Recycling Waste Cottonseed Hulls to Biomaterials for Ammonia Adsorption
Abstract
1. Introduction
2. Results and Discussion
2.1. Characterization of Pyrolyzed Materials
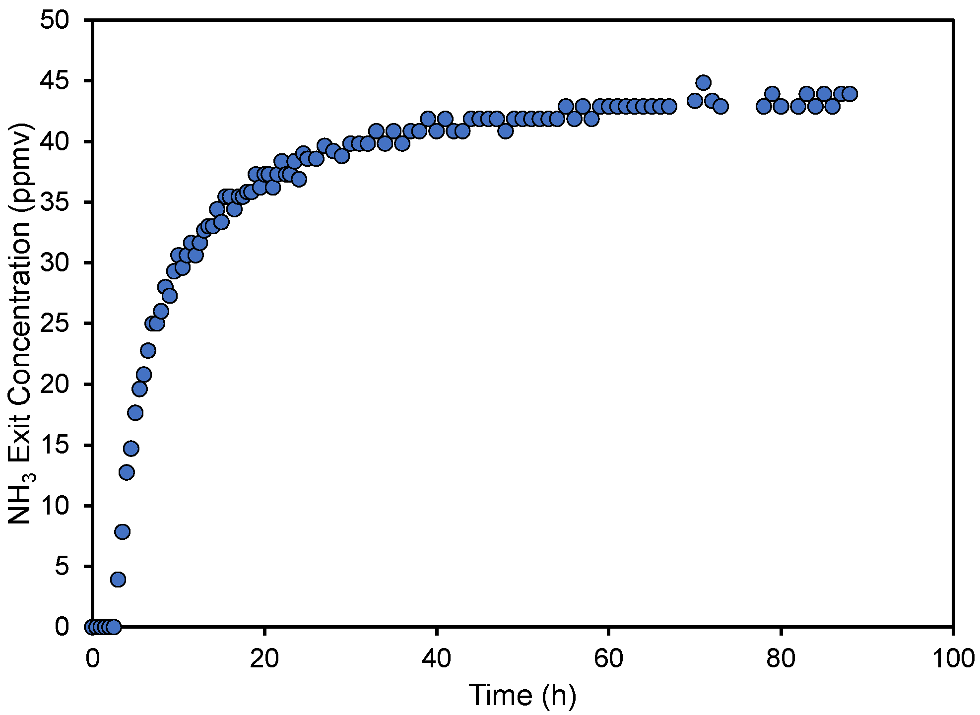
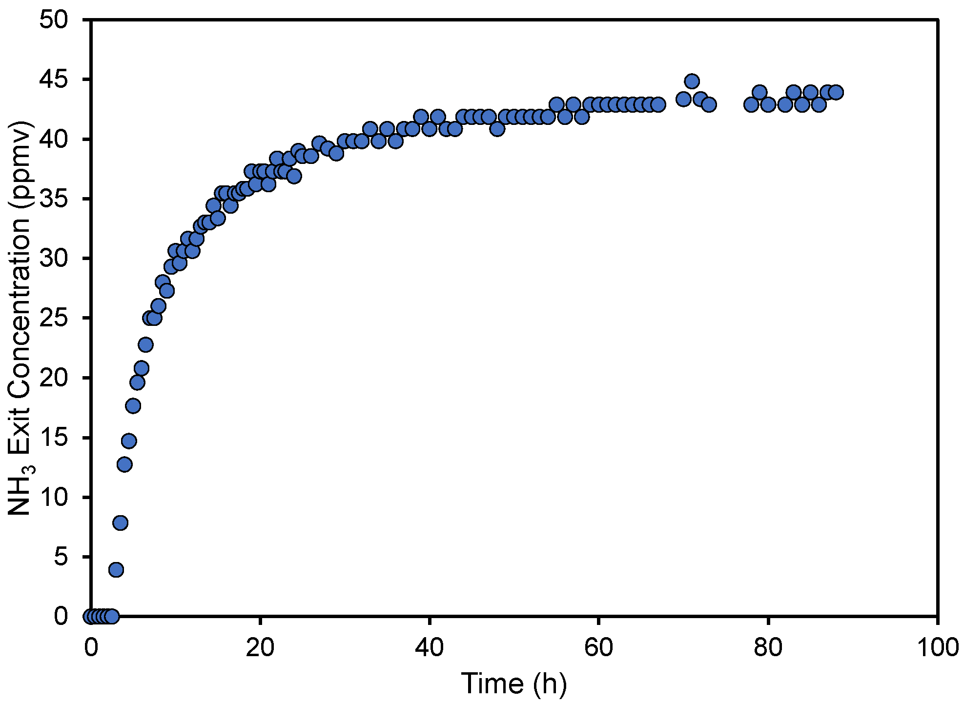
2.2. Removal of Ammonia from Air by Pyrolyzed Materials
2.3. Linking Performance to the Pyrolyzed Material’s Properties
2.4. Potential Fate and Further Recycling of the Spent Pyrolyzed Materials
3. Materials and Methods
3.1. Preparation of Pyrolyzed Materials
3.2. pH Determination of Materials
3.3. Surface Area and Micropore Volume Determination
3.4. Compositional Changes Due to Pyrolysis
3.5. Compositional Changes During Thermal Decomposition of Materials Using Infrared Specroscopy
3.6. Ammonia Adsorption Studies in Packed Columns
3.7. Estimated Stability of Used Pyrolyzed Material if Applied to Lands
4. Conclusions
Supplementary Materials
Author Contributions
Funding
Data Availability Statement
Acknowledgments
Conflicts of Interest
Abbreviations
| NIOSH | National Institute for Occupational Safety and Health | 
| db | Dry Basis | 
| BET | Brunauer, Emmett, and Teller (specific surface area) | 
| NA | Not Analyzed | 
| VM | Volatile Matter | 
| FC | Fixed Carbon | 
| FTIR | Fourier Transform Infrared (spectroscopy) | 
| H/C | Hydrogen/Carbon (ratio) | 
| VM/FC | Volatile Matter/Fixed Carbon (ratio) | 
| TG-IR | Thermogravimetric Analysis and Infrared (spectroscopy) | 
| HSD | Honest Significand Difference (i.e., Tukey test) | 
| O/C | Oxygen/Carbon (ratio) | 
| ASTM | American Society for Testing and Materials | 
| ATR | Attenuated Total Reflectance | 
| STP | Standard Temperature and Pressure (conditions, 25 °C, 1 atm) | 
| AR | Amount Removed (NH3) | 
| BC | Biochar | 
References
- Bo, Y.K.; Yang, H.J.; Wang, W.X.; Liu, H.; Wang, G.Q.; Yu, X. Metabolisable energy, in situ rumen degradation and in vitro fermentation characteristics of linted cottonseed hulls, delinted cottonseed hulls and cottonseed linter residue. Asian-Austral. J. Anim. Sci. 2012, 25, 240–247. [Google Scholar] [CrossRef] [PubMed]
