Next Article in Journal
Lithium-Ion Battery Lifetime Prediction Model Based on a Fusion Expert Network
Previous Article in Journal
Modeling, Reliability, and Health Management of Lithium-Ion Batteries (2nd Edition)—A Summary of Contributions and Future Outlook
 
 
Font Type:
Arial Georgia Verdana
Font Size:
Aa Aa Aa
Line Spacing:
Column Width:
Background:
Article

Experimental Evidence on the Effect of Temperature on the Performance of a Lithium-Ion Battery

Department of Energy, Politecnico di Torino, 24 c.so Duca degli Abruzzi, 10129 Torino, Italy
*
Author to whom correspondence should be addressed.
Batteries 2025, 11(12), 439; https://doi.org/10.3390/batteries11120439
Submission received: 16 October 2025 / Revised: 20 November 2025 / Accepted: 24 November 2025 / Published: 26 November 2025
(This article belongs to the Section Energy Storage System Aging, Diagnosis and Safety)

Abstract

The current energy transition highlights the importance not only of energy production, but also of its efficient storage, for which lithium-ion batteries are currently the leading technology. In many applications, these devices operate outdoors at temperatures below 0 °C, and consequently, their performance is reduced due to the lower mobility of the ions. With the aim of evaluating this decrease in performance, measurements were carried out on a commercial LiFePO4 module in the temperature range −20–+55 °C. The results show that the battery capacity decreases by 15% compared to the value measured at room temperature when the operating temperature drops to approximately −10 °C, and by 35% at approximately −20 °C. The paper also introduces a modified version of the Arrhenius kinetic model that allows for the analytical evaluation of the change in battery capacity as a function of temperature. The modified model proposes a quadratic dependence of the activation energy on the temperature through a temperature coefficient that for the two tested modules is equal to 8.0 × 10−5 eV/K2 and 6.7 × 10−5 eV/K2, respectively.

1. Introduction

In recent years, attempts to find alternative energy resources to traditional fuels have further increased, both due to the limited temporal availability of the latter and the serious environmental consequences linked to their use. A clear alternative is to switch to renewable energy sources, which have the advantage of minimal environmental impact but pose the problem of managing the fact that, by their nature, they are predominantly intermittent, making the use of energy storage systems essential.
Depending on the needs for releasing the stored energy and the type of renewable energy to be converted, the storage system varies significantly [1,2,3]. Among potential storage technologies, batteries are of particular interest for several reasons, ranging from their relatively high energy density combined with low maintenance requirements [4,5] to the flexibility they allow for the electrical system [6]. There are many battery technologies available, but lithium-ion batteries currently represent the leading technology since they are characterized by high efficiency and relatively high energy density [7], though their impact on the environment cannot be neglected [8].
There are several types of lithium batteries on the market, the main difference between them being the chemical composition of the cathode, while the anode is usually made of graphite, regardless of the composition of the cathode. In addition to lithium, the cathode can contain other transition metal elements such as titanium, manganese, iron, cobalt, and nickel.
Furthermore, in the case of LiFePO4, some authors suggest doping the cathode with titanium, manganese, iron, cobalt, or carbon nanotubes [9,10,11,12] to increase both ion conductivity and battery performance.
The chemical composition of the cathode determines some essential characteristics of the battery, including capacity, power (maximum electrical current), performance, cost, safety, and number of charge/discharge cycles, i.e., the battery life.
Within this variety of cathodes, specific energy and power can vary greatly. For example, lithium-cobalt cathode batteries have high specific energies with not-so-high specific powers, while lithium-iron-phosphate cathode batteries have high specific powers with lower specific energies [13].
A common feature of all lithium-ion batteries is the performance degradation at extreme temperatures [14,15,16,17,18,19], particularly at low temperatures. Consequently, proper thermal management needs to be considered [15,20,21].
The paper presents, in the temperature range from −20 °C to +55 °C, the preliminary results regarding the open-circuit voltage and the so-called ohmic resistance, both of which are relevant to the charge and discharge capability of the battery module. To account for the reduction in battery performance, a kinetic model based on the classical Arrhenius model is proposed, which introduces the temperature dependence of the activation energy. The effect of localized electrical heating on improving performance at low temperatures is also evaluated.

