 | 72 | .57 | |
| JUST_CULTURE_01 | 4.4 | 1.0 | 79 | .84 | 0.89 a |
| JUST_CULTURE_02 | 4.1 | 1.1 | 85 | .77 | |
| JUST_CULTURE_03 | 3.8 | 1.2 | 73 | .69 | |
Appendix B
| Item | Factor | ||||||
|---|---|---|---|---|---|---|---|
| 1 | 2 | 3 | 4 | 5 | 6 | 7 | |
| FEAR_01 | 0.801 | −0.136 | 0.225 | 0.011 | 0.114 | −0.125 | −0.156 |
| FEAR_02 | 0.827 | −0.089 | 0.209 | 0.019 | 0.088 | −0.082 | −0.114 |
| FEAR_03 | 0.686 | −0.224 | 0.157 | −0.185 | 0.317 | −0.101 | −0.190 |
| FEAR_04 | 0.697 | −0.248 | 0.098 | −0.179 | 0.135 | −0.025 | −0.060 |
| FEAR_05 | 0.701 | −0.072 | 0.205 | −0.153 | 0.056 | 0.108 | −0.174 |
| FEAR_06 | 0.780 | 0.151 | 0.007 | −0.028 | 0.136 | 0.150 | −0.078 |
| FEAR_07 | 0.802 | −0.146 | 0.063 | −0.100 | 0.225 | −0.024 | −0.043 |
| FEAR_08 | 0.785 | −0.001 | 0.023 | −0.005 | 0.073 | −0.081 | −0.091 |
| CHANGE_GOALS_01 | −0.062 | 0.677 | −0.193 | 0.222 | −0.067 | 0.105 | 0.068 |
| CHANGE_GOALS_02 | −0.006 | 0.667 | −0.027 | 0.154 | −0.184 | 0.048 | 0.090 |
| CHANGE_GOALS_03 | −0.157 | 0.678 | −0.155 | 0.142 | −0.070 | −0.032 | 0.135 |
| CHANGE_GOALS_04 | −0.160 | 0.730 | −0.146 | 0.223 | 0.011 | −0.020 | 0.165 |
| PROCASTINATION_01 | 0.218 | −0.095 | 0.804 | −0.071 | 0.047 | −0.024 | −0.027 |
| PROCASTINATION_02 | 0.174 | −0.094 | 0.840 | −0.110 | −0.013 | 0.012 | −0.113 |
| PROCASTINATION_03 | 0.055 | −0.116 | 0.674 | −0.034 | 0.159 | −0.085 | −0.119 |
| PROCASTINATION_04 | 0.129 | −0.198 | 0.578 | −0.226 | −0.028 | −0.092 | −0.049 |
| SCB_01 | −0.053 | 0.210 | −0.087 | 0.737 | −0.110 | −0.062 | 0.094 |
| SCB_02 | −0.123 | 0.219 | −0.149 | 0.843 | −0.016 | −0.034 | 0.170 |
| SCB_03 | −0.146 | 0.325 | −0.172 | 0.757 | −0.043 | 0.034 | 0.018 |
| SHAME_1 | 0.111 | −0.045 | 0.002 | −0.023 | 0.623 | −0.006 | 0.034 |
| SHAME_2 | 0.104 | −0.035 | −0.056 | −0.048 | 0.768 | 0.005 | −0.026 |
| SHAME_3 | 0.264 | −0.014 | 0.146 | −0.036 | 0.477 | 0.190 | −0.106 |
| SHAME_4 | 0.210 | −0.231 | 0.156 | −0.049 | 0.621 | −0.128 | 0.094 |
| PROTECTION_GOALS_01 | −0.002 | 0.033 | −0.092 | −0.027 | −0.005 | 0.865 | 0.059 |
| PROTECTION_GOALS_02 | −0.070 | 0.039 | −0.057 | −0.021 | 0.017 | 0.810 | 0.015 |
| JUST_CULTURE_01 | −0.482 | 0.282 | −0.125 | 0.197 | 0.028 | −0.018 | 0.641 |
| JUST_CULTURE_02 | −0.435 | 0.316 | −0.157 | 0.253 | 0.016 | 0.079 | 0.668 |
| JUST_CULTURE_03 | −0.338 | 0.281 | −0.308 | 0.098 | 0.003 | 0.115 | 0.592 |
Appendix C
| Performance-Based Error Reporting a | Decision-Making Error Reporting a | Violation Reporting a | |||||||||||||||||||
| 95% CI | 95% CI | 95% CI | |||||||||||||||||||
| b | SE | β | LL | UL | t | R2 | b | SE | β | LL | UL | t | R2 | b | SE | β | LL | UL | t | R2 | |
| Constant | .38 | .32 | −.24 | 1.01 | 1.21 | .96 | .35 | .27 | 1.63 | 2.76 ** | 1.30 | .22 | 1.30 | 2.18 | 7.85 *** | ||||||
| −.37 | .41 | −1.17 | .43 | −.91 | .30 | .30 | .20 | .89 | 1.01 | 1.59 | .23 | 1.14 | 2.04 | 6.99 *** | |||||||
| SCB b | .36 | .05 | .44 | .25 | .47 | 6.62 *** | .322 | .35 | .05 | .44 | .24 | .49 | 6.69 *** | .255 | .27 | .05 | .31 | .17 | .47 | 5.34 *** | .079 |
| .43 | .05 | .54 | .33 | .52 | 8.52 *** | .373 | .29 | .05 | .41 | 5.96 | .20 | .39 *** | .281 | .27 | .05 | .35 | .18 | .36 | 5.90 | .107 | |
| Fear b | |||||||||||||||||||||
| Shame b | .15 | .06 | .15 | .03 | .27 | 2.46 * | .020 | ||||||||||||||
| .12 | .06 | .12 | .01 | .24 | 2.04 | .012 | .20 | .06 | .21 | .09 | .31 | 3.59 *** | .043 | ||||||||
| Just Culture b | .12 | .06 | .13 | .00 | .24 | 2.00* | .028 | .19 | .06 | .22 | .08 | .30 | 3.28 ** | .026 | .45 | .06 | .48 | .34 | .56 | 8.23 *** | .370 |
| .27 | .06 | .32 | .16 | .38 | 4.80 *** | .072 | .39 | .05 | .44 | .28 | .49 | 7.28 *** | .319 | ||||||||