 - Zhang, J.; Wedegaertner, T. Genetics and breeding for glandless Upland cotton with improved yield potential and disease resistance: A review. Front Plant Sci. 2021, 12, 753426. [Google Scholar] [CrossRef] [PubMed]
 - USDA-NASS. Agricultural Statistics 2021; U.S. Department of Agriculture: Washington, DC, USA, 2021. [Google Scholar]
 - Standifer, M.M. Cottonseed Industry; Texas State Historical Association: Austin, TX, USA, 2016. [Google Scholar]
 - Bridges, C.; Hardin, R.; McClurkin-Moore, J. Changes in cottonseed meal quality during post-harvest processing of cottonseed. J. Stored Prod. Res. 2024, 108, 102371. [Google Scholar] [CrossRef]
 - Desrochers, P.; Szurmak, J. Long distance trade, locational dynamics and by-product development: Insights from the history of the american cottonseed industry. Sustainability 2017, 9, 579. [Google Scholar] [CrossRef]
 - Desisa, B.; Muleta, D.; Dejene, T.; Jida, M.; Goshu, A.; Negi, T.; Martin-Pinto, P. Utilization of local agro-industrial by-products based substrates to enhance production and dietary value of mushroom (P. ostreatus) in Ethiopia. World J. Microbiol. Biotechnol. 2024, 40, 277. [Google Scholar] [CrossRef]
 - Xiao, X.; Wang, L.; Yan, F.; Zhang, J.; Lv, G.; Liu, M.; Xiong, K.; Zhang, M. Effectiveness of symbiotic fungus Coprinellus radians on seeds germination and seedlings development of Cremastra appendiculata (D.Don.) Makino (Orchidaceae). S. Afr. J. Bot. 2024, 174, 916–926. [Google Scholar] [CrossRef]
 - Nanda, S.; Mohanty, P.; Pant, K.K.; Naik, S.; Kozinski, J.A.; Dalai, A.K. Characterization of North American lignocellulosic biomass and biochars in terms of their candidacy for alternate renewable fuels. Bioenergy Res. 2013, 6, 663–677. [Google Scholar] [CrossRef]
 - Klasson, K.T.; Boihem, L.L., Jr.; Uchimiya, M.; Lima, I.M. Influence of biochar pyrolysis temperature and post-treatment on the uptake of mercury from flue gas. Fuel Process. Technol. 2014, 123, 27–33. [Google Scholar] [CrossRef]
 - Uchimiya, M.; Bannon, D.I.; Wartelle, L.H. Retention of heavy metals by carboxyl functional groups of biochars in small arms range soil. J. Agric. Food Chem. 2012, 60, 1798–1809. [Google Scholar] [CrossRef]