2. Materials and Methods

Commercial lithium-iron-phosphate battery modules ( L i F e P O 4 ), with a solid electrolyte (e.g., polymeric- or ceramic-based) able to operate at low temperatures, were considered for the experimental investigation. According to the manufacturer (Shenzhen Zefeng Biotechnology Co., Ltd., Shenzhen, China), each module consists of a single cell with a nominal voltage of 3.2 V and nominal capacity of 23 Ah. On the contrary, no information was provided about the chemical-physical characteristics of the electrolyte and its interface with the anode and cathode. These modules have a rectangular shape, external dimensions of 150 mm × 130 mm × 15 mm, and a gross weight of 0.6 kg.
For this battery, the typical half-reactions at the cathode (the electrode where the reduction occurs) and at the anode (the electrode where the oxidation occurs) are, respectively, written as
L i F e P O 4   L i 1 x F e P O 4 + x L i + + x e ,                 x L i + + x e + 6 C   L i x C 6 ,
where both half-reactions evolving towards the right represent the charging process (anode as positive electrode), while the direction towards the left represents the discharging process (cathode as positive electrode).
Theoretically, when the battery is fully charged, there are no more available sites at the anode for L i + ions because it is ideally fully lithiated, and, at the same time, there is no more ionized material at the cathode because it is ideally fully delithiated. During the discharge process, at the anode and cathode, the reverse process occurs, thus completely reconstructing the L i F e P O 4 and graphite structures.
The reactions in Equation (1) are written on a stoichiometric basis and in a perfectly reversible manner, but it is known that real operating conditions show deviations from this ideal condition.
In fact, as the battery ages, irreversible phenomena occur. Typically, these phenomena are mechanical or chemical and primarily affect the decomposition of the electrodes (e.g., the formation of dendrites on the cathode side).
When the battery is subjected to charge and discharge cycles, especially at low temperatures, its internal resistance increases, reducing both its capacity and its energy efficiency [22,23,24]. As a consequence of the increase in resistance, a greater increase in the battery temperature is observed, which accelerates the irreversible aging phenomena [25,26,27]. However, the effects of temperature alone are expected to be reversible because when the battery returns to room temperature it resumes its nominal performance.
The anode and cathode typically consist of a crystalline structure in which ions are trapped in lattice sites, while the intermediate electrolyte consists of a material that conducts ions well but not electrons. Furthermore, studies in the literature [28] demonstrate that ion migration increases in the presence of lattice defects due to the lack of proper lattice order and decreases as the temperature decreases. Moreover, it is known that for ion diffusion to occur, the lattice must contain vacancies, and the ions must have sufficient energy to pass through a vacancy. The energy required to force ions through the lattice is commonly called activation energy.
In the field of chemical kinetics of reactions, this topic is widely discussed in the literature, starting from the second half of the nineteenth century [29]. The temperature dependence of a certain equilibrium constant for a given reaction occurring at constant pressure is established by the so-called van’t Hoff–Arrhenius equation, which in its original differential form can be expressed as
l n K C T p = E k B T 2 ¯ ,
where K C in this case is the dimensionless concentration constant at the equilibrium, T is the absolute temperature, and E (eV) is the total amount of energy (the activation energy) for kinetics to occur, while k B is the Boltzmann constant. By separating the variables, Equation (2) can be rewritten as
d K C K C = E k B T 2 ¯ d T .
In the case where the activation energy E is assumed constant in the investigated temperature range, the solution of Equation (3) identifies the well-known Arrhenius equation: ln K C = ln A E / k B 1 / T , where parameter A is related to the integration constant, called the pre-exponential factor, which is the intercept obtained by extrapolating 1 / T 0 . In fact, the plot of ln K C against 1 / T gives a straight line with a negative slope E / k B . Alternatively, if for the kinetic constant we consider the reference value K C , 0 at temperature T 0 and introduce the equivalent kinetic coefficient ψ , in this case ψ = K C / K C , 0 , the solution of Equation (3) as a definite integral between T 0 and the generic temperature T is
ln ψ = E k B 1 T 1 T 0 .
As established by Arrhenius, the equivalent kinetic coefficient ψ can be written in terms of the ratio of forward or backward rate constants or ionic diffusion coefficients. In general, it can be written as the ratio of any chemical quantity related to the kinetics or transport phenomenon under study. Furthermore, van’t Hoff considers the possibility that the activation energy depends on a constant term, e.g., E 0 , and on terms both proportional to the temperature and to its square [29]. In this case, the kinetics shows a deviation from the linear trend in a semi-log plot.
In the literature, several cases can be found where this temperature dependence occurs. For example, in [30,31], where the case of ion diffusion inside the graphite anode of a lithium-ion cell is examined, the diffusion coefficient is investigated in the temperature range from −20 °C to +40 °C. In [30], in the mentioned temperature range, the ionic diffusion coefficients δ were determined every 10 K.
Figure 1 shows (empty circles) a trend of ln ψ , which is clearly non-linear with respect to 1 / T . This trend was obtained by choosing as reference the measured ionic diffusion coefficient δ 0 at T 0 = 40 °C and considering ψ = δ / δ 0 and T < T 0 . In fact, if we assume that the activation energy Δ E 0 at T 0 is constant and use Equation (4), the trend proposed by Arrhenius is indicated in Figure 1 by the dashed line. As visible in Figure 1, the slope Δ E 0 / k B allows us to reproduce only the few values included in the first 20 K from T 0 , providing an activation energy of an ion equal to Δ E 0   = 2.6 × 10−5 eV.
Since the trend of the measured data is non-linear over the entire temperature range, a temperature dependence for the activation energy was imposed. The temperature dependence was assigned as a deviation from Δ E 0 via a quadratic function of the temperature difference from the reference value T 0 :
Δ E T = E 0 + m T T 0 2 ,
where m (eV/K2) represents a proper constant temperature coefficient. Reconsidering the solution of Equation (3) with the assigned Δ E T :
d δ δ = E 0 + m T T 0 2 k B T 2 ¯ d T = E 0 + m T 2 2 T 0 T + T 0 2 k B T 2 ¯ .
By integrating from δ 0 to δ and from T 0 to T , with ψ = δ / δ 0 the following modified Arrhenius equation was obtained:
ln ψ = E 0 k B 1 T 1 T 0 + m k B T T 0 + 2 T 0 ln T T 0 + T 0 2 1 T 1 T 0 .
Note that Equation (6) with m   = 0 yields the solution obtained with the classical Arrhenius model, as shown in Equation (4). If we assume the previously found value for E 0 , with m   = 2.76 × 10−4 eV/K2, we obtain the trend represented by the solid line in Figure 1, which is in good agreement with measurements over the whole temperature range.
In the case of anodic graphite, for ion diffusion to occur at low temperatures, the activation energy required increases by several orders of magnitude, as evident in Figure 1. In fact, at a temperature of 250 K, the energy required for ion mobility is approximately five times the value at T 0 . Therefore, in the absence of an adequate electric gradient, as the temperature decreases the ions stop.
Although these considerations only concern data relating to the anode, it can be assumed that a similar kinetic mechanism occurs for the cathode and the electrolyte. The kinetic model proposed through Equation (7) will thus be used in the following section to describe the temperature trend of the investigated battery in equilibrium conditions. More specifically, through this kinetic we will try to justify the effect of temperature on the battery capacity, attributing this effect to the impossibility of providing the ions with the activation energy necessary for their mobility.