| Change Goals b | .18 | .09 | .14 | .00 | .36 | 2.05 * | .013 | ||||||||||||||
| .26 | .08 | .21 | .10 | .41 | 3.24 ** | .031 | |||||||||||||||
| Protection Goals b | −.10 | .04 | −.14 | −.19 | −.01 | −2.28 * | .018 | ||||||||||||||
| .11 | .04 | .15 | .03 | .19 | 2.65 ** | .020 | |||||||||||||||
| Procrastination b | |||||||||||||||||||||
| R2 | .363 | .320 | .448 | ||||||||||||||||||
| R2 1 | .437 | .395 | .426 | ||||||||||||||||||
| F (df1, df2) | 37.59 *** (3, 198) | 23.13 *** (4, 197) | 80.89 *** (2, 199) | ||||||||||||||||||
| F 1 (df1, df2) | 36.46 *** (4, 188) | 39.88 *** (3, 183) | 69.12 *** (2, 186) | ||||||||||||||||||
References
- International Air Transport Association. Safety Report, 56th ed. 2019. Available online: https://www.iata.org/en/publications/safety-report/ (accessed on 1 February 2021).
- International Air Transport Association. I-ASC Whitepaper: Creating a Positive Safety Culture. Available online: https://www.iata.org/en/services/safety-flight-operations/i-asc/ (accessed on 1 February 2021).
- Hayes, J.; Maslen, S. Knowing stories that matter: Learning for effective safety decision-making. J. Risk Res. 2015, 18, 714–726. [Google Scholar] [CrossRef]
- Jiang, L.; Probst, T.M. The relationship between safety-production conflict and employee safety outcomes: Testing the impact of multiple organizational climates. Work. Stress 2015, 29, 171–189. [Google Scholar] [CrossRef]
- Wills, A.; Watson, B.; Biggs, H. Comparing safety climate factors as predictors of work-related driving behavior. J. Saf. Res. 2006, 37, 375–383. [Google Scholar] [CrossRef] [Green Version]
- Morrow, S.L.; McGonagle, A.K.; Dove-Steinkamp, M.L.; Walker, C.T.; Marmet, M.; Barnes-Farrell, J.L. Relationships between psychological safety climate facets and safety behavior in the rail industry: A dominance analysis. Accid. Anal. Prev. 2010, 42, 1460–1467. [Google Scholar] [CrossRef] [PubMed]
- McGonagle, A.K.; Walsh, B.M.; Kath, L.M.; Morrow, S.L. Civility norms, safety climate, and safety outcomes: A preliminary investigation. J. Occup. Health Psychol. 2014, 19, 437–452. [Google Scholar] [CrossRef]
- Weick, K.E.; Sutcliffe, K.M.; Obstfeld, D. Organizing for High Reliability: Processes of Collective Mindfulness. In Crisis Management; Boin, R.A., Ed.; SAGE Publications, Inc: Thousand Oaks, CA, USA, 2008; pp. 31–66. [Google Scholar]
- International Civil Aviation Organization. Requirements of Annex 13 ana SMS. Available online: https://www.icao.int/NACC/Documents/Meetings/2019/SMSANSP/SMSxANSP-P07.pdf (accessed on 1 February 2021).
- Drupsteen, L.; Guldenmund, F.W. What Is Learning? A Review of the Safety Literature to Define Learning from Incidents, Accidents and Disasters. J. Contingencies Crisis Manag. 2014, 22, 81–96. [Google Scholar] [CrossRef]
- Curcuruto, M.; Conchie, S.M.; Mariani, M.G.; Violante, F.S. The role of prosocial and proactive safety behaviors in predicting safety performance. Saf. Sci. 2015, 80, 317–323. [Google Scholar] [CrossRef]
- Brizon, A.; Wybo, J.L. The life cycle of weak signals related to safety. Int. J. Emerg. Manag. 2009, 6, 117–135. [Google Scholar] [CrossRef]
- Drupsteen, L.; Wybo, J.-L. Assessing propensity to learn from safety-related events. Saf. Sci. 2015, 71, 28–38. [Google Scholar] [CrossRef]
- Helmreich, R.L.; Klinect, J.R.; Wilhelm, J.A. (Eds.) System Safety and Threat and Error Management: The Line Operational Safety Audit (Losa); Eleventh International Symposium on Aviation Psychology: Ohio, OH, USA, 2017. [Google Scholar]
- International Air Transport Association. Evidence-Based Training Implementation Guide. Available online: https://www.iata.org/en/services/consulting/safety-operations/evidence-based-training/ (accessed on 1 February 2021).
