Effect of Chemical Reaction and Heat Absorption on MHD Nanoliquid Flow Past a Stretching Sheet in the Presence of a Transverse Magnetic Field
Abstract
:1. Introduction
2. The Mathematical Formulation
- the flow is not subjected to polarized/applied voltages so that the effect of polarization of voltages is neglected [25],
- the magnetic Reynolds number of the fluid is very small so that the induced magnetic field effects are neglected as compared to the applied magnetic field,
- the effect of buoyancy forces are ignored,
- the base fluid and nanoparticles are in thermal equilibrium and there is no slip between them,
3. Solution Procedure
4. Results and Discussion
5. Conclusions
- The impact of nanoparticle volume fraction on the momentum, thermal, concentration boundary layers is to increase their thickness. The nanoparticle volume fraction has reducing influences on the skin friction coefficient and the rate of heat transfer at the surface.
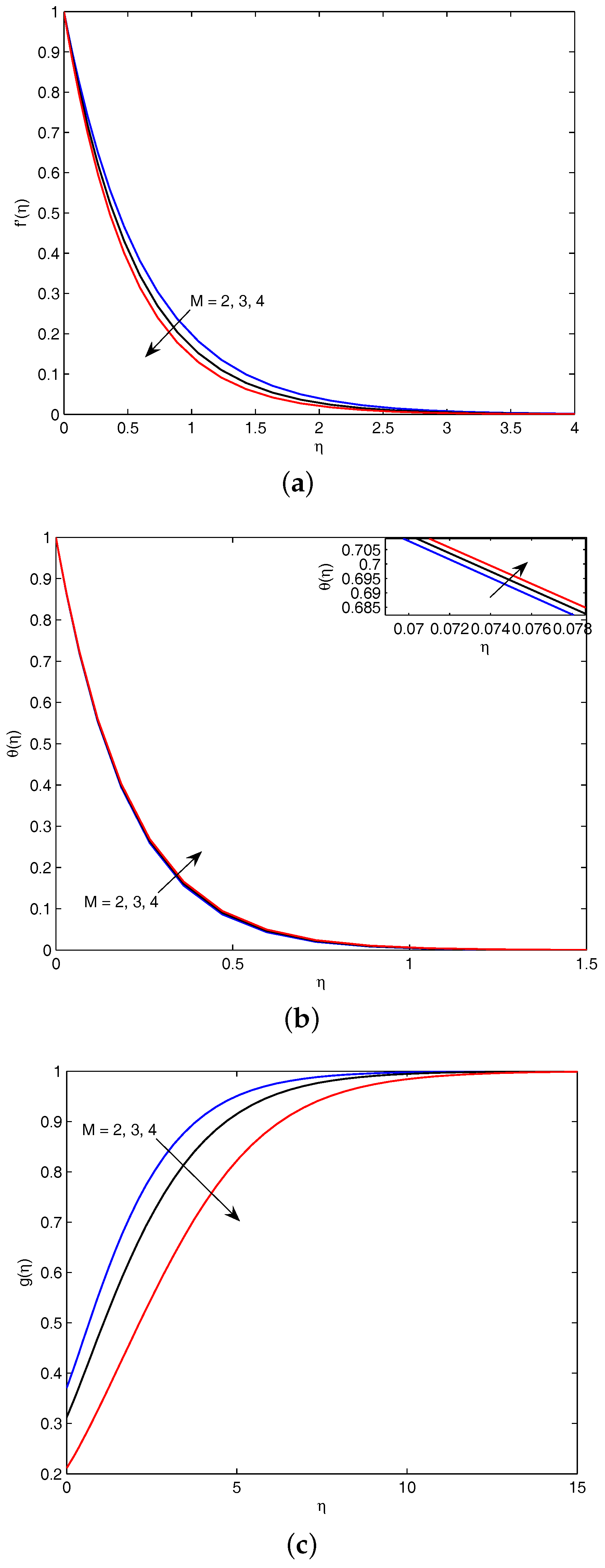
- The Lorentz force which appears in the flow-field due to the applied magnetic field reduces the thickness of momentum and concentration boundary layers whereas it has an opposite effect on the thermal boundary layer. The observed effect, however, on the thermal boundary layer is not significant and the Lorentz force marginally increases its thickness. The skin friction increases, whereas the rate of heat transfer at the surface decreases, with increasing strength of magnetic field.
- The effect of homogeneous and heterogeneous reactions is to decrease the species concentration within the boundary layer region.
- Heat absorption has the tendency to decrease the thickness of the nanofluid thermal boundary layer whereas it increases the rate of heat transfer at the surface.