3. Results and Discussion

The temperature effect was investigated in the range from −20 °C to +55 °C. The maximum test temperature was chosen as the operating limit for safety reasons while the minimum temperature was assumed as a critical value related to external climatic conditions. Two modules were utilized. The first module was used to find the relationship between open-circuit voltage (OCV) and state of charge (SOC) at different operating temperatures. The second was used to study the effect of temperature on the charge and discharge capacity of the battery and to verify the ability of the modified Arrhenius kinetics of Equation (7) to reproduce the experimental trend.
Since the aim was to highlight the effects of temperature on battery performance, it was assumed that the use of a single current for the charging and discharging processes did not represent an a priori limitation and therefore all tests were performed using a current of ±11.5 A corresponding to 0.5 C.
In Figure 2, the sketch of the experimental set-up is shown.
A Kikusui (Kikusui Electronics Europe GmbH, Duesseldorf, Germany) battery test system equipped with a PFX2512 charge/discharge system controller, a PWR800L DC power supply (0–40 V, 0–80 A), and a PLZ1004W electronic load was used for the tests. The manufacturer declares for this device a voltage resolution equal to 0.1 mV and a current resolution equal to 0.1 mA, with high speed and high accuracy. The controller can perform charging and discharging processes at a constant current, constant voltage, constant power, and any user-defined current-voltage time profile.
To determine the OCV versus SOC, it was assumed that, regardless of the test temperature, the initial SOC of the battery is equal to the maximum achievable SOC at room temperature, which is therefore assumed to be 100% of the SOC. To limit any damage to the battery caused by overvoltage, the maximum charging voltage was set to V M A X   = 3.55 V, i.e., approximately 110% of the nominal voltage. The battery was then fully charged in two phases. The first phase was at a constant current (+11.5 A). This phase, which can last from a few minutes to several hours depending on the initial charge level, stops when the V M A X is reached. The second phase was at constant voltage ( V M A X ), with a maximum duration of 1.5 h, which was considered sufficient time to reach a supply current close to zero. Then, to determine the actual OCV when the SOC is 100%, a relaxation time of 1.5 h was imposed, during which the control system is at rest (zero supply current).
Figure 3 shows, as an example, the current and voltage trend as a function of time for the room temperature test. The figure shows how the voltage decays during the relaxation period toward an asymptotic value. Some authors [32] assume the calculated value of this asymptote as the actual OCV value.
In the tests performed, it was assumed that at the end of the imposed relaxation time (1.5 h) the measured voltage is very close to its asymptotic value and therefore practically coincident with the actual OCV.
During the discharge phase, the minimum voltage value at which the battery is considered completely discharged (0% SOC) was set to approximately 85% of the nominal voltage, i.e., V M I N = 2.7 V. This choice is due to both the potential damage to the battery when the voltage values reached during the discharge phase are excessively low and, where applicable, the need to maintain a battery voltage high enough to guarantee an adequate supply voltage for the loads connected to it. Regardless of these reasons, it has been found that below the V M I N voltage, the energy that the battery can still supply is practically negligible.
A rest/relaxation time of 1.5 h was also set for the discharge phase, which begins when V M I N is reached and at the end of which the measured voltage value corresponds to the OCV.
Since the battery was assigned a SOC of 100% after charging at room temperature, the minimum SOC, which depends on the actual energy released during discharge and is expected to vary with temperature, was not set to zero at the end of all discharge tests. To identify the actual battery capacity at room temperature, several complete charge and discharge cycles were performed at constant current (±11.5 A) in the chosen operating voltage range. Using simply constant current Coulomb counting, the capacity of the battery was evaluated during discharge, measuring the time needed to reach V M I N from the OCV measured at 100% SOC, and during charge by measuring the time needed to reach V M A X from the OCV measured at the end of the previous discharge. Under these conditions, the actual battery capacity at room temperature was, on average, slightly lower than the nominal capacity, and the maximum value found, equal to 21.8 Ah, was chosen as a reference value, C R E F , to determine the SOC level at the different test temperatures.
Both the battery charging and discharging were carried out in steps designed to vary the nominal battery capacity (23 Ah) by 5% each time. Using a constant charge/discharge current of ±11.5 A, the duration of each stage was 6 min, followed by a relaxation time of 1.5 h, after which the OCV was assigned. An example is shown in Figure 4 for the initial discharging phase. The current and voltage graphs are plotted as a function of relative time, which refers to the end of the relaxation time of the previous charging procedure (SOC 100%), which showed an OCV equal to 3.53 V. In the figure, the dashed line represents the current values, while the solid line represents the voltage measured at the battery terminals. The voltage curve over time is, as expected, exponential with a horizontal asymptote. It can be noted that the first discharge step (fully charged battery) has a greater voltage drop than the following step. This behavior is, as is known, linked to the so-called activation losses which cause the reaction to initially occur more slowly. It can also be observed that, during the relaxation period between the two discharges shown in the figure, the voltage increases by a few hundredths of a volt.
After the initial voltage drop due to activation, the various discharge phases occur regularly and a gradual decrease in the OCV is observed, which remains above the nominal voltage even at low SOC values. The final part of the discharge process is shown in Figure 5, where at relative time zero, the battery state of charge is approximately 10.1%.
In Figure 5, the discharge starting at relative time zero still occurs regularly, but it is observed that the voltage curve over time has a negative concavity with an apparently vertical asymptote in the final part of the discharge phase. This voltage behavior already begins to manifest when the SOC value drops below 30%, but when the SOC reaches 10%, the voltage shows a much sharper drop. As can be seen in Figure 5, this sharp voltage reduction causes the voltage to drop below V M I N during the next discharge, so that the control system shuts down the load after only a couple of minutes. If the load is reapplied, the energy exchanged in the subsequent steps is minimal and at the end of the test the SOC is approximately 1.5% and the OCV is equal to 2.82 V.
