Solid Phase Extraction Penicillin and Tetracycline in Human Serum Using Magnetic Graphene Oxide-Based Sulfide Nanocomposite
Abstract
1. Introduction
2. Materials and Methods
2.1. Materials and Chemicals
2.2. Instruments
2.3. Synthesis of the Adsorbent
2.3.1. Cadmium Sulfide Nanoparticles
2.3.2. Synthesis of Graphene Oxide
2.3.3. Synthesis of Fe3O4@GO
2.3.4. Synthesis of MGO@CdS
2.4. Magnetic Solid Phase Extraction Procedure
3. Results and Discussion
3.1. Characterization
3.2. Optimization of Key Parameters for Extraction Efficiency
3.2.1. Type of Solvent
3.2.2. Effect of Eluent Volume
3.2.3. Effect of Desorption Time
3.2.4. Effect of pH
3.2.5. Salt Addition
3.2.6. Effect of Adsorbent Dosage
3.2.7. Effect of Extraction Time
3.2.8. Sample Volume
3.3. Method Validation
3.4. Real Sample Analysis
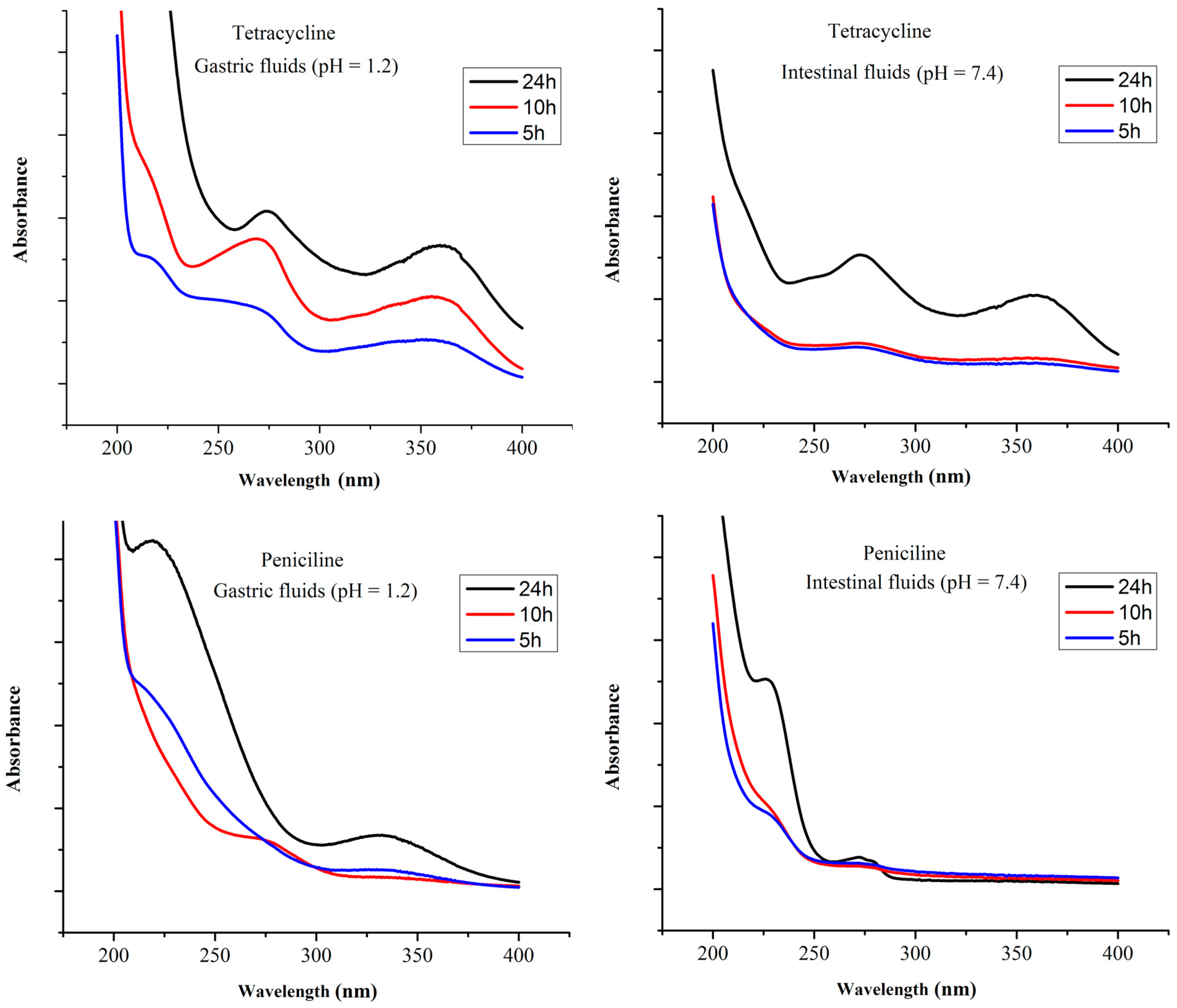
3.5. Antibiotics Release Study
3.6. Comparison with Other Studies
4. Conclusions
Author Contributions
Funding
Institutional Review Board Statement
Informed Consent Statement
Data Availability Statement
Acknowledgments
Conflicts of Interest
References
- Adewuyi, A. Chemically Modified Biosorbents and Their Role in the Removal of Emerging Pharmaceutical Waste in the Water System. Water 2020, 12, 1551. [Google Scholar] [CrossRef]
- Mosleh, N.; Najmi, M.; Parandi, E.; Nodeh, H.R.; Vasseghian, Y.; Rezania, S. Magnetic sporopollenin supported polyaniline developed for removal of lead ions from wastewater: Kinetic, isotherm and thermodynamic studies. Chemosphere 2022, 300, 134461. [Google Scholar] [CrossRef] [PubMed]
- Cherkashina, K.; Voznesenskiy, M.; Osmolovskaya, O.; Vakh, C.; Bulatov, A. Effect of surfactant coating of Fe3O4 nanoparticles on magnetic dispersive micro-solid phase extraction of tetracyclines from human serum. Talanta 2020, 214, 120861. [Google Scholar] [CrossRef] [PubMed]
- Hunge, Y.M.; Yadav, A.A.; Kang, S.-W.; Kim, H. Photocatalytic degradation of tetracycline antibiotics using hydrothermally synthesized two-dimensional molybdenum disulfide/titanium dioxide composites. J. Colloid Interface Sci. 2022, 606, 454–463. [Google Scholar] [CrossRef] [PubMed]
- Smith, R.A.; M’ikanatha, N.M.; Read, A.F. Antibiotic resistance: A primer and call to action. Health Commun. 2015, 30, 309–314. [Google Scholar] [CrossRef]
- Shirani, M.; Aslani, A.; Sepahi, S.; Parandi, E.; Motamedi, A.; Jahanmard, E.; Nodeh, H.R.; Akbari-Adergani, B. An efficient 3D adsorbent foam based on graphene oxide/AgO nanoparticles for rapid vortex-assisted floating solid phase extraction of bisphenol A in canned food products. Anal. Methods 2022, 14, 2623–2630. [Google Scholar] [CrossRef]
- Otero, L.H.; Rojas-Altuve, A.; Llarrull, L.I.; Carrasco-López, C.; Kumarasiri, M.; Lastochkin, E.; Fishovitz, J.; Dawley, M.; Hesek, D.; Lee, M.; et al. How allosteric control of Staphylococcus aureus penicillin binding protein 2a enables methicillin resistance and physiological function. Proc. Natl. Acad. Sci. USA 2013, 110, 16808–16813. [Google Scholar] [CrossRef]
