Magnetic Dilution as a Direct Method for Detecting and Evaluation of Exchange Interactions between Rare Earth Elements in Oxide Systems
Abstract
1. Introduction
2. Materials and Methods
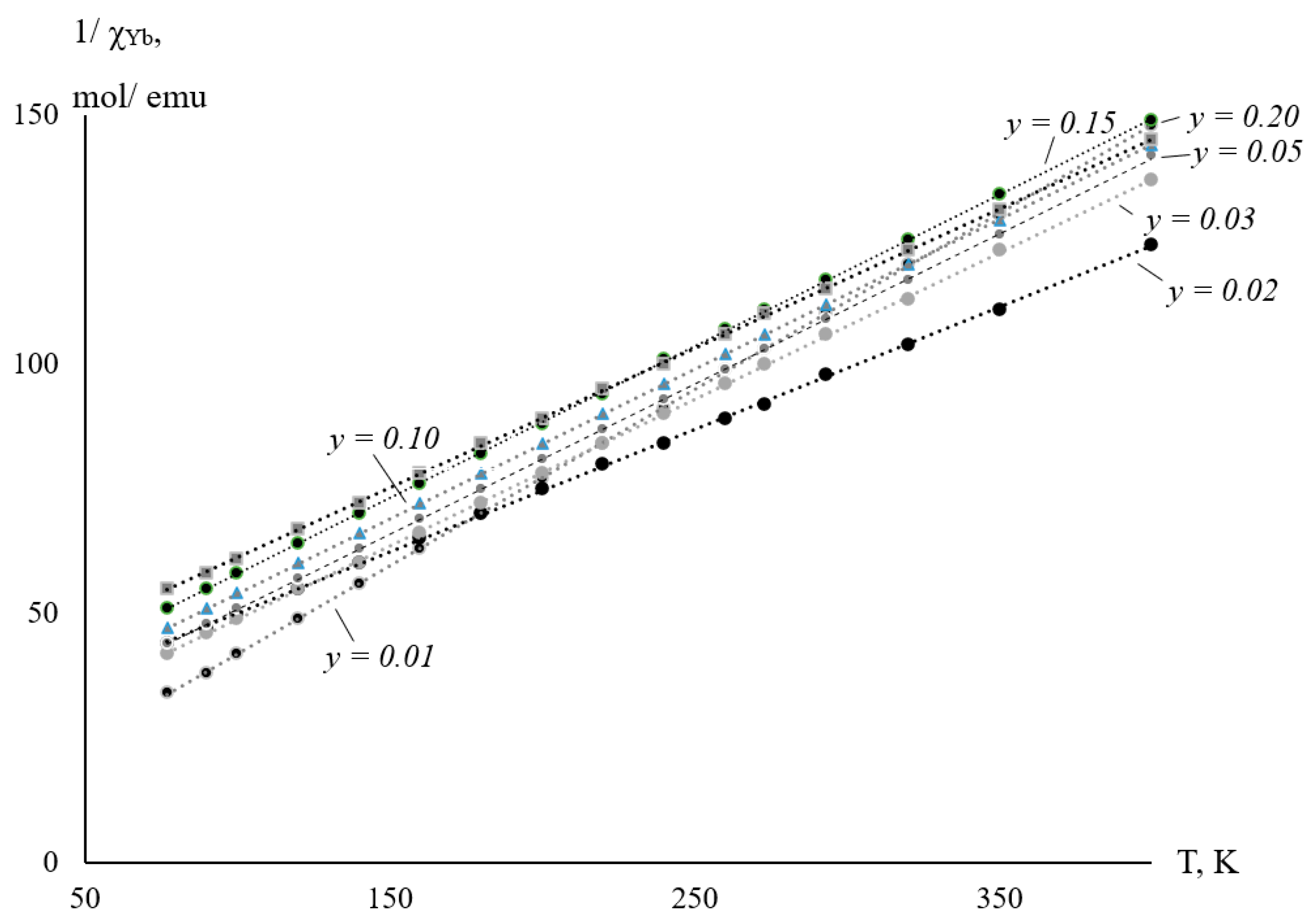
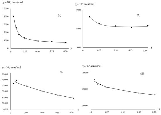
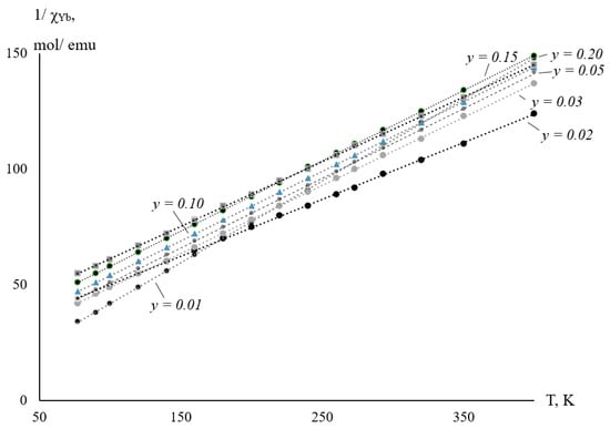
3. Results and Discussion
4. Conclusions
Author Contributions
Funding
Institutional Review Board Statement
Informed Consent Statement
Data Availability Statement
Conflicts of Interest
References
- Shukla, A.; Kumar, A.; Pathak, K. Ferromagnetism in LaMnO3-LaFeO3-LaCoO3 mixed spin perovskite oxide solid solution. Ceram. Int. 2023, 49, 12680–12686. [Google Scholar] [CrossRef]
- Flores-Lasluisa, J.X.; Huerta, F.; Cazorla-Amorós, D.; Morallón, E. Manganese oxides/LaMnO3 perovskite materials and their application in the oxygen reduction reaction. Energy 2022, 247, 123456. [Google Scholar] [CrossRef]
- Punna, R.S.; Suresh, B.K. Structural change and insulator to metal transition of LaMnO3 by molybdenum substitution. Mater. Chem. Phys. 2021, 272, 125021. [Google Scholar]
- Tugova, E.A.; Bobrysheva, N.P.; Selyutin, A.A. Magnetic properties of complex oxides Gd2SrM2O7 (M = Fe, Al). Russ. J. Gen. Chem. 2008, 78, 2000–2001. [Google Scholar] [CrossRef]
- Ramirez, A.P. Colossal magnetoresistance. J. Phys. Condens. Matter. 1997, 9, 8171. [Google Scholar] [CrossRef]
- Hardik, G.; Bhargav, R.; Himanshu, D.; Keval, G.; Shrimali, V.G.; Bardapurkar, P.P.; Choudhary, R.J.; Phase, D.M.; Shah, N.A.; Solanki, P.S. Magnetoresistive nature assisted field effect configuration for LaMnO3/La0.7Ca0.3MnO3 interface. Phys. B Condens. Matter 2023, 649, 414472. [Google Scholar]
- Zhou, W.; Ma, C.; Cao, M.; Gan, Z.; Wang, X.; Ma, Y.; Wang, X.; Tan, W.; Wang, D.; Du, Y. Large magnetocaloric and magnetoresistance effects in metamagnetic Sm0.55(Sr0.5Ca0.5)0.45MnO3 manganite. Cer. Int. 2017, 43, 7870–7874. [Google Scholar] [CrossRef]
- Li, T.X.; Zhang, M.; Hu, Z.; Li, K.S.; Yu, D.B.; Yan, H. Effect of preferred orientation on magnetoelectric properties of multiferroic La0.7Sr0.3MnO3/BaTiO3 heterostructure. Solid State Commun. 2011, 151, 1659–1661. [Google Scholar] [CrossRef]
- Markina, D.I.; Pushkarev, A.P.; Shishkin, I.I.; Komissarenko, F.E.; Berestennikov, A.S.; Pavluchenko, A.S.; Smirnova, I.P.; Markov, L.K.; Vengris, M.; Zakhidov, A.A.; et al. Perovskite nanowire lasers on low-refractive-index conductive substrate for high-Q and low-threshold operation. Nanophotonics 2020, 9, 3977–3984. [Google Scholar] [CrossRef]
