Towards Resonantly Enhanced Acoustic Phonon-Exchange Magnon Interactions at THz Frequencies
Abstract
1. Introduction
2. Theoretical Description of Ultrafast Magneto-Acoustics in Freestanding Magnetostrictive Thin Films
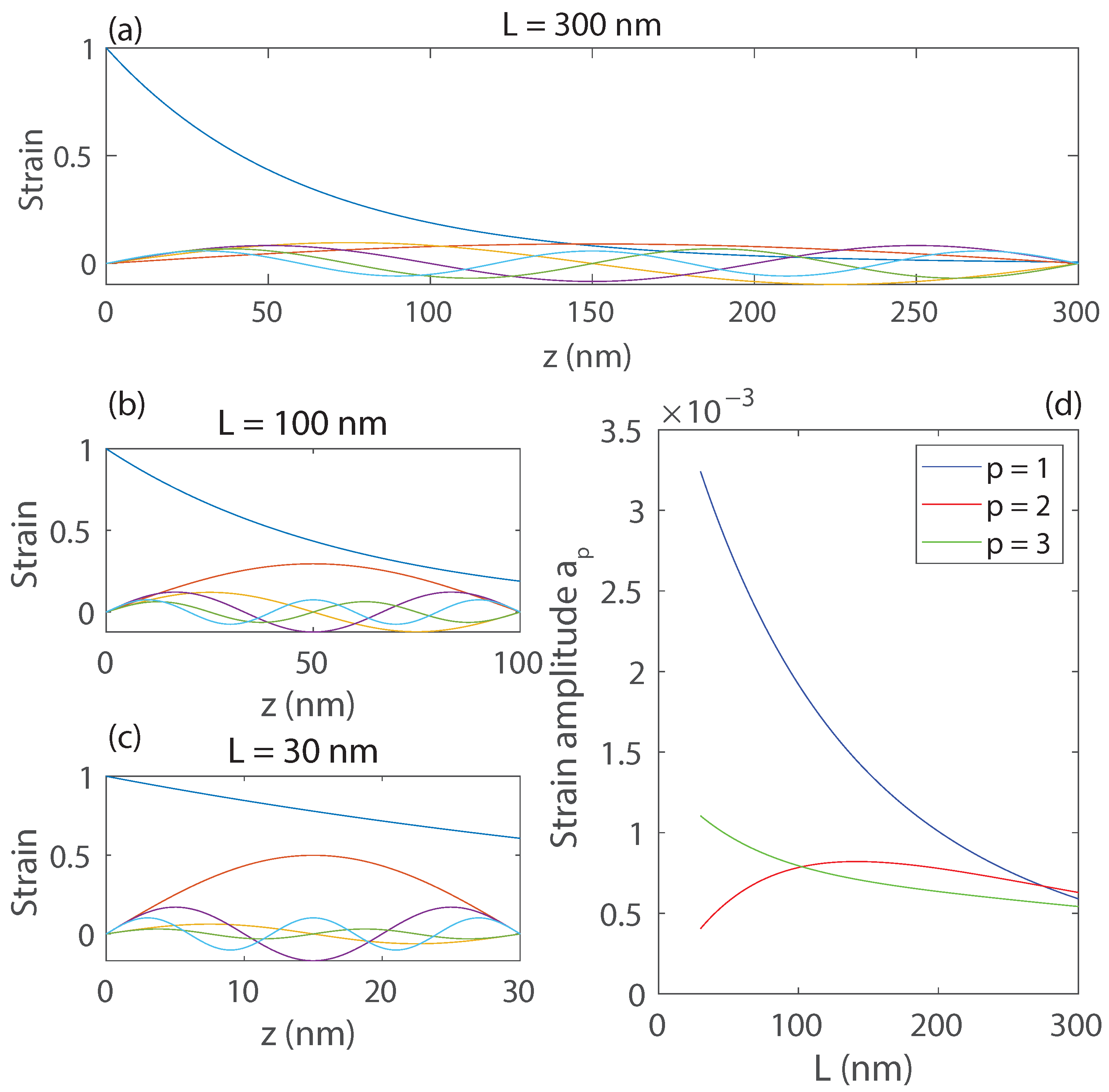
3. Numerical Results for Acoustically Driven Magnetization Dynamics and Their Discussion
4. Acoustically Driven Magnetization Dynamics in Freestanding Nickel/Silicon Membranes
5. Conclusions
Author Contributions
Funding
Institutional Review Board Statement
Informed Consent Statement
Data Availability Statement
Acknowledgments
Conflicts of Interest
Abbreviations
| PSSW | Perpendicular standing spin waves |
| FMR | ferromagnetic resonance |
Appendix A
References
- Scherbakov, A.V.; Salasyuk, A.S.; Akimov, A.V.; Liu, X.; Bombeck, M.; Brüggemann, C.; Yakovlev, D.R.; Sapega, V.F.; Furdyna, J.K.; Bayer, M. Coherent Magnetization Precession in Ferromagnetic (Ga,Mn)As Induced by Picosecond Acoustic Pulses. Phys. Rev. Lett. 2010, 105, 117204. [Google Scholar] [CrossRef]
- Thevenard, L.; Peronne, E.; Gourdon, C.; Testelin, C.; Cubukcu, M.; Charron, E.; Vincent, S.; Lemaître, A.; Perrin, B. Effect of picosecond strain pulses on thin layers of the ferromagnetic semiconductor (Ga,Mn)(As,P). Phys. Rev. B 2010, 82, 104422. [Google Scholar] [CrossRef]
- Kim, J.W.; Vomir, M.; Bigot, J.Y. Ultrafast magnetoacoustics in nickel films. Phys. Rev. Lett. 2012, 109, 166601. [Google Scholar] [CrossRef] [PubMed]
- Yang, W.G.; Schmidt, H. Acoustic control of magnetism toward energy-efficient applications. Appl. Phys. Rev. 2021, 8, 021304. [Google Scholar] [CrossRef]
- Vlasov, V.S.; Golov, A.V.; Kotov, L.N.; Shcheglov, V.I.; Lomonosov, A.M.; Temnov, V.V. The modern problems of ultrafast magnetoacoustics (Review). Acoust. Phys. 2022, 68, 18–47. [Google Scholar] [CrossRef]
- Kovalenko, O.; Pezeril, T.; Temnov, V.V. New concept for magnetization switching by ultrafast acoustic pulses. Phys. Rev. Lett. 2013, 110, 266602. [Google Scholar] [CrossRef]
- Vlasov, V.S.; Lomonosov, A.M.; Golov, A.V.; Kotov, L.N.; Besse, V.; Alekhin, A.; Kuzmin, D.A.; Bychkov, I.V.; Temnov, V.V. Magnetization switching in bistable nanomagnets by picosecond pulses of surface acoustic waves. Phys. Rev. B 2020, 101, 024425. [Google Scholar] [CrossRef]