Author Contributions
Conflicts of Interest
References
- Choi, S.U.S.; Zhang, Z.G.; Yu, W.; Lockwood, F.E.; Grulke, E.A. Anomalously thermal conductivity enhancement in nanotube suspensions. Appl. Phys. Lett. 2001, 79, 2252–2254. [Google Scholar] [CrossRef]
- Buongiorno, J.; Hu, W. Nanofluid coolants for advanced nuclear power plants. In Proceedings of the International Congress on Advances in Nuclear Power Plants 2005 (ICAPP05), Seoul, Korea, 15–19 May 2005. [Google Scholar]
- Wang, X.Q.; Mazumdar, A.S. Heat transfer characteristics of nanofluids: A review. Int. J. Therm. Sci. 2007, 46, 1–19. [Google Scholar] [CrossRef]
- Das, S.K.; Choi, S.U.S.; Yu, W.; Pradeep, T. Nanofluids: Science and Technology; Wiley: Hoboken, NY, USA, 2008. [Google Scholar]
- Kakac, S.; Pramuanjaroenkij, A. Review of convective heat transfer enhancement with nanofluids. Int. J. Heat Mass Transf. 2009, 52, 3187–3196. [Google Scholar] [CrossRef]
- Chamkha, A.J.; Rashad, A.M.; Al-Meshaiei, E. Melting effect on unsteady hydromagnetic flow of a nanofluid past a stretching sheet. Int. J. Chem. React. Eng. 2011, 9, A113. [Google Scholar] [CrossRef]
- Ibrahim, W.; Shankar, B.; Nandeppanavar, M.M. MHD stagnation poiont flow and heat transfer due to Nanofluid towards a stretching sheet. Int. J. Heat Mass Transf. 2013, 56, 1–9. [Google Scholar] [CrossRef]
- Vajravelu, K.; Nayfeh, J. Hydromagnetic convection at a cone and a wedge. Int. Commun. Heat Mass Transf. 1992, 19, 701–710. [Google Scholar] [CrossRef]
- Westphal, B.R.; Keiser, D.D.; Rigg, R.H.; Loug, D.V. Production of Metal Waste Forms from Spent Nuclear Fuel Treatment. In Proceedings of the DOE Spent Nuclear Fuel Conference, Salt Lake City, UT, USA, 13–16 December 1994; pp. 288–294. [Google Scholar]
- Chamkha, A.J.; Khaled, A.R.A. Similarity solutions for hydromagnetic simultaneous heat and mass transfer by natural convection from an inclined plate with heat generation or absorption. Heat Mass Transf. 2001, 37, 117–123. [Google Scholar] [CrossRef]
- Kamel, M.H. Unsteady MHD convection through porous medium with combined heat and mass transfer with heat source/sink. Energy Convers. Manag. 2001, 42, 393–405. [Google Scholar] [CrossRef]
- Chamkha, A.J. Unsteady MHD convective heat and mass transfer past a semi-infinite vertical permeable moving plate with heat absorption. Int. J. Eng. Sci. 2004, 42, 217–230. [Google Scholar] [CrossRef]
- Alam, M.S.; Rahamn, M.M.; Samad, M.A. Numerical Study of the Combined Free-Forced Convection and Mass Transfer Flow Past a Vertical Porous Plate in a Porous Medium with Heat Generation and Thermal Diffusion. J. Nonlinear Anal. Model. Control 2006, 11, 331–343. [Google Scholar]
- Alam, M.S.; Rahman, M.M.; Sattar, M.A. Effects of Chemical Reaction and Thermophoresis on MHD Mixed Convective Heat and Mass Transfer Flow Along an Inclined Plate in the Presence of Heat Generation/Absorption with Viscous Dissipation and Joule Heating. Can. J. Phys. 2008, 86, 1057–1066. [Google Scholar] [CrossRef]
- Mahatha, B.K.; Nandkeolyar, R.; Das, M.; Sibanda, P. Stagnation point nanofluid flow along a stretching sheet with non-uniform heat generation/absorption and Newtonian heating. Bulg. Chem. Commun. 2017, 49, 977–985. [Google Scholar]
- Chaudhary, M.A.; Merkin, J.H. A simple isothermal model for Homogeneous-heterogeneous reactions in boundary layer flow: I. Equal diffusivities. Fluid Dyn. Res. 1995, 16, 311–333. [Google Scholar] [CrossRef]
- Chaudhary, M.A.; Merkin, J.H. A simple isothermal model for Homogeneous-heterogeneous reactions in boundary layer flow: II. Different Diffusivities for Reactant and Autocatalyst. Fluid Dyn. Res. 1995, 16, 335–359. [Google Scholar] [CrossRef]
- Merkin, J.H. A model for isothermal Homogeneous-heterogeneous reactions in boundary layer flow. Math. Comput. Model. 1996, 24, 125–136. [Google Scholar] [CrossRef]
- Chaudhary, M.A.; Merkin, J.H. Homogeneous-Heterogeneous Reactions in Boundary-Layer Flow: Effects of Loss of Reactant. Math. Comput. Model. 1996, 24, 21–28. [Google Scholar] [CrossRef]