- Drupsteen, L.; Hasle, P. Why do organizations not learn from incidents? Bottlenecks, causes and conditions for a failure to effectively learn. Accid. Anal. Prev. 2014, 72, 351–358. [Google Scholar] [CrossRef]
- Pariès, J.; Macchi, L.; Valot, C.; Deharvengt, S. Comparing HROs and RE in the light of safety management systems. Saf. Sci. 2019, 117, 501–511. [Google Scholar] [CrossRef]
- Reason, J.T. The Human Contribution: Unsafe Acts, Accidents and Heroic Recoveries; Ashgate: Aldershot, UK, 2008; ISBN 978-0-7546-7400-9. [Google Scholar]
- Rossignol, N.; Hommels, A. Meanings and practices of learning from incidents: A social constructivist perspective of incident reporting systems. Technol. Anal. Strateg. Manag. 2017, 29, 370–380. [Google Scholar] [CrossRef]
- Jausan, M.; Silva, J.; Sabatini, R. A holistic approach to evaluating the effect of safety barriers on the performance of safety reporting systems in aviation organisations. J. Air Transp. Manag. 2017, 63, 95–107. [Google Scholar] [CrossRef]
- Hasanspahić, N.; Frančić, V.; Vujičić, S.; Maglić, L. Reporting as a Key Element of an Effective Near-Miss Management System in Shipping. Safety 2020, 6, 53. [Google Scholar] [CrossRef]
- Archer, S.; Thibaut, B.I.; Dewa, L.H.; Ramtale, C.; D’Lima, D.; Simpson, A.; Murray, K.; Adam, S.; Darzi, A. Barriers and facilitators to incident reporting in mental healthcare settings: A qualitative study. J. Psychiatr. Ment. Health Nurs. 2020, 27, 211–223. [Google Scholar] [CrossRef]
- Maslen, S.; Hayes, J.; Wong, J.; Scott-Young, C. Witch hunts and scapegoats: An investigation into the impact of personal liability concerns on engineers’ reporting of risks. Environ. Syst. Decis. 2020, 40, 413–426. [Google Scholar] [CrossRef]
- Gilbey, A.; Tani, K.; Tsui, W.H.K. Outcome Knowledge and Under-reporting of Safety Concerns in Aviation. Appl. Cogn. Psychol. 2016, 30, 141–151. [Google Scholar] [CrossRef]
- Tani, K. Under-Reporting in Aviation: An Investigation of Factors That Affect Reporting of Safety Concerns: A Thesis Presented in Partial Fulfilment of the Requirements for the Degree of Doctorate of Philosophy in Aviation at Massey University, Manawatu, New Zealand; Massey University: Palmerston North, New Zeeland, 2010. [Google Scholar]
- Stemn, E.; Bofinger, C.; Cliff, D.; Hassall, M.E. Failure to learn from safety incidents: Status, challenges and opportunities. Saf. Sci. 2018, 101, 313–325. [Google Scholar] [CrossRef]
- European Parliament. REGULATION (EU) No 376/2014 of the European Parliament and of the Council of 3 April 2014 on the Reporting, Analysis and Follow-Up of Occurrences in Civil Aviation, Amending Regulation (EU) No 996/2010 of the European Parliament and of the Council and Repealing Directive 2003/42/EC of the European Parliament and of the Council and Commission Regulations (EC) No 1321/2007 and (EC) No 1330/2007. Off. J. Eur. Union 2014, L122, 18–43. [Google Scholar]
- Neuberger, O. Mikropolitik und Moral in Organisationen; UTB: Stuttgart, Germany, 2015. [Google Scholar]
- Griffin, M.A.; Curcuruto, M. Safety Climate in Organizations. Annu. Rev. Organ. Psychol. Organ. Behav. 2016, 3, 191–212. [Google Scholar] [CrossRef]
- Dekker, S. Just Culture: Restoring Trust and Accountability in Your Organization; CRC Press: Boca Raton, FL, USA, 2018. [Google Scholar]
- Reason, J.T. Managing the Risks of Organizational Accidents; Routledge: Abingdon, UK, 2016. [Google Scholar]
- Flin, R.; Mearns, K.; O’Connor, P.; Bryden, R. Measuring safety climate: Identifying the common features. Saf. Sci. 2000, 34, 177–192. [Google Scholar] [CrossRef]
- Zohar, D. Safety Climate: Conceptual and Measurement Issues. In Handbook of Occupational Health Psychology; Quick, J.C., Tetrick, L.E., Eds.; American Psychological Association: Worcester, MA, USA, 2011; pp. 141–164. [Google Scholar]
- Beus, J.M.; Jarrett, S.M.; Bergman, M.E.; Payne, S.C. Perceptual equivalence of psychological climates within groups: When agreement indices do not agree. J. Occup. Organ. Psychol. 2012, 85, 454–471. [Google Scholar] [CrossRef]