- Arano-Martinez, J.A.; Martínez-González, C.L.; Salazar, M.I.; Torres-Torres, C. A Framework for Biosensors Assisted by Multiphoton Effects and Machine Learning. Biosensors 2022, 12, 710. [Google Scholar] [CrossRef]
- Shirani, M.; Akbari-Adergani, B.; Nodeh, H.R.; Shahabuddin, S. Ultrasonication-facilitated synthesis of functionalized graphene oxide for ultrasound-assisted magnetic dispersive solid-phase extraction of amoxicillin, ampicillin, and penicillin G. Microchim. Acta 2020, 187, 634. [Google Scholar] [CrossRef]
- Moga, A.; Vergara-Barberán, M.; Lerma-García, M.J.; Carrasco-Correa, E.J.; Herrero-Martínez, J.M.; Simó-Alfonso, E.F. Determination of antibiotics in meat samples using analytical methodologies: A review. Compr. Rev. Food Sci. Food Saf. 2021, 20, 1681–1716. [Google Scholar] [CrossRef]
- Shirani, M.; Aslani, A.; Ansari, F.; Parandi, E.; Nodeh, H.R.; Jahanmard, E. Zirconium oxide/titanium oxide nanorod decorated nickel foam as an efficient sorbent in syringe filter based solid-phase extraction of pesticides in some vegetables. Microchem. J. 2023, 189, 108507. [Google Scholar] [CrossRef]
- Shirani, M.; Parandi, E.; Nodeh, H.R.; Akbari-Adergani, B.; Shahdadi, F. Development of a rapid efficient solid-phase microextraction: An overhead rotating flat surface sorbent based 3-D graphene oxide/lanthanum nanoparticles @ Ni foam for separation and determination of sulfonamides in animal-based food products. Food Chem. 2022, 373, 131421. [Google Scholar] [CrossRef] [PubMed]
- Parandi, E.; Pero, M.; Kiani, H. Phase change and crystallization behavior of water in biological systems and innovative freezing processes and methods for evaluating crystallization. Discov. Food 2022, 2, 6. [Google Scholar] [CrossRef]
- Mosleh, N.; Ahranjani, P.J.; Parandi, E.; Nodeh, H.R.; Nawrot, N.; Rezania, S.; Sathishkumar, P. Titanium lanthanum three oxides decorated magnetic graphene oxide for adsorption of lead ions from aqueous media. Environ. Res. 2022, 214, 113831. [Google Scholar] [CrossRef]
- Bidhendi, M.E.; Parandi, E.; Meymand, M.M.; Sereshti, H.; Nodeh, H.R.; Joo, S.-W.; Vasseghian, Y.; Khatir, N.M.; Rezania, S. Removal of lead ions from wastewater using magnesium sulfide nanoparticles caged alginate microbeads. Environ. Res. 2023, 216, 114416. [Google Scholar] [CrossRef]
- Faraji, M.; Shirani, M.; Rashidi-Nodeh, H. The recent advances in magnetic sorbents and their applications. TrAC Trends Anal. Chem. 2021, 141, 116302. [Google Scholar] [CrossRef]