- Desong, F.; Qiang, L.; Yimin, X.; Hong, T.; Junfei, F. Temperature-dependent infrared properties of Ca doped (La,Sr)MnO3 compositions with potential thermal control application. Appl. Therm. Eng. 2013, 51, 255–261. [Google Scholar]
- Chun, D.H.; Choi, Y.J.; In, Y.; Nam, J.K.; Choi, Y.J.; Yun, S.; Kim, W.; Choi, D.; Kim, D.; Shin, H.; et al. Halide perovskite nanopillar photodetector. ACS Nano 2018, 12, 8564–8571. [Google Scholar] [CrossRef]
- Xie, Q.; Bin, L.; Wang, P.; Song, P.; Wu, X. Evolution of A-site disorder-dependent structural and magnetic transport properties in La2/3−xEuxCa1/3−ySryMnO3. Mat. Chem. Phys. 2009, 114, 636–643. [Google Scholar] [CrossRef]
- Rivas-Padilla, E.P.; Lisboa-Filho, P.N.; Ortiz, W.A. Study of magnetransport properties in manganites with fixed structural parameters. J. Solid State Chem. 2004, 77, 1338–1345. [Google Scholar] [CrossRef]
- Ehsani, M.H.; Kameli, P.; Razavi, F.S.; Ghazi, M.E.; Aslibeiki, B. Influence of Sm-doping on the structural, magnetic, and electrical properties of La0.8−xSmxSr0.2MnO3 (0 < x < 0.45) manganites. J. Alloys Compd. 2013, 579, 406–414. [Google Scholar]
- Istomin, S.Y.; Drozhzhin, O.A.; Napolsky, P.S.; Putilin, S.N.; Gippius, A.A.; Antipov, E.V. Thermal expansion behavior and high-temperature transport properties of Sr3YCo4−xFexO10.5+y, x = 0.0, 1.0, 2.0 and 3.0. Solid State Ion. 2008, 179, 1054–1057. [Google Scholar] [CrossRef]
- Lu, Z.; Meng, Y.; Wen, L.; Huang, M.; Zhou, L.; Liao, L.; He, D. Double perovskite Ba2LaNbO6:Mn4+,Yb3+ phosphors: Potential application to plant-cultivation LEDs. Dye. Pigment. 2019, 160, 395–402. [Google Scholar] [CrossRef]
- Jose, R.; Konopka, J.; Yang, X.; Konopka, A.; Ishikawa, M.; Koshy, J. Crystal structure and dielectric properties of a new complex perovskite oxide Ba2LaSbO6. Appl. Phys. A 2004, 79, 2041–2047. [Google Scholar] [CrossRef]
- Guo, Z.; Pan, L.; Bi, C.; Qiu, H.; Zhao, X.; Yang, L.; Rafique, M.Y. Structural and multiferroic properties of Fe-doped Ba0.5Sr0.5TiO3 solids. J. Magn. Magn. Mater. 2013, 325, 24–28. [Google Scholar] [CrossRef]
- Cherif, K.; Dhahri, J.; Vincent, H.; Zemni, S.; Dhahri, E.; Oumezzine, M. X-ray diffraction, magnetic and electrical properties in the manganites (La1−xNdx)0.7Sr0.3MnO3. Phys. B Condens. Matter 2002, 321, 48–53. [Google Scholar] [CrossRef]