- González-Romá, V.; Peiró, J.M.; Tordera, N. An examination of the antecedents and moderator influences of climate strength. J. Appl. Psychol. 2002, 87, 465–473. [Google Scholar] [CrossRef] [PubMed] [Green Version]
- Christian, M.S.; Bradley, J.C.; Wallace, J.C.; Burke, M.J. Workplace safety: A meta-analysis of the roles of person and situation factors. J. Appl. Psychol. 2009, 94, 1103–1127. [Google Scholar] [CrossRef] [PubMed]
- Neal, A.; Griffin, M.A. A study of the lagged relationships among safety climate, safety motivation, safety behavior, and accidents at the individual and group levels. J. Appl. Psychol. 2006, 91, 946–953. [Google Scholar] [CrossRef] [PubMed] [Green Version]
- Zohar, D. Safety climate and beyond: A multi-level multi-climate framework. Saf. Sci. 2008, 46, 376–387. [Google Scholar] [CrossRef]
- Zohar, D.; Huang, Y.; Lee, J.; Robertson, M. A mediation model linking dispatcher leadership and work ownership with safety climate as predictors of truck driver safety performance. Accid. Anal. Prev. 2014, 62, 17–25. [Google Scholar] [CrossRef]
- Gyekye, S.A.; Salminen, S. Are good soldiers safety conscious? An examination of the relationship between organizational citizenship behaviors and perception of workplace safety. Soc. Behav. Personal. 2005, 33, 805–820. [Google Scholar] [CrossRef]
- Smith, C.A.; Organ, D.W.; Near, J.P. Organizational citizenship behavior: Its nature and antecedents. J. Appl. Psychol. 1983, 68, 653–663. [Google Scholar] [CrossRef]
- Conchie, S.M. Transformational leadership, intrinsic motivation, and trust: A moderated-mediated model of workplace safety. J. Occup. Health Psychol. 2013, 18, 198–210. [Google Scholar] [CrossRef] [PubMed]
- Curcuruto, M.; Griffin, M.A. Prosocial and proactive safety citizenship behaviour (SCB): The mediating role of affective commitment and psychological ownership. Saf. Sci. 2018, 104, 29–38. [Google Scholar] [CrossRef]
- Zohar, D.; Huang, Y.; Lee, J.; Robertson, M.M. Testing extrinsic and intrinsic motivation as explanatory variables for the safety climate–safety performance relationship among long-haul truck drivers. Transp. Res. Part F Traffic Psychol. Behav. 2015, 30, 84–96. [Google Scholar] [CrossRef]
- Morrison, K.; Phelps, C.C. Taking chage at work: Extrarole effords to initiate workplace change. Acad. Manag. J. 1999, 42, 403–419. [Google Scholar] [CrossRef]
- Wishart, D.; Rowland, B.; Somoray, K. Safety Citizenship Behavior: A Complementary Paradigm to Improving Safety Culture Within the Organizational Driving Setting. In Traffic Safety Culture; Ward, N.J., Watson, B., Fleming-Vogl, K., Eds.; Emerald Publishing Limited: Bingley, UK, 2019; pp. 145–171. ISBN 978-1-78714-618-1. [Google Scholar]
- Organ, D.W.; Podsakoff, P.M.; MacKenzie, S.B. Organizational Citizenship Behavior: Its Nature, Antecedents, and Consequences; SAGE Publications, Inc: Thousand Oaks, CA, USA, 2006; ISBN 9780761929963. [Google Scholar]
- Hofmann, D.A.; Morgeson, F.P.; Gerras, S.J. Climate as a moderator of the relationship between leader-member exchange and content specific citizenship: Safety climate as an exemplar. J. Appl. Psychol. 2003, 88, 170–178. [Google Scholar] [CrossRef] [PubMed] [Green Version]
- Neal, A.; Griffin, M.A.; Hart, P. The impact of organizational climate on safety climate and individual behavior. Saf. Sci. 2000, 34, 99–109. [Google Scholar] [CrossRef]
- Saracino, A.; Curcuruto, M.; Antonioni, G.; Mariani, M.G.; Guglielmi, D.; Spadoni, G. Proactivity-and-consequence-based safety incentive (PCBSI) developed with a fuzzy approach to reduce occupational accidents. Saf. Sci. 2015, 79, 175–183. [Google Scholar] [CrossRef]
- Sieberichs, S.; Kluge, A. Influencing Factors on Error Reporting in Aviation—A Scenario-Based Approach. In Advances in Human Aspects of Transportation; Stanton, N.A., Ed.; Springer International Publishing: Cham, Switzerland, 2018; pp. 3–14. ISBN 978-3-319-60440-4. [Google Scholar]
- Di Nardo, M.; Murino, T. The System Dynamics in the Human Reliability Analysis Through Cognitive Reliability and Error Analysis Method: A Case Study of an LPG Company. IRECE 2021, 12, 56. [Google Scholar] [CrossRef]