- Safaripour, M.; Parandi, E.; Aghel, B.; Gouran, A.; Saidi, M.; Nodeh, H.R. Optimization of the microreactor-intensified transesterification process using silver titanium oxide nanoparticles decorated magnetic graphene oxide nanocatalyst. Process Saf. Environ. Prot. 2023, 173, 495–506. [Google Scholar] [CrossRef]
- Wei, D.; Wu, S.; Zhu, Y. Magnetic solid phase extraction based on graphene oxide/nanoscale zero-valent iron for the determination of tetracyclines in water and milk by using HPLC-MS/MS. RSC Adv. 2017, 7, 44578–44586. [Google Scholar] [CrossRef]
- Aghel, B.; Gouran, A.; Parandi, E.; Jumeh, B.H.; Nodeh, H.R. Production of biodiesel from high acidity waste cooking oil using nano GO@MgO catalyst in a microreactor. Renew. Energy 2022, 200, 294–302. [Google Scholar] [CrossRef]
- Mohan, H.; Ramalingam, V.; Karthi, N.; Malathidevi, S.; Shin, T.; Venkatachalam, J.; Seralathan, K.-K. Enhanced visible light-driven photocatalytic activity of reduced graphene oxide/cadmium sulfide composite: Methylparaben degradation mechanism and toxicity. Chemosphere 2021, 264, 128481. [Google Scholar] [CrossRef]
- Xu, J.-J.; An, M.; Yang, R.; Tan, Z.; Hao, J.; Cao, J.; Peng, L.-Q.; Cao, W. Determination of Tetracycline Antibiotic Residues in Honey and Milk by Miniaturized Solid Phase Extraction Using Chitosan-Modified Graphitized Multiwalled Carbon Nanotubes. J. Agric. Food Chem. 2016, 64, 2647–2654. [Google Scholar] [CrossRef] [PubMed]
- Wang, R.; Li, C.; Li, Q.; Zhang, S.; Lv, F.; Yan, Z. Electrospinning fabrication of covalent organic framework composite nanofibers for pipette tip solid phase extraction of tetracycline antibiotics in grass carp and duck. J. Chromatogr. A 2020, 1622, 461098. [Google Scholar] [CrossRef] [PubMed]
- Jume, B.H.; Dana, N.V.; Rastin, M.; Parandi, E.; Darajeh, N.; Rezania, S. Sulfur-Doped Binary Layered Metal Oxides Incorporated on Pomegranate Peel-Derived Activated Carbon for Removal of Heavy Metal Ions. Molecules 2022, 27, 8841. [Google Scholar] [CrossRef] [PubMed]
- Parandi, E.; Safaripour, M.; Mosleh, N.; Saidi, M.; Nodeh, H.R.; Oryani, B.; Rezania, S. Lipase enzyme immobilized over magnetic titanium graphene oxide as catalyst for biodiesel synthesis from waste cooking oil. Biomass Bioenergy 2023, 173, 106794. [Google Scholar] [CrossRef]
- Parandi, E.; Safaripour, M.; Abdellattif, M.H.; Saidi, M.; Bozorgian, A.; Nodeh, H.R.; Rezania, S. Biodiesel production from waste cooking oil using a novel biocatalyst of lipase enzyme immobilized magnetic nanocomposite. Fuel 2022, 313, 123057. [Google Scholar] [CrossRef]
- Tan, L.; Zhang, L.; Sun, Q.; Shen, M.; Qu, Q.; Zheng, H. Capacity loss induced by lithium deposition at graphite anode for LiFePO4/graphite cell cycling at different temperatures. Electrochimica Acta 2013, 111, 802–808. [Google Scholar] [CrossRef]
- Ch, A.; Rao, V.; Ch, S.C. Structural properties of CdS nano particles prepared in the presence of organic solvent. Appl. Sci. Res. 2014, 5, 99–105. [Google Scholar]