 - Uchimiya, M.; Wartelle, L.H.; Klasson, K.T.; Fortier, C.A.; Lima, I.M. Influence of pyrolysis temperature on biochar property and function as a heavy metal sorbent in soil. J. Agric. Food Chem. 2011, 59, 2501–2510. [Google Scholar] [CrossRef]
 - EPA. National Emission Inventory—Ammonia Emissions from Animal Husbandry Operations, Draft Report; United States Environmental Protection Agency: Washington, DC, USA, 2004. [Google Scholar]
 - Liu, Z.; Wang, L.; Beasley, D.B. A review of emission models of ammonia released from broiler houses. In Proceedings of the 2006 ASABE Annual International Meeting, Portland, OR, USA, 9–12 July 2006. [Google Scholar]
 - Kristensen, H.H.; Burgess, L.R.; Demmers, T.G.H.; Wathes, C.M. The preferences of laying hens for different concentrations of atmospheric ammonia. Appl. Anim. Behav. Sci. 2000, 68, 307–318. [Google Scholar] [CrossRef]
 - McLean, J.A.; Mathews, K.P.; Solomon, W.R.; Brayton, P.R.; Bayne, N.K. Effect of ammonia on nasal resistance in atopic and nonatopic subjects. Ann. Otol. Rhinol. Laryngol. 1979, 88, 228–234. [Google Scholar] [CrossRef]
 - Roney, N.; Llados, F.; Little, S.S.; Knaebel, D.B. Toxicological Profile for Ammonia; Division of Toxicology/Toxicology Information Branch: Atlanta, GA, USA, 2004. [Google Scholar]
 - Xin, H.; Gates, R.S.; Green, A.R.; Mitloehner, F.M.; Moore, P.A.; Wathes, C.M. Environmental impacts and sustainability of egg production systems. Poult. Sci. 2011, 90, 263–277. [Google Scholar] [CrossRef] [PubMed]
 - Alloui, N.; Alloui, M.N.; Bennjoune, O.; Bouhentala, S. Effect of ventilation and atmospheric ammonia on the health and performance of broiler chickens in summer. J. World’s Poult. Res. 2013, 3, 54–56. [Google Scholar]
 - Lott, B.; Donald, J. Ammonia: Can cause serious losses even when your can’t smell it. In The Poultry Engineering, Economics & Management Newsletter; Auburn University: Auburn, AL, USA, 2002; Issue No. 19. [Google Scholar]
 - DOL-OSHA. Ammonia. Available online: https://www.osha.gov/chemicaldata/623 (accessed on 19 January 2024).