- Bombeck, M.; Salasyuk, A.S.; Glavin, B.A.; Scherbakov, A.V.; Brüggemann, C.; Yakovlev, D.R.; Sapega, V.F.; Liu, X.; Furdyna, J.K.; Akimov, A.V.; et al. Excitation of spin waves in ferromagnetic (Ga,Mn)As layers by picosecond strain pulses. Phys. Rev. B 2012, 85, 195324. [Google Scholar] [CrossRef]
- Van Kampen, M.; Jozsa, C.; Kohlhepp, J.; LeClair, P.; Lagae, L.; De Jonge, W.; Koopmans, B. All-optical probe of coherent spin waves. Phys. Rev. Lett. 2002, 88, 227201. [Google Scholar] [CrossRef]
- Razdolski, I.; Alekhin, A.; Ilin, N.; Meyburg, J.P.; Roddatis, V.; Diesing, D.; Bovensiepen, U.; Melnikov, A. Nanoscale interface confinement of ultrafast spin transfer torque driving non-uniform spin dynamics. Nat. Commun. 2017, 8, 15007. [Google Scholar] [CrossRef]
- Besse, V.; Golov, A.V.; Vlasov, V.S.; Alekhin, A.; Kuzmin, D.; Bychkov, I.V.; Kotov, L.N.; Temnov, V.V. Generation of exchange magnons in thin ferromagnetic films by ultrashort acoustic pulses. J. Magn. Magn. Mater. 2020, 502, 166320. [Google Scholar] [CrossRef]
- Kim, J.W.; Bigot, J.Y. Magnetization precession induced by picosecond acoustic pulses in a freestanding film acting as an acoustic cavity. Phys. Rev. B 2017, 95, 144422. [Google Scholar] [CrossRef]
- Ghita, A.; Mocioi, T.G.; Lomonosov, A.M.; Kim, J.; Kovalenko, O.; Vavassori, P.; Temnov, V.V. Anatomy of ultrafast quantitative magnetoacoustics in freestanding nickel thin films. Phys. Rev. B 2023, 107, 134419. [Google Scholar] [CrossRef]
- Lomonosov, A.M.; Temnov, V.V.; Wegrowe, J.E. Anatomy of inertial magnons in ferromagnetic nanostructures. Phys. Rev. B 2021, 104, 054425. [Google Scholar] [CrossRef]
- Kimel, A.; Zvezdin, A.; Sharma, S.; Shallcross, S.; De Sousa, N.; García-Martín, A.; Salvan, G.; Hamrle, J.; Stejskal, O.; McCord, J.; et al. The 2022 magneto-optics roadmap. J. Phys. D Appl. Phys. 2022, 55, 463003. [Google Scholar] [CrossRef]
- Li, J.; Yang, C.J.; Mondal, R.; Tzschaschel, C.; Pal, S. A perspective on nonlinearities in coherent magnetization dynamics. Appl. Phys. Lett. 2022, 120, 050501. [Google Scholar] [CrossRef]
- Ritzmann, U.; Baláž, P.; Maldonado, P.; Carva, K.; Oppeneer, P.M. High-frequency magnon excitation due to femtosecond spin-transfer torques. Phys. Rev. B 2020, 101, 174427. [Google Scholar] [CrossRef]
- Henighan, T.; Trigo, M.; Bonetti, S.; Granitzka, P.; Higley, D.; Chen, Z.; Jiang, M.; Kukreja, R.; Gray, A.; Reid, A.; et al. Generation mechanism of terahertz coherent acoustic phonons in Fe. Phys. Rev. B 2016, 93, 220301. [Google Scholar] [CrossRef]
