Heat Generation in NMC622 Coin Cells during Electrochemical Cycling: Separation of Reversible and Irreversible Heat Effects
Abstract
:1. Introduction
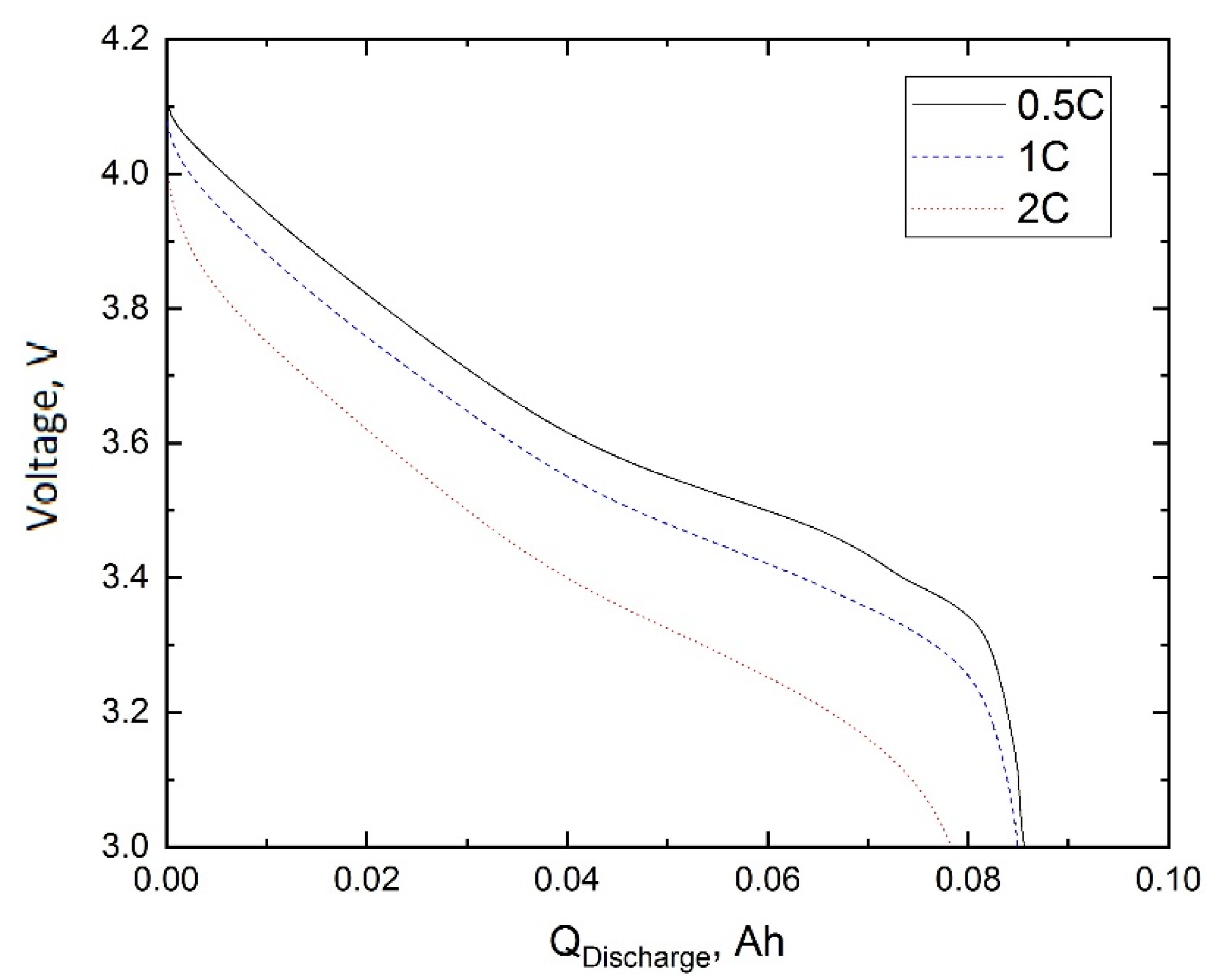
2. Results
2.1. Internal Resistances Definition and the Corresponding Irreversible Heat Effects
2.2. Entropy
2.3. Total Heat Effect Measured by C80
3. Discussion
3.1. Internal Resistances Definition and the Corresponding Irreversible Heat Effect
3.2. Total Heat Effect Measured by C80
4. Materials and Methods
5. Conclusions
Author Contributions
Funding
Acknowledgments
Conflicts of Interest
References
- Zubi, G.; Dufo-López, R.; Carvalho, M.; Pasaoglu, G. The lithium-ion battery: State of the art and future perspectives. Renew. Sustain. Energy Rev. 2018, 89, 292–308. [Google Scholar] [CrossRef]
- Kim, T.; Song, W.; Son, D.-Y.; Ono, L.K.; Qi, Y. Lithium-ion batteries: Outlook on present, future, and hybridized technologies. J. Mater. Chem. A 2019, 7, 2942–2964. [Google Scholar] [CrossRef]
- Wang, X.; Ding, Y.; Deng, Y.; Chen, Z. Ni-Rich/Co-Poor Layered Cathode for Automotive Li-Ion Batteries: Promises and Challenges. Adv. Energy Mater. 2020, 10, 1903864. [Google Scholar] [CrossRef]
- Thackeray, M.; David, W.; Bruce, P.; Goodenough, J. Lithium insertion into manganese spinels. Mater. Res. Bull. 1983, 18, 461–472. [Google Scholar] [CrossRef]
- Luo, W.; Zhou, F.; Zhao, X.; Lu, Z.; Li, X.; Dahn, J.R. Synthesis, characterization, and thermal stability of LiNi1/3Mn1/3Co1/3-zMgzO2, LiNi1/3-zMn1/3Co1/3MgzO2 and LiNi1/3Mn1/3-zCo1/3MgzO2. Chem. Mater. 2010, 22, 1164–1172. [Google Scholar] [CrossRef]
- Rozier, P.; Tarascon, J.M. Review—Li-Rich layered oxide cathodes for next-generation Li-Ion batteries: Chances and challenges. J. Electrochem. Soc. 2015, 162, A2490–A2499. [Google Scholar] [CrossRef]
- Tang, A.; Huang, K. Electrochemical properties and structural characterization of layered LixNi0.35Co0.3Mn0.35O2+δ cathode materials. Mater. Sci. Eng. B 2005, 122, 115–120. [Google Scholar] [CrossRef]
- Eddahech, A.; Briat, O.; Vinassa, J.-M. Thermal characterization of a high-power lithium-ion battery: Potentiometric and calorimetric measurement of entropy changes. Energy 2013, 61, 432–439. [Google Scholar] [CrossRef]
- Lu, W.; Belharouak, I.; Vissers, D.; Amine, K. In situ thermal study of Li1+x[Ni1/3 Co1/3Mn1/3]1-xO2 using isothermal micro-clorimetric techniques. J. Electrochem. Soc. 2006, 153, A2147–A2151. [Google Scholar] [CrossRef]
- Huggins, R.A. Advanced Batteries: Materials Science Aspects; Springer: New York, NY, USA, 2009. [Google Scholar]