Figure 6, which has the same relative time equal to zero as Figure 5, shows the temperature trend of the device over time, measured on the external surface of the battery, during the different discharge steps. The comparison between the two figures highlights how a sudden decrease in voltage corresponds to a sudden increase in temperature. Figure 6 shows that for negative values of the relative time, the temperature trend is almost regular, increasing during the application of the current load and decreasing during the relaxation phase, returning to approximately the initial value. On the positive side of the time axis, a sudden increase in temperature can be observed, albeit by a few tenths of a degree, which certainly indicates a singular event within the battery, likely an increase in internal resistance, the thermal effect of which disappears in the following step when the load duration decreases. While these calorimetric aspects could provide interesting insights into the electrochemical behavior of the battery, they are beyond the scope of this work.
Starting from the SOC and OCV values obtained after the discharge sequence, the charging procedure was performed again using constant current steps corresponding to 5% of the nominal capacity. As shown in Figure 7 and Figure 8, the behavior of the battery during charging is similar to that observed during discharging, and therefore similar considerations can be drawn. During charging, the thermal behavior of the battery is comparable to that found during discharging, even with regard to the final part of the charge, highlighting a temperature trend similar to that shown in Figure 6. For this test performed at room temperature, the reference temperature of the device was calculated as the average of the temperatures during the discharge and charge phases and is approximately 22.0 °C.
The set of OCV against SOC values determined at room temperature during the discharge and charge are shown in Figure 9. In the figure, the circles and triangles represent the values measured during the charging and discharging steps, respectively, and the error bars for the voltage are equal to 1%. Observing the trends for the two phases, the voltage values are almost superimposable within the error bar. Therefore, it is not possible to highlight significantly different behaviors of the battery during discharge and charge at room temperature. The presence of hysteresis in the discharge and charge cycle is predictable, since a difference in OCV during charge and discharge has always been found for the same SOC.
The solid line shown in Figure 9 represents the trend of OCV as a function of SOC calculated using a model available in the literature [33] which reports the following equation:
O C V = a + b ln S O C p + c S O C + d e x p q S O C 1 ;     0 < S O C 1
where in the case of a L i F e P O 4 battery operating at room temperature, the parameter values are as follows: a = 3.135   V ,   b = 0.685   V ,   c = 1.342   V ,   d = 1.734   V ,   p = 0.478 ,   q = 0.4 .
As can be seen, when the SOC varies from approximately zero up to 90%, the model shows OCV values in good agreement with the measured ones. On the contrary, when the SOC exceeds 90%, the model is unable to fit the measured values since the voltage is approximately constant when approaching 100% SOC. Tests at temperatures other than room temperature were carried out in a thermostatic chamber by sequentially selecting one of the following set points: 0 °C, −10 °C, −20 °C, and finally +55 °C.
Before each of these tests, to ensure the same initial conditions, the battery, following the procedure described above, was fully charged (100% SOC) at room temperature. After obtaining a stable temperature in the chamber, the various 5% discharge and charge steps were performed using a current of ±11.5 A. The exchanged energy and the resulting capacity change at each step were determined by Coulomb counting, calculating the SOC level using the previously-determined C R E F value as a reference capacity.
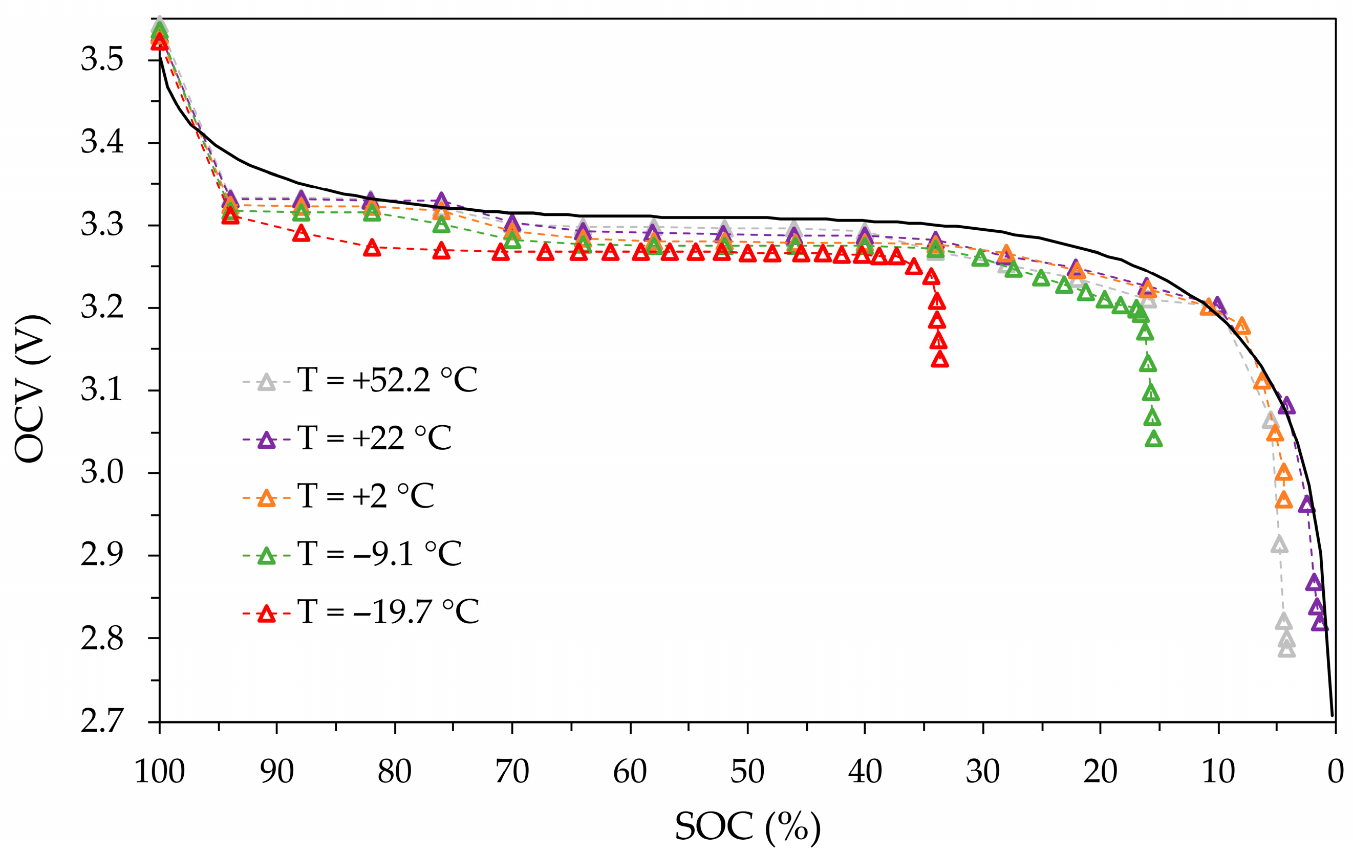
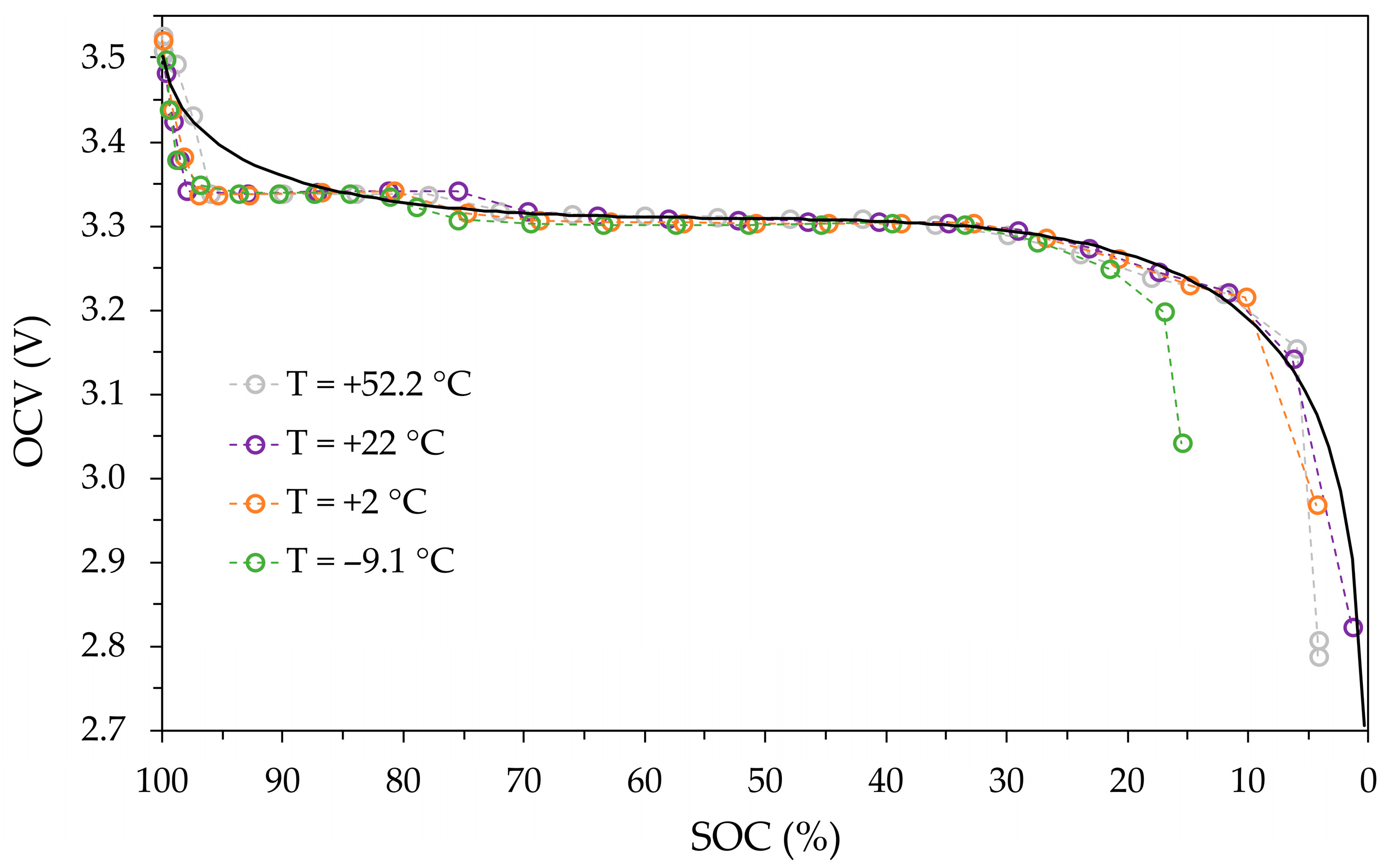
The OCV-measured values as a function of SOC for the different temperatures are shown in Figure 10 and Figure 11 for the discharge and charge process, respectively. As shown in the figures, the average temperature values measured on the external surface of the battery are 22.0 °C, 2.0 °C, −9.1 °C, −19.7 °C, and 52.2 °C. Furthermore, in the figures, the theoretical model OCV vs. SOC at room temperature is shown (solid line).
Looking at Figure 10, it can be observed that when the SOC is above 35%, the OCV values are practically independent of temperature and have deviations of less than 2%. Furthermore, in this range, the theoretical model approximates the experimental data with a deviation of no more than 2%.
Figure 10 also shows that at temperatures below 0 °C, battery performance in terms of both voltage level and available energy is significantly reduced compared to at room temperature. Indeed, at the test temperatures of −9.1 °C and −19.7 °C, a significant reduction in available battery capacity of approximately 15% and 35%, respectively, as well as an overall reduction in OCV, can be observed.
Figure 11 shows that for the charging process, for SOC values between 25% and 90%, the OCV values are virtually independent of temperature, and the theoretical model fits the experimental data very well. For SOC values above 90%, it can be observed that the model is no longer able to reproduce the experimental data, which are still independent of temperature.
Figure 11 does not show the test performed at the nominal temperature of −20 °C because it was not possible to charge the battery at this temperature. The cause of this “failure” could be the electrolyte, the characteristics of which are unknown since the only information provided by the manufacturer refers to the nominal voltage and capacity values. Indeed, as reported in the literature [34], it can be assumed that since solid electrolytes already at room temperature exhibit substantial interfacial resistances and low ionic conductivities, this aspect becomes even more relevant at low temperatures. The reduction in ion mobility at low temperatures makes ion migration paths less accessible and consequently requires a higher activation energy for diffusion to occur. In the case of the tests presented in this paper, at a temperature close to −20 °C, the required activation energy is so high that ion conduction stops due to the overvoltage limit. It is worth noting that this temperature-induced limitation appears reversible. Indeed, it has been found that by returning the battery to room temperature, the OCV shown in Figure 9 is practically reproducible without apparent irreversibility or definitive losses of capacity.
These critical issues disappear at temperatures above 0 °C. In fact, observing the curves at +2.0 °C and +52.2 °C, it can be noted that, apart from a reduction of approximately 5% in the useful capacity in both cases, the OCV vs. SOC trends are similar and comparable with the test at room temperature.
The OCV values measured at the end of the discharge processes increase as the battery temperature decreases (Figure 10). For example, at a temperature of approximately −20 °C, the OCV was found to be close to 3.15 V, while at a temperature of about +52 °C, the measured voltage was just above 2.75 V. Since the change in the molar Gibbs free energy Δ g (J/mol) due to both half-reactions reported in Equation (1) is proportional to the OCV, in standard conditions it can be written as
Δ g = n F O C V ,