- Tas, G.; Maris, H.J. Electron diffusion in metals studied by picosecond ultrasonics. Phys. Rev. B 1994, 49, 15046. [Google Scholar] [CrossRef]
- Temnov, V.V. Ultrafast acousto-magneto-plasmonics. Nat. Photonics 2012, 6, 728–736. [Google Scholar] [CrossRef]
- Lin, Z.; Zhigilei, L.V.; Celli, V. Electron-phonon coupling and electron heat capacity of metals under conditions of strong electron-phonon nonequilibrium. Phys. Rev. B 2008, 77, 075133. [Google Scholar] [CrossRef]
- Saito, T.; Matsuda, O.; Wright, O. Picosecond acoustic phonon pulse generation in nickel and chromium. Phys. Rev. B 2003, 67, 205421. [Google Scholar] [CrossRef]
- Vernik, U.; Lomonosov, A.M.; Vlasov, V.S.; Kotov, L.N.; Kuzmin, D.A.; Bychkov, I.V.; Vavassori, P.; Temnov, V.V. Resonant phonon-magnon interactions in free-standing metal-ferromagnet multilayer structures. Phys. Rev. B 2022, 106, 144420. [Google Scholar] [CrossRef]
- Deb, M.; Popova, E.; Hehn, M.; Keller, N.; Mangin, S.; Malinowski, G. Picosecond acoustic-excitation-driven ultrafast magnetization dynamics in dielectric Bi-substituted yttrium iron garnet. Phys. Rev. B 2018, 98, 174407. [Google Scholar] [CrossRef]
- Soumah, L.; Beaulieu, N.; Qassym, L.; Carrétéro, C.; Jacquet, E.; Lebourgeois, R.; Ben Youssef, J.; Bortolotti, P.; Cros, V.; Anane, A. Ultra-low damping insulating magnetic thin films get perpendicular. Nat. Commun. 2018, 9, 3355. [Google Scholar] [CrossRef]
- An, K.; Litvinenko, A.N.; Kohno, R.; Fuad, A.A.; Naletov, V.V.; Vila, L.; Ebels, U.; de Loubens, G.; Hurdequint, H.; Beaulieu, N.; et al. Coherent long-range transfer of angular momentum between magnon Kittel modes by phonons. Phys. Rev. B 2020, 101, 060407. [Google Scholar] [CrossRef]
- An, K.; Kohno, R.; Litvinenko, A.N.; Seeger, R.L.; Naletov, V.V.; Vila, L.; de Loubens, G.; Youssef, J.B.; Vukadinovic, N.; Bauer, G.E.; et al. Bright and dark states of two distant macrospins strongly coupled by phonons. Phys. Rev. X 2022, 12, 011060. [Google Scholar] [CrossRef]
- Temnov, V.V.; Razdolski, I.; Pezeril, T.; Makarov, D.; Seletskiy, D.; Melnikov, A.; Nelson, K.A. Towards the nonlinear acousto-magneto-plasmonics. J. Opt. 2016, 18, 093002. [Google Scholar] [CrossRef]
- Cuffe, J.; Ristow, O.; Chávez, E.; Shchepetov, A.; Chapuis, P.O.; Alzina, F.; Hettich, M.; Prunnila, M.; Ahopelto, J.; Dekorsy, T.; et al. Lifetimes of confined acoustic phonons in ultrathin silicon membranes. Phys. Rev. Lett. 2013, 110, 095503. [Google Scholar] [CrossRef]