- Pourjavaher, S.; Almasi, H.; Meshkini, S.; Pirsa, S.; Parandi, E. Development of a colorimetric pH indicator based on bacterial cellulose nanofibers and red cabbage (Brassica oleraceae) extract. Carbohydr. Polym. 2017, 156, 193–201. [Google Scholar] [CrossRef]
- Kim, Y.-Y.; Walsh, D. Metal sulfide nanoparticles synthesized via enzyme treatment of biopolymer stabilized nanosuspensions. Nanoscale 2010, 2, 240–247. [Google Scholar] [CrossRef]
- Korrani, Z.S.; Ibrahim, W.A.W.; Nodeh, H.R.; Aboul-Enein, H.Y.; Sanagi, M.M. Simultaneous preconcentration of polar and non-polar organophosphorus pesticides from water samples by using a new sorbent based on mesoporous silica. J. Sep. Sci. 2016, 39, 1144–1151. [Google Scholar] [CrossRef]
- Nodeh, H.R.; Ibrahim, W.A.W.; Kamboh, M.A.; Sanagi, M.M. Dispersive graphene-based silica coated magnetic nanoparticles as a new adsorbent for preconcentration of chlorinated pesticides from environmental water. RSC Adv. 2015, 5, 76424–76434. [Google Scholar] [CrossRef]
- Nodeh, H.R.; Ibrahim, W.A.W.; Kamboh, M.A.; Sanagi, M.M. New magnetic graphene-based inorganic–organic sol-gel hybrid nanocomposite for simultaneous analysis of polar and non-polar organophosphorus pesticides from water samples using solid-phase extraction. Chemosphere 2017, 166, 21–30. [Google Scholar] [CrossRef] [PubMed]
- Suplatov, D.; Panin, N.; Kirilin, E.; Shcherbakova, T.; Kudryavtsev, P.; Švedas, V. Computational design of a pH stable enzyme: Understanding molecular mechanism of penicillin acylase’s adaptation to alkaline conditions. PLoS ONE 2014, 9, e100643. [Google Scholar] [CrossRef] [PubMed]
- El-Sonbati, A.Z.; Diab, M.A.; Morgan, S.M. Thermal properties, antimicrobial activity and DNA binding of Ni(II) complexes of azo dye compounds. J. Mol. Liq. 2017, 225, 195–206. [Google Scholar] [CrossRef]
- Balci, H.; Ozturk, M.T.; Pijning, T.; Ozturk, S.I.; Gumusel, F. Improved activity and pH stability of E. coli ATCC 11105 penicillin acylase by error-prone PCR. Appl. Microbiol. Biotechnol. 2014, 98, 4467–4477. [Google Scholar] [CrossRef]
- Nodeh, H.R.; Sereshti, H. Synthesis of magnetic graphene oxide doped with strontium titanium trioxide nanoparticles as a nanocomposite for the removal of antibiotics from aqueous media. RSC Adv. 2016, 6, 89953–89965. [Google Scholar] [CrossRef]
- Eskandarpour, N.; Sereshti, H.; Najarzadekan, H.; Gaikani, H. Polyurethane/polystyrene-silica electrospun nanofibrous composite for the headspace solid-phase microextraction of chlorophenols coupled with gas chromatography. J. Sep. Sci. 2016, 39, 4637–4644. [Google Scholar] [CrossRef]
- Shan, R.-R.; Yan, L.-G.; Yang, K.; Yu, S.-J.; Hao, Y.-F.; Yu, H.-Q.; Du, B. Magnetic Fe3O4/MgAl-LDH composite for effective removal of three red dyes from aqueous solution. Chem. Eng. J. 2014, 252, 38–46. [Google Scholar] [CrossRef]