- Leveson, N. A new accident model for engineering safer systems. Saf. Sci. 2004, 42, 237–270. [Google Scholar] [CrossRef] [Green Version]
- Di Nardo, M.; Madonna, M.; Santillo, L.C. Safety Management System: A System Dynamics Approach to Manage Risks in a Process Plant. IREMOS 2016, 9, 256. [Google Scholar] [CrossRef]
- Di Nardo, M.; Madonna, M.; Murino, T.; Castagna, F. Modelling a Safety Management System Using System Dynamics at the Bhopal Incident. Appl. Sci. 2020, 10, 903. [Google Scholar] [CrossRef] [Green Version]
- Salmon, P.M.; Cornelissen, M.; Trotter, M.J. Systems-based accident analysis methods: A comparison of Accimap, HFACS, and STAMP. Saf. Sci. 2012, 50, 1158–1170. [Google Scholar] [CrossRef]
- Reason, J.T. The contribution of latent human failures to the breakdown of complex systems. Biol. Sci. 1990, 327, 484–485. [Google Scholar]
- Wiegmann, D.A.; Shappell, S.A. A Human Error Approach to Aviation Accident Analysis: The Human Factors Analysis and Classification System; Routledge: Abingdon, UK, 2017. [Google Scholar]
- Miranda, A.T. Using Conditional Probabilities to Understand “Human Error” in Military Aviation Mishaps. Proc. Hum. Factors Ergon. Soc. Annu. Meet. 2017, 61, 1619–1620. [Google Scholar] [CrossRef]
- Miranda, A.T. Understanding Human Error in Naval Aviation Mishaps. Hum. Factors J. Hum. Factors Ergon. Soc. 2018, 60, 763–777. [Google Scholar] [CrossRef]
- Air Force Safety Center. Department of Defense Human Factors Analysis and Classification System (dod hfacs) Version (7.0). Available online: https://www.safety.af.mil/Divisions/Human-Factors-Division/HFACS/ (accessed on 1 February 2021).
- Sieberichs, S.; Kluge, A. Why Learning Opportunities from Aviation Incidents Are Lacking: The Impact of Active and Latent Failures and Confidential Reporting. Aviat. Psychol. Appl. Hum. Factors 2021, 11, 33–47. [Google Scholar] [CrossRef]
- Brenner, P.S.; DeLamater, J. Lies, Damned Lies, and Survey Self-Reports? Identity as a Cause of Measurement Bias. Soc. Psychol. Q. 2016, 79, 333–354. [Google Scholar] [CrossRef] [PubMed] [Green Version]
- Van den Broeck, A.; Carpini, J.A.; Diefendorff, J.M. Work Motivation. In The Oxford Handbook of Human Motivation; Ryan, R.M., van den Broeck, A., Carpini, J.A., Diefendorff, J.M., Eds.; Oxford University Press: Oxford, UK, 2019; pp. 506–524. ISBN 9780190666453. [Google Scholar]
- Ridley, C.H.; Al-Hammadi, N.; Maniar, H.S.; Ben Abdallah, A.; Steinberg, A.; Bollini, M.L.; Patterson, G.A.; Henn, M.C.; Moon, M.R.; Dahl, A.B.; et al. Building a Collaborative Culture: Focus on Psychological Safety and Error Reporting. Ann. Thorac. Surg. 2021, 111, 683–689. [Google Scholar] [CrossRef]
- Yang, R.; Pepper, G.A.; Wang, H.; Liu, T.; Wu, D.; Jiang, Y. The mediating role of power distance and face-saving on nurses’ fear of medication error reporting: A cross-sectional survey. Int. J. Nurs. Stud. 2020, 105, 103494. [Google Scholar] [CrossRef]
- Haslbeck, A.; Schubert, E.; Schmidt-Moll, C. (Eds.) Pilot’s Willingness to Report Aviation Incidents. In Proceedings of the 18th International Symposium on Aviation Psychology, Dayton, OH, USA, 4–7 May 2015. [Google Scholar]
- Probst, T.M.; Estrada, A.X. Accident under-reporting among employees: Testing the moderating influence of psychological safety climate and supervisor enforcement of safety practices. Accid. Anal. Prev. 2010, 42, 1438–1444. [Google Scholar] [CrossRef]
- Zabari, M.L.; Southern, N.L. Effects of Shame and Guilt on Error Reporting Among Obstetric Clinicians. J. Obstet. Gynecol. Neonatal Nurs. 2018, 47, 468–478. [Google Scholar] [CrossRef] [Green Version]
- Hedlund, A.; Åteg, M.; Andersson, I.-M.; Rosén, G. Assessing motivation for work environment improvements: Internal consistency, reliability and factorial structure. J. Saf. Res. 2010, 41, 145–151. [Google Scholar] [CrossRef] [PubMed]
- Fogarty, G.J.; Shaw, A. Safety climate and the Theory of Planned Behavior: Towards the prediction of unsafe behavior. Accid. Anal. Prev. 2010, 42, 1455–1459. [Google Scholar] [CrossRef] [Green Version]
- Klingsieck, K.B. Procrastination. Eur. Psychol. 2013, 18, 24–34. [Google Scholar] [CrossRef]