 - Bist, R.B.; Subedi, S.; Chai, L.; Yang, X. Ammonia emissions, impacts, and mitigation strategies for poultry production: A critical review. J. Environ. Manag. 2023, 328, 116919. [Google Scholar] [CrossRef]
 - David, B.; Mejdell, C.; Michel, V.; Lund, V.; Moe, R.O. Air quality in alternative housing systems may have an impact on laying hen welfare. Part II—Ammonia. Animals 2015, 5, 886–896. [Google Scholar] [CrossRef] [PubMed]
 - Chen, B.; Shao, Y.; Shi, M.; Ji, L.; He, Q.; Yan, S. Anaerobic digestion of chicken manure coupled with ammonia recovery by vacuum-assisted gas-permeable membrane process. Biochem. Eng. J. 2021, 175, 108135. [Google Scholar] [CrossRef]
 - Elliott, H.A.; Collins, N.E. Factors affecting ammonia release in broiler houses. Trans. ASAE 1982, 25, 413–418. [Google Scholar] [CrossRef]
 - Fitzmorris, K.B.; Miles, D.M.; Lima, I.M. Efficacy of activated carbon from broiler litter in the removal of litter generated ammonia. In Proceedings of the International Symposium on Air Quality and Waste Management for Agriculture, Broomfield, CO, USA, 16 September 2007. [Google Scholar]
 - Ro, K.S.; Lima, I.M.; Reddy, G.B.; Jackson, M.A.; Gao, B. Removing gaseous NH3 using biochar as an adsorbent. Agriculture 2015, 5, 991–1002. [Google Scholar] [CrossRef]
 - Ramlogan, M.V.; Rabinovich, A.; Rouff, A.A. Thermochemical analysis of ammonia gas sorption by struvite from livestock wastes and comparison with biochar and metal–organic framework sorbents. Environ. Sci. Technol. 2020, 54, 13264–13273. [Google Scholar] [CrossRef]
 - Chen, M.; Wang, F.; Zhang, D.L.; Yi, W.M.; Liu, Y. Effects of acid modification on the structure and adsorption NH4+-N properties of biochar. Renew. Energy 2021, 169, 1343–1350. [Google Scholar] [CrossRef]
 - Bhandari, P.N.; Kumar, A.; Huhnke, R.L. Simultaneous removal of toluene (model tar), NH3, and H2S, from biomass-generated producer gas using biochar-based and mixed-metal oxide catalysts. Energy Fuels 2014, 28, 1918–1925. [Google Scholar] [CrossRef]
 - Krounbi, L.; Enders, A.; Anderton, C.R.; Engelhard, M.H.; Hestrin, R.; Torres-Rojas, D.; Dynes, J.J.; Lehmann, J. Sequential ammonia and carbon dioxide adsorption on pyrolyzed biomass to recover waste stream nutrients. ACS Sustain. Chem. Eng. 2020, 8, 7121–7131. [Google Scholar] [CrossRef] [PubMed]
 - Zhang, H.; Marchant-Forde, J.N.; Zhang, X.; Wang, Y. Effect of cornstalk biochar immobilized bacteria on ammonia reduction in laying hen manure composting. Molecules 2020, 25, 1560. [Google Scholar] [CrossRef] [PubMed]
 - Wystalska, K.; Kwarciak-Kozłowska, A. The effects of using biochar to remove ammonium nitrogen generated during the processing of biodegradable waste. Desalination Water Treat. 2021, 225, 203–213. [Google Scholar] [CrossRef]
 - Zhao, Z.; Wang, B.; Theng, B.K.G.; Lee, X.; Zhang, X.; Chen, M.; Xu, P. Removal performance, mechanisms, and influencing factors of biochar for air pollutants: A critical review. Biochar 2022, 4, 30. [Google Scholar] [CrossRef]
 - Li, Y.; Ma, J.; Yong, X.; Luo, L.; Wong, J.W.C.; Zhang, Y.; Wu, H.; Zhou, J. Effect of biochar combined with a biotrickling filter on deodorization, nitrogen retention, and microbial community succession during chicken manure composting. Bioresour. Technol. 2022, 343, 126137. [Google Scholar] [CrossRef]