- Asgharinezhad, A.A.; Ebrahimzadeh, H.; Mirbabaei, F.; Mollazadeh, N.; Shekari, N. Dispersive micro-solid-phase extraction of benzodiazepines from biological fluids based on polyaniline/magnetic nanoparticles composite. Anal. Chim. Acta 2014, 844, 80–89. [Google Scholar] [CrossRef]
- Peng, H.; Zhang, N.; He, M.; Chen, B.; Hu, B. Simultaneous speciation analysis of inorganic arsenic, chromium and selenium in environmental waters by 3-(2-aminoethylamino) propyltrimethoxysilane modified multi-wall carbon nanotubes packed microcolumn solid phase extraction and ICP-MS. Talanta 2015, 131, 266–272. [Google Scholar] [CrossRef]
- Zhou, Q.; Lei, M.; Wu, Y.; Yuan, Y. Magnetic solid phase extraction of typical polycyclic aromatic hydrocarbons from environmental water samples with metal organic framework MIL-101 (Cr) modified zero valent iron nano-particles. J. Chromatogr. A 2017, 1487, 22–29. [Google Scholar] [CrossRef] [PubMed]
- Charrois, G.J.R.; Allen, T.M. Drug release rate influences the pharmacokinetics, biodistribution, therapeutic activity, and toxicity of pegylated liposomal doxorubicin formulations in murine breast cancer. Biochim. Biophys. Acta (BBA) Biomembr. 2004, 1663, 167–177. [Google Scholar] [CrossRef]
- Herrera-Herrera, A.V.; Ravelo-Pérez, L.M.; Hernández-Borges, J.; Afonso, M.M.; Palenzuela, J.A.; Rodríguez-Delgado, M. Oxidized multi-walled carbon nanotubes for the dispersive solid-phase extraction of quinolone antibiotics from water samples using capillary electrophoresis and large volume sample stacking with polarity switching. J. Chromatogr. A 2011, 1218, 5352–5361. [Google Scholar] [CrossRef] [PubMed]
- Liu, J.; Liu, Y.; Gao, M.; Zhang, X. High Throughput Detection of Tetracycline Residues in Milk Using Graphene or Graphene Oxide as MALDI-TOF MS Matrix. J. Am. Soc. Mass Spectrom. 2012, 23, 1424–1427. [Google Scholar] [CrossRef] [PubMed]
- Babić, S.; Ašperger, D.; Mutavdžić, D.; Horvat, A.J.; Kaštelan-Macan, M. Solid phase extraction and HPLC determination of veterinary pharmaceuticals in wastewater. Talanta 2006, 70, 732–738. [Google Scholar] [CrossRef] [PubMed]
- HPLC-Photodiode, E.B.M. A simple multi-residue method for determination of oxytetracycline, tetracycline and chlortetracycline in export buffalo meat by HPLC-photodiode array detector. J. Food Drug Anal. 2007, 15, 278–284. [Google Scholar]
- Chen, L.; Liu, J.; Zeng, Q.; Wang, H.; Yu, A.; Zhang, H.; Ding, L. Preparation of magnetic molecularly imprinted polymer for the separation of tetracycline antibiotics from egg and tissue samples. J. Chromatogr. A 2009, 1216, 3710–3719. [Google Scholar] [CrossRef]






| Compound | Equation | R2 a | LOD b | LOQ c | LDR d | EF e | RSD% | |
|---|---|---|---|---|---|---|---|---|
| Intraday | Interday | |||||||