- Goodenough, J.B.; Zhou, J.S. Localized to Itinerant Electronic Transitions in Transition Metal Oxides with the Perovskite Structure. Chem. Mater. 1998, 10, 2980–2993. [Google Scholar] [CrossRef]
- Krichene, A.; Boujelben, W.; Mukherjee, S.; Shah, N.A.; Solanki, P.S. Effect of charge ordering and phase separation on the electrical and magnetoresistive properties of polycrystalline La0.4Eu0.1Ca0.5MnO3. J. Phys. Chem. Solids 2018, 114, 21–27. [Google Scholar] [CrossRef]
- Tka, E.; Cherif, K.; Dhahri, J.; Dhahri, E. Effects of non magnetic aluminum Al doping on the structural, magnetic and transport properties in La0.57Nd0.1Sr0.33MnO3 manganite oxide. J. Alloys Compd. 2011, 509, 8047–8055. [Google Scholar] [CrossRef]
- Dhahri, J.; Dhahri, A.; Dhahri, E. Structural, magnetic and magnetocaloric properties of La0.7−xEuxBa0.3MnO3 perovskites. J. Magn. Magn. Mater. 2009, 321, 4128–4131. [Google Scholar] [CrossRef]
- Siwach, P.K.; Srivastava, P.; Singh, H.K.; Asthana, A.; Matsui, Y.; Shripathi, T.; Srivastava, O.N. Effect of multielement doping on low-field magnetotransport in La0.7−xMmxCa0.3MnO3 (0.0 ≤ x ≤ 0.45) manganite. J. Magn. Magn. Mater. 2009, 321, 1814–1820. [Google Scholar]
- Li-Qin, Y.; Fen, W.; Yuelei, Z.; Tao, Z.; Jun, S.; Young, S. Exchange bias effect in multiferroic Eu0.75Y0.25MnO3. J. Magn. Magn. Mater. 2012, 324, 2579–2582. [Google Scholar]
- Krichene, A.; Solanki, P.S.; Venkateshwarlu, D.; Rayaprol, S.; Ganesan, V.; Boujelben, W.; Kuberkar, D.G. Magnetic and electrical studies on La0.4Sm0.1Ca0.5MnO3 charge ordered manganite. J. Magn. Magn. Mater. 2015, 381, 470–477. [Google Scholar] [CrossRef]
- Song, Q.; Wang, G.; Yan, G.; Mao, Q.; Wang, W.; Peng, Z. Influence of the substitution of Sm, Gd, and Dy for La in La0.7Sr0.3MnO3 on its magnetic and electric properties and strengthening effect on room-temperature CMR. J. Rare Earths 2008, 26, 821–826. [Google Scholar] [CrossRef]
- Carlin, R.L. Magnetochemistry; Springer: Beglin/Heidelberg, Germany, 1986; 328p. [Google Scholar]
- Damay, F.; Cohen, L.F. Low-temperature grain boundaries effect in La0.7−xYxCa0.3MnO3. J. Magn. Magn. Mater. 2000, 54, 150–154. [Google Scholar]
- Petrov, D.; Angelov, B. Indirect exchange interactions in orthorhombic lanthanum aluminate. Acta Phys. Pol. A 2012, 122, 737–740. [Google Scholar] [CrossRef]
- Sharov, V.A.; Bazuev, G.V.; Zuev, M.G.; Bamburov, V.G. Oxalate Complexes of 3d- and 4f-Elements with Hydrazine; Ural Branch of Russian Academy of Sciences: Ekaterinburg, Russia, 2004; 178p. (In Russian) [Google Scholar]