 - Abd El-Rahim, M.G.M.; Dou, S.; Xin, L.; Xie, S.; Sharaf, A.; Alio Moussa, A.; Eissa, M.A.; Mustafa, A.R.A.; Ali, G.A.M.; Hamed, M.H. Effect of biochar addition method on ammonia volatilization and quality of chicken manure compost. Zemdirbyste 2021, 108, 331–338. [Google Scholar] [CrossRef]
 - Ngo, T.; Khudur, L.S.; Hakeem, I.G.; Shah, K.; Surapaneni, A.; Ball, A.S. Wood biochar enhances the valorisation of the anaerobic digestion of chicken manure. Clean Technol. 2022, 4, 420–439. [Google Scholar] [CrossRef]
 - Kalus, K.; Konkol, D.; Korczyński, M.; Koziel, J.A.; Opaliński, S. Effect of biochar diet supplementation on chicken broilers performance, NH3 and odor emissions and meat consumer acceptance. Animals 2020, 10, 1539. [Google Scholar] [CrossRef]
 - Roshan, A.; Ghosh, D.; Maiti, S.K. How temperature affects biochar properties for application in coal mine spoils? A meta-analysis. Carbon Res. 2023, 2, 3. [Google Scholar] [CrossRef]
 - Chaves Fernandes, B.C.; Ferreira Mendes, K.; Dias Júnior, A.F.; da Silva Caldeira, V.P.; da Silva Teófilo, T.M.; Severo Silva, T.; Mendonça, V.; de Freitas Souza, M.; Valadão Silva, D. Impact of pyrolysis temperature on the properties of Eucalyptus wood-derived biochar. Materials 2020, 13, 5841. [Google Scholar] [CrossRef] [PubMed]
 - Goncalves, M.; Sanchez-Garcia, L.; Oliveira Jardim, E.D.; Silvestre-Albero, J.; Rodríguez-Reinoso, F. Ammonia removal using activated carbons: Effect of the surface chemistry in dry and moist conditions. Environ. Sci. Technol. 2011, 45, 10605–10610. [Google Scholar] [CrossRef] [PubMed]
 - Crombie, K.; Mašek, O.; Sohi, S.P.; Brownsort, P.; Cross, A. The effect of pyrolysis conditions on biochar stability as determined by three methods. GCB Bioenergy 2013, 5, 122–131. [Google Scholar] [CrossRef]
 - Hitomi, M.; Kera, Y.; Tatsumoto, H.; Abe, I.; Kawafune, I.; Ikuta, N. Evaluation of adsorption property of porous carbon materials (III): Preparation of charcoals from Cryptomeria and Chamaecyparis and their properties. TANSO 1993, 1993, 247–254. [Google Scholar] [CrossRef][Green Version]
 - Keiluweit, M.; Nico, P.S.; Johnson, M.; Kleber, M. Dynamic molecular structure of plant biomass-derived black carbon (biochar). Environ. Sci. Technol. 2010, 44, 1247–1253. [Google Scholar] [CrossRef]
 - Wang, T.; Camps-Arbestain, M.; Hedley, M. Predicting C aromaticity of biochars based on their elemental composition. Org. Geochem. 2013, 62, 1–6. [Google Scholar] [CrossRef]
 - Liu, Y.; He, Z.; Uchimiya, M. Comparison of biochar formation from various agricultural by-products using FTIR spectroscopy. Mod. Appl. Sci. 2015, 9, 246–253. [Google Scholar] [CrossRef]
 - Huang, C.-C.; Li, H.-S.; Chen, C.-H. Effect of surface acidic oxides of activated carbon on adsorption of ammonia. J. Hazard. Mater. 2008, 159, 523–527. [Google Scholar] [CrossRef]
 - Knox, J.C.; Ebner, A.D.; LeVan, M.D.; Coker, R.F.; Ritter, J.A. Limitations of breakthrough curve analysis in fixed-bed adsorption. Ind. Eng. Chem. Res. 2016, 55, 4734–4748. [Google Scholar] [CrossRef]
 - Bouma, J. Hydrology and soil genesis of soils with aquic moisture regimes. In Pedogenesis and Soil Taxonomy. I. Concepts and Interactions; Wilding, L.P., Smeck, N.E., Hall, G.F., Eds.; Elsevier Science Publishers: Amsterdam, The Netherlands, 1983; pp. 253–281. [Google Scholar]
 - Sauder, D.C.; DeMars, C.E. An updated recommendation for multiple comparisons. Adv. Methods Pract. Psychol. Sci. 2019, 2, 26–44. [Google Scholar] [CrossRef]