- Khan, W.A.; Pop, I. Flow near the two-dimensional stagnation point on a infinite permeable wall with a Homogeneous-heterogeneous reaction. Commun. Nonliear Sci. Numer. Simul. 2010, 15, 3435–3443. [Google Scholar] [CrossRef]
- Khan, W.A.; Pop, I. Effect of Homogeneous-heterogeneous reactions on the Visco-elastic fluid towards a stretching sheet. ASME J. Heat Transf. 2012, 134, 064506. [Google Scholar] [CrossRef]
- Kameswaran, P.K.; Shaw, S.; Sibanda, P.; Murthy, P.V.S.N. Homogeneous-heterogeneous reactions in a nanofluid flow due to a porous stretching sheet. Int. J. Heat Mass Transf. 2013, 57, 465–472. [Google Scholar] [CrossRef]
- Kameswaran, P.K.; Sibanda, P.; RamReddy, C.; Murthy, P.V.S.N. Dual solutions of stagnation-point flow of a nanofluid over a stretching surface. Bound. Value Probl. 2013, 2013, 1–12. [Google Scholar] [CrossRef]
- Nandkeolyar, R.; Motsa, S.S.; Sibanda, P. Viscous and Joule Heating in the Stagnation Point Nanofluid Flow Through a Stretching Sheet With Homogenous–Heterogeneous Reactions and Nonlinear Convection. ASME J. Nanotechnol. Eng. Med. 2013, 4, 041002. [Google Scholar] [CrossRef]
- Cramer, K.; Pai, S. Magnetofluiddynamics for Engineers and Applied Physicists; McGraw Hill Book Company: New York, NY, USA, 1973. [Google Scholar]
- Brinkman, H.C. The viscosity of concentrated suspensions and solution. J. Chem. Phys. 1952, 20, 571–581. [Google Scholar] [CrossRef]
- Aminossadati, S.M.; Ghasemi, B. Natural convection cooling of a localized heat source at the bottom of a nanofluid-filled enclosure. Eur J. Mech. B Fluids 2009, 28, 630–640. [Google Scholar] [CrossRef]
- Garnett, J.C.M. Colours in metal glasses and in mettaillic films. Philos. Trans. R. Soc. Lond. A 1904, 203, 385–420. [Google Scholar] [CrossRef]
- Guérin, C.A.; Mallet, P.; Sentenac, A. Effective-medium theory for finite-size aggregates. J. Opt. Soc. Am. A 2006, 23, 349–358. [Google Scholar] [CrossRef]
- Motsa, S.S.; Sibanda, P.; Shateyi, S. On a new quasilinearization method for systems of nonlinear boundary value problems. Math. Methods Appl. Sci. 2011, 34, 1406–1413. [Google Scholar] [CrossRef]





| Nanofluid Component | |||
|---|---|---|---|
| Pure water | 997.1 | 4179 | 0.613 |
| Copper (Cu) | 8933 | 385 | 401 |
| M | ||||
|---|---|---|---|---|
| 0.1 | 2 | 2 | 1.7078 | 6.2232 |
| 0.2 | 2 | 2 | 1.6213 | 4.9122 |
| 0.3 | 2 | 2 | 1.4862 | 3.6863 |
| 0.2 | 2 | 2 | 1.6213 | 4.9122 |
| 0.2 | 3 | 2 | 1.7891 | 4.8806 |
| 0.2 | 4 | 2 | 1.9425 | 4.8518 |
| 0.2 | 2 | 1 | 1.6213 | 4.5859 |
| 0.2 | 2 | 2 | 1.6213 | 4.9122 |
| 0.2 | 2 | 3 | 1.6213 | 5.2150 |
© 2018 by the authors. Licensee MDPI, Basel, Switzerland. This article is an open access article distributed under the terms and conditions of the Creative Commons Attribution (CC BY) license (http://creativecommons.org/licenses/by/4.0/).
Share and Cite
Nandkeolyar, R.; Mahatha, B.K.; Mahato, G.K.; Sibanda, P. Effect of Chemical Reaction and Heat Absorption on MHD Nanoliquid Flow Past a Stretching Sheet in the Presence of a Transverse Magnetic Field. Magnetochemistry 2018, 4, 18. https://doi.org/10.3390/magnetochemistry4010018
Nandkeolyar R, Mahatha BK, Mahato GK, Sibanda P. Effect of Chemical Reaction and Heat Absorption on MHD Nanoliquid Flow Past a Stretching Sheet in the Presence of a Transverse Magnetic Field. Magnetochemistry. 2018; 4(1):18. https://doi.org/10.3390/magnetochemistry4010018
Chicago/Turabian StyleNandkeolyar, Raj, Bhupesh Kumar Mahatha, Goutam Kumar Mahato, and Precious Sibanda. 2018. "Effect of Chemical Reaction and Heat Absorption on MHD Nanoliquid Flow Past a Stretching Sheet in the Presence of a Transverse Magnetic Field" Magnetochemistry 4, no. 1: 18. https://doi.org/10.3390/magnetochemistry4010018
APA StyleNandkeolyar, R., Mahatha, B. K., Mahato, G. K., & Sibanda, P. (2018). Effect of Chemical Reaction and Heat Absorption on MHD Nanoliquid Flow Past a Stretching Sheet in the Presence of a Transverse Magnetic Field. Magnetochemistry, 4(1), 18. https://doi.org/10.3390/magnetochemistry4010018