where F is the Faraday constant (C/mol) and n is unitary in this case.
Figure 12 shows the molar Gibbs free energy obtained using the OCV values measured at the end of discharge at the different temperatures. The dashed line represents the linear regression performed on these values, and the error bars refer to a 2% deviation. In the same temperature range, it is interesting to note that the temperature dependence of the molar Gibbs free energy of a L i F e P O 4 reported in the literature is also linear [35] and shows the same slope as the regression line in Figure 11, even though the literature values refer only to the cathode material.
The reduced ionic mobility thus appears to actually cause a decrease in battery capacity, which is particularly noticeable at temperatures below 0 °C. Despite this criticality, as mentioned above, experimental tests have shown that increasing the battery temperature can restore its capacity to a value close to the nominal one. Since this occurs in tests aimed at finding a relationship between OCV and SOC, to further investigate this behavior, a new set of measurements was performed using a second new module.
The new battery was initially charged, discharged, and recharged at room temperature following the procedure described above. The new reference value for its capacity is C R E F   = 22.4 Ah. The tests were carried out in the thermostatic chamber with a fixed set point of −20 °C. In these new tests, to increase the temperature of the battery relative to that of the chamber, a square-shaped film heating resistor (40 mm × 40 mm) capable of providing a heat flux in the range 0–48 W was applied to each of the two large external surfaces of the battery.
The tests were performed using the previous voltage limits ( V M A X = 3.55 V and V M I N = 2.7 V) and the same constant current (±11.5 A). The battery was first subjected to a continuous discharge ( V M I N voltage reached) followed by a relaxation time of 1.5 h, and then a continuous charge ( V M A X voltage reached).
Comparing these continuous discharge and charge processes with those performed in steps, it was noted that in this case the heat generation due to the Joule effect produces higher internal temperatures in the battery than those previously measured. Despite this, the relaxation period between discharge and charge is sufficient for the temperature to return to the value before discharge, allowing discharge and charge to be carried out under similar thermal conditions (the same average temperature).
With the thermostatic chamber set to −20 °C, several discharge/charge cycles were performed, during which the resistors were powered by progressively increasing the thermal power used to heat the battery. For each test, the change in battery capacity was measured at the temperature reached with the help of the resistors. The results obtained show that, for both the discharging and charging processes, the battery capacity decreases as its temperature decreases, in line with what was seen using the previous battery. It is important to note that with this second module, it was possible to carry out both the discharge and charge processes down to a minimum temperature of −17.3 °C without the aid of a heating resistor. Comparing this result with that obtained with the previous battery, which could not be charged at −19.7 °C, suggests that the threshold temperature that inhibits ionic conduction in the electrolyte falls within this narrow temperature range.
The set of results obtained for the two batteries was interpreted using the modified Arrhenius model proposed in Equation (7). Since the kinetic parameter ψ can be related to the ionic mobility and the consequent change in battery capacity, it has been established that ψ is equivalent to the ratio C T / C R E F , where C T corresponds to the battery capacity measured at a given temperature, while C R E F represents its value at room temperature.
The results are summarized in the semi-logarithmic diagram of Figure 13 for both battery modules. In this figure, the dashed line (module #1) and solid line (module #2) represent the output of the kinetic model of Equation (7). The model assumed the same value for the activation energy, Δ E 0 = 1.0 × 10−3 eV, and different values for the temperature coefficient, m = 8.0 × 10−5 eV/K2 for module #1, and m   = 6.7 × 10−5 eV/K2 for module #2. The need for a higher temperature coefficient for the first module is likely due to its level of thermal aging. Indeed, the first module was subjected to numerous charge and discharge cycles and a much higher number of test hours (several hundred) than the second. Looking at the graph, it can be observed that, even considering measurement uncertainties of 5% for both tests, the different temperature behavior remains.
The good agreement between the proposed model and the measurements seems to confirm the possibility of expressing the performance of a battery using a kinetic approach in which the reduced ionic mobility is considered by assuming that the activation energy is a function of temperature. Furthermore, based on experimental data, it is possible to state that the battery capacity depends only on its thermal level and not on the discharge/charge process performed.
Figure 13 also shows on the right vertical axis the absolute value of the percentage capacity loss evaluated with respect to the reference value C R E F . In this figure, it is possible to note that at the same temperature, the capacity loss during charging is always lower than that found during discharging. Although the difference is generally small (less than 5%), it cannot be explained by the kinetic model, which depends only on temperature.
Figure 13 also reports the data available in the literature [36] relating to the reduction in capacity at low temperatures for a LiPo battery. Even in the case of this different type of battery, the modified Arrhenius model seems to be able to reproduce the trend of the measured data with a good level of accuracy (error bars 5%). Also, for this battery, the activation energy at the reference temperature is assumed equal to Δ E 0 = 1.0 × 10−3 eV, while the temperature coefficient is in this case m = 3.3 × 10−5 eV/K2.
Since charging or discharging times depend on the instant at which the voltage extreme V M I N and V M A X are reached, the electrical resistance of the electrodes can also be relevant. In equivalent electrical circuits used to simulate the dynamic behavior of a battery, the ohmic resistance R 0 is associated with the instantaneous drop or increase in voltage when the current is interrupted or allowed to flow in the battery, respectively.
Figure 14 shows the ohmic resistance versus temperature determined for module #2 at the beginning of the discharge and charge. The temperature dependence of R 0 is highly non-linear, both during discharge and charge. It is difficult to attribute this behavior only to the material of electrodes, and we cannot exclude the possibility that it is due to a peculiar characteristic of the specific battery assembly. Even assuming a 10% uncertainty in determining the resistance R 0 , the value found for discharging was always higher than that for charging. This could justify the greater battery capacity achieved during charging compared to that available during discharging at the same temperature and could also explain the lower OCV value observed during discharging compared to charging.