- Haycock, L.A.; McCarthy, P.; Sky, C.L. Procrastination in college students: The role of self-efficacy and anxiety. J. Couns. Dev. 1998, 76, 317–324. [Google Scholar] [CrossRef]
- Cohen, J. Applied Multiple Regression, Correlation Analysis for the Behavioral Sciences, 3rd ed.; Erlbaum: Mahwah, NJ, USA, 2003; ISBN 0-8058-2223-2. [Google Scholar]
- Moosbrugger, H.; Kelava, A. (Eds.) Testtheorie und Fragebogenkonstruktion, 3rd ed.; Springer: Berlin/Heidelberg, Germany, 2020. [Google Scholar]
- Reips, U.-D. Web-Based Methods. In Handbook of Multimethod Measurement in Psychology; Eid, M., Diener, E., Eds.; American Psychological Association: Washington, DC, USA, 2006; pp. 73–85. ISBN 1-59147-318-7. [Google Scholar]
- Klinck, D. Computerisierte Methoden. Handbuch der Psychologischen Diagnostik. In Handbuch der Psychologischen Diagnostik; Petermann, F., Eid, M., Eds.; Hogrefe: Göttingen, Germany, 2006; pp. 226–233. [Google Scholar]
- American Psychological Association. Quantitative Design Reporting Standards (JARS-Quant). Available online: https://apastyle.apa.org/jars/quant-table-1.pdf (accessed on 1 February 2021).
- Faul, F.; Erdfelder, E.; Buchner, A.; Lang, A.-G. Statistical power analyses using G*Power 3.1: Tests for correlation and regression analyses. Behav. Res. Methods 2009, 41, 1149–1160. [Google Scholar] [CrossRef] [PubMed] [Green Version]
- Fritz, M.S.; Arthur, A.M. Moderator Variables. In Oxford Research Encyclopedia of Psychology; Fritz, M.S., Arthur, A.M., Eds.; Oxford University Press: Oxford, UK, 2017; ISBN 9780190236557. [Google Scholar]
- Wang, D.; Wang, X.; Griffin, M.A.; Wang, Z. Safety stressors, safety-specific trust, and safety citizenship behavior: A contingency perspective. Accid. Anal. Prev. 2020, 142, 105572. [Google Scholar] [CrossRef]
- Zohar, D.; Luria, G. Climate as a Social-Cognitive Construction of Supervisory Safety Practices: Scripts as Proxy of Behavior Patterns. J. Appl. Psychol. 2004, 89, 322–333. [Google Scholar] [CrossRef]
- Porst, R. Fragebogen: Ein Arbeitsbuch; Springer: Wiesbaden, Germany, 2013. [Google Scholar]
- Weijters, B.; Cabooter, E.; Schillewaert, N. The effect of rating scale format on response styles: The number of response categories and response category labels. Int. J. Res. Mark. 2010, 27, 236–247. [Google Scholar] [CrossRef]
- Dawes, J. Do Data Characteristics Change According to the Number of Scale Points Used? An Experiment Using 5-Point, 7-Point and 10-Point Scales. Int. J. Mark. Res. 2008, 50, 61–104. [Google Scholar] [CrossRef]
- Jonkisz, E.; Moosbrugger, H.; Brandt, H. Planung und Entwicklung von Tests und Fragebogen. In Testtheorie und Fragebogenkonstruktion; Moosbrugger, H., Kelava, A., Eds.; Springer: Berlin/Heidelberg, Germany, 2012; pp. 27–74. ISBN 978-3-642-20071-7. [Google Scholar]
- Borg, I.; Shye, S. Facet Theory: Form and Content (Advanced Quantitative Techniques in the Social Sciences); SAGE Publications, Inc: Thousand Oaks, CA, USA, 1995. [Google Scholar]
- Elson, M. Question Wording and Item Formulation. In The International Encyclopedia of Communication Research Methods; Matthes, J., Davis, C.S., Potter, R.F., Eds.; Wiley: Hoboken, NJ, USA, 2017; pp. 1–8. ISBN 9781118901762. [Google Scholar]
- Blanz, M. Forschungsmethoden und Statistik für die Soziale Arbeit: Grundlagen und Anwendungen, 1. Aufl.; Kohlhammer: Stuttgart, Germany, 2015; ISBN 3-17-025835-4. [Google Scholar]
- Wirtz, M.A. Dorsch—Lexikon der Psychologie, 19th ed.; Hogrefe: Bern, Siwtzerland, 2020; ISBN 978-3-456-85914-9. [Google Scholar]
- Schneider, B.; Barbera, K.M. (Eds.) The Oxford Handbook of Organizational Climate and Culture; Oxford University Press: Oxford, UK, 2014; ISBN 9780199860715. [Google Scholar]
- Eisinga, R.; Grotenhuis, M.T.; Pelzer, B. The reliability of a two-item scale: Pearson, Cronbach, or Spearman-Brown? Int. J. Public Health 2013, 58, 637–642. [Google Scholar] [CrossRef]
- Ethics Committee of the American Psychological Association. Rules and Procedures. Available online: https://www.apa.org/ethics/committee-rules-procedures-2018.pdf (accessed on 1 February 2021).