- Viswanathan, V.V.; Choi, D.; Wang, D.; Xu, W.; Towne, S.; Williford, R.E.; Zhang, J.-G.; Liu, J.; Yang, Z. Effect of entropy change of lithium intercalation in cathodes and anodes on Li-ion battery thermal management. J. Power Sources 2010, 195, 3720–3729. [Google Scholar] [CrossRef]
- Al Hallaj, S.; Venkatachalapathy, R.; Prakash, J.; Selman, J.R. Entropy changes due to structural transformation in the graphite anode and phase change of the LiCoO2 cathode. J. Electrochem. Soc. 2000, 147, 2432–2436. [Google Scholar] [CrossRef]
- Manikandan, B.; Yap, C.; Balaya, P. Towards understanding heat generation characteristics of Li-Ion batteries by calorimetry, impedance, and potentiometry studies. J. Electrochem. Soc. 2017, 164, A2794–A2800. [Google Scholar] [CrossRef]
- Heubner, C.; Schneider, M.; Michaelis, A. Detailed study of heat generation in porous LiCoO2 electrodes. J. Power Sources 2016, 307, 199–207. [Google Scholar] [CrossRef]
- JCGM 100(2008). Evaluation of Measurement Data: Guide to the Expression of Uncertainty in Measurement (GUM 1995 with Minor Corrections, 1st ed.; Bureau International des Poids et Mesures: Sevres, France, 2010. [Google Scholar]
- Yazami, R.; Maher, K. Thermodynamics of Lithium-Ion Batteries. In Lithium-Ion Batteries: Advances and Applications; Pistoia, G., Ed.; Elsevier BV: Amsterdam, The Netherlands, 2014; pp. 567–604. [Google Scholar]
- Zhang, W.; Jiang, L.; Van Durmen, P.; Saadat, S.; Yazami, R. A combined thermodynamics & computational method to assess lithium composition in anode and cathode of lithium ion batteries. Electrochim. Acta 2016, 214, 56–67. [Google Scholar] [CrossRef]
- Sarge, S.M.; Höhne, G.W.; Hemminger, W. Calorimetry; Wiley-VCH: Weinheim, Germany, 2014. [Google Scholar]
- Williford, R.E.; Viswanathan, V.V.; Zhang, J. Effects of entropy changes in anodes and cathodes on the thermal behaviour of lithium ion battery. J. Power Sources 2009, 189, 101–107. [Google Scholar] [CrossRef]
- Hong, J.; Maleki, H.; Al Hallaj, S.; Redey, L.; Selman, J.R. Electrochemical-calorimetric studies of lithium-ion cells. J. Electrochem. Soc. 2019, 145, 1489–1501. [Google Scholar] [CrossRef]
- Ovejas, V.J.; Cuadras, A. State of charge dependency of the overvoltage generated in comercial Li-ion cells. J. Power Sources 2019, 418, 176–185. [Google Scholar] [CrossRef]
- Aurbach, D. A short review of failure mechanisms of lithium metal and lithiated graphite anodes in liquid electrolyte solutions. Solid State Ion. 2002, 148, 405–416. [Google Scholar] [CrossRef]