- Chezhina, N.V.; Zolotukhina, N.V.; Bodritskaya, E.V. Magnetic dilution in the LaCrO3-LaGaO3 system. Russ. J. Gen. Chem. 2005, 75, 1167–1170. [Google Scholar] [CrossRef]
- Chezhina, N.V.; Kuzmich, M. Magnetic dilution in the xLa0.33Ba0.67MnO3–(1 − x)LaAlO3 system. Russ. J. Gen. Chem. 2004, 74, 486–488. [Google Scholar] [CrossRef]
- Fedorova, A.V.; Chezhina, N.V. Problems of Electron Structure of Colossal Magnetoresistors. In Electronic Structure of Materials. Challenges and Developments; Chezhina, N.V., Korolev, D.A., Eds.; Pan Stanford Publishing: Singapore, 2019; pp. 59–95. [Google Scholar]
- Chezhina, N.V.; Mikhailova, M.; Osipova, A.S. Manganese reactivity in the synthesis of magnetoresisting complex oxides. Solid State Ion. 2001, 141–142, 617–621. [Google Scholar] [CrossRef]
- Chezhina, N.V.; Fedorova, A.V. Influence of yttrium atoms on magnetic properties of lanthanum manganites doped with strontium. Russ. J. Gen. Chem. 2010, 80, 203–206. [Google Scholar] [CrossRef]
- Fedorova, A.V.; Chezhina, N.V.; Shilovskikh, V.V. State of europium atoms and exchange interactions in La1−yEuyAlO3. Russ. J. Gen. Chem. 2015, 85, 2223–2226. [Google Scholar] [CrossRef]
- Ponomareva, E.A.; Fedorova, A.V.; Chezhina, N.V. Magnetic susceptibility of La1−yCeyAlO3 solid solutions. Russ. J. Gen. Chem. 2017, 87, 2730–2732. [Google Scholar] [CrossRef]
- Fedorova, A.V.; Ponomareva, E.A.; Chezhina, N.V. Magnetic Susceptibility of the La1−yGdyAlO3 Solid Solutions. Russ. J. Gen. Chem. 2018, 88, 2472–2475. [Google Scholar] [CrossRef]
- Fedorova, A.V.; Chezhina, N.V.; Sukhenko, K.Y. Magnetic properties of solid solutions of lanthanum manganite doped with ytterbium and calcium in LaAlO3. Russ. J. Gen. Chem. 2016, 86, 1552–1557. [Google Scholar] [CrossRef]
- Shannon, R.D.; Prewitt, C.T. Effective Ionic Radii on Oxides and Fluorides. Acta Crystallogr. Sect. B Struct. Crystallogr. Cryst. Chem. 1969, 25, 925–946. [Google Scholar] [CrossRef]
- Selwood, P. Magnetochemistry; Interscience: New York, NY, USA, 1943; p. 148. [Google Scholar]
- Brach, B.Y.; Chezhina, N.V.; Dudkin, B.N. Magnetic properties of solid solutions with perovskite structure containing 3d-elements in trivalent state. Rus. J. Inorg. Chem. 1979, 24, 2064–2067. [Google Scholar]
- Brach, B.Y.; Zvereva, I.A. Calculation of 3d-element atom distribution over a solid solution and of exchange parameters in binuclear clusters. Zh. Strukturnoi Khimii 1982, 23, 39–41. [Google Scholar]