4. Conclusions

A preliminary experimental investigation of the thermal behavior of a lithium-iron-phosphate battery was proposed. The main objective of the experiment was to verify the possibility of using a kinetic model to determine the reduction in battery capacity as the operating temperature decreases. Some concluding remarks are highlighted as follows:
  • The relationship found between OCV and SOC is in good agreement with models proposed in the literature. This allows us to consider the chosen battery as representative of the lithium-iron-phosphate type.
  • The reduction in battery capacity as the temperature decreases appears to be mainly attributable to ion conduction of electrolytes. Decreasing the temperature gradually makes the migration paths of ions within its structure less accessible. Therefore, for each type of electrolyte, there may be a threshold temperature that inhibits ionic conduction.
  • The reduction in battery capacity due to low temperatures appears reversible. In fact, returning the battery to higher temperatures restores the expected capacity value.
  • Electron conduction also appears to influence battery performance at low temperatures. Experimental results show a significant increase in the so-called ohmic resistance at temperatures below ambient.
The results presented for LiFePO4 must be considered preliminary and have some limitations. These include the unknown chemical and physical properties of the electrolyte and the limited test conditions implemented, which involve a single charge and discharge current and short cycling. In addition, the reference temperatures for the tests are only local measurements performed on both of the large surfaces of the thin battery. In the case of a battery with a different geometry, the temperatures measured on the surface could be less representative. For these reasons, the authors believe it would be useful and interesting to continue the research by performing tests at different temperatures and charge/discharge currents, increasing the number of cycles, and extending the investigation to other types of lithium batteries. Furthermore, for a better thermal characterization of the battery, suitable thermal models should be implemented.

Author Contributions

Conceptualization, M.B., E.C. and V.G.; methodology, V.G.; investigation, M.B., E.C. and V.G.; writing—original draft preparation, E.C. and V.G.; writing—review and editing, E.C. and V.G. All authors have read and agreed to the published version of the manuscript.

Funding

This research received no external funding.

Data Availability Statement

The raw data supporting the conclusions of this article will be made available by the authors on request.

Conflicts of Interest

The authors declare no conflicts of interest.

Abbreviations

The following abbreviations are used in this manuscript:
OCVOpen-Circuit Voltage
SOCState of Charge