 - Crittenden, J.C.; Reddy, P.S.; Arora, H.; Trynoski, J.; Hand, D.W.; Perram, D.L.; Summers, R.S. Predicting GAC performance with rapid small-scale column tests. J. Am. Water Work. Assoc. 1991, 83, 77–87. [Google Scholar] [CrossRef]
 - Yu, J.-J.; Chou, S.-Y. Contaminated site remedial investigation and feasibility removal of chlorinated volatile organic compounds from groundwater by activated carbon fiber adsorption. Chemosphere 2000, 41, 371–378. [Google Scholar] [CrossRef] [PubMed]
 - Klasson, K.T.; Ledbetter, C.A.; Uchimiya, M.; Lima, I.M. Activated biochar removes 100% dibromochloropropane from field well water. Environ. Chem. Lett. 2013, 11, 271–275. [Google Scholar] [CrossRef]
 - Tsutomu, I.; Takashi, A.; Kuniaki, K.; Kikuo, O. Comparison of removal efficiencies for ammonia and amine gases between woody charcoal and activated carbon. J. Health Sci. 2004, 50, 148–153. [Google Scholar] [CrossRef]
 - Ramlogan, M.V.; Arrue, D.A.; Rouff, A.A. Evaluation of heat-treated struvite as a non-conventional sorbent for ammonia gas using STA-PTA-FTIR. J. Environ. Chem. Eng. 2018, 6, 2461–2469. [Google Scholar] [CrossRef]
 - Britto, D.T.; Kronzucker, H.J. NH4+ toxicity in higher plants: A critical review. J. Plant Physiol. 2002, 159, 567–584. [Google Scholar] [CrossRef]
 - Li, S.; Chen, G. Thermogravimetric, thermochemical, and infrared spectral characterization of feedstocks and biochar derived at different pyrolysis temperatures. Waste Manag. 2018, 78, 198–207. [Google Scholar] [CrossRef]
 - Garcia-Perez, M.; Chaala, A.; Yang, J.; Roy, C. Co-pyrolysis of sugarcane bagasse with petroleum residue. Part I: Thermogravimetric analysis. Fuel 2001, 80, 1245–1258. [Google Scholar] [CrossRef]
 - Dow Chemical Company. Carbon monoxide. In NIST Chemistry WebBook: NIST Standard Reference Database 69; Coblentz Society, U.S. Department of Commerce: Washington, DC, USA, 2023. [Google Scholar]
 - Dow Chemical Company. Carbon dioxide. In NIST Chemistry WebBook: NIST Standard Reference Database 69; Coblentz Society, U.S. Department of Commerce: Washington, DC, USA, 2023. [Google Scholar]
 - Khodadadi, M.; Masoumi, A.; Sadeghi, M.; Moheb, A. Modeling and experimental studies on chemical absorption of ammonia emitted from poultry manure during the drying process by a wet spray scrubber: Optimization by Box-Behnken design. Process Saf. Environ. Prot. 2023, 177, 187–201. [Google Scholar] [CrossRef]
 - Lehmann, J.; Abiven, S.; Kleber, M.; Pan, G.; Singh, B.P.; Sohi, S.P.; Zimmerman, A.R. Persistence of biochar in soil. In Biochar for Environmental Management: Science, Technology, and Implementation, 2nd ed.; Lehmann, J., Joseph, S., Eds.; Routledge: New York, NY, USA, 2015; pp. 235–283. [Google Scholar]
 - Klasson, K.T. Biochar characterization and a method for estimating biochar quality from proximate analysis results. Biomass Bioenergy 2017, 96, 50–58. [Google Scholar] [CrossRef]
 - Singh, B.; Mei Dolk, M.; Shen, Q.; Camps-Arbestain, M. Biochar pH, electrical conductivity and liming potential. In Biochar: A Guide to Analytical Methods; Singh, B.C.-A., Marta Lehmann, J., Eds.; CSIRO Publishing: Clayton South, Australia, 2017; pp. 23–38. [Google Scholar]
 - ASTM D5142-09; Standard Test Methods for Proximate Analysis of the Analysis Sample of Coal and Coke by Instrumental Procedures. ASTM International: West Conshohocken, PA, USA, 2009.