- Shchepetov, A.; Prunnila, M.; Alzina, F.; Schneider, L.; Cuffe, J.; Jiang, H.; Kauppinen, E.I.; Sotomayor Torres, C.; Ahopelto, J. Ultra-thin free-standing single crystalline silicon membranes with strain control. Appl. Phys. Lett. 2013, 102, 192108. [Google Scholar] [CrossRef]
- Neeraj, K.; Awari, N.; Kovalev, S.; Polley, D.; Zhou Hagström, N.; Arekapudi, S.S.P.K.; Semisalova, A.; Lenz, K.; Green, B.; Deinert, J.C.; et al. Inertial spin dynamics in ferromagnets. Nat. Phys. 2021, 17, 245–250. [Google Scholar] [CrossRef]
- Cherkasskii, M.; Barsukov, I.; Mondal, R.; Farle, M.; Semisalova, A. Theory of inertial spin dynamics in anisotropic ferromagnets. Phys. Rev. B 2022, 106, 054428. [Google Scholar] [CrossRef]






Disclaimer/Publisher’s Note: The statements, opinions and data contained in all publications are solely those of the individual author(s) and contributor(s) and not of MDPI and/or the editor(s). MDPI and/or the editor(s) disclaim responsibility for any injury to people or property resulting from any ideas, methods, instructions or products referred to in the content. |
© 2023 by the authors. Licensee MDPI, Basel, Switzerland. This article is an open access article distributed under the terms and conditions of the Creative Commons Attribution (CC BY) license (https://creativecommons.org/licenses/by/4.0/).
Share and Cite
Mocioi, T.-G.; Ghita, A.; Temnov, V.V. Towards Resonantly Enhanced Acoustic Phonon-Exchange Magnon Interactions at THz Frequencies. Magnetochemistry 2023, 9, 184. https://doi.org/10.3390/magnetochemistry9070184
Mocioi T-G, Ghita A, Temnov VV. Towards Resonantly Enhanced Acoustic Phonon-Exchange Magnon Interactions at THz Frequencies. Magnetochemistry. 2023; 9(7):184. https://doi.org/10.3390/magnetochemistry9070184
Chicago/Turabian StyleMocioi, Tudor-Gabriel, Antonia Ghita, and Vasily V. Temnov. 2023. "Towards Resonantly Enhanced Acoustic Phonon-Exchange Magnon Interactions at THz Frequencies" Magnetochemistry 9, no. 7: 184. https://doi.org/10.3390/magnetochemistry9070184
APA StyleMocioi, T.-G., Ghita, A., & Temnov, V. V. (2023). Towards Resonantly Enhanced Acoustic Phonon-Exchange Magnon Interactions at THz Frequencies. Magnetochemistry, 9(7), 184. https://doi.org/10.3390/magnetochemistry9070184