- Soper, D.S. A-priori Sample Size Calculator for Structural Equation Models. Available online: www.danielsoper.com/statcalc (accessed on 28 October 2020).
- Westland, J.C. Lower bounds on sample size in structural equation modeling. Electron. Commer. Res. Appl. 2010, 9, 476–487. [Google Scholar] [CrossRef]
- Jaccard, J.; Wan, C.K. Lisrel Approaches to Interaction Effects in Multiple Regression; Sage: Thousand Oaks, CA, USA, 1996; ISBN 0-8039-7179-6. [Google Scholar]
- Lodder, P.; Denollet, J.; Emons, W.H.M.; Nefs, G.; Pouwer, F.; Speight, J.; Wicherts, J.M. Modeling Interactions Between Latent Variables in Research on Type D Personality: A Monte Carlo Simulation and Clinical Study of Depression and Anxiety. Multivar. Behav. Res. 2019, 54, 637–665. [Google Scholar] [CrossRef] [Green Version]
- Moosbrugger, H.; Schermelleh-Engel, K.; Klein, A. Methodological problems of estimating latent interaction effects. Methods Psychol. Res. 1997, 2, 95–111. [Google Scholar]
- Cleveland, W.S.; Devlin, S.J. Locally Weighted Regression: An Approach to Regression Analysis by Local Fitting. J. Am. Stat. Assoc. 1988, 83, 596–610. [Google Scholar] [CrossRef]
- Eid, M.; Gollwitzer, M.; Schmitt, M. Statistik und Forschungsmethoden: Mit Online-Materialien, 4th ed.; Beltz: Weinheim, Germany, 2015; ISBN 978-3-621-28248-2. [Google Scholar]
- Field, A. Discovering Statistics Using IBM SPSS Statistics: And Sex and Drugs and Rock ’n’ Roll, 4th ed.; Sage: Los Angeles, CA, USA, 2013; ISBN 978-1-4462-4918-5. [Google Scholar]
- Dempster, A.P.; Laird, N.M.; Rubin, D. Maximum Likelihood from Incomplete Data via the EM Algorithm. J. R. Stat. Soc. 1977, 39, 1–38. [Google Scholar] [CrossRef]
- Graham, J.W. Missing Data Analysis: Making It Work in the Real World. Annu. Rev. Psychol. 2009, 60, 549–576. [Google Scholar] [CrossRef] [Green Version]
- Schafer, J.L. Multiple imputation: A primer. Stat. Methods Med Res. 1999, 8, 3–15. [Google Scholar] [CrossRef]
- Hayes, A.F. Introduction to Mediation, Moderation, and Conditional Process Analysis: A Regression-Based Approach, 2nd ed.; Guilford Publications: New York, NY, USA, 2017; ISBN 978-1-60918-230-4. [Google Scholar]
- Jose, P.E. Doing Statistical Mediation and Moderation; The Guilford Press: New York, NY, USA, 2013. [Google Scholar]
- Hayes, A.F.; Cai, L. Using heteroskedasticity-consistent standard error estimators in OLS regression: An introduction and software implementation. Behav. Res. Methods 2007, 39, 709–722. [Google Scholar] [CrossRef] [Green Version]
- Davidson, R.; MacKinnon, J.G. Estimation and Inference in Econometrics; Oxford University Press: New York, NY, USA, 1993; ISBN 0-19-506011-3. [Google Scholar]
- Hayes, A.F.; Matthes, J. Computational procedures for probing interactions in OLS and logistic regression: SPSS and SAS implementations. Behav. Res. Methods 2009, 41, 924–936. [Google Scholar] [CrossRef] [Green Version]
- Chatterjee, S.; Hadi, A.S. Sensitivity Analysis in Linear Regression; Wiley: Hoboken, NJ, USA, 2009. [Google Scholar]
- Jaccard, J.; Turrisi, R. Interaction Effects in Multiple Regression, 2nd ed.; SAGE Publications, Inc: Thousand Oaks, CA, USA, 2003. [Google Scholar]
- Aiken, L.S.; West, S.G. Multiple Regression: Testing and Interpreting Interactions; Sage: Newbury Park, CA, USA, 1991. [Google Scholar]
- Cohen, J. Statistical Power Analysis for the Behavioral Sciences; Routledge: Abingdon, UK, 2013. [Google Scholar]
- Tracy, S.J.; Hinrichs, M.M. Big Tent Criteria for Qualitative Quality. In The International Encyclopedia of Communication Research Methods; Matthes, J., Davis, C.S., Potter, R.F., Eds.; Wiley: Hoboken, NJ, USA, 2017; pp. 1–10. ISBN 9781118901762. [Google Scholar]
- McMurtrie, K.J.; Molesworth, B.R.C. Australian Flight Crews’ Trust in Voluntary Reporting Systems and Just Culture Policies. Aviat. Psychol. Appl. Hum. Factors 2018, 8, 11–21. [Google Scholar] [CrossRef]
- Pransky, G.; Snyder, T.; Dembe, A.; Himmelstein, J. Under-reporting of work-related disorders in the workplace: A case study and review of the literature. Ergonomics 1999, 42, 171–182. [Google Scholar] [CrossRef]