References

  1. Sayed, E.T.; Olabi, A.G.; Alami, A.H.; Radwan, A.; Mdallal, A.; Rezk, A.; Abdelkareem, A.M. Renewable Energy and Energy Storage Systems. Energies 2023, 16, 1415. [Google Scholar] [CrossRef]
  2. Koohi-Fayegh, S.; Rosen, M.A. A review of energy storage types, applications and recent developments. J. Energy Storage 2020, 27, 101047. [Google Scholar] [CrossRef]
  3. Detka, K.; Górecki, K. Selected technologies of electrochemical energy storage—A review. Energies 2023, 16, 5034. [Google Scholar] [CrossRef]
  4. Lamnatou, C.; Chemisana, D.; Cristofari, C. Smart grids and smart technologies in relation to photovoltaics, storage systems, buildings and the environment. Renew. Energy 2022, 185, 1376–1391. [Google Scholar] [CrossRef]
  5. Pimm, A.J.; Cockerill, T.T.; Taylor, P.G. The potential for peak shaving on low voltage distribution networks using electricity storage. J. Energy Storage 2018, 16, 231–242. [Google Scholar] [CrossRef]
  6. Impram, S.; Nese, S.V.; Oral, B. Challenges of renewable energy penetration on power system flexibility: A survey. Energy Strateg. Rev. 2020, 31, 100539. [Google Scholar] [CrossRef]
  7. Chen, T.; Jin, J.; Lv, H.; Yang, A.; Liu, M.; Chen, B.; Xie, Y.; Chen, Q. Applications of Lithium-Ion Batteries in Grid-Scale Energy Storage Systems. Trans. Tianjin Univ. 2020, 26, 208–217. [Google Scholar] [CrossRef]
  8. Bawankar, S.; Dwivedi, G.; Nanda, I.; Jimenez Macedo, V.D.; Kesharvani, S.; Meshram, K.; Jain, S.; Mishra, S.; Singh, V.P.; Verma, P. Environmental impact assessment of lithium-ion battery employing cradle to grave. Sustain. Energy Technol. Assess. 2023, 60, 103530. [Google Scholar] [CrossRef]
  9. Akhmetova, K.; Sultanov, F.; Mentbayeva, A.; Umirov, N.; Bakenov, Z.; Tatykayev, B. Advances in multi-element doping of LiFePO4 cathode material for capacity enhancement in Li-ion batteries. J. Power Sources 2024, 624, 235531. [Google Scholar] [CrossRef]
  10. Zhang, F.; Huang, J.; Zong, F.; Tuo, K.; Cai, X.; Zhou, X.; Zhao, D.; Cui, X.; Li, S.; Zhang, N. Effect of Ti content on preparation of LiFePO4 cathode from FeSO4·7H2O waste residue. J. Alloys Compd. 2023, 955, 170270. [Google Scholar] [CrossRef]
  11. Abdelaal, M.M.; Alkhedher, M. Dual optimization of LiFePO4 cathode performance using manganese substitution and a hybrid lithiated Nafion-modified PEDOT:PSS coating layer for lithium-ion batteries. Electrochim. Acta 2024, 506, 145050. [Google Scholar] [CrossRef]
  12. Al-Samet, M.A.M.M.; Burgaz, E. Improving the lithium-ion diffusion and electrical conductivity of LiFePO4 cathode material by doping magnesium and multi-walled carbon nanotubes. J. Alloys Compd. 2023, 947, 169680. [Google Scholar] [CrossRef]
  13. Miao, Y.; Hynan, P.; von Jouanne, A.; Yokochi, A. Current Li-Ion Battery Technologies in Electric Vehicles and Opportunities for Advancements. Energies 2019, 12, 1074. [Google Scholar] [CrossRef]
  14. Liao, L.; Zuo, P.; Ma, Y.; Chena, X.; Ana, Y.; Gaoa, Y.; Yin, G. Effects of temperature on charge/discharge behaviors of LiFePO4 cathode for Li-ion batteries. Electrochim. Acta 2012, 60, 69–273. [Google Scholar] [CrossRef]
  15. Jin, G.; Zhao, W.; Zhang, J.; Liang, W.; Chen, M.; Xu, R. High-Temperature Stability of LiFePO4/Carbon Lithium-Ion Batteries: Challenges and Strategies. Sustain. Chem. 2025, 6, 7. [Google Scholar] [CrossRef]
  16. Issa, F.; Diaconu, E.M.; Ardeleanu, M.N. Working temperature’s influence on the LiFePO4 battery generated power. Sci. Bull. Electr. Eng. Fac. 2023, 2, 1–4. [Google Scholar] [CrossRef]
  17. Gong, X.; Mi, C.C. Temperature-dependent performance of lithium-ion batteries in electric vehicles. In Proceedings of the 2015 IEEE Applied Power Electronics Conference and Exposition (APEC), Charlotte, NC, USA, 15–19 March 2015; pp. 1065–1072. [Google Scholar] [CrossRef]
  18. Alipour, M.; Ziebert, C.; Conte, F.V.; Kizilel, R. A Review on Temperature-Dependent Electrochemical Properties, Aging, and Performance of Lithium-Ion Cells. Batteries 2020, 6, 35. [Google Scholar] [CrossRef]
  19. Karlsen, H.; Dong, T.; Yang, Z.; Carvalho, R. Temperature-Dependence in Battery Management Systems for Electric Vehicles: Challenges, Criteria, and Solutions. IEEE Access 2019, 7, 142203–142213. [Google Scholar] [CrossRef]
  20. Azizi, Y.; Sadrameli, S.M. Thermal management of a LiFePO4 battery pack at high temperature environment using a composite of phase change materials and aluminum wire mesh plates. Energy Conv. Manag. 2016, 128, 294–302. [Google Scholar] [CrossRef]
  21. Zhou, L.; Garg, A.; Li, W.; Gao, L. Intelligent temperature control framework of lithium-ion battery for electric vehicles. Appl. Therm. Eng. 2024, 236 Pt C, 121577. [Google Scholar] [CrossRef]
  22. Zhang, Q.; White, R.E. Capacity fade analysis of a lithium-ion cell. J. Power Sources 2008, 179, 793–798. [Google Scholar] [CrossRef]
  23. Jaguemont, J.; Boulon, L.; Dubé, Y. A comprehensive review of lithium-ion batteries used in hybrid and electric vehicles at cold temperatures. Appl. Energy 2016, 164, 99–114. [Google Scholar] [CrossRef]
  24. Singer, J.P.; Birke, K.P. Kinetic study of low temperature capacity fading in Li-ion cells. J. Energy Storage 2017, 13, 129–136. [Google Scholar] [CrossRef]
  25. Rauhala, T.; Jalkanen, K.; Romann, T.; Lust, E.; Omar, N.; Kallio, T. Low-temperature aging mechanisms of commercial graphite/LiFePO4 cells cycled with a simulated electric vehicle load profile—A post-mortem study. J. Energy Storage 2018, 20, 344–356. [Google Scholar] [CrossRef]
  26. Omar, N.; Abdel Monem, M.; Firouz, Y.; Salminen, J.; Smekens, J.; Hegazy, O.; Gaulous, H.; Mulder, G.; Van den Bossche, P.; Coosemans, T.; et al. Lithium iron phosphate-based battery–Assessment of the aging parameters and development of cycle life model. Appl. Energy 2014, 113, 1575–1585. [Google Scholar] [CrossRef]
  27. Zhang, G.; Wei, X.; Han, G.; Dai, H.; Zhu, J.; Wang, X.; Tang, X.; Ye, J. Lithium plating on the anode for lithium-ion batteries during long-term low temperature cycling. J. Power Sources 2021, 484, 229312. [Google Scholar] [CrossRef]
  28. Sotoudeh, M.; Baumgart, S.; Dillenz, M.; Döhn, J.; Forster-Tonigold, K.; Helmbrecht, K.; Stottmeister, D.; Groß, A. Ion Mobility in Crystalline Battery Materials. Adv. Energy Mater. 2024, 14, 2302550. [Google Scholar] [CrossRef]
  29. Laidler, K.J. The Development of the Arrhenius Equation. J. Chem. Educ. 1984, 61, 494–498. [Google Scholar] [CrossRef]
  30. Zhang, S.S.; Xu, K.; Jow, T.R. Low temperature performance of graphite electrode in Li-ion cells. Electrochim. Acta 2002, 48, 241–246. [Google Scholar] [CrossRef]
  31. Yang, H.; Wu, N. Ionic conductivity and ion transport mechanisms of solid-state lithium-ion battery electrolytes: A review. Energy Sci. Eng. 2022, 10, 1643–1671. [Google Scholar] [CrossRef]
  32. Theuerkauf, D.; Swan, L. Characteristics of Open Circuit Voltage Relaxation in Lithium-Ion Batteries for the Purpose of State of Charge and State of Health Analysis. Batteries 2022, 8, 77. [Google Scholar] [CrossRef]
  33. Zhang, C.; Jiang, J.; Zhang, L.; Liu, S.; Wang, L.; Loh, P.C. A generalized SOC-OCV model for lithium-ion batteries and the SOC estimation for LNMCO battery. Energies 2016, 9, 900. [Google Scholar] [CrossRef]
  34. Shanbedi, M.; Shahali, H.; Polycarpou, A.A.; Amiri, A. Advances and future prospects of low-temperature electrolytes for lithium-ion batteries. EEE Batteries 2025, 1, 385–426. [Google Scholar] [CrossRef]