 








| Pyrolysis Temp. (°C)  | Product Yield (%)  | pH of Product  | Volatile Matter (VM) (% db)  | Fixed Carbon (FC) (% db)  | Ash (% db)  | BET Surface Area (m2/g)  | Micropore Volume (mL/g)  | 
|---|---|---|---|---|---|---|---|
| 25 | --- | 4.9 | 74.3 | 23.1 | 2.6 | 0 [12] | 0 [12] | 
| 250 | 71 | 6.1 | 64.8 | 31.9 | 3.3 | 0 | 0 | 
| 300 | 47 | 6.9 | 45.8 | 49.4 | 4.8 | 0 | 0 | 
| 350 | 39 | 8.7 | 36.7 | 57.6 | 5.6 | 0 | 0 | 
| 400 | 34 | 9.3 | 29.7 | 64.0 | 6.4 | 0 | 0 | 
| 500 | 30 | 10.3 | 19.6 | 72.7 | 7.8 | 0 | 0 | 
| 600 | 27 | 10.0 | 15.5 | 76.5 | 8.0 | 0 | 0 | 
| 700 | 27 | 9.6 | 13.0 | 78.6 | 8.4 | 5 | 0 | 
| Pyrolysis Temperature (°C) | Measured Capacity at 25 ppmv Exit Concentration (Data from Figure 5) (mg NH3/g Material) | Estimated Capacity at 50 ppmv Exit Concentration (mg NH3/g Material) | 
|---|---|---|
| 25 | 0.76 C | 1.51 | 
| 250 | 0.34 D | 0.68 | 
| 300 | 1.18 B | 2.36 | 
| 350 | 1.88 A | 3.76 | 
| 400 | 1.83 A | 3.67 | 
| 500 | 1.13 B | 2.26 | 
| 600 | 0.74 C | 1.48 | 
| 700 | 0.50 D | 1.00 | 
Disclaimer/Publisher’s Note: The statements, opinions and data contained in all publications are solely those of the individual author(s) and contributor(s) and not of MDPI and/or the editor(s). MDPI and/or the editor(s) disclaim responsibility for any injury to people or property resulting from any ideas, methods, instructions or products referred to in the content.  | 
© 2025 by the authors. Licensee MDPI, Basel, Switzerland. This article is an open access article distributed under the terms and conditions of the Creative Commons Attribution (CC BY) license (https://creativecommons.org/licenses/by/4.0/).
Share and Cite
Klasson, T.; Pancio, B.; Torbert, A. Recycling Waste Cottonseed Hulls to Biomaterials for Ammonia Adsorption. Recycling 2025, 10, 158. https://doi.org/10.3390/recycling10040158
Klasson T, Pancio B, Torbert A. Recycling Waste Cottonseed Hulls to Biomaterials for Ammonia Adsorption. Recycling. 2025; 10(4):158. https://doi.org/10.3390/recycling10040158
Chicago/Turabian StyleKlasson, Thomas, Bretlyn Pancio, and Allen Torbert. 2025. "Recycling Waste Cottonseed Hulls to Biomaterials for Ammonia Adsorption" Recycling 10, no. 4: 158. https://doi.org/10.3390/recycling10040158
APA StyleKlasson, T., Pancio, B., & Torbert, A. (2025). Recycling Waste Cottonseed Hulls to Biomaterials for Ammonia Adsorption. Recycling, 10(4), 158. https://doi.org/10.3390/recycling10040158
        