| Tetracycline | y = 0.6758 × −0.0044 | 0.997 | 0.045 | 0.153 | 0.02–0.2 | 20 | 3.1–4.77 | 8.41–10.5 |
| Penicillin | y = 0.582 × −0.0008 | 0.992 | 0.057 | 0.191 | 0.02–0.2 | 20 | 3.49–5.8 | 8.21–12.3 |
| Sample | Antibiotics | Spiked (µg L−1) | Found (µg L−1) | RR% | RSDs% |
|---|---|---|---|---|---|
| Human serum | Tetracycline | 0.0 | nd | --- | --- |
| 100 | 109.5 | 109.5 | 7.1 | ||
| Penicillin | 0.0 | 1.03 | --- | --- | |
| 100 | 71.59 | 71.5 | 11.6 |
| Adsorbent | Analytes | LOD (μg L−1) | Method | Analysis | Ref. |
|---|---|---|---|---|---|
| MGO@CdS | Tetracycline | 0.045 | MSPE | UV-vis | This study |
| Penicillin | 0.056 | ||||
| OMWCNTs a | Quinolone | 0.028–0.094 | d-SPE b | CE-DAD c | [43] |
| Graphene oxide | Tetracycline | 0.89 | SPE | MALDI-TOF MS d | [44] |
| C18 | Tetracycline | 1.5–100 | SPE | HPLC-DAD | [45] |
| RP e-C8 | Tetracycline | 31 | SPE | HPLC-DAD | [46] |
| MIP f | Tetracycline | 0.2 | SPE | LC-MS/MS | [47] |
Disclaimer/Publisher’s Note: The statements, opinions and data contained in all publications are solely those of the individual author(s) and contributor(s) and not of MDPI and/or the editor(s). MDPI and/or the editor(s) disclaim responsibility for any injury to people or property resulting from any ideas, methods, instructions or products referred to in the content. |
© 2023 by the authors. Licensee MDPI, Basel, Switzerland. This article is an open access article distributed under the terms and conditions of the Creative Commons Attribution (CC BY) license (https://creativecommons.org/licenses/by/4.0/).
Share and Cite
Sereshti, H.; Soltani, S.; Sridewi, N.; Salehi, E.; Parandi, E.; Rashid Nodeh, H.; Shahabuddin, S. Solid Phase Extraction Penicillin and Tetracycline in Human Serum Using Magnetic Graphene Oxide-Based Sulfide Nanocomposite. Magnetochemistry 2023, 9, 132. https://doi.org/10.3390/magnetochemistry9050132
Sereshti H, Soltani S, Sridewi N, Salehi E, Parandi E, Rashid Nodeh H, Shahabuddin S. Solid Phase Extraction Penicillin and Tetracycline in Human Serum Using Magnetic Graphene Oxide-Based Sulfide Nanocomposite. Magnetochemistry. 2023; 9(5):132. https://doi.org/10.3390/magnetochemistry9050132
Chicago/Turabian StyleSereshti, Hassan, Sara Soltani, Nanthini Sridewi, Elham Salehi, Ehsan Parandi, Hamid Rashid Nodeh, and Syed Shahabuddin. 2023. "Solid Phase Extraction Penicillin and Tetracycline in Human Serum Using Magnetic Graphene Oxide-Based Sulfide Nanocomposite" Magnetochemistry 9, no. 5: 132. https://doi.org/10.3390/magnetochemistry9050132
APA StyleSereshti, H., Soltani, S., Sridewi, N., Salehi, E., Parandi, E., Rashid Nodeh, H., & Shahabuddin, S. (2023). Solid Phase Extraction Penicillin and Tetracycline in Human Serum Using Magnetic Graphene Oxide-Based Sulfide Nanocomposite. Magnetochemistry, 9(5), 132. https://doi.org/10.3390/magnetochemistry9050132