| Heat Flow Rate Contribution | Maximum Heat Flow Rate during Charge Process (Mw) | Maximum Heat Flow Rate during Discharge Process (Mw) | ||||
|---|---|---|---|---|---|---|
| Current at 1 C = 85 mA | 0.5 C | 1 C | 2 C | 0.5 C | 1 C | 2 C |
| 1.8 ± 0.3 | 5.8 ± 0.4 | 22.4 ± 2.7 | 5.5 ± 0.2 | 15.7 ± 1.2 | 25.4 ± 3.5 | |
| 1.0 ± 0.1 | 5.3 ± 0.2 | 22.7 ± 3.5 | 2.4 ± 0.03 | 9.3 ± 1.6 | 34.4 ± 6.0 | |
| Current (A) | Power Range (Mw) | Heat Effect (J) | Measured Heat Effect (J) | Calibration Coefficient |
|---|---|---|---|---|
| 0.01 | 0.99 | 2.07 | 2.02 | 1.03 |
| 0.05 | 24.62 | 129.17 | 125.28 | 1.03 |
| 0.065 | 41.60 | 366.56 | 355.57 | 1.03 |
| Current Flow 1 C = 85 Ma | Heat Determined Via C80 Calorimeter (J) | Calculated Total Heat Generation (J) | Deviation of Calculated from Measured Heat % | |||
|---|---|---|---|---|---|---|
| Charge | Discharge | Charge | Discharge | Charge | Discharge | |
| 0.5 C | 23.59 ± 1.64 | 22.18 ± 2.00 | 22.35 ± 1.69 | 23.22 ± 2.4 | −5.24 | 4.70 |
| 1 C | 41.60 ± 0.42 | 38.98 ± 0.78 | 39.33 ± 2.67 | 40.81 ± 2.47 | −5.46 | 4.70 |
| 2 C | 65.62 ± 1.54 | 66.34 ± 0.30 | 64.40 ± 5.16 | 68.20 ± 6.43 | −1.87 | 2.80 |
Publisher’s Note: MDPI stays neutral with regard to jurisdictional claims in published maps and institutional affiliations. |
© 2020 by the authors. Licensee MDPI, Basel, Switzerland. This article is an open access article distributed under the terms and conditions of the Creative Commons Attribution (CC BY) license (http://creativecommons.org/licenses/by/4.0/).
Share and Cite
Zhao, W.; Rohde, M.; Mohsin, I.U.; Ziebert, C.; Seifert, H.J. Heat Generation in NMC622 Coin Cells during Electrochemical Cycling: Separation of Reversible and Irreversible Heat Effects. Batteries 2020, 6, 55. https://doi.org/10.3390/batteries6040055
Zhao W, Rohde M, Mohsin IU, Ziebert C, Seifert HJ. Heat Generation in NMC622 Coin Cells during Electrochemical Cycling: Separation of Reversible and Irreversible Heat Effects. Batteries. 2020; 6(4):55. https://doi.org/10.3390/batteries6040055
Chicago/Turabian StyleZhao, Wenjiao, Magnus Rohde, Ijaz Ul Mohsin, Carlos Ziebert, and Hans J. Seifert. 2020. "Heat Generation in NMC622 Coin Cells during Electrochemical Cycling: Separation of Reversible and Irreversible Heat Effects" Batteries 6, no. 4: 55. https://doi.org/10.3390/batteries6040055
APA StyleZhao, W., Rohde, M., Mohsin, I. U., Ziebert, C., & Seifert, H. J. (2020). Heat Generation in NMC622 Coin Cells during Electrochemical Cycling: Separation of Reversible and Irreversible Heat Effects. Batteries, 6(4), 55. https://doi.org/10.3390/batteries6040055