  35. Wang, S.; Zhang, G.; Gao, J.; Wang, J.; Wang, Y.; Nan, C.; Huang, D.; Chen, L.; Song, J.; Luo, P. First-principles Study on LiFePO4 Materials for Lithium-ion Battery. In Proceedings of the International Workshop on Materials, Chemistry and Engineering (IWMCE 2018), Xiamen, China, 16–17 June 2018; pp. 133–138. [Google Scholar]
  36. Górecki, K.; Ptak, P. SPICE-Aided modeling characteristics of selected batteries. Energies 2025, 18, 4709. [Google Scholar] [CrossRef]
Figure 1. Semi-log diagram of the equivalent kinetic coefficient vs. the reciprocal of the absolute temperature. The empty circles refer to the measured values found in the literature [30], and the dashed and solid lines represent the solution of the classical Arrhenius equation and the modified version proposed here, respectively.
Figure 1. Semi-log diagram of the equivalent kinetic coefficient vs. the reciprocal of the absolute temperature. The empty circles refer to the measured values found in the literature [30], and the dashed and solid lines represent the solution of the classical Arrhenius equation and the modified version proposed here, respectively.
Batteries 11 00439 g001
Figure 2. Schematic of the experimental set-up.
Figure 2. Schematic of the experimental set-up.
Batteries 11 00439 g002
Figure 3. Current (I) and voltage (V) profiles for charging at room temperature. Negative relative time values refer to the constant current phase.
Figure 3. Current (I) and voltage (V) profiles for charging at room temperature. Negative relative time values refer to the constant current phase.
Batteries 11 00439 g003
Figure 4. Current and voltage as a function of relative time for the initial part of the discharge phase at room temperature. Negative values of the relative time refer to the relaxation period of the previous charging procedure.
Figure 4. Current and voltage as a function of relative time for the initial part of the discharge phase at room temperature. Negative values of the relative time refer to the relaxation period of the previous charging procedure.
Batteries 11 00439 g004
Figure 5. Current and voltage vs. relative time in the final part of discharging at room temperature. Negative values for the relative time refer to the relaxation period at SOC 10.1%.
Figure 5. Current and voltage vs. relative time in the final part of discharging at room temperature. Negative values for the relative time refer to the relaxation period at SOC 10.1%.
Batteries 11 00439 g005
Figure 6. Temperature vs. time for the final part of the discharging process. Relative time zero is the same as shown in Figure 5.
Figure 6. Temperature vs. time for the final part of the discharging process. Relative time zero is the same as shown in Figure 5.
Batteries 11 00439 g006
Figure 7. Current and voltage vs. time for the initial part of charging at room temperature. Negative values for the relative time refer to the end of the relaxation period after the discharge.
Figure 7. Current and voltage vs. time for the initial part of charging at room temperature. Negative values for the relative time refer to the end of the relaxation period after the discharge.
Batteries 11 00439 g007
Figure 8. Current and voltage vs. time for the final part of charging at room temperature. Negative values for the relative time refer to the relaxation period at SOC 92.9%.
Figure 8. Current and voltage vs. time for the final part of charging at room temperature. Negative values for the relative time refer to the relaxation period at SOC 92.9%.
Batteries 11 00439 g008
Figure 9. Open-circuit voltage vs. state of charge at the calculated average battery temperature of 22.0 °C. Error bars are 1%.
Figure 9. Open-circuit voltage vs. state of charge at the calculated average battery temperature of 22.0 °C. Error bars are 1%.
Batteries 11 00439 g009
Figure 10. OCV vs. SOC at different battery temperatures during the discharge process. The continuous line represents the theoretical model (Equation (8)) at room temperature.
Figure 10. OCV vs. SOC at different battery temperatures during the discharge process. The continuous line represents the theoretical model (Equation (8)) at room temperature.
Batteries 11 00439 g010
Figure 11. OCV vs. SOC at different battery temperatures during the charge process. The continuous line represents the theoretical model (Equation (8)) at room temperature.
Figure 11. OCV vs. SOC at different battery temperatures during the charge process. The continuous line represents the theoretical model (Equation (8)) at room temperature.
Batteries 11 00439 g011
Figure 12. Molar Gibbs free energy vs. temperature. Triangles are the values obtained measuring the OCV at the end of discharge. Error bars represent 2% deviation, and dashed line is the linear regression of the measured values.
Figure 12. Molar Gibbs free energy vs. temperature. Triangles are the values obtained measuring the OCV at the end of discharge. Error bars represent 2% deviation, and dashed line is the linear regression of the measured values.
Batteries 11 00439 g012
Figure 13. Semi-log diagram of the equivalent kinetic coefficient vs. the reciprocal of the absolute temperature. The black dashed (module #1) and solid (module #2) lines for the LiFePO4, and the red solid line for the LiPo [36] refer to the modified Arrhenius model proposed in Equation (7). Error bars are 5%.
Figure 13. Semi-log diagram of the equivalent kinetic coefficient vs. the reciprocal of the absolute temperature. The black dashed (module #1) and solid (module #2) lines for the LiFePO4, and the red solid line for the LiPo [36] refer to the modified Arrhenius model proposed in Equation (7). Error bars are 5%.
Batteries 11 00439 g013
Figure 14. Diagram of ohmic resistance for the discharge and charge vs. absolute temperature for battery module #2. Error bars are 10%.
Figure 14. Diagram of ohmic resistance for the discharge and charge vs. absolute temperature for battery module #2. Error bars are 10%.
Batteries 11 00439 g014
Disclaimer/Publisher’s Note: The statements, opinions and data contained in all publications are solely those of the individual author(s) and contributor(s) and not of MDPI and/or the editor(s). MDPI and/or the editor(s) disclaim responsibility for any injury to people or property resulting from any ideas, methods, instructions or products referred to in the content.

Share and Cite

MDPI and ACS Style

Bressan, M.; Campagnoli, E.; Giaretto, V. Experimental Evidence on the Effect of Temperature on the Performance of a Lithium-Ion Battery. Batteries 2025, 11, 439. https://doi.org/10.3390/batteries11120439

AMA Style

Bressan M, Campagnoli E, Giaretto V. Experimental Evidence on the Effect of Temperature on the Performance of a Lithium-Ion Battery. Batteries. 2025; 11(12):439. https://doi.org/10.3390/batteries11120439

Chicago/Turabian Style

Bressan, Maurizio, Elena Campagnoli, and Valter Giaretto. 2025. "Experimental Evidence on the Effect of Temperature on the Performance of a Lithium-Ion Battery" Batteries 11, no. 12: 439. https://doi.org/10.3390/batteries11120439

APA Style

Bressan, M., Campagnoli, E., & Giaretto, V. (2025). Experimental Evidence on the Effect of Temperature on the Performance of a Lithium-Ion Battery. Batteries, 11(12), 439. https://doi.org/10.3390/batteries11120439

Note that from the first issue of 2016, this journal uses article numbers instead of page numbers. See further details here.

Article Metrics

Back to TopTop