- Vincent, C.; Stanhope, N.; Crowley-Murphy, M. Reasons for not reporting adverse incidents: An empirical study. J. Eval. Clin. Pract. 1999, 5, 13–21. [Google Scholar] [CrossRef]
- Maslen, S.; Hayes, J. This is How we Debate: Engineers’ Use of Stories to Reason through Disaster Causation. Qual. Sociol. 2020, 43, 191–212. [Google Scholar] [CrossRef]
- Sitzmann, T.; Yeo, G. A Meta-Analytic Investigation of the Within-Person Self-Efficacy Domain: Is Self-Efficacy a Product of Past Performance or a Driver of Future Performance? Pers. Psychol. 2013, 66, 531–568. [Google Scholar] [CrossRef]
- Nergård, V.; Hatlevik, O.E.; Martinussen, M.; Lervåg, A. An Airman’s Personal Attitude: Pilots’ Point of View. Aviation 2012, 15, 101–111. [Google Scholar] [CrossRef] [Green Version]
- Orasanu, J.M. Flight Crew Decision- Making. In Crew Resource Management; Kanki, B.G., Helmreich, R.L., Anca, J., Eds.; Academic Press: Cambridge, MA, USA, 2010; pp. 147–180. [Google Scholar]
- van Eerde, W.; Thierry, H. Vroom’s expectancy models and work-related criteria: A meta-analysis. J. Appl. Psychol. 1996, 81, 575–586. [Google Scholar] [CrossRef]
- Krebs, D.; Menold, N. Gütekriterien Quantitativer Sozialforschung. In Handbuch Methoden der Empirischen Sozialforschung; Baur, N., Blasius, J., Eds.; Springer Fachmedien Wiesbaden: Wiesbaden, Germany, 2019; pp. 489–504. ISBN 978-3-658-21307-7. [Google Scholar]
- Maeda, H. Response option configuration of online administered Likert scales. Int. J. Soc. Res. Methodol. 2015, 18, 15–26. [Google Scholar] [CrossRef]
- Scheer, D.; Ulbig, E. Kommunikation von Risiko und Gefährdungspotenzial aus Sicht verschiedener Stakeholder; Bundesinstitut für Risikobewertung: Berlin, Germany, 2010; ISBN 3-938163-56-9. [Google Scholar]
- FeldmanHall, O.; Mobbs, D.; Evans, D.; Hiscox, L.; Navrady, L.; Dalgleish, T. What we say and what we do: The relationship between real and hypothetical moral choices. Cognition 2012, 123, 434–441. [Google Scholar] [CrossRef] [PubMed] [Green Version]
- Schmidt-Atzert, L.; Amelang, M. Psychologische Diagnostik; Springer: Berlin/Heidelberg, Germany, 2012. [Google Scholar]
- Dahling, J.J.; Chau, S.L.; Mayer, J.M.; Gregory, J.B. Breaking rules for the right reasons? An investigation of pro-social rule breaking. J. Organ. Behav. 2010, 33, 21–42. [Google Scholar] [CrossRef] [Green Version]
- Kluge, A. Arbeits und Organisationspsychologie; Kohlhammer: Stuttgart, Germany, 2021; ISBN 978-3-17-026044-3. [Google Scholar]
- Brandhorst, S.; Kluge, A. When the Tension Is Rising: A Simulation-Based Study on the Effects of Safety Incentive Programs and Behavior-Based Safety Management. Safety 2021, 7, 9. [Google Scholar] [CrossRef]





Publisher’s Note: MDPI stays neutral with regard to jurisdictional claims in published maps and institutional affiliations. |
© 2021 by the authors. Licensee MDPI, Basel, Switzerland. This article is an open access article distributed under the terms and conditions of the Creative Commons Attribution (CC BY) license (https://creativecommons.org/licenses/by/4.0/).
Share and Cite
Sieberichs, S.; Kluge, A. How Just Culture and Personal Goals Moderate the Positive Relation between Commercial Pilots’ Safety Citizenship Behavior and Voluntary Incident Reporting. Safety 2021, 7, 59. https://doi.org/10.3390/safety7030059
Sieberichs S, Kluge A. How Just Culture and Personal Goals Moderate the Positive Relation between Commercial Pilots’ Safety Citizenship Behavior and Voluntary Incident Reporting. Safety. 2021; 7(3):59. https://doi.org/10.3390/safety7030059
Chicago/Turabian StyleSieberichs, Sebastian, and Annette Kluge. 2021. "How Just Culture and Personal Goals Moderate the Positive Relation between Commercial Pilots’ Safety Citizenship Behavior and Voluntary Incident Reporting" Safety 7, no. 3: 59. https://doi.org/10.3390/safety7030059
APA StyleSieberichs, S., & Kluge, A. (2021). How Just Culture and Personal Goals Moderate the Positive Relation between Commercial Pilots’ Safety Citizenship Behavior and Voluntary Incident Reporting. Safety, 7(3), 59. https://doi.org/10.3390/safety7030059