- Rakitin, Y.V.; Kalinnikov, V.T. Sovremennaya Magnetokhimiya (Modern Magnetochemistry); Nauka, Saint-Petersburg.: Petersburg, Russia, 1994; 276p. (In Russian) [Google Scholar]








| y | a, Å | c, Å | V, Å3 |
|---|---|---|---|
| 0.0196 | 5.358 | 13.112 | 373.425 |
| 0.0288 | 5.362 | 13.112 | 373.687 |
| 0.0492 | 5.365 | 13.109 | 374.312 |
| 0.0689 | 5.368 | 13.105 | 374.613 |
| 0.0969 | 5.364 | 13.095 | 373.776 |
| 0.1465 | 5.366 | 13.092 | 373.980 |
| 0.1842 | 5.370 | 13.091 | 374.562 |
| T, K | χSm·106, emu/mol | μeff, μB (1) | μeff, μB (2) |
|---|---|---|---|
| 90 | 2220 | 1.28 | 1.02 |
| 120 | 1900 | 1.36 | 1.04 |
| 140 | 1760 | 1.42 | 1.05 |
| 160 | 1660 | 1.44 | 1.05 |
| 200 | 1490 | 1.55 | 1.06 |
| 240 | 1380 | 1.59 | 1.06 |
Disclaimer/Publisher’s Note: The statements, opinions and data contained in all publications are solely those of the individual author(s) and contributor(s) and not of MDPI and/or the editor(s). MDPI and/or the editor(s) disclaim responsibility for any injury to people or property resulting from any ideas, methods, instructions or products referred to in the content. |
© 2023 by the authors. Licensee MDPI, Basel, Switzerland. This article is an open access article distributed under the terms and conditions of the Creative Commons Attribution (CC BY) license (https://creativecommons.org/licenses/by/4.0/).
Share and Cite
Chezhina, N.; Fedorova, A. Magnetic Dilution as a Direct Method for Detecting and Evaluation of Exchange Interactions between Rare Earth Elements in Oxide Systems. Magnetochemistry 2023, 9, 137. https://doi.org/10.3390/magnetochemistry9050137
Chezhina N, Fedorova A. Magnetic Dilution as a Direct Method for Detecting and Evaluation of Exchange Interactions between Rare Earth Elements in Oxide Systems. Magnetochemistry. 2023; 9(5):137. https://doi.org/10.3390/magnetochemistry9050137
Chicago/Turabian StyleChezhina, Natalia, and Anna Fedorova. 2023. "Magnetic Dilution as a Direct Method for Detecting and Evaluation of Exchange Interactions between Rare Earth Elements in Oxide Systems" Magnetochemistry 9, no. 5: 137. https://doi.org/10.3390/magnetochemistry9050137
APA StyleChezhina, N., & Fedorova, A. (2023). Magnetic Dilution as a Direct Method for Detecting and Evaluation of Exchange Interactions between Rare Earth Elements in Oxide Systems. Magnetochemistry, 9(5), 137. https://doi.org/10.3390/magnetochemistry9050137